Abstract
The effects of Tagetes erecta flower extract (TFE) and increasing levels of vitamin E (VE) in the diet of Japanese quail breeders on progeny performance and oxidative status were studied. Methods: 480 Japanese quail breeders were distributed in a completely randomized design with five treatments and twelve replications of six females and two males each. A control diet (25 mg/kg VE) and four diets supplemented with TFE (3 g/kg) and VE (25, 100, 175, or 250 mg/kg) were used. Fresh yolk samples and the yolk sac and liver from embryos (11 and 15 days) and chicks (hatch and 3 days) were analysed. Data were subjected to ANOVA, a regression linear model, and contrast tests and the level of significance was set at p < 0.05. Results: TF and VE in the maternal diet improved the amount of alfa-tocopherol and total carotenoid content in the yolk. TFE + VE reduced lipid peroxidation and improved the oxidative status in the fresh yolk, in the embryo and chick yolk, and in the liver. Liver superoxide dismutase activity in hatched chicks increased linearly with the VE level and was not altered by TFE. Maternal diets did not influence progeny performance (1 to 28 days) or the relative expression of superoxide dismutase or glutathione peroxidase genes in the liver of chicks. Conclusions: TFE is an effective antioxidant in fresh eggs and supplementation of 3 g/kg TFE and high levels of VE in quail breeders improves the oxidative status of embryos and newly hatched chicks.
1. Introduction
Japanese quails (Coturnix coturnix japonica) are known for their sexual precocity, short generation intervals, small size, and high egg productivity [1]. These characteristics make them attractive to both the poultry industry and the scientific community because they are good models for avian studies.
Similar to other avian species, quail eggs contain polyunsaturated fatty acids, which increase egg susceptibility to oxidative processes induced by reactive oxygen species (ROS). ROS generation is intensified during incubation, predisposing embryos to DNA, protein, lipid, and carbohydrate damage. Such effects may lead to a series of chain reactions that affect growth, development, and reproduction [2]. High exposure to ROS may, thus, impair embryonic development and affect the quality of hatched chicks [3,4]. Embryo protection during incubation depends on the antioxidant reserves of the yolk.
Fat-soluble antioxidants can be easily transferred from maternal diets to the yolk and accumulate in embryonic tissues [5,6]. Previous studies have investigated the use of different sources of carotenoids and vitamins in breeder diets as a strategy to reduce peroxidation processes in breeders, eggs, and chicks [7,8]. Vitamin E (VE) is a fat-soluble compound well known for its antioxidant effect. The vitamin neutralises fatty acid peroxyl radicals, thereby protecting membranes and lipoproteins [9]. During incubation, VE molecules in the yolk accumulate in embryonic tissues, protecting embryos and chicks against ROS during embryonic and post-hatch development. In the first days of life, chicks have difficulty assimilating dietary VE [5]; therefore, VE reserves transferred from the maternal diet become an important source of antioxidant protection for chicks.
The association of VE with other antioxidants, such as carotenoids, may be an interesting alternative to reduce the use of the vitamin during oxidative processes and ensure high VE concentrations in tissues after hatching. Supplementation with the carotenoid canthaxanthin resulted in higher liver VE levels at 1 and 7 days after hatching [10]. These results are important because liver VE concentrations decrease by up to 10 times in chicks at 10 days post-hatching [11]. Carotenoids and VE may also interact through VE recycling. Bohm et al. [12] observed in vitro that carotenoids, such as β-carotene, canthaxanthin, lutein, and zeaxanthin, are good electron donors.
Carotenoids are pigments produced by plants that, when used as supplements in bird diets, accumulate in tissues and intensify egg colour. This compound class comprises hydrocarotenes (e.g., β-carotenes) and oxycarotenes (e.g., xanthophylls). Xanthophylls such as lutein and zeaxanthin are known for their high antioxidant capacity in birds [13]. These xanthophylls are in the flowers of Tagetes erecta. Commercial extracts of the plant have been tested as dietary supplements for enhancing egg yolk colour [14,15]. However, little is known about the antioxidant effects of T. erecta flower extract (TFE) during embryonic development.
In this study, the hypothesis that the association of VE with TFE improves the oxidative status of quail embryos was tested. The aim was to evaluate the effects of dietary supplementation of Japanese quail breeders with TFE and increasing levels of VE on the oxidative status and performance of their offspring.
