Next Article in Journal
Advances in Crest Factor Minimization for Wide-Bandwidth Multi-Sine Signals with Non-Flat Amplitude Spectra
Previous Article in Journal
A Bicriteria Model for Saving a Path Minimizing the Time Horizon of a Dynamic Contraflow
 
 
Font Type:
Arial Georgia Verdana
Font Size:
Aa Aa Aa
Line Spacing:
Column Width:
Background:
Proceeding Paper

Quickest Transshipment in an Evacuation Network Topology †

by
Iswar Mani Adhikari
1,* and
Tanka Nath Dhamala
2
1
Tribhuvan University, Prithvi Narayan Multiple Campus, Pokhara 33700, Nepal
2
Tribhuvan University, Central Department of Mathematics, Kathmandu 44600, Nepal
*
Author to whom correspondence should be addressed.
Presented at the 1st International Electronic Conference on Algorithms, 27 September–10 October 2021; Available online: https://ioca2021.sciforum.net/.
Comput. Sci. Math. Forum 2022, 2(1), 8; https://doi.org/10.3390/IOCA2021-10879
Published: 19 September 2021
(This article belongs to the Proceedings of The 1st International Electronic Conference on Algorithms)

Abstract

The quickest transshipment of the evacuees in an integrated evacuation network topology depends upon the evacuee arrival pattern in the collection network and their better assignment in the assignment network with appropriate traffic route guidance, destination optimization, and an optimal route. In this work, the quickest transshipment aspect in an integrated evacuation network topology is revisited concerning a transit-based evacuation system. Appropriate collection approaches for the evacuees and their better assignment to transit vehicles for their quickest transshipment in an embedded evacuation network are presented with their solution strategies.

1. Introduction

The problem with evacuation planning concerns the maximum number of evacuees being sent from sources to sinks in the minimum time and as efficiently as possible. The bus-based evacuation planning problem (BEPP) is an important tool for transit-based evacuation planning. The effectiveness of the solution of BEPP depends upon the evacuee arrival patterns at the pickup locations and their appropriate assignment to transit vehicles available in the evacuation network [1,2,3].
The NP-hard multi-depot, multi-trip BEPP was introduced and analyzed prominently in [4], which is closer to the split-delivery multi-depot vehicle routing problem with inter-depot routes. However, if there is only one bus depot, assuming that the bus collects the same number of people equal to its capacity, the author in [5] has also proposed the BEPP for the evacuation of a region. Based on such BEPP, Pyakurel et al. [6] explored it to be transit-dependent. It was considered that the evacuees had gathered at different pickup locations and were silent about their arrival patterns.
In our work, we focus on the new and better-suited form of arrival pattern of evacuees in the earliest arrival flow pattern, which maximizes the arrival of evacuees at every possible instance at the pickup locations with zero transit times from a source. We present a polynomial-time earliest arrival evacuee algorithm that follows the principle of temporally repeated flows to solve the earliest arrival evacuee problem with zero transit times and partial arc reversal capability. The evacuees collected at different pickup locations of the primary sub-network are considered as the supplies during the subsequent vehicle assignment for the secondary sub-network. The partial arc reversal approach for the collection of evacuees also reduces the waiting instances at different pickup locations and improves the solution. The assignment of transit vehicles in such a general or a prioritized embedded network is also carried out in a dominating solution approach for their quickest transshipment. The rest of the paper is organized as follows.
In Section 2, we explain the flow of evacuees, the network topology in Section 3, and the integrated evacuation system related to the general and the prioritized network in Section 4 and Section 5, respectively. Section 6 concludes the paper.

