Next Article in Journal
The Effectiveness of Oral Myofunctional Therapy in Improving Patients’ Ability to Swallow Pills
Previous Article in Journal
President’s Award: Honoring Becky Winchell
 
 
International Journal of Orofacial Myology and Myofunctional Therapy is published by MDPI from Volume 51 Issue 1 (2025). Previous articles were published by another publisher in Open Access under a CC-BY (or CC-BY-NC-ND) licence, and they are hosted by MDPI on mdpi.com as a courtesy and upon agreement with International Association of Orofacial Myology (IAOM).
Font Type:
Arial Georgia Verdana
Font Size:
Aa Aa Aa
Line Spacing:
Column Width:
Background:
Article

The Influence of Lexical Factors on Vowel Distinctiveness: Effects of Jaw Positioning

by
Benjamin Munson
1,* and
Nancy Pearl Solomon
2
1
Speech-Language-Hearing Sciences, University of Minnesota, 115 Shevlin Hall, 164, Pillsbury Drive, SE, Minneapolis, MN 55455, USA
2
National Military Audiology and Speech Pathology Center, Walter Reed National Military Medical Center, Bethesda, MD, USA
*
Author to whom correspondence should be addressed.
Int. J. Orofac. Myol. Myofunct. Ther. 2016, 42(1), 25-34; https://doi.org/10.52010/ijom.2016.42.1.3
Submission received: 1 November 2016 / Revised: 1 November 2016 / Accepted: 1 November 2016 / Published: 1 November 2016

Abstract

:
The phonetic characteristics of words are influenced by lexical characteristics, including word frequency and phonological neighborhood density (Baese-Berke & Goldrick, 2009; Wright, 2004). In our previous research, we replicated this effect with neurologically healthy young adults (Munson & Solomon, 2004). In research with the same set of participants, we showed that speech sounded less natural when produced with bite blocks than with an unconstrained jaw (Solomon, Makashay, & Munson, 2016). The current study combined these concepts to examine whether a bite-block perturbation exaggerated or reduced the effects of lexical factors on normal speech. Ten young adults produced more challenging lexical stimuli (i.e. infrequent words with many phonological neighbors) with shorter vowels and more disperse F1/F2 spaces than less challenging words (i.e. frequent words with few phonological neighbors). This difference was exaggerated when speaking with a 10-mm bite block, though the interaction between jaw positioning and lexical competition did not achieve statistical significance. Results indicate that talkers alter vowel characteristics in response both to biomechanical and linguistic demands, and that the effect of lexical characteristics is robust to the articulatory reorganization required for successful bite-block compensation.