2. Materials and Methods
2.1. Assessment of the Antioxidant Status (Experiment I)
2.1.1. Animals and Their Management
A total of 480 Japanese quail breeders (360 females and 120 males) aged 14 weeks were used in the experiment. Birds were housed in galvanized iron cages (25 × 39 cm, 121 cm2/bird) equipped with nipple drinkers and trough feeders in a laying pen. Quail were previously selected by egg production and body weight (mean weight of females = 163.19 g, mean weight of males = 137.96 g). The photoperiod was maintained at 17 h of light (natural and artificial) to stimulate egg laying. Food and water were provided ad libitum in all experiments.
2.1.2. Experimental Diets
Japanese quail breeders (n = 480) were distributed in a completely randomized design, with 5 treatments (diets) and 12 replications (cages) of 8 birds each (6 females and 2 males). The experimental diets were as follows: a control diet containing 25 mg/kg VE and four diets supplemented with 3 g/kg TFE + 25, 100, 175, or 250 mg/kg VE. Tocopherol acetate (500 g of tocopherol per kilogram of product; BASF®, Hong Kong, China) was used as the source of VE. Diets were based on corn and soybean meal (Table 1) and formulated according to Brazilian guidelines on the nutritional requirements of laying quail [16]. For VE, the NRC [17] recommendation was used (25 mg VE/kg feed). Diets were provided in meal form.
Table 1.
Ingredient composition of experimental diets for Japanese quail (Coturnix coturnix japonica) breeders and chicks during the starter and grower phases.
2.1.3. Sample Collection
Fertile eggs were collected and incubated in a vertical incubator. The incubation conditions (Labo 13, Petersime®, Zulte, Belgium) were 37.4 °C and 60% relative humidity with automatic turning for up to 14.5 days. The hatching chamber (Labo 9, Petersime®) was set at 37.0 °C and 70% relative humidity.
Yolk sac and liver samples were collected from embryos and chicks to evaluate lipid peroxidation and oxidative status. Yolk samples were collected from fresh (unincubated) eggs. Samples of yolk sacs were collected from eggs in the embryonic phase (11 and 15 days of incubation), and samples of residual yolk sacs were collected from 1-day-old chicks. Liver samples were obtained from 15-day-old embryos and 1- and 3-day-old chicks. Each sample comprised a pool of five yolks, yolk sacs, or livers. After collection, samples were immediately frozen in liquid nitrogen, stored in an ultrafreezer at −80 °C, freeze-dried, and stored at −20 °C until use.
Liver samples were collected from 1-day-old chicks (n = 5 birds per treatment) for analysis of α-tocopherol content and gene expression. Samples were placed in RNase-free cryotubes, frozen in liquid nitrogen, and stored in an ultrafreezer at −80 °C until analysis.
2.1.4. Determination of α-Tocopherol
The dosage of α-tocopherol was performed in the yolk of fresh eggs, analysing five samples per treatment, each sample composed of a pool of five yolks. In the liver of 1-day-old chicks, the dosage of α-tocopherol was performed in 5 birds/treatment. The measuring of the α-tocopherol followed the methodology described by McMurray et al. [18] with modifications. For this, approximately 100 mg of fresh eggs (without perivitelline membrane) or liver (frozen at −80 °C) were added to 2 mL of pyrogallic acid (1% w/v in ethanol) as an antioxidant, and the samples were then saponified with potassium hydroxide (0.4 mL; 50% w/v in distilled water) in a hot bath at 70 °C for 30 min. After cooling the samples, 4 mL of hexane was added, followed by vortex mixing for 5 min. Distilled water (10 mL) was added, followed by stirring and centrifugation at 1000 rpm for 10 min. The supernatant was collected and dried in nitrogen gas (N2), and the dry fraction was redissolved in methanol for HPLC (J. T. Baker®, Phillipsburg, NJ, USA) (1–2 mL), filtered, and transferred to a vial. Approximately 10 µL of extract was used for injection on C18 HPLC (Waters®, Waters Alliance e2695, Milford, MA, USA) columns, 5 mm, (15 cm × 4.6 mm) (Thermo Scientific™, Waltham, MA, USA). Acetinitrile:methanol (90:10; v/v) was used as the mobile phase with a fluctuation rate of 1 mL/min. Detection was performed using a fluorescence detector (Waters®, Waters 2475, Milford, MA, USA), with wavelengths of 295 nm (excitation) and 330 nm (emission). Standard solutions (in methanol) of α-tocopherol (Sigma-Aldrich, Saint Louis, MO, USA) were used for calibration of the equipment and as an analytical standard. To calculate the α-tocopherol concentration, the peak area of the samples was measured and compared with the standard solutions. Results are expressed in µg of α-tocopherol/mg of tissue.