2. Flow of Evacuees

In an evacuation planning problem, the flow stands for either the evacuees or the evacuee carrying vehicles. An sy flow of evacuees over time from source s to the sink y is a non-negative function f on A × R + for the given time T = { 0 , 1 , ,   T } satisfying the flow conservation and capacity constraints (1)–(3). The inequality flow conservation constraints allow it to wait for flow at intermediate nodes; however, the equality flow conservation constraints force that flow when entering an intermediate node must leave it.
σ = τ a T a A y i n f ( a ,   σ τ a ) σ = 0 T a A s o u t f ( a ,   σ ) = 0   ,   i V \ ( S Y )
σ = τ a θ a A y i n f ( a ,   σ τ a ) σ = 0 θ a A s o u t f ( a ,   σ ) 0 ,     i V \ ( S Y ) , θ T
0 f   ( a , θ ) u a a A   , θ T .
The sets of outgoing and incoming arcs corresponding to the node i   ϵ   V are denoted by, A i o u t = { a = ( i , j )   ϵ   A } and A i i n = { a = ( j , i )   ϵ   A } , respectively. Not stated otherwise, for all y   ϵ   Y and s   ϵ   S , we assume that A i o u t = A i i n = Φ in the case without arc reversals. However, for s and y , the flow value is υ f   ( s ) > 0 and υ f   ( y ) < 0 , respectively, where i V   ν f ( i ) = 0 . If the supply and demand on sources and sinks υ f   ( i ) is a fixed value for all i   ϵ   { s , y } , then the earliest evacuee problem maximizes value υ f   ( θ ) for all θ   ϵ   T , as in Equation (4) satisfying the constraints (1)–(3).
( ν f ,   θ ) = σ = 0 θ a A s o u t f ( a ,   σ ) = σ = τ a θ a A y i n f ( a ,   σ τ a )
The total amount out of the source s that reached the pickup locations Y for all time up to θ Z + , with zero transit times τ a = 0 , is given by,
| ν f | θ = σ = 1 θ | v a l u e   ( Y , θ ) | .
For the given time bound T, the value of Equation (5) becomes,
| ν f | = σ = 1 T | v a l u e   ( Y , θ ) | .
We consider a flow of evacuees over the time problem with zero transit time function f: A × Z + R + .