INTRODUCTION

Fluent, accurate speech production involves many sub-processes, including formulating utterances, accessing words from memory, and planning and executing articulation (Levelt, 1989). Relatively little work has examined the cognitive processes involved in speech production and speech articulation (Bock & Griffin, 2000), at least when compared to the wealth of research on speech articulation, and on speech and language perception and processing. When speech-language pathologists work with clients who have speech sound disorders (SSD), they may focus on movements and biomechanics for speech. But, these same clients may also have cognitive and linguistic deficits affecting their communication abilities (e.g. Munson, Baylis, Krause, & Yim, 2010; Waring & Knight, 2013).
Recognizing the linguistic load of speech stimuli on speech production may be instrumental when selecting therapy materials and ultimately helping clients transition their new motor skills into real-life communication situations.
This study examines how manipulations known to affect the cognitive processes involved in planning speech production interact with jaw positioning using a bite block. Our broader motivation is to consider how motoric and linguistic effects on speech production may interact in clinical treatment protocols for children with SSDs. Indeed, there is some evidence that bite blocks might be useful clinical tools in therapy for children with a variety of SSDs. This comes from findings that children with various SSDs have difficulties in achieving independent control of the tongue and the jaw, and hence might benefit from training procedures that isolate the function of the tongue from that of the jaw (e.g., Edwards, 1992; Terband, Maasen, Van Lieshoult, & Nijland, 2011).
Numerous studies have used phonological form priming to examine various aspects of speech production (Zwitserlood, 1996 and references cited therein). Some of these studies have found facilitating effects of phonological priming (Jescheniak & Schriefers, 2001), whereas others reported inhibitory effects (Sevald & Dell, 1994). Vitevitch (2002) questioned the use of phonological form priming to study speech production, citing extensive literature critical of priming paradigms in general (e.g. Bowles & Poon, 1985). Priming paradigms lead participants to adopt experiment- and task-specific strategies when responding to experimental stimuli. Thus, data from these experiments may reflect commonalities in strategies for responding in priming paradigms, and may not provide evidence for form-related priming in normal speech production and perception.
Rather than priming, Vitevitch (2002) suggested examining speech production processes by using stimuli that vary in their lexical characteristics, and hence in their production demands. One strategy for this is to examine the production of words that vary in lexical difficulty. Lexical difficulty is often operationally defined as the combination of two factors: words’ frequency of use, and the size of their phonological neighborhood, i.e. the number of real words that can be created by adding, changing, or deleting a phoneme from a target word. Lexically difficult words are those that are from dense neighborhoods, and that are used infrequently. These words are identified more poorly than words that are high in frequency and are similar to relatively few other real words (i.e. words from sparse neighborhoods) (Pisoni & Luce, 1997).
Lexical factors also affect speech production. Words’ frequency of use affects the speed with which they are produced in picture-naming tasks (e.g. Balota & Chumbley, 1985). Words’ phonological neighborhood density affects the speed with which they are produced (Vitevitch, 2002). There is also evidence that lexical factors affect phonetic detail in speech. Formant distribution, or degree of dispersion in the F1/F2 vowel space, is a common metric for analyzing vowel production. Wright (2004) examined vowel productions as a function of lexical difficulty and found that vowels in lexically difficult words were produced with formant values closer to the periphery of the F1/F2 vowel space than those in easy words. Thus, the vowels in the lexically difficult words were more physically distinct from one another, and, presumably, more easily discriminated than those in the lexically easy words. This result is consistent with Lindblom’s (1992) H&H theory of speech production, which argues that talkers actively modify their articulation in different tasks and speaking environments to maintain an adequate level of intelligibility. Wright’s (2004) results suggest that talkers have a tacit awareness of the perceptual difficulties associated with lexically difficult words, and subtly modify their articulation to make them easier for listeners to perceive.
Munson and Solomon (2004) replicated Wright’s (2004) finding with a subset of the words from that study. They demonstrated that both components of lexical difficulty (frequency of use and phonological neighborhood density) had independent influences on vowel dispersion. Second, Munson and Solomon showed that the influence of vowel duration on vowel dispersion differences was not due to a confounding effect of lexical difficulty on vowel duration. Vowel duration is positively correlated with vowel dispersion, such that shorter vowels tend to be produced farther from the periphery of the vowel space than longer vowels (Moon & Lindblom, 1994). It has been established previously that frequency of word usage influences word duration: high-frequency words are shorter than low-frequency words (Wright, 1979), and nonwords with frequent diphone sequences are shorter than ones with infrequent or non-occurring sequences (Munson, 2001). Munson and Solomon’s results suggest that Wright’s original findings on vowel dispersion were not due to a mediating influence of vowel duration.
Work subsequent to that by Munson and Solomon (2004) has shown numerous other effects of lexical difficulty on articulation, but a full review of this literature is outside the scope of this paper. A few representative findings are as follows. Baese-Berk and Goldrick (2009) showed that voice-onset time of voiceless stops is longer in lexically difficult words than in short ones. Gahl, Yao, and Johnson (2012) demonstrated that the effect of lexical difficulty on vowel duration in connected speech is the opposite of what Wright (2004) and Munson and Solomon found in laboratory speech. Further work by Gahl (2015) provided evidence that the apparent effect of lexical difficulty on vowel production might be due to the distribution of consonants adjacent to vowels in hard and easy words and their coarticulatory effects on vowels, rather than to lexical competition. Buz and Jaeger (2016) failed to replicate Munson and Solomon’s finding that lexical competition affects vowel dispersion.
They speculated that our findings reflected the presence of minimal pairs or near-minimal pairs in the set of lexically difficult stimuli, and that hyperarticulation reflected speakers’ intentional exaggeration of differences between words in the experiment. The current study examines the combined effect lexical difficulty and jaw positioning by a bite block has on vowel dispersion. Numerous studies have demonstrated that speech produced by adults during an articulatory perturbation such as speaking with a bite block differs only minimally from speech produced in jaw-free conditions, both acoustically and kinematically (Gay, Lindblom, & Lubker, 1981; McFarland & Baum, 1995; Baum, McFarland, & Diab, 1996; Solomon, Makashay, & Munson, 2016). This compensation can occur in the absence of auditory and tactile-kinesthetic feedback (Kelso & Tuller, 1983), and reflects talkers’ ability to reorganize their articulation to achieve the task-directed goal of producing intelligible speech. We and others have demonstrated that small (2–5 mm) bite blocks have minor effects on speech, but that the impact on vowel formants and spectral characteristics of speech increases as jaw displacement increases (Lindblom & Sundberg, 1971; McFarland & Baum, 1995; Solomon et al., 2016). McFarland and Baum (1995) used a 10-mm bite block to perturb speech based on previous studies that predicted that this amount of jaw displacements would affect consonant and vowel productions while still allowing speech to be produced comfortably. Nonetheless, few differences emerged and those that did mostly affected consonants.
The goal of the current study is to examine the interactive roles of lexical competition and jaw positioning on vowel articulation in normally speaking adults. Specifically, it examines the duration and F1/F2 dispersion of vowels in lexically easy and lexically difficult words spoken with and without a 10-mm bite block. Preemptively, this study first seeks to rule out the potential effect of vowel duration on vowel- space differences associated with lexical difficulty. If expanded vowel spaces result from increased duration, then we would predict strong, consistent correlations between those measures. Second, it examines whether vowel dispersion is associated with lexical difficulty because of the frequency of word usage, or because of active articulatory reorganization aimed at maximizing their distinctiveness. If dispersion differences are due to habitual reduction of lexically easy words, then we would predict that they would occur in the jaw- free condition but not in the bite-block condition. We believe that this study overall will help speech-language pathologists understand how stimulus characteristics might interact with jaw positioning in clinical treatment of individuals with developmental and acquired speech sound disorders.

