Tackling Microbial Contamination: Safesink Solution with Silver-Coated Microspheres
Abstract
1. Introduction
2. Materials and Methods
2.1. Preparation of Bioactive Glass Beads
2.2. Microstructural Characterization
2.3. Silver Ion Lixiviation Studies (Release Rate)
2.4. Bioactivity Measurement
2.4.1. Microorganisms and Growth Conditions
2.4.2. Antibacterial Activity Assays
2.4.3. Antimicrobial Effect of Silver Lixiviation
2.5. Cytotoxicity Investigation
3. Results and Discussion
3.1. Microstructural Evaluation of Silver Glass Beads
3.2. Silver Ion Lixiviation Evaluation
3.3. Bioactivity: Antimicrobial and Cytotoxicity Evaluation of Silver Glass Beads
3.3.1. Antimicrobial Activity
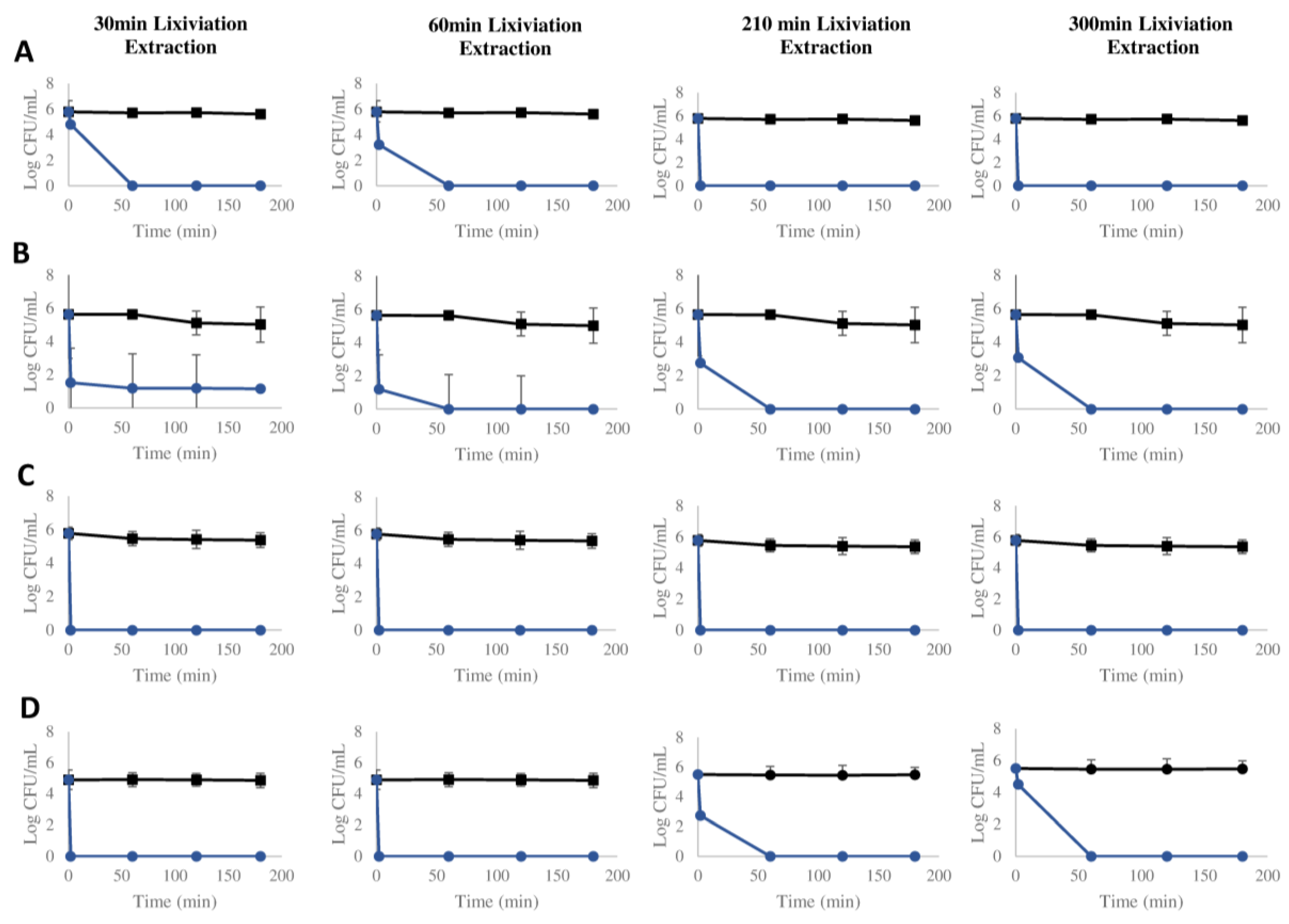
3.3.2. Antimicrobial Activity of Lixiviation Extractions
3.3.3. Cytotoxicity Evaluation of Lixiviation Extractions
4. Conclusions
4.1. Microstructural Characterization
4.2. Silver Lixiviation Studies
4.3. Bioactivity
Author Contributions
Funding
Institutional Review Board Statement
Informed Consent Statement
Data Availability Statement
Conflicts of Interest
References
- Zaragoza, R.; Ramírez, P.; López-Pueyo, M.J. Infección nosocomial en las unidades de cuidados intensivos. Enferm. Infecc. Microbiol. Clin. 2014, 32, 320–327. [Google Scholar] [CrossRef] [PubMed]
- White, M.C. Mortality associated with nosocomial infections: Analysis of multiple cause-of-death data. J. Clin. Epidemiol. 1993, 46, 95–100. [Google Scholar] [CrossRef] [PubMed]
- Danasekaran, R.; Mani, G.; Annadurai, K. Prevention of healthcare-associated infections: Protecting patients, saving lives. Int. J. Community Med. Public. Health 2014, 1, 67. [Google Scholar] [CrossRef]