2.1.5. Determination of Total Carotenoids
Total carotenoids were determined in yolk samples (n = 4 pools of 5 yolks per treatment) using the method of Rodriguez-Amaya and Kimura [19]. Freeze-dried samples (1 g) were ground in acetone. The mixture was filtered, and the retained material was subjected to successive extractions with acetone. Filtrates were collected into a separatory funnel containing 30 mL of petroleum ether and washed with distilled water until the aqueous phase was clear. Then, the aqueous phase was discarded. The organic phase was transferred to a 50 mL volumetric flask, and the volume was filled with phosphate ether. Absorbance was measured at 450 nm using a UV-Vis spectrophotometer (Thermo Scientific™, Evolution™ 300-UV-VIS, Waltham, MA, USA). Total carotenoid content is expressed in β-carotene equivalents.
2.1.6. Determination of Lipid Peroxidation
Lipid peroxidation in the yolk, yolk sac, and liver of embryos and chicks was determined using the thiobarbituric acid-reactive substances (TBARS) method, adapted from Vital et al. [20], which measures malondialdehyde (MDA) production. Five pools of five samples each were analysed per treatment. For this, 100 to 500 mg of freeze-dried material was homogenized with a solution containing 15% trichloroacetic acid (TCA), 0.1% ethylenediaminetetraacetic acid (EDTA), and 0.1% gallic acid and centrifuged at 4 °C and 3000 rpm (MPW Med. Instruments, MPW-351R, Varsóvia, Poland) for 15 min. The supernatant was collected. Then, thiobarbituric acid (TBA) solution (1% TBA, 562.5 µM of HCl and 15% TCA in distilled water) and extract were added (1:1 v/v ratio) to a tube protected from light, and the samples were incubated in a water bath at 100 °C for 15 min. Samples were allowed to cool, and the absorbance was read spectrophotometrically at 532 nm. The TBARS results were calculated against a standard curve of 1 mM 1,1,3,3-tetramethoxypropane (TMP) and are expressed in µg MDA/g freeze-dried sample.
2.1.7. Determination of Oxidative Status
Five pools of five samples (yolk, yolk sac, or liver of embryos or chicks) were analysed per treatment. Briefly, 100 mg of freeze-dried material was diluted to 1:19 (w/v) in methanol, homogenized, and centrifuged at 3000 rpm for 20 min. The supernatant was evaluated for DPPH• (2,2-Diphenyl-1-picrylhydrazyl, Sigma-Aldrich, D9132, Saint Louis, EUA) scavenging activity (%) according to a method adapted from Li et al. [21]. A 150 µL aliquot of sample extract was mixed with 2850 µL of a 60 µM solution of DPPH• in methanol. Absorbance was measured at 515 nm at the beginning of the reaction and after 30 min of light exposure. DPPH• scavenging activity was calculated using Equation (1):
where Asample is the sample absorbance after 30 min and ADPPH is the absorbance of the DPPH• solution.
ABTS•+ (2,2′-Azinobis (3-ethylbenzothiazoline-6-sulfonic acid) diammonium salt) scavenging activity was determined following the method of Re et al. [22], with modifications. A stock solution (5 mL, 7 mM) of ABTS•+ (Sigma-Aldrich, A1888, Saint Louis, EUA) in potassium persulfate (88 µL, 140 mM) was prepared and incubated under light for 16 h at 25 °C. Then, the solution was diluted to 1:50 (v/v) in ethanol to reach an absorbance of 0.70 ± 0.05 at 734 nm. Methanolic extract (40 µL) and ABTS•+ solution (1960 µL) were added to a quartz cuvette, and the absorbance was read after 0 and 6 min of light exposure. ABTS•+ radical scavenging activity (%) was calculated as follows (Equation (2)):
where Asample is the sample absorbance after 6 min and AABTS is the absorbance of the ABTS•+ solution.
2.1.8. Determination of Superoxide Dismutase (SOD) Activity
SOD activity in the livers of newly hatched chicks (n = 5 birds per treatment) was determined using a method based on the ability of SOD to inhibit pyrogallol autoxidation, which was adapted from Marklund and Marklund [23]. Approximately 180 mg of frozen tissue (−80 °C) was homogenized in buffer solution (Tris-HCl 200 mM + EDTA 2 mM; pH 8.2) and centrifuged (10,000 rpm, 4 °C, 10 min). An aliquot of the supernatant (≥0.5 mg protein/mL), buffer solution, and pyrogallol (70 µL, 15 mM) were added directly to a quartz cuvette using a spectrophotometer. The absorbance was read at 420 nm for 180 s. Results are expressed in units of enzyme activity (U)/mg protein.