METHODOLOGY

Participants

A group of 10 adults [8 women and 2 men, ages 20;11 (yr:mo) to 38;9 (M = 26;3, SD = 6;2)] participated in this study after providing informed consent, the protocol for which was approved by the University of Minnesota IRB for Human Subjects Research. All participants were native speakers of English, passed a hearing screening at 20 dB at 500 Hz, 1, 2, and 4 kHz (ANSI, 1989), and reported no history of speech, language, or hearing disorders. These participants have been described previously (Munson & Solomon, 2004; Solomon & Munson, 2004; Solomon et al., 2016). Subjects received $10 per hour for their participation. The entire protocol, including making the bite blocks and participating in all of the speech and nonspeech tasks, took approximately 2 hours.

Materials

Stimuli

Stimuli included 30 CVC words, listed in Table 1, according to the pronunciation common to Minnesota. Certain pronunciations (e.g. wash, vote, both, goat, moat) differed from many other dialects of English – the mid-back round vowel is a long monophthong /o:/ rather than the diphthong /ov/; both /a/ and /з/ are produced as /a/. The six vowels chosen for this study and their distribution within the lists were consistent with previously published results (Wright, 2004) and in accordance with the additional constraint of choosing words based on lexical difficulty and phonetic factors like final consonant voicing.
The words were selected from the Hoosier Mental Lexicon (Pisoni, Nusbaum, Luce, & Slowiaczek, 1985), an on-line version of Webster’s pocket dictionary. Half of these were lexically difficult, in that they have a relatively low frequency of usage and are phonologically similar to many other real words. The remaining 15 words were lexically easy, meaning they have a relatively high frequency of usage and iare phonologically similar to few other real words. All of the words in this study were highly familiar to undergraduate students (mean familiarity rating > 6.8 on a 7-point scale; Pisoni et al., 1985).
The two word lists contained equal numbers of words with the six vowels /i/, /i/, /æ/, /a/, /o:/, and /u/ and were balanced for characteristics known to affect vowel duration. In particular, the two lists did not differ significantly in the distribution of words ending in voiced obstruents, voiceless obstruents, or voiced sonorant consonants [x2(2) = 0.70, p > .05].

Bite Blocks

Bite blocks were created for each participant using the materials and procedures presented in Netsell (1985) and described in our related papers (Solomon & Munson, 2004; Solomon et al., 2016). For this study, participants used a bite block that separated the upper and lower molars by ~10 mm. The block was placed unilaterally (7 right, 3 left as described in Solomon & Munson, 2004).
Table 1. Stimulus words.
Table 1. Stimulus words.
Ijom 42 00025 i001

Data Collection

The data reported in this paper were collected as part of a larger study examining the influence of a bite block on nonspeech (Solomon & Munson, 2004) and speech (Solomon et al., 2016) tasks, and the influence of lexical competition on speech (Experiment 1 in Munson & Solomon, 2004). The task included in this article was embedded randomly in the larger protocol, with the stipulation of at least 30 minutes for recovery after the tongue endurance tasks to avoid potential effects of muscle fatigue on speech production (Solomon, 2000).
Participants read the target words from 3 × 5 cards randomized for order for each jaw-positioning condition. The order of the jaw-positioning conditions (jaw free and 10-mm bite block) was counterbalanced across the participants. Each condition occurred during individual sessions, separated by at least one week, to minimize the chance that responses were influenced by stimulus familiarity. In addition, the word-reading task was initiated immediately after placing the 10-mm bite block to avoid accommodation to the articulatory perturbation (McFarland & Baum, 1995). Speech was recorded in a quiet room via a head-mounted microphone (AKG-C420 with Rolls phantom power source) onto a Roland VS-890 digital workstation (sampling rate = 44.1 kHz, 16-bit quantization) and subsequently transferred to a computer workstation.