- García-Martín, M.; Lardelli-Claret, P.; Jiménez-Moleón, J.J.; Bueno-Cavanillas, A.; Luna-del-Castillo, J.d.D.; Gálvez-Vargas, R. Proportion of Hospital Deaths Potentially Attributable to Nosocomial Infection. Infect. Control Hosp. Epidemiol. 2001, 22, 708–714. [Google Scholar] [CrossRef] [PubMed]
- Types of Healthcare-Associated Infections|HAI|CDC. (n.d.). Available online: https://www.cdc.gov/HAI/infectionTypes.html (accessed on 6 June 2023).
- Jean, S.; Chang, Y.; Lin, W.; Lee, W.; Hsueh, P.; Hsu, C. Epidemiology, treatment, and prevention of nosocomial bacterial pneumonia. J. Clin. Med. 2020, 9, 275. [Google Scholar] [CrossRef]
- Moubareck, A.; Halat, D. Insights into Acinetobacter baumannii: A Review of Microbiological, Virulence, and Resistance Traits in a Threatening Nosocomial Pathogen. Antibiotics 2020, 9, 119. [Google Scholar] [CrossRef] [PubMed] [PubMed Central]
- van Duin, D.; Paterson, D. Multidrug-Resistant Bacteria in the Community: An Update. Infect. Dis. Clin. N. Am. 2020, 34, 709–722. [Google Scholar] [CrossRef] [PubMed] [PubMed Central]
- WHO Bacterial Priority Pathogens List, 2024: Bacterial Pathogens of Public Health Importance to Guide Research, Development and Strategies to Prevent and Control Antimicrobial Resistance. Available online: https://www.who.int/publications/i/item/9789240093461 (accessed on 4 October 2024).
- WHO Fungal Priority Pathogens List to Guide Research, Development and Public Health Action. Available online: https://www.who.int/publications/i/item/9789240060241 (accessed on 4 October 2024).
- Gould, C.V.; Umscheid, C.A.; Rajender; Agarwal, K.; Kuntz, G.; Pegues, D.A. Guideline for Prevention of Catheter-Associated Urinary Tract Infections (2009). (n.d.). Available online: https://www.cdc.gov/infectioncontrol/guidelines/cauti/ (accessed on 4 October 2024).
