The Effect of Jaw Position on Perceptual and Acoustic Characteristics of Speech
Abstract
:INTRODUCTION

![]() |
METHOD
Participants
Instrumentation
Speech Stimuli
Perceptual Study
Participants
Procedure
Analysis
Acoustic Analyses
Segmental Durations
Spectral Moments
Formant Frequencies and Transitions
Speech Rate
Measurement Reliability
RESULTS
Perceptual Study
Acoustic Analyses
Segmental Durations
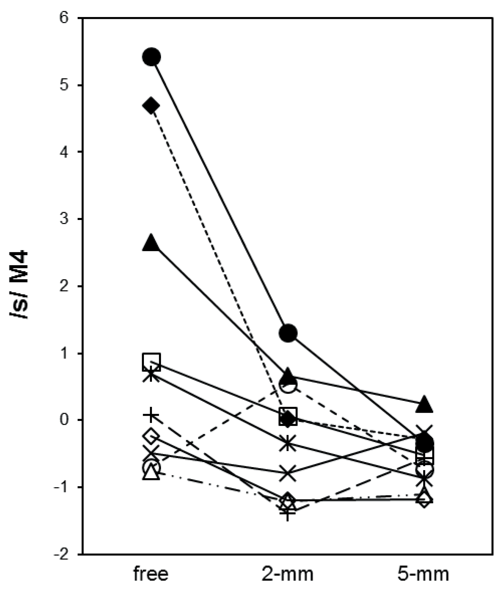
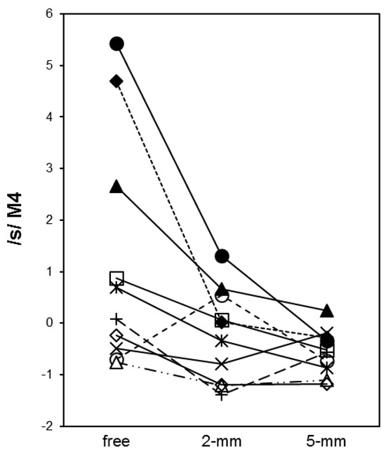
Spectral Moments