Measurement

Speech acoustic analysis was conducted with signal-processing software (Praat v. 4.0.7, Boersma, 2001). Tokens produced with a disfluency or with extraneous noise were excluded, resulting in 111 to the full set of 120 tokens per talker (mean = 117). Missing tokens were distributed evenly among lexically difficult and easy words, and between the two jaw-positioning conditions.
Determination and reliability of vowel-duration measurements were described in detail previously (Munson & Solomon, 2004). Generally, vowel onset was defined as the beginning of periodicity in the acoustic waveform or a clear formant structure in the spectrogram. Vowel offset was taken as discontinuity in the amplitude or periodicity of the waveform or the end of a formant structure in the spectrogram. For F1/F2 dispersion, F1 and F2 were measured automatically at vowel midpoint using an LPC formant-tracking algorithm in Praat and hand-checked for accuracy as needed. Formant values were then converted to Bark values prior to computing F1/F2 dispersion (Zwicker & Turnhardt, 1980).
Dispersion in the F1/F2 space followed the method of Bradlow, Toretta, and Pisoni (1996). For each participant, F1/F2 dispersion was calculated separately for difficult and easy words produced in the jaw-free and bite-block conditions.

RESULTS

A two-factor (lexical competition x jaw positioning) within-subjects ANOVA on average vowel duration showed a significant effect of lexical difficulty [F(1,9) = 12.13, p = .007], but no effect of jaw positioning [F(1,9) = 0.217, p = .652] and no interaction [F(1,9) = 1.522, p = .249]. Figure 1 shows vowel duration across the two conditions.
As this Figure shows, the vowels in lexically easy words were longer than those in lexically difficult words across both jaw-positioning conditions. Moreover, there was more variation across listeners in the durations of the lexically easy vowels in the jaw-free condition than for the other three conditions.
A two-factor (lexical competition x jaw positioning) within-subjects ANOVA on vowel dispersion showed a significant effect of lexical difficulty [F(1,9) = 33.69, p < .001], but no effect of jaw positioning [F(1,9) = 1.590, p = .239] and no interaction [F(1,9) = 2.648, p = .138]. Figure 2 shows the vowel dispersion across the two conditions. As this figure shows, the vowel dispersion was greater in the lexically hard words across the two jaw-positioning conditions. Figure 3 plots the vowels in the F1/F2 space, separation by jaw position and lexical difficulty. Neither the F1 nor the F2 varied systematically as a function of jaw fixation, lexical difficulty, or their interaction [F1: for lexical difficulty, F(1,9) = 0.064, p = .806; for jaw fixation, F(1,9) = 0.469, p = .511; interaction, F(1,9) = 0.632, p = .447; F2: for lexical difficulty, F(1,9) = 0.218, p = .652; for jaw fixation, F(1,9) = 0.810, p = .391; interaction, F(1,9) = 1.209, p = .130].
When data were collapsed across conditions, the correlation between vowel duration and F1/F2 dispersion was significant, (r = -.331, p < .05). The direction of the relationship was for words with the shortest vowels to be produced with the most dispersion. This is inconsistent with the notion that differences in vowel dispersion across levels of lexical difficulty were due to differences in the duration of the vowels. Moreover, when data were examined within each condition, correlation coefficients did not meet criterion for significance. This was true regardless of whether a Pearson or Spearman correlation coefficient was examined.