- Herruzo, R.; Ruiz, G.; Vizcaino, M.J.; Rivas, L.; Pérez-Blanco, V.; Sanchez, M. Microbial competition in environmental nosocomial reservoirs and diffusion capacity of OXA48-Klebsiella pneumoniae: Potential impact on patients and possible control methods. J. Prev. Med. Hyg. 2017, 58, E34. [Google Scholar] [CrossRef]
- Volling, C.; Ahangari, N.; Bartoszko, J.J.; Coleman, B.L.; Garcia-Jeldes, F.; Jamal, A.J.; Johnstone, J.; Kandel, C.; Kohler, P.; Maltezou, H.C.; et al. Are Sink Drainage Systems a Reservoir for Hospital-Acquired Gammaproteobacteria Colonization and Infection? A Systematic Review. Open Forum Infect. Dis. 2020, 8. [Google Scholar] [CrossRef]
- De Geyter, D.; Blommaert, L.; Verbraeken, N.; Sevenois, M.; Huyghens, L.; Martini, H.; Covens, L.; Piérard, D.; Wybo, I. The sink as a potential source of transmission of carbapenemase-producing Enterobacteriaceae in the intensive care unit. Antimicrob. Resist. Infect. Control 2017, 6, 24. [Google Scholar] [CrossRef]
- Sukhum, K.V.; Newcomer, E.P.; Cass, C.; Wallace, M.A.; Johnson, C.; Fine, J.; Sax, S.; Barlet, M.H.; Burnham, C.-A.D.; Dantas, G.; et al. Antibiotic-resistant organisms establish reservoirs in new hospital built environments and are related to patient blood infection isolates. Commun. Med. 2022, 2, 62. [Google Scholar] [CrossRef] [PubMed]
- Morones, J.R.; Elechiguerra, J.L.; Camacho, A.; Holt, K.; Kouri, J.B.; Ramírez, J.T.; Yacaman, M.J. The bactericidal effect of silver nanoparticles. Nanotechnology 2005, 16, 2346–2353. [Google Scholar] [CrossRef]
- Chamakura, K.; Perez-Ballestero, R.; Luo, Z.; Bashir, S.; Liu, J. Comparison of bactericidal activities of silver nanoparticles with common chemical disinfectants. Colloids Surf. B Biointerfaces 2011, 84, 88–96. [Google Scholar] [CrossRef]
- Panáček, A.; Kvítek, L.; Prucek, R.; Kolář, M.; Večeřová, R.; Pizúrová, N.; Sharma, V.K.; Nevěčná, T.; Zbořil, R. Silver colloid nanoparticles: Synthesis, characterization, and their antibacterial activity. J. Phys. Chem. B 2006, 110, 16248–16253. [Google Scholar] [CrossRef] [PubMed]
- Kim, J.S.; Kuk, E.; Yu, K.N.; Kim, J.H.; Park, S.J.; Lee, H.J.; Kim, S.H.; Park, Y.K.; Park, Y.H.; Hwang, C.Y.; et al. Antimicrobial effects of silver nanoparticles. Nanomedicine 2007, 3, 95–101. [Google Scholar] [CrossRef]
- Feng, Q.L.; Wu, J.; Chen, G.Q.; Cui, F.Z.; Kim, T.N.; Kim, J.O. A mechanistic study of the antibacterial effect of silver ions on Escherichia coli and Staphylococcus aureus. J. Biomed. Mater. Res. 2000, 52, 662–668. [Google Scholar] [CrossRef]
- Sondi, I.; Salopek-Sondi, B. Silver nanoparticles as antimicrobial agent: A case study on E. coli as a model for Gram-negative bacteria. J. Colloid. Interface Sci. 2004, 275, 177–182. [Google Scholar] [CrossRef] [PubMed]
- Mubina, M.S.K.; Shailajha, S.; Sankaranarayanan, R.; Saranya, L. In vitro bioactivity, mechanical behavior and antibacterial properties of mesoporous SiO2-CaO-Na2O-P2O5 nano bioactive glass ceramics. J. Mech. Behav. Biomed. Mater. 2019, 100, 103379. [Google Scholar] [CrossRef]