2.1.9. Total RNA Extraction and Real-Time Quantitative Polymerase Chain Reaction (qPCR)
Liver samples from 1-day-old chicks (n = five per treatment) were collected, immediately frozen in liquid nitrogen, and stored in a freezer at −80 °C until total RNA extraction. Total RNA was extracted using Trizol (Invitrogen, Carlsbad, CA, USA) according to the manufacturer’s instructions. The procedures used for extraction and real-time PCR reactions were the same as those described by Bonagurio et al. [7], except for cDNA synthesis in which the High Capacity cDNA Reverse Transcription kit (Applied Biosystems, Waltham, MA, USA) was used. All analyses were performed in a volume of 20 µL and in duplicates. The relative expression of GPX7 and SOD1 genes was calculated using the 2−ΔΔCt method [24].
2.2. Progeny Performance (Experiment II)
2.2.1. Experimental Design and Animals
A total of 1250 (n = 250 per treatment) fertile eggs were collected and incubated in a vertical incubator (Labo 13, Petersime®) using a single-stage program (60% relative humidity and 37.4 °C) with automatic turning every 60 min. After 348 h of incubation, the eggs were transferred to a hatching chamber (Labo 9, Petersime®) for 72 h (37.0 °C and 70% humidity). After hatching, 1000 chicks were selected (mixed batch) and distributed in a completely randomized design, with 5 treatments and 4 replications (50 birds per experimental unit). Performance was evaluated by determining daily weight gain (g), daily feed consumption (g), and feed conversion from 1 to 28 days of age, 1 to 14 days of age (starter phase), and 15 to 28 days of age (grower phase).
2.2.2. Animal Management and Diet
Birds were housed in a conventional shed, in boxes (2.5 × 1 m) with rice hull bedding. Nipple drinkers were used during the first week post-hatch, followed by bell drinkers. A tube feeder was used to supply the feed, and infrared lamps were used for heating during the first 15 days. The initial temperature was set at 35 °C and then reduced to room temperature. Given that the experiment (1–28 days) was conducted under decreasing photoperiods (April to May), the birds remained under natural lighting.
All birds received the same diet, allowing evaluation of the residual effects of breeder diets. Starter and grower diets were based on the food composition and nutritional requirements of quail chicks in the growth phase described in the Brazilian Tables for Poultry and Swine [17] (Table 1).
2.3. Statistical Analysis
Data were subjected to analysis of variance using SAS software. The level of significance was set at p < 0.05. The effects of diets containing VE and TFE were assessed using regression analysis.
Orthogonal contrast analyses were performed to evaluate TFE effects. When the effect of VE (regression analysis) was significant (p < 0.05), only the control diet (25 mg/kg VE) was compared with the diet containing 25 mg/kg VE + 3 g/kg TFE, as shown in equation (Equation (3)):
where µ2 is the diet supplemented with 25 mg/kg VE + 3 g/kg TFE and µ1 is the control diet.
When the effect of VE (regression analysis) was not significant (p > 0.05), the control diet was compared with the mean of the VE + TFE diets (Equation (4)):
where µ3, µ4, and µ5 are the diets supplemented with 100, 175, and 250 mg/g VE, respectively, +3 g/kg TFE.
3. Results
3.1. α-Tocopherol and Carotenoid Levels
Concentrations of α-tocopherol in the yolk (Figure 1a) and liver of newly hatched chicks (Figure 1b) increased linearly with increasing VE levels in breeder diets. TFE did not affect α-tocopherol concentration in the yolk or liver, as assessed using contrast analysis between diets supplemented with 25 mg/kg VE (control) and 25 mg/kg VE + 3 g/kg TFE. Supplementation with TFE increased the total carotenoid content in freeze-dried yolk from 19.03 ± 0.67 µg/g to 53.48 ± 0.98 µg/g (Figure 2).
Figure 1.
α-Tocopherol concentrations (µg/g) (mean ± standard deviation) in fresh egg yolk (a) and liver (b) of 1-day-old chicks from Japanese quail breeders supplemented with different levels of vitamin E associated or not with Tagetes erecta flower extract. ns: not significant (p > 0.05) for contrast test between 25VE vs. 25VE + TFE. (a): ŷ = 22.3989 + 0.78338VE (R2 = 0.93; p < 0.001, SEM = 13.07); (b): ŷ = −2.40333 + 3.72373VE (R2 = 0.94; p < 0.001, SEM = 51.17).