DISCUSSION

This study examined the compounding effects of lexical competition and articulatory perturbation on the speech of normal young adults. It confirmed that CVC words that are infrequent in the lexicon and have many phonological neighbors (i.e. lexically difficult) were produced with more disperse vowel spaces than those that are frequent and have relatively few phonological neighbors (i.e. lexically easy).
Figure 3. Scatterplot showing the relationship between vowel-space dispersion and average duration, separated by jaw-positioning condition and lexical difficulty. Open symbols are lexically easy words, filled symbols are lexically difficult words. Jaw-free productions are circles and bite-block productions are squares.
Figure 3. Scatterplot showing the relationship between vowel-space dispersion and average duration, separated by jaw-positioning condition and lexical difficulty. Open symbols are lexically easy words, filled symbols are lexically difficult words. Jaw-free productions are circles and bite-block productions are squares.
Ijom 42 00025 g003
An unexpected finding in this study was that the vowels in lexically difficult words were produced with shorter durations than those in lexically easy words. Although this finding may appear to contradict previous research on the influence of word frequency on duration (Munson, 2001; Wright, 1979), it is not incompatible with it. One inconsistency in the literature is that these studies examined words that differed in written word frequency, whereas the current study examined words that differed both in frequency and in neighborhood density. Based on findings by Vitevitch (2002), one could also hypothesize that the difference in duration between the easy trade-off between the latency with which a word is uttered and its duration. Future research should examine the relative contribution of frequency and neighborhood density to the duration of different parts of words. Nonetheless, this unexpected result dispelled concerns that lexical difficulty was related to vowel duration for this study.
Furthermore, lexical difficulty did not appear to be due to the articulatory reduction of easy words, as differences in dispersion were more marked when participants spoke with a 10-mm bite block. In that condition, talkers were forced to reorganize their articulation to compensate for the bite block, and thus could not use a habitual, reduced articulation for the lexically easy words. Taken together, these results support Wright’s (2004) hypothesis that the differences between lexically easy and lexically difficult words reflect either conscious or unconscious modifications aimed at maximizing the distinctiveness of vowels in lexically difficult words.
One criticism of this work that has been raised recently is the extent to which the hyperarticulation of lexically difficult words reflects speakers’ responses to the lexical contrasts in the set of stimuli used in the experiment itself. Recall that Buz and Jaeger (2016) were not able to replicate Munson and Solomon’s (2004) finding. They speculated that the hyperarticulation noted by Wright and by Munson and Solomon were because of the existence of near-minimal pairs in the stimulus set. The existence of minimal pairs or near- minimal pairs might have prompted the participants to hyperarticulate their productions to differentiate them from other stimuli in the experiment, perhaps including words that had been recently uttered by the participants. This possibility is intriguing, but evaluating it is outside the scope of this paper. However, it is noteworthy to point out that the use of a small set of stimuli that constitute minimal or near- minimal pairs is common in speech therapy. Hence, the current result provides useful information about the types of production differences that might emerge during speech and language therapy.
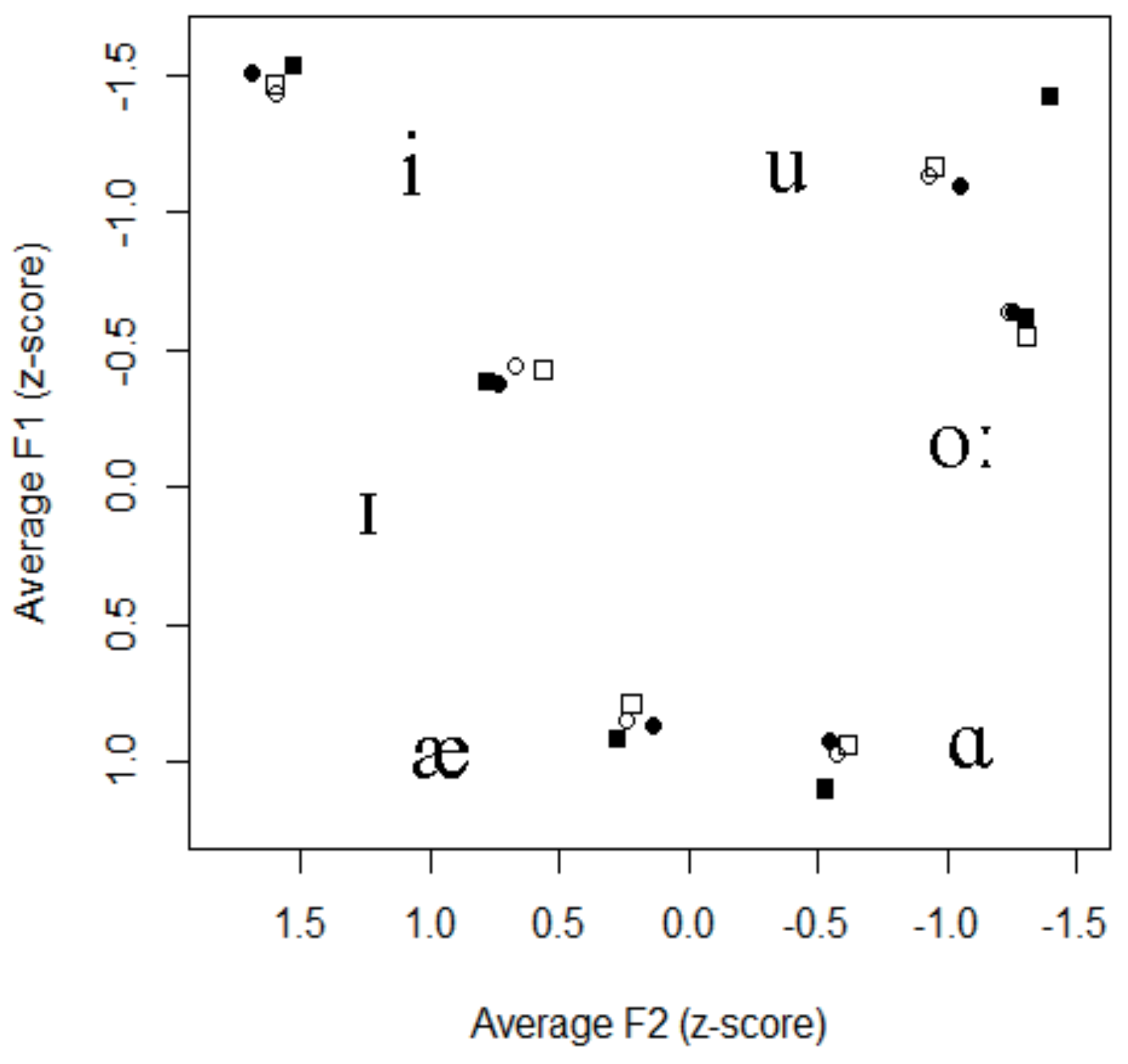
Figure 4. Average F1 and F2 values for the six vowels in the four conditions. Open symbols are lexically easy words, filled symbols are lexically difficult words. Jaw- free productions are circles and bite-block productions are squares. Data were transformed to z-scores by individuals to facilitate comparison across talkers with different mean formant frequencies overall.
Figure 4. Average F1 and F2 values for the six vowels in the four conditions. Open symbols are lexically easy words, filled symbols are lexically difficult words. Jaw- free productions are circles and bite-block productions are squares. Data were transformed to z-scores by individuals to facilitate comparison across talkers with different mean formant frequencies overall.
Ijom 42 00025 g004