3. Network Topology

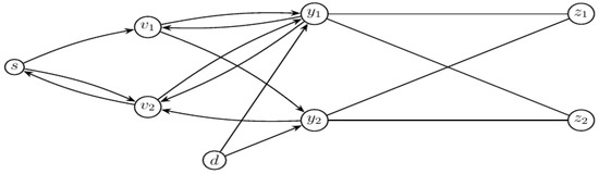
In an integrated evacuation scenario, we consider a network N , obtained by combining two of its components N 1 and N 2 representing a primary and a secondary sub-network, respectively. The first part N 1 contains directed two-way road segments and the partial arc reversals are applicable. The second part N 2 contains directed one-way road segments, connecting the bus depot to the pickup locations, and undirected edges connecting such pickup locations to the sinks for the bus routing. Evacuees collected at the pickup locations Y in N 1 = ( s , V , A , u a , τ a , Y ) are assigned to transit buses in the appropriate route across N 2 and are finally sent to the sinks as shown as in Figure 1. Here, V = { v 1 , v 2 , v 3 , .   v n } and Y = { y 1 , y 2 ,   y 3 , ,   y n } which are the set of auxiliary nodes and the set of pickup locations, respectively. The set of arcs is denoted by A = { a = ( s , v ) ( v , y ) :   v V ,   y Y } where u a and τ a denote the capacity and transit times for a A .
Additionally, in N 2 = ( d ,   Y ,   E ,   τ e ,   Z ) , d is the bus depot at which a set of transit buses B which have the homogeneous bus capacity is initially located and are assigned as required during the evacuation process. The bus depot does not perform further significant roles on the solution procedure as the buses do not return to it even after the completion of the evacuation plan because of risks under threat. In an embedding, Y works as the supply nodes during the bus-assignment in N 2 . The set of sinks is denoted by Z = { z 1 , z 2 , z 3 , .   z n } . In this mixed sub-network, the set E consists of the one-way arcs e = (d, y) with y Y and the undirected edges e = [y, z] with z Z . Here, τ e is the transit times for e E in N 2 .
Based on the BEPP introduced by [4], authors in [5] have developed a simplified version for the evacuation of a region from a set of collection points to a set of capacitated shelters with the help of buses in a minimum time, assuming that the bus collects exactly the number of people that equals its capacity. Through their solution on a branch-and-bound framework, they have presented four different upper bounds and three lower bounds for time, in addition to three branching rules to minimize the number of branches, and two tree-reduction strategies to avoid the equivalent branches. Among them, four upper bounds are constructed in a polynomial-time complexity by four different heuristic algorithms, whereas three are based on precomputed tour lists. The fourth uses an iterative way without any precomputed tour lists and dominates the rest concerning the evacuation duration and is considered as the dominating assignment approach [7].
Here, we introduce the earliest arrival evacuee (Problem 1) respecting the partial arc reversal capability in N 1 .
Problem 1.
Given an evacuation sub-network N 1 = ( S , V ,   A ,   u a ,   τ a ,   Y ) with supplies at S , demands at Y , auxiliary nodes V , arc capacity u a , and arc transit time τ a for a   ϵ   A , the quickest partial arc reversal transshipment problem is to find the quickest arrival of evacuees at Y with partial arc reversals capability.
If the reversals of an arc are considered a = ( i , j ) be a = ( j , i ) , then the transformed network of N 1 consists of the modified arc capacities and constant transit times as,
u a _ = u a + u a   and   τ a _ = τ a   if   a A   and   is   τ a   for   otherwise .
Here, an edge a _ A _ in transformed network N 1 _ if a a N 1 . Concerning the auxiliary reconfiguration, it is allowed to redirect the arc in any direction with the modified increased capacity but with the same transit time in either direction. The remaining graph structure and data are unaltered.
Now, Algorithm 1 is presented to solve the earliest arrival evacuee problem with zero transit times with partial arc reversal capability as in [7].
Algorithm 1. Earliest arrival evacuee algorithm.