Figure 2.
Total carotenoid content (µg/g β-carotene equivalents) in freeze-dried egg yolk (n = 4 pools of 5 eggs per treatment) from Japanese quail breeders supplemented or not with 3 g/kg Tagetes erecta flower extract. * Means different from each other according to the F test (p < 0.001; SEM = 0.844).
3.2. TBARS and Oxidative Status
Increasing levels of VE led to linear reductions in lipid peroxidation in the yolk sac and liver of embryos and chicks (Table 2). In fresh yolk, peroxidation was estimated to reach the lowest level in supplementation with 189 mg/kg VE. Contrast analysis between the control diet and the diet supplemented with 25 mg/kg VE + 3 g/kg TFE showed that TFE supplementation decreased lipid peroxidation in the yolk, but no effects were exerted on the yolk sac or liver of embryos/chicks.
Table 2.
Lipid peroxidation (malondialdehyde concentration, µg/g), in the yolk, yolk sac, and liver of embryos and chicks from Japanese quail breeders supplemented with different levels of vitamin E associated or not with Tagetes erecta flower extract.
DPPH• scavenging activity in embryo yolk, liver (1 and 3 days of incubation), and yolk sac (15 days of incubation) increased linearly with VE supplementation level (Table 3), indicating an improvement in of the oxidative status. In the yolk sac of 11-day-old embryos and the residual yolk sacs of 1-day-old chicks, there was an increasing quadratic effect of VE level on DPPH• scavenging activity. Contrast analysis (control vs. diet supplemented with 25 mg/g VE + 3 g/kg TFE) demonstrated that TFE alone did not improve the oxidative status of the yolk, yolk sac, or liver.
Table 3.
DPPH• scavenging activity (%) in the yolk, yolk sac, and liver of embryos and chicks (n = 5) from Japanese quail breeders supplemented with different levels of vitamin E associated or not with Tagetes erecta flower extract.
The ABTS assay revealed a positive linear effect of the VE level on ABTS•+ scavenging activity in all evaluated tissues (Table 4). Inclusion of TFE increased ABTS•+ scavenging activity in yolk, as demonstrated by contrast analysis. However, no effects of TFE on scavenging activity were observed in the yolk sac or liver of embryos/chicks.
Table 4.
ABTS•+ scavenging activity (%) in the yolk, yolk sac, and liver of embryos and chicks from Japanese quail breeders supplemented with different levels of vitamin E associated or not with Tagetes erecta flower extract.
SOD activity increased linearly with increasing levels of VE (Figure 3), but TFE did not exert significant effects.
Figure 3.
Superoxide dismutase activity in the liver of chicks from Japanese quail breeders supplemented with different levels of VE associated or not with Tagetes erecta flower extract. ŷ = 0.5805 + 0.00141VE (R2 = 0.68; p < 0.001, SEM = 0.08). ns: not significant (p > 0.05) for contrast test between 25VE vs. 25VE + TFE.
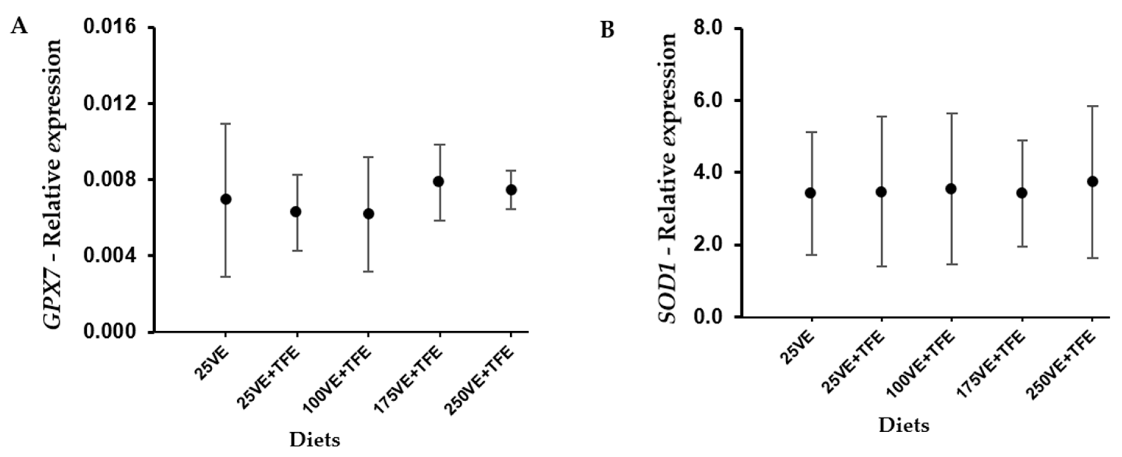
The relative expression of SOD1 and GPX7 in the livers of 1-day-old chicks were determined via qPCR (Figure 4A,B). Analyses showed that there were no effects of maternal diet (VE level or TFE supplementation) on relative gene expression.