- Verné, E.; Ferraris, S.; Miola, M.; Fucale, G.; Maina, G.; Martinasso, G.; Canuto, R.A.; Di Nunzio, S.; Vitale-Brovarone, C. Synthesis and characterisation of bioactive and antibacterial glass–ceramic Part 1—Microstructure, properties and biological behaviour. Adv. Appl. Ceram. 2008, 107, 234–244. [Google Scholar] [CrossRef]
- Guldiren, D.; Aydın, S. Antimicrobial property of silver, silver-zinc and silver-copper incorporated soda lime glass prepared by ion exchange. Mater. Sci. Eng. C 2017, 78, 826–832. [Google Scholar] [CrossRef]
- Özgür, C.; Çolak, F.; Şan, O. Preparation, characterization and antimicrobial property of micro-nano sized Na-borosilicate glass powder with spherical shape. J. Non Cryst. Solids 2011, 357, 116–120. [Google Scholar] [CrossRef]
- Chatzistavrou, X.; Kontonasaki, E.; Paraskevopoulos, K.M.; Koidis, P.; Boccaccini, A.R. 7—Sol-gel derived bioactive glass ceramics for dental applications. In Non-Metallic Biomaterials for Tooth Repair and Replacement; Vallittu, P., Ed.; Woodhead Publishing: Sawston, UK, 2013; pp. 194–231. [Google Scholar] [CrossRef]
- Producto Biocida Con Capacidad Bactericida (U 202030264 ES). 2020. Available online: https://bancodepatentes.gva.es/va/turismo-y-calidad-de-vida/-/asset_publisher/xoxK0ZQPxN2u/content/elemento-biocida-esferas-de-vidrio-recubiertas-de-plata-para-el-tratamiento-de-agua (accessed on 3 July 2022).
- UNE-EN ISO 10993-5; Biological Evaluation of Medical Devices—Part 5: Tests for In Vitro Cytotoxicity. ISO: Geneva, Switzerland, 2009.
- Gazulla, M.F.; Gómez, M.P.; Orduña, M.; Rodrigo, M. New methodology for sulfur analysis in geological samples by WD-XRF spectrometry. X-Ray Spectrom. 2009, 38, 3–8. [Google Scholar] [CrossRef]
- Goldstein, J. Scanning Electron Microscopy and X-ray Microanalysis, 3rd ed.; Plenum Press: New York, NY, USA, 2003. [Google Scholar]
- Ayupova, D.; Dobhal, G.; Laufersky, G.; Nann, T.; Goreham, R.V. An in vitro investigation of cytotoxic effects of InP/ZnS quantum dots with different surface chemistries. Nanomaterials 2019, 9, 135. [Google Scholar] [CrossRef] [PubMed]
- Measuring Cytotoxicity or Proliferation—AlamarBlue Assay Protocol|Bio-Rad, Bio-Rad Laboratories Inc. 2023. Available online: https://www.bio-rad-antibodies.com/measuring-cytotoxicity-proliferation-spectrophotometry-fluorescence-alamarBlue.html (accessed on 13 October 2023).
- Boss, C.B.; Fredeen, K. Concepts, Instrumentation and Techniques in Inductively Coupled Plasma Optical Emission Spectrometry; Perkin Elmer Incorporated: Shelton, CT, USA, 2004. [Google Scholar]
- Kaveh, F.; Huang, L.; Beauchemin, D. Inductively Coupled Plasma Optical Emission Spectrometry. Encycl. Plasma Technol. 2016, 1, 655–678. [Google Scholar] [CrossRef]
- Gazulla, M.F.; Andreu, C.; Rodrigo, M.; Orduña, M.; Ventura, M.J. Development of a rapid and accurate method for the determination of sodium in vacuum gas oils (VGOs) by ICP-OES. Talanta 2018, 188, 600–605. [Google Scholar] [CrossRef]
- Application Note 1 Comparison of a Measurement Result with the Certified Value. (n.d.). Available online: www.erm-crm.org (accessed on 4 October 2024).