Input: A flow over time sub-network N 1 = ( s , V , A , u a , τ a , Y ) with τ a = 0 for each a A .
 1.
Construct a transformed network N 1 _ to N 1 as in Equation (7).
 2.
Determine the maximum number of evacuees at every possible time instance at each Y from s as in [8].
 3.
For each θ T , reverse a A up to capacity c a u a if and only if c a > u a , u a replaced by 0 whenever a A , in N 1 , where c a denotes the static flow value in each a A for such a network.
 4.
For each θ T and a A , if a is reversed, κ a = u a _ c a _ and κ a = 0 . If neither a nor a is reversed, κ a = u a c a , where κ a is saved capacity of a [9].
Output: Earliest arrival of evacuees at Y with τ a = 0 for each a A .
This algorithm sends the evacuees at the earliest arrival time to Y at each instances and the problem can be solved in polynomial-time complexity. For this we have (Theorem 1).
Theorem 1.
The earliest arrival evacuee problem having zero transit times with a partial arc reversal capability follows the principle of temporally repeated flows and can be solved in polynomial-time complexity.
Proof. 
Steps 1, 2, and 4 given by Algorithm 1 are solved in linear time. Its time complexity is dominated by the time complexity of computation of the earliest arrival evacuees at the pickup locations Y with zero transit times on each arc as in [8] in Step 2, which is solved in polynomial-time. Thus, it can be solved in polynomial-time complexity in N 1 . □
The flow over time problem having zero transit times that reached to each of the pickup locations determines the maximum number of evacuees at every possible time instance from the beginning in N 1 . That means the earliest arrival of evacuees at Y from s with zero transit times in the transformed network follows the principle of temporally repeated flows which is equivalent to the solution with arc reversals capability in the original network [10].

4. Integrated Evacuation Network

For large scale disasters with a sufficiently large number of evacuees, all the evacuees may not arrive at Y at the same time. Those who are delivered to Y earlier will have comparatively more waiting time. Whereas, for the evacuees, waiting at Y is comparatively better than to be at s. However, buses available at bus depot d request a certain time to be assigned to Y and are given by τ d i . Hence the effective waiting time in N can be denoted by Ω = m a x { ω i , τ d i } , for ω i the waiting is at y i Y . To address this, the objective function given for the BEPP can be modified. Therefore, for T m a x the duration of evacuation vehicles overall under the constraint as in [5], the integrated evacuation planning (Problem 2) can be reformulated as,
Minimize   T m a x
such   that   T m a x Ω +   r R τ t o b r + r R τ b a c k b r   b B
Problem 2.
Given N = ( s ,   d ,   V ,   A ,   E ,   u a ,   τ a ,   τ e ,   Z ), having supplies and demands at s and Z, respectively. The integrated evacuation planning problem in a prioritized embedding is to assign the vehicles for evacuees’ transshipment with a minimum clearance time.
To address such a problem in a prioritized embedding, we have the transit-vehicle assignment algorithm (Algorithm 2) for the minimum clearance time as in [7].
Algorithm 2. Transit-vehicle assignment algorithm for the minimum clearance time.
Input: An embedded evacuation network N = ( s ,   d ,   V ,   A ,   E ,   u a ,   τ a ,   τ e ,   Z ).
 1.
In N 1 = ( s ,   V ,   A ,   u a ,   τ a ,   Y ) , consider Y as the sinks and determine the earliest arrival of evacuees for τ a = 0 at different Y from s, by using Algorithm 1.
 2.
Assign the transit vehicles from d to N 2 = ( d ,   Y ,   E ,   τ e ,   Z ) for the supplies provided by Step 1 at Y, as guided by the dominant vehicle assignment approach as in [7].
 3.
Stop, if all the supplies available at each of Y are fulfilled, respecting the capacity constraints of Z.
 4.
Otherwise, return to Step 2.
Output: Transit-vehicle assignment with the minimum clearance time from s   Z .