CONCLUSION

The vast majority of research on speech production has focused either on the articulatory and acoustic characteristics of speech sounds, or on the psychological factors that affect chronometric measures of the planning of speech movements, but not on both. Studies addressing the former topic have typically been the domain of the fields of phonetics, speech science, and speech disorders; the latter have been the domain of the fields of psychology and cognitive science. Rarely are the two processes studied together. Subsequently, our appreciation of the many acoustic and articulatory variants of speech sounds rarely takes into account knowledge of movement planning and execution.
The lack of an integrated understanding of factors underlying speech production has practical consequences. For example, clinical programs for the remediation of speech disorders have not benefited from the extensive knowledge of factors influencing the planning of speech gained in the fields of psychology and cognitive science. The vast majority of remediation programs for speech disorders focuses on motor training, despite the fact that planning difficulties may very well underlie inaccurate speech production. Indeed, phonological disorders in children (e.g. Bernthal & Bankson, 1993) are often characterized as having a primary deficit in the abstract planning of speech. Despite this, clinical protocols for treating phonological disorders typically rely on motor practice, supplemented with various degrees of metalinguistic awareness training. A better understanding of the relationship between planning and execution of speech may facilitate the development of novel treatment programs that target the planning processes implicated in speech disorders.

Acknowledgements

This research was funded by the College of Liberal Arts at the University of Minnesota. We thank Anne Benkusky, Nancy DeBoe, Shayla Manthei, and Cyndie Swenson for assistance in participant recruitment, data collection, and data analysis. This research was supported by National Institutes of Health Grants R03 DC06096 to Nancy Pearl Solomon and R03 DC05702 to Benjamin Munson and by the University of Minnesota through laboratory setup funds to Benjamin Munson. The identification of specific products or scientific instrumentation does not constitute endorsement or implied endorsement on the part of the authors, Department of Defense (DoD), or any component agency. The views expressed in this presentation are those of the authors and do not reflect the official policy of the DoD or U.S. Government.