- Xu, Z.; Zhang, C.; Wang, X.; Liu, D. Release Strategies of Silver Ions from Materials for Bacterial Killing. ACS Appl. Bio Mater. 2021, 4, 3985–3999. [Google Scholar] [CrossRef]








| SiO2 | Al2O3 | B2O3 | Fe2O3 | CaO | MgO | Na2O | Ag | |
|---|---|---|---|---|---|---|---|---|
| Glass Beads | 72.3 | 0.56 | <0.15 | 0.11 | 8.95 | 3.85 | 13.6 | <0.01 |
| Ag-Glass Beads | 71.9 | 0.52 | <0.15 | 0.11 | 8.84 | 3.80 | 13.5 | 0.69 |
| Bead Number | Thickness | Bead Number | Thickness |
|---|---|---|---|
| 1 | 3.4 ± 1.8 | 6 | 2.2 ± 1.8 |
| 2 | 3.8 ± 1.3 | 7 | 4.2 ± 2.1 |
| 3 | 2.4 ± 1.1 | 8 | 3.7 ± 0.3 |
| 4 | 3.1 ± 1.3 | 9 | 4.4 ± 2.0 |
| 5 | 3.5 ± 1.1 | 10 | 1.9 ± 0.2 |
| Bead Number | Ag (%) | Bead Number | Ag (%) |
|---|---|---|---|
| 2 | 2.09 | 5 | 0.77 |
| 3 | 1.50 | 8 | 0.83 |
| Lixiviation Time (min) | Ag (mg·Kg−1) | Lixiviation Time | Ag (mg·Kg−1) |
|---|---|---|---|
| 30 | 9.81 ± 0.02 | 180 | 0.23 ± 0.02 |
| 60 | 1.21 ± 0.02 | 210 | 0.20 ± 0.02 |
| 90 | 0.52 ± 0.02 | 240 | 0.18 ± 0.02 |
| 120 | 0.45 ± 0.02 | 270 | 0.21 ± 0.02 |
| 150 | 0.31 ± 0.02 | 300 | 0.18 ± 0.02 |
Disclaimer/Publisher’s Note: The statements, opinions and data contained in all publications are solely those of the individual author(s) and contributor(s) and not of MDPI and/or the editor(s). MDPI and/or the editor(s) disclaim responsibility for any injury to people or property resulting from any ideas, methods, instructions or products referred to in the content. |
© 2024 by the authors. Licensee MDPI, Basel, Switzerland. This article is an open access article distributed under the terms and conditions of the Creative Commons Attribution (CC BY) license (https://creativecommons.org/licenses/by/4.0/).
Share and Cite
Zumaquero, E.; Terrado, D.; de Llanos, R.; Puerta, M.; Cejudo, R.; Gómez-Tena, M.P. Tackling Microbial Contamination: Safesink Solution with Silver-Coated Microspheres. Bacteria 2024, 3, 344-357. https://doi.org/10.3390/bacteria3040023
Zumaquero E, Terrado D, de Llanos R, Puerta M, Cejudo R, Gómez-Tena MP. Tackling Microbial Contamination: Safesink Solution with Silver-Coated Microspheres. Bacteria. 2024; 3(4):344-357. https://doi.org/10.3390/bacteria3040023
Chicago/Turabian StyleZumaquero, Eulalia, David Terrado, Rosa de Llanos, Marina Puerta, Rocío Cejudo, and María Pilar Gómez-Tena. 2024. "Tackling Microbial Contamination: Safesink Solution with Silver-Coated Microspheres" Bacteria 3, no. 4: 344-357. https://doi.org/10.3390/bacteria3040023
APA StyleZumaquero, E., Terrado, D., de Llanos, R., Puerta, M., Cejudo, R., & Gómez-Tena, M. P. (2024). Tackling Microbial Contamination: Safesink Solution with Silver-Coated Microspheres. Bacteria, 3(4), 344-357. https://doi.org/10.3390/bacteria3040023