5. An Integrated Prioritized Evacuation System

In a prioritized evacuation system as in [11,12], evacuees are collected from the disaster zone to the prioritized pickup locations of the primary sub-network in the minimum time as the quickest transshipment by using the lex-max flow approach [13]. Considering such pickup locations as the sources, the available set of transit buses are also assigned in the network to evacuate the evacuees safely to the sinks on a first-come-first-serve basis and is better suited for the simultaneous flow of evacuees. Such an assignment is also carried out in a dominating solution approach by adjusting the potential demands of the pickup locations to the minimum wait in the embedding. To have the quickest arrival of evacuees with partial arc reversals capability, we introduce Problem 3 and design Algorithm 3 as follows:
Problem 3.
Given an evacuation sub-network N 1 = ( S ,   V ,   A ,   u a ,   τ a ,   Y ), with supplies at S, demands at Y, auxiliary nodes V, arc capacity u a , and arc transit time τ a for a A . The quickest partial arc reversal transshipment problem is to find the quickest arrival of evacuees at Y with partial arc reversals capability.
Algorithm 3. Quickest partial arc reversal transshipment algorithm.
Input: A dynamic sub-network N 1 = ( S ,   V ,   A ,   u a ,   τ a ,   Y ) , with the supply and demand.
 1.
Construct a transformed dynamic sub-network N 1 _ as in Equation (7).
 2.
Solve the quickest transshipment problem [13] in the transformed network of Step 1.
 3.
For each θ T and reverse a A up to capacity c a u a if and only if c a > u a , u a replaced by 0 whenever a   A , in N 1 , where c a denotes the static s y flow value in each a A for such sub-network.
 4.
For each θ T and a A , if a is reversed, then k a = u a _ c a and k a = 0 . If neither a nor a is reversed, then k a = u a c a where k a is saved capacity of a , [9].
Output: The quickest arrival of evacuees at Y in N 1 with partial arc reversal capability.
For its time complexity, we have Theorem 2.
Theorem 2.
([11]). For the quickest partial arc reversal transshipment in N 1 , the quickest evacuee arrival problem can be computed in polynomial-time complexity via k minimum cost flow (MCF) computations in O ( k ( M C F ) ( m , n ) ) time, where M C F ( m , n ) = O ( m   l o g   n   ( m + n   l o g   n ) ) in a network having n nodes and m arcs.
Proof. 
Steps 1, 3, and 4 related to the arc reversal capability as in Algorithm 3 are solved in a linear time, so that their time complexity is dominated by the time complexity of the computation of the quickest evacuee arrival in N 1 and is solved in polynomial-time in O ( k ( M C F ) ( m , n ) where M C F ( m , n ) = O ( m   l o g   n   ( m + n   l o g   n ) ) in a network having n nodes and m arcs as in [14]. □
Transit buses having uniform capacity Q are assigned from d which are sufficiently nearer to Y in N 2 on a first-come-first-serve basis. Such assignment begins only after α 1 Q for α 1 is the number of evacuees who have arrived at the highest pickup demand. For the subsequent assignments, the effective waiting instance ψ is almost negligible.
Buses are assumed to collect their full capacities. For this, the potential demands of the pickup locations are adjusted to be the integral multiple of busloads. Let the potential demand of the pickup location y k   Y be α ( y k ) . For   . to be the floor function, the demands can be adjusted to be α ( y k ) by using the following demand adjustment.
α ( y k ) = α ( y k ) + q = 1 k 1 [ α ( y k ) α ( y k ) ] Q · Q
However, if the k t h pickup location is the last one with the least priority, then it is taken as,
α ( y k ) = α ( y k ) + q = 1 k 1 [ α ( y q ) α ( y q ) ]
Then the integrated evacuation planning problem, under similar constraints as above, can be reformulated as;
Minimize Τ m a x
s u c h   t h a t , τ m a x ψ + r R τ t o b r + r R τ b a c k b r b B
Constraint (13) needs T m a x to be greater than or equal to the maximum travel cost incurred by all buses and is to be maximized in (12).
In an integrated approach, the quickest transshipment of the evacuees at Y in N 1 in the form of lex-max dynamic flows with respect to the adjusted demands are assigned to the transit buses in N 2 . For this, we introduce Problem 4 and design Algorithm 4.
Problem 4.
Given an evacuation network N = ( S ,   V ,   A ,   u a ,   τ a ,   Y ,   d ,   u e ,   τ e ,   Z ) . Having supplies and demands at s and Z respectively, the integrated evacuation planning problem in a prioritized embedding is to assign the vehicles for evacuees’ transshipment with minimum clearance time.
Algorithm 4. An integrated evacuation planning algorithm in a prioritized embedding.
Input: An embedding N = ( S ,   V ,   A ,   u a ,   τ a ,   Y ,   d ,   u e ,   τ e ,   Z ) , with given supply and demand.
 1.
Consider N 1 = ( S ,   V ,   A ,   u a ,   τ a ,   Y ) having their pickup locations be Y .
 2.
Construct a priority ordering of Y assigning the highest priority to the nearest from S.
 3.
Determine the arrival of evacuees at Y of N 1 from S using Algorithm 3.
 4.
Assign the transit buses from d to Y in N 2 = ( d ,   Y ,   u e ,   τ e ,   Z ) for the supplies obtained in Step 3, to the nearest sink Z , on a first-come-first-serve basis.
 5.
Begin the assignment with α 1 Q for α 1 be the collection of evacuees at Y provided by Equation (10).
 6.
Stop, if all the supplies at each Y are fulfilled, respecting the capacity constraints of.
 7.
Otherwise, return to Step 4.
Output: Transshipment of evacuees finally to Z in minimum clearance time.