References

  1. ANSI. Specifications for Audiometers; American National Standards Institute, 1989. [Google Scholar]
  2. Baese-Berk, M.; Goldrick, M. Mechanisms of interaction in speech production. Language and Cognitive Processes 2009, 24, 527–554. [Google Scholar]
  3. Balota, D. A.; Chumbley, J. I. The locus of word-frequency effects in the pronunciation task: Lexical access and/or production? Journal of Memory and Language 1985, 24, 89–106. [Google Scholar]
  4. Baum, S.; McFarland, D.; Diab, M. Compensation to articulatory perturbation: Perceptual data. Journal of the Acoustical Society of America 1996, 99, 3791–3794. [Google Scholar] [PubMed]
  5. Bernthal, J.; Bankson, N. Articulation and Phonological Disorders, 3rd ed.; Prentice-Hall, 1993. [Google Scholar]
  6. Bock, K.; Griffin, Z. Wheeldon, L., Ed.; Producing words: How mind meets mouth. In Aspects of Language Production; Psychology Press, 2000; pp. 7–47. [Google Scholar]
  7. Boersma, P. Praat, a system for doing phonetics by computer. Glot International 2001, 5(9/10), 341–345. [Google Scholar]
  8. Bradlow, A.; Torretta, G.; Pisoni, D. Intelligibility of normal speech I: Global and fine-grained acoustic-phonetic talker characteristics. Speech Communication 1996, 20, 255–272. [Google Scholar]
  9. Buz, E.; Jaeger, T. F. The (in)dependence of articulation and lexical planning during isolated word production. Language, Cognition, and Neuroscience 2016, 31, 402–424. [Google Scholar]
  10. Edwards, J. Compensatory articulation of normal and phonologically disordered children. Journal of Phonetics 1992, 20, 189–207. [Google Scholar]
  11. Gahl, S. Lexical competition in vowel articulation revisited: Vowel dispersion in the Easy/Hard database. Journal of Phonetics 2015, 49, 96–116. [Google Scholar]
  12. Gahl, S.; Yao, Y.; Johnson, K. Why reduce? Phonological neighborhood density and phonetic reduction in spontaneous speech. Journal of Memory and Language 2012, 66, 789–806. [Google Scholar]
  13. Gay, T.; Lindblom, B.; Lubker, J. Production of bite-block vowels: Acoustic equivalence by selective compensation. Journal of the Acoustical Society of America 1981, 69, 802–810. [Google Scholar]
  14. Jescheniak, J.; Schriefers, H. Priming effects from phonologically related distractors in picture–word interference. The Quarterly Journal of Experimental Psychology A 2001, 54, 371–382. [Google Scholar]
  15. Kelso, J.; Tuller, B. Compensatory articulation under conditions of reduced afferent information: A dynamic formulation. Journal of Speech and Hearing Research 1983, 26, 217–224. [Google Scholar] [CrossRef] [PubMed]
  16. Levelt, W. Speaking: From Intention to Articulation; MIT Press, 1989. [Google Scholar]
  17. Lindblom, B. Hardcastle, W., Marchal, A., Eds.; Explaining phonetic variation: A sketch of the H and H theory. In Speech Production and Speech Modeling; Kluwer, 1990; pp. 403–439. [Google Scholar]
  18. Luce, P.; Pisoni, D. Recognizing spoken words: The neighborhood activation model. Ear and Hearing 1997, 19, 1–36. [Google Scholar] [CrossRef] [PubMed]
  19. McFarland, D.; Baum, S. Incomplete compensation to articulatory perturbation. Journal of the Acoustical Society of America 1995, 97, 1865–1873. [Google Scholar] [CrossRef]
  20. Moon, S.; Lindblom, B. Interaction between duration, context, and speaking style in English stressed vowels. Journal of the Acoustical Society of America 1994, 96, 40–55. [Google Scholar] [CrossRef]
  21. Munson, B. Phonological pattern frequency and speech production in adults and children. Journal of Speech, Language, and Hearing Research 2001, 44, 778–792. [Google Scholar] [CrossRef]
  22. Munson, B.; Baylis, A. L.; Krause, M. O.; Yim, D. Foueron, C., Kühnert, B., D’Imperio, M., Vallée, N., Eds.; Representation and access in phonological impairment. In Laboratory Phonology 10; Mouton de Gruyter, 2010; pp. 381–404. [Google Scholar]
  23. Munson, B.; Solomon, N. P. The effect of phonological neighborhood density on vowel articulation. Journal of Speech, Language, and Hearing Research 2004, 47, 1048–1058. [Google Scholar] [CrossRef]
  24. Netsell, R. Construction and use of a bite-block for the evaluation and treatment of speech disorders. Journal of Speech and Hearing Disorders 1985, 50, 103–106. [Google Scholar] [CrossRef]
  25. Pisoni, D.; Nusbaum, H.; Luce, P.; Slowiaczek, L. Speech perception, word recognition, and the structure of the lexicon. Speech Communication 1985, 4, 75–95. [Google Scholar] [CrossRef]
  26. Sevald, C.; Dell, G. The sequential cueing effect in speech production. Cognition 1994, 53, 91–127. [Google Scholar] [CrossRef]
  27. Solomon, N. Changes in normal speech after fatiguing the tongue. Journal of Speech, Language, and Hearing Research 2000, 43, 1416–1428. [Google Scholar] [CrossRef] [PubMed]
  28. Solomon, N. P.; Munson, B. The effect of jaw position on measures of tongue strength and endurance. Journal of Speech, Language, and Hearing Research 2004, 47, 584–594. [Google Scholar] [CrossRef] [PubMed]
  29. Solomon, N. P.; Makashay, M. J.; Munson, B. The effect of jaw position on perceptual and acoustic characteristics of speech. International Journal of Orofacial Myology 2016, 42, 15–24. [Google Scholar] [CrossRef]
  30. Terband, H.; Maassen, B.; van Lieshout, P.; Nijland, L. Stability and composition of functional synergies for speech movements in children with developmental speech disorders. Journal of Communication Disorders 2011, 44, 59–74. [Google Scholar] [CrossRef]
  31. Vitevitch, M. The influence of phonological similarity neighborhoods on speech production. Journal of Experimental Psychology: Learning, Memory, & Cognition 2002, 28, 735–747. [Google Scholar]
  32. Waring, R.; Knight, R. How should children with speech sound disorders be classified? A review and critical evaluation of current classification systems. International Journal of Language and Communication Disorders 2013, 28, 25–40. [Google Scholar] [CrossRef]
  33. Wright, R. Local, J., Ogden, R., Temple, R., Eds.; Factors of lexical competition in vowel articulation. In Papers in Laboratory Phonology VI; Cambridge University Press, 2004. [Google Scholar]
  34. Zwicker, E.; Ternhardt, E. Analytical expressions for critical-band rate and critical bandwidth as a function of frequency. Journal of the Acoustical Society of America 1980, 68, 1523–1524. [Google Scholar] [CrossRef]
  35. Zwitserlood, P. Form priming. Language and Cognitive Processes 1996, 11, 589–596. [Google Scholar] [CrossRef]
Figure 1. Mean duration (ms) of vowels in lexically easy and lexically difficult words in jaw-free and bite-block contexts. Error bars = 1 SEM.
Figure 1. Mean duration (ms) of vowels in lexically easy and lexically difficult words in jaw-free and bite-block contexts. Error bars = 1 SEM.
Ijom 42 00025 g001
Figure 2. Mean F1/F2 dispersion (Bark) of vowels in lexically easy and lexically difficult words in jaw-free and bite-block contexts. Error bars = 1 SEM.
Figure 2. Mean F1/F2 dispersion (Bark) of vowels in lexically easy and lexically difficult words in jaw-free and bite-block contexts. Error bars = 1 SEM.
Ijom 42 00025 g002