Figure 4.
Real-time quantitative PCR of the liver of 1-day-old chicks from Japanese quail breeders supplemented with different levels of vitamin E associated or not with Tagetes erecta flower extract. Relative gene expression: (A) glutathione peroxidase (GPX7); (B) superoxide dismutase (SOD1).
3.3. Progeny Performance
Progeny performance at 1–14, 15–28, and 1–28 days was not affected by breeder supplementation with increasing VE levels and/or TFE (Table 5). Thus, supplementation of breeders with increasing VE levels and TFE did not influence chick weight at 14 or 28 days, feed consumption, weight gain, feed conversion, or viability. At 28 days of age, quail chicks exhibited a mean body weight of 111.26 g, cumulative feed consumption of 299.26 g, and feed conversion of 2.89 g/g.
Table 5.
Productive performance (mean ± standard deviation) of the progeny of Japanese quail breeders (21 weeks of age) supplemented with different levels of vitamin E associated or not with Tagetes erecta flower extract.
4. Discussion
In this study, we evaluated the effects of dietary supplementation of quail breeders with TFE and increasing levels of VE on the oxidative status and zootechnical performance of the progeny. Maternal supplementation increased the total carotenoid content in the yolk and VE concentrations in the yolk and liver of newly hatched chicks. These findings indicate that maternal supply of fat-soluble antioxidants is a good alternative to improve the defence responses of embryos, as reported in previous studies [11,25]. TFE supplementation increased the total carotenoid content of yolk by 2.8 times. This increase was also observed after feeding 60 mg/kg of carotenoids from marigold flower petals to layers, with an increase in yolk colouration and singlet oxygen sequestration [26]. Carotenoid sources such as tomato pomace at a rate of 12% in the diet of quail breeders also resulted in a higher concentration of carotenoids (lutein and lycopene) in the yolk and a reduction in MDA [27]. Supplementation of VE at the highest level tested (250 vs. 25 mg/kg) increased VE levels in the yolk and liver by approximately 6 and 9 times, respectively. VE levels in the yolk refer only to the VE content of the yolk sac, as the perivitelline membrane, which is known to contain high VE concentrations, was not evaluated [11]. These results demonstrate that deposition of VE in yolk was not proportional to dietary VE levels, possibly because, at higher levels, transfer efficiency might have been reduced.
An in vitro study showed that antioxidants such as lutein and zeaxanthin act as electron donors to α-tocopherol, regenerating the molecule [12]. Thus, initially, we considered the hypothesis that the use of TFE associated with VE could promote a sparing effect on VE, either using carotenoid as an antioxidant or by recycling of the oxidized form of VE by the carotenoid. This would allow breeders or embryos to use part of the TFE for antioxidant defences, sparing VE, as would be evidenced by higher VE concentrations in yolk. Such an effect was reported by Surai et al. [10], who supplemented broilers with canthaxanthin; the authors observed a sparing effect on VE in the liver of newly hatched chicks. In the current study, however, supplementation of VE associated with TFE did not alter VE concentrations in the yolk or liver of chicks.
Dietary supplementation of laying hens with lutein at 40 mg/kg [28] and 250 mg/kg [14] reduced yolk VE concentrations. Supplementation with β-carotene (1.5 mg/kg), with or without VE (100 mg/kg), reduced VE accumulation in the breast muscle of broilers [29]. A similar effect was observed in chicken thighs with 50 mg/kg β-carotene + 200 mg/kg VE supplementation [30]. It remains unclear why such results were obtained; a possible explanation is competition for absorption [31].