6. Conclusions

Different network structures, models, algorithms, and their solution strategies are integrated and extended to achieve the quickest transshipment of the evacuees in an integrated network. Assignment of transit vehicles in such embeddings is carried out in a domination solution approach for the minimum evacuation time.
Corresponding to an integrated network topology, specific arrival patterns are considered in the collection network. In such a network, we use the concept of partial arc reversals which is beneficial to increase the flow values of evacuees by decreasing their collection time and is also favorable to have the minimum clearance time of the evacuees. The unused and saved arcs can be used for logistics and emergency facilities. A prioritized primary network is considered to collect the evacuees in the lex-max flow approach as the quickest transshipment and is assigned in the secondary sub-network in such prioritized embedding. It is a better suited and novel approach for the simultaneous assignment with minimum delay in the embedding.

Author Contributions

Conceptualization, I.M.A. and T.N.D.; writing—original draft preparation, I.M.A.; writing—review and editing, T.N.D.; supervision, T.N.D. All authors have read and agreed to the published version of the manuscript.

Funding

This research received no external funding.

Institutional Review Board Statement

Not applicable.

Informed Consent Statement

Not applicable.

Data Availability Statement

Not applicable.

Conflicts of Interest

The authors declare no conflict of interest.

References

  1. Dhamala, T.N.; Adhikari, I.M. On evacuation planning optimization problems from transit-based perspective. Int. J. Oper. Res. 2018, 15, 29–47. [Google Scholar]
  2. Dhamala, T.N.; Adhikari, I.M.; Nath, H.N.; Pyakurel, U. Meaningfulness of OR Models and Solution Strategies for Emergency Planning. In Living Under the Threat of Earthquakes; Kruhl, J., Adhikari, R., Dorka, U., Eds.; Springer: Cham, Switzerland, 2018; pp. 175–194. [Google Scholar]
  3. Dhamala, T.N.; Pyakurel, U.; Dempe, S. A critical survey on the network optimization algorithms for evacuation planning problems. Int. J. Oper. Res. 2018, 15, 101–133. [Google Scholar]
  4. Bish, D.R. Planning for a bus-based evacuation. OR Spektrum 2011, 33, 629–654. [Google Scholar] [CrossRef]
  5. Goerigk, M.; Grün, B.; Heßler, P. Branch and bound algorithms for the bus evacuation problem. Comput. Oper. Res. 2013, 40, 3010–3020. [Google Scholar] [CrossRef]
  6. Pyakurel, U.; Goerigk, M.; Dhamala, T.N.; Hamacher, H.W. Transit dependent evacuation planning for Kathmandu valley: A case study. Int. J. Oper. Res. Nepal 2016, 5, 49–73. [Google Scholar]
  7. Adhikari, I.M.; Pyakurel, U.; Dhamala, T.N. An integrated solution approach for the time minimization evacuation planning problem. Int. J. Oper. Res. 2020, 17, 27–39. [Google Scholar]
  8. Schmidt, M.; Skutella, M. Earliest arrival flows in networks with multiple sinks. Discret. Appl. Math. 2014, 164, 320–327. [Google Scholar] [CrossRef]
  9. Pyakurel, U.; Nath, H.N.; Dempe, S.; Dhamala, T.N. Efficient Dynamic Flow Algorithms for Evacuation Planning Problems with Partial Lane Reversal. Mathematics 2019, 7, 993. [Google Scholar] [CrossRef]
  10. Pyakurel, U.; Dhamala, T.N. Evacuation planning by earliest arrival contraflow. J. Ind. Manag. Optim. 2017, 13, 489–503. [Google Scholar] [CrossRef][Green Version]
  11. Adhikari, I.M.; Dhamala, T.N. Minimum Clearance Time on the Prioritized Integrated Evacuation Network. Am. J. Appl. Math. 2020, 8, 207. [Google Scholar] [CrossRef]
  12. Adhikari, I.M.; Dhamala, T.N. On the Transit-Based Evacuation Strategies in an Integrated Network Topology. Nepali Math. Sci. Rep. 2020, 37, 1–13. [Google Scholar] [CrossRef]
  13. Hoppe, B.; Tardos, É. The Quickest Transshipment Problem. Math. Oper. Res. 2000, 25, 36–62. [Google Scholar] [CrossRef]
  14. Orlin, J.B. Faster strongly polynomial cost flow algorithm. In Proceedings of the 20th Annual Symposium of Theory of Computing, Chicago, IL, USA, 2–4 May 1988; pp. 377–387. [Google Scholar]
Figure 1. An integrated network topology consisting of a primary and secondary sub-network in an embedding.
Figure 1. An integrated network topology consisting of a primary and secondary sub-network in an embedding.
Csmf 02 00008 g001
Publisher’s Note: MDPI stays neutral with regard to jurisdictional claims in published maps and institutional affiliations.

Share and Cite

MDPI and ACS Style

Adhikari, I.M.; Dhamala, T.N. Quickest Transshipment in an Evacuation Network Topology. Comput. Sci. Math. Forum 2022, 2, 8. https://doi.org/10.3390/IOCA2021-10879

AMA Style

Adhikari IM, Dhamala TN. Quickest Transshipment in an Evacuation Network Topology. Computer Sciences & Mathematics Forum. 2022; 2(1):8. https://doi.org/10.3390/IOCA2021-10879

Chicago/Turabian Style

Adhikari, Iswar Mani, and Tanka Nath Dhamala. 2022. "Quickest Transshipment in an Evacuation Network Topology" Computer Sciences & Mathematics Forum 2, no. 1: 8. https://doi.org/10.3390/IOCA2021-10879

APA Style

Adhikari, I. M., & Dhamala, T. N. (2022). Quickest Transshipment in an Evacuation Network Topology. Computer Sciences & Mathematics Forum, 2(1), 8. https://doi.org/10.3390/IOCA2021-10879

Article Metrics

Back to TopTop