Share and Cite

MDPI and ACS Style

Munson, B.; Solomon, N.P. The Influence of Lexical Factors on Vowel Distinctiveness: Effects of Jaw Positioning. Int. J. Orofac. Myol. Myofunct. Ther. 2016, 42, 25-34. https://doi.org/10.52010/ijom.2016.42.1.3

AMA Style

Munson B, Solomon NP. The Influence of Lexical Factors on Vowel Distinctiveness: Effects of Jaw Positioning. International Journal of Orofacial Myology and Myofunctional Therapy. 2016; 42(1):25-34. https://doi.org/10.52010/ijom.2016.42.1.3

Chicago/Turabian Style

Munson, Benjamin, and Nancy Pearl Solomon. 2016. "The Influence of Lexical Factors on Vowel Distinctiveness: Effects of Jaw Positioning" International Journal of Orofacial Myology and Myofunctional Therapy 42, no. 1: 25-34. https://doi.org/10.52010/ijom.2016.42.1.3

APA Style

Munson, B., & Solomon, N. P. (2016). The Influence of Lexical Factors on Vowel Distinctiveness: Effects of Jaw Positioning. International Journal of Orofacial Myology and Myofunctional Therapy, 42(1), 25-34. https://doi.org/10.52010/ijom.2016.42.1.3

Article Metrics

Back to TopTop