The antioxidant capacity of TFE has been reported in several in vitro studies [32,33]. Such activity is attributed to the presence of lutein and zeaxanthin. Supplementation of laying hens with TFE at concentrations greater than 1% increased the lutein content in yolk [34]. Furthermore, 250 mg/kg lutein was shown to reduce lipid peroxidation in chicken egg yolk [13], whereas 40 mg/kg lutein increased liver SOD activity, although it did not influence liver lipid peroxidation [35]. Despite these promising results, to date, no study has investigated the effect of TFE as a source of lutein on the antioxidant status of embryos; most studies have focused on the effects on performance, egg quality, yolk, and meat pigmentation [14,15,36], and lipid peroxidation in yolk [34], liver, and muscle [37].
In the current study, supplementation with 3 g/kg TFE reduced lipid peroxidation in yolk, and it was estimated that 189 mg VE + 3 g/kg TFE would lead to the lowest lipid peroxidation in fresh yolks. Supplementation with VE alone would probably require higher levels to achieve the same reductions in MDA content, given that TFE also influences antioxidant status. Supplementation with 3 g/kg TFE was not sufficient to improve oxidative status or protect embryos from intense oxidative metabolism occurring during incubation. Such processes are intensified at the final stages of incubation when the embryo transitions from chorioallantoic to pulmonary respiration [38]. Given this, it is suggested to test TFE at levels above 3 g/kg (or 60 mg/kg xanthophyll) to evaluate its antioxidant effects in fertile eggs during embryonic development.
Increasing VE levels improved the oxidative status (ABTS•+ and DPPH•) of the yolk sac and liver of chicks and embryos, reducing lipid peroxidation. This finding indicates that breeder supplementation with TFE and 250 mg/kg VE or more may increase antioxidant reserves in the yolk sac and protect embryos from oxidative processes during embryonic and post-hatch development. VE is crucial during this period, given that newly hatched chicks have difficulty in assimilating dietary VE, depending on the yolk reserves of the vitamin [5].
SOD is an important enzyme in the body’s first line of antioxidant defence, which dismutates superoxide radicals [39]. In the present study, liver SOD1 expression was not influenced by VE supplementation; however, increased liver SOD activity and consequent improvement in the antioxidant status of the embryos were observed. The prevented ROS generation in the liver and increased SOD activity in the brain of newly hatched chicks were reported by Lin et al. [40] when 160 mg/kg VE was provided in the maternal diet of broiler breeders. Similarly, a lower dose of 100 mg/kg VE for broiler breeders was sufficient to improve the antioxidant status of newly hatched chicks from eggs stored for 14 days before incubation. This improvement was accompanied by an increase in SOD activity in the yolk and brain of chicks [41].
The level of oxidative stress in embryos can be influenced by several factors, including the time between egg laying and storage, storage duration, variations in incubation conditions, and the hatch window [5]. The difficulty in controlling these variables reinforces the importance of ensuring adequate levels of antioxidants in egg yolk. Recent studies described the inoculation of VE and carotenoids directly into chicken eggs at 17 days of embryonic development. Inoculation with canthaxanthin (0.35–0.65 mg/0.5 mL per egg) reduced hatchability and chick quality. However, beneficial effects were exerted on the antioxidant status of newly hatched chicks [42]. In ovo inoculation of VE at 17.5 days of incubation reduced the incubation window and enhanced hatchability, oxidative status, chick quality, and feeding efficiency [43]. VE inoculation (30 mg/egg) at 14 days of incubation improved weight gain in chicks up to 21 days of age [44]. Although we found positive effects of VE on the antioxidant status of quail chicks up to 3 days post-hatching, zootechnical performance was not influenced by the residual effect of maternal diets, in agreement with the results of Johnson-Dahl et al. [45], who supplemented chicken diets with canthaxanthin. Our findings do not preclude the use of VE or TFE, given that the animals were raised under optimal conditions. Different experimental conditions with stressor variables, such as temperature variations, high stocking densities, and environmental bacterial contamination, would result in different outcomes. Although body weight and feed consumption were not altered, chicks exhibited good overall conditions, possibly because of the positive effects of supplementation on liver antioxidant status.
5. Conclusions
It is concluded that TFE is an effective antioxidant in fresh eggs and supplementation of 3 g/kg TFE and high levels of VE in quail breeders improves the oxidative status of embryos and newly hatched chicks.
Author Contributions
Conceptualization, L.F.R., A.E.M. and T.C.S.; methodology, L.F.R., L.S., E.M.d.O., T.C.E.D., P.T.M.P., D.A.M.H. and E.L.I.I.; software, L.F.R. and T.C.S.; validation, L.F.R., L.S., E.M.d.O. and T.C.E.D.; formal analysis, A.E.M., T.C.S. and L.F.R.; writing—original draft preparation, L.F.R.; writing—review and editing P.T.M.P., E.L.I.I. and T.C.S.; supervision, A.E.M. and T.C.S.; project administration, L.F.R. All authors have read and agreed to the published version of the manuscript.