Formant Frequencies and Transitions
Speech Rate
DISCUSSION


CONCLUSION
Acknowledgments
Disclaimer
REFERENCES
- Agresti, A. Categorical data analysis; John Wiley & Sons, 1990. [Google Scholar]
- Baum, S. R.; McFarland, D. H.; Diab, M. Compensation to articulatory perturbation: Perceptual data. Journal of the Acoustical Society of America 1996, 99(6), 3791–3794. [Google Scholar] [CrossRef] [PubMed]
- Boersma, P. Praat, a system for doing phonetics by computer. Glot International 2001, 5(9/10), 341–345. [Google Scholar]
- Dworkin, J. P. Bite-block therapy for oromandibular dystonia. Journal of Medical Speech-Language Pathology 1996, 4(1), 47–56. [Google Scholar]
- Edwards, J. Compensatory articulation of normal and phonologically disordered children. Journal of Phonetics 1992, 20, 189–207. [Google Scholar] [CrossRef]
- Flege, J. E.; Fletcher, S. G.; Homiedan, A. Compensating for a bite block in /s/ and /t/ production: Palatographic, acoustic, and perceptual data. Journal of the Acoustical Society of America 1988, 83, 212–228. [Google Scholar] [CrossRef]
- Folkins, J. W.; Linville, R. N; Garrett, J. D.; Brown, C. K. Interactions in the labial musculature during speech. Journal of Speech and Hearing Research 1988, 31(2), 253–264. [Google Scholar] [CrossRef]
- Folkins, J. W.; Zimmerman, G. N. Jaw-muscle activity during speech with the mandible fixed. Journal of the Acoustical Society of America 1981, 69(5), 1441–1445. [Google Scholar] [CrossRef] [PubMed]
- Forrest, K.; Weismer, G.; Milenkovic, P.; Dougall, R. Statistical analysis of word-initial voiceless obstruents: Preliminary data. Journal of the Acoustical Society of America 1988, 84(1), 115–123. [Google Scholar] [CrossRef]
- Gay, T.; Lindblom, B.; Lubker, J. Production of bite-block vowels: Acoustic equivalence by selective compensation. Journal of Acoustical Society of America 1981, 69, 802–810. [Google Scholar] [CrossRef]
- Gibbon, F. E. Undifferentiated lingual gestures in children with articulation/phonological disorders. Journal of Speech, Language, and Hearing Research 1999, 42(2), 382–397. [Google Scholar] [CrossRef]
- Goozée, J.; Murdoch, B.; Ozanne, A.; Cheng, Y.; Hill, A.; Gibbon, F. Lingual kinematics and coordination in speech-disordered children exhibiting differentiated versus undifferentiated lingual gestures. International Journal of Language & Communication Disorders 2007, 42(6), 703–724. [Google Scholar]
- Green, J. R.; Moore, C. A.; Reilly, K. J. The sequential development of jaw and lip control for speech. Journal of Speech, Language, and Hearing Research 2002, 45(1), 66–79. [Google Scholar] [CrossRef] [PubMed]
- Jongman, A.; Wayland, R.; Wong, S. Acoustic characteristics of English fricatives. Journal of the Acoustical Society of America 2000, 108(3), 1252–1263. [Google Scholar] [CrossRef]
- Kelso, J.; Tuller, B. “Compensatory articulation” under conditions of reduced afferent information: A dynamic formulation. Journal of Speech and Hearing Research 1983, 26, 217–224. [Google Scholar] [CrossRef]
- Lindblom, B.; Sundberg, J. Acoustical consequences of lip, tongue, jaw, and larynx movement. Journal of Acoustical Society of America 1971, 50, 1166–1179. [Google Scholar] [CrossRef]
- Makashay, M. J.; Cannard, K. R.; Solomon, N. P. Speech-related fatigue and fatigability in Parkinson’s disease. Clinical Linguistics & Phonetics 2015, 29(1), 27–45. [Google Scholar]
- Marshalla, P. Twenty-two fundamental methods of jaw, lip, and tongue facilitation. International Journal of Orofacial Myology 2007, 33, 48–56. [Google Scholar] [CrossRef]
- McAllister Byun, T. Positional velar fronting: An updated articulatory account. Journal of Child Language 2012, 39(5), 1043–1076. [Google Scholar] [CrossRef]
- McFarland, D. H.; Baum, S. R. Incomplete compensation to articulatory perturbation. Journal of Acoustical Society of America 1995, 97, 1865–1873. [Google Scholar] [CrossRef]
- Moss, A.; Grigos, M. I. Interarticulatory coordination of the lips and jaw in childhood apraxia of speech. Journal of Medical Speech-Language Pathology 2012, 20(4), 127–132. [Google Scholar]
- McNeil, M. R.; Weismer, G.; Adams, S.; Mulligan, M. Oral structure nonspeech motor control in normal, dysarthric, aphasic and apraxic speakers: Isometric force and static position control. Journal of Speech and Hearing Research 1990, 33(2), 255–268. [Google Scholar] [CrossRef] [PubMed]
- Mefford, A; Bissmeyer, M. Bite block effects on vowel acoustics in talkers with amyotrophic lateral sclerosis and Parkinson’s disease [Abstract]. Journal of the Acoustical Society of America 2016, 140(4), 3442. [Google Scholar] [CrossRef]
- Mooshammer, C.; Hoole, P.; Geumann, A. Jaw and order. Language and Speech 2007, 50(Pt. 2), 145–176. [Google Scholar] [CrossRef] [PubMed]
- Namasivayam, A. K.; van Lieshout, P.; De Nil, L. Bite-block perturbation in people who stutter: Immediate compensatory and delayed adaptive processes. Journal of Communication Disorders 2008, 41(4), 372–394. [Google Scholar] [CrossRef]
- Netsell, R. Construction and use of a bite-block for the evaluation and treatment of speech disorders. Journal of Speech and Hearing Disorders 1985, 50, 103–106. [Google Scholar] [CrossRef]
- Nijland, L.; Maassen, B.; Van der Meulen, S. Evidence of motor programming deficits in children diagnosed with DAS. Journal of Speech, Language, and Hearing Research 2003, 46, 437–450. [Google Scholar] [CrossRef]
- Robin, D. A.; Bean, C.; Folkins, J. W. Lip movement in apraxia of speech. Journal of Speech and Hearing Research 1989, 32(3), 512–523. [Google Scholar] [CrossRef]
- Solomon, N. P. Changes in normal speech after fatiguing the tongue. Journal of Speech, Language, and Hearing Research 2000, 43, 1416–1428. [Google Scholar] [CrossRef]
- Solomon, N. P. What is orofacial fatigue and how does it affect function for swallowing and speech? Seminars in Speech and Language 2006, 27(4), 268–282. [Google Scholar] [CrossRef]
- Solomon, N. P.; Munson, B. The effect of jaw position on measures of tongue strength and endurance. Journal of Speech, Language, and Hearing Research 2004, 47, 584–594. [Google Scholar] [CrossRef]
- Terband, H.; Maassen, B.; van Lieshout, P.; Nijland, L. Stability and composition of functional synergies for speech movements in children with developmental speech disorders. Journal of Communication Disorders 2011, 44(1), 59–74. [Google Scholar] [CrossRef] [PubMed]
- Warren, D.; Nelson, G.; Allen, G. Effect of increased vertical dimension on size of constriction port and fricative sound intelligibility. Journal of the Acoustical Society of America 1980, 67, 1828–1831. [Google Scholar] [CrossRef] [PubMed]
- Weismer, G.; Martin, R.; Kent, R. D.; Kent, J. F. Formant trajectory characteristics of males with amyotrophic lateral sclerosis. Journal of the Acoustical Society of America 1992, 91, 1085–1098. [Google Scholar] [CrossRef] [PubMed]


© 2016 by the authors. 2016 Nancy Pearl Solomon, Matthew J. Makashay, Benjamin Munson
Share and Cite
Solomon, N.P.; Makashay, M.J.; Munson, B. The Effect of Jaw Position on Perceptual and Acoustic Characteristics of Speech. Int. J. Orofac. Myol. Myofunct. Ther. 2016, 42, 15-24. https://doi.org/10.52010/ijom.2016.42.1.2
Solomon NP, Makashay MJ, Munson B. The Effect of Jaw Position on Perceptual and Acoustic Characteristics of Speech. International Journal of Orofacial Myology and Myofunctional Therapy. 2016; 42(1):15-24. https://doi.org/10.52010/ijom.2016.42.1.2
Chicago/Turabian StyleSolomon, Nancy Pearl, Matthew J. Makashay, and Benjamin Munson. 2016. "The Effect of Jaw Position on Perceptual and Acoustic Characteristics of Speech" International Journal of Orofacial Myology and Myofunctional Therapy 42, no. 1: 15-24. https://doi.org/10.52010/ijom.2016.42.1.2
APA StyleSolomon, N. P., Makashay, M. J., & Munson, B. (2016). The Effect of Jaw Position on Perceptual and Acoustic Characteristics of Speech. International Journal of Orofacial Myology and Myofunctional Therapy, 42(1), 15-24. https://doi.org/10.52010/ijom.2016.42.1.2