Funding
This work was supported by the National Council for Scientific and Technological Development (CNPq, Brazil) and in part by the Coordination for the Improvement of Higher Education Personnel—Brazil (CAPES)—Financing Code 001.
Institutional Review Board Statement
The experiment was conducted in the poultry sector of the Iguatemi Experimental Farm (23°21′21.6″ S 52°04′19.0″ W, 550 m elevation), State University of Maringá, Paraná, Brazil. All experimental procedures were in accordance with the ethical principles of animal experimentation enforced by legislation and were approved by the Animal Ethics Committee (CEUA) of the State University of Maringá, No. 3486021017.
Informed Consent Statement
Not applicable.
Data Availability Statement
Not applicable.
Conflicts of Interest
The authors declare no conflict of interest.
References
- Kayang, B.B.; Vignal, A.; Inoue-Murayama, M.; Miwa, M.; Monvoisin, J.L.; Ito, S.; Minvielle, F. A first-generation microsatellite linkage map of the Japanese quail. Anim. Genet. 2004, 35, 195–200. [Google Scholar] [CrossRef] [PubMed]
- Surai, P.F.; Fisinin, V.I.; Karadas, F. Antioxidant systems in chick embryo development. Part 1. Vitamin E, carotenoids and selenium. Anim. Nutr. 2016, 2, 1–11. [Google Scholar] [CrossRef] [PubMed]
- Hohtola, E. Facultative and obligatory thermogenesis in young birds: A cautionary note. Comp. Biochem. Physiol. Part A Mol. Integr. Physiol. 2002, 131, 733–739. [Google Scholar] [CrossRef]
- Speake, B.K.; Noble, R.C.; Murray, A. The utilization of yolk lipids by the chick embryo. Worlds Poult. Sci. J. 1998, 54, 319–334. [Google Scholar] [CrossRef]
- Surai, P.F. Natural Antioxidants in Avian Nutrition and Reproduction; Nottingham University Press: Nottingham, UK, 2002. [Google Scholar]
- Surai, P.F. The antioxidant properties of canthaxanthin and its potential effects in the poultry eggs and on embryonic development of the chick. Part 1. Worlds Poult. Sci. J. 2012, 68, 465–476. [Google Scholar] [CrossRef]
- Bonagurio, L.P.; Cruz, F.K.; Kaneko, I.N.; Matumoto-Pintro, P.T.; Murakami, A.E.; Santos, T.C. Dietary supplementation with canthaxanthin and 25-hydroxycholecalciferol has beneficial effects on bone and oxidative metabolism in European quail breeders. Poult. Sci. 2020, 99, 4874–4883. [Google Scholar] [CrossRef]
- An, S.; Liu, G.; Guo, Y.; Sun, Q. Effects of maternal and posthatch dietary oils and vitamin E on antioxidant capability and muscle quality of the progeny broilers. J. Poult. Sci. 2012, 49, 191–195. [Google Scholar] [CrossRef]
- Azzi, A. Many tocopherols, one vitamin E. Mol. Asp. Med. 2018, 61, 92–103. [Google Scholar] [CrossRef]
- Surai, A.P.; Surai, P.F.; Steinberg, W.; Wakeman, W.G.; Speake, B.K.; Sparks, N.H.C. Effect of canthaxanthin content of the maternal diet on the antioxidant system of the developing chick. Brit. Poult. Sci. 2003, 44, 612–619. [Google Scholar] [CrossRef]
- Surai, P.F. Effect of selenium and vitamin E content of the maternal diet on the antioxidant system of the yolk and the developing chick. Brit. Poult. Sci. 2000, 41, 235–243. [Google Scholar] [CrossRef]
- Bohm, F.; Edge, R.; Land, E.J.; McGarvey, D.J.; Truscott, T.G. Carotenoids Enhance Vitamin E Antioxidant Efficiency. J. Am. Chem. Soc. 1997, 119, 621–622. [Google Scholar] [CrossRef]
- Englmaierová, M.; Skřivan, M.; Bubancová, I. A comparison of lutein, spray-dried Chlorella, and synthetic carotenoids effects on yolk colour, oxidative stability, and reproductive performance of laying hens. Czech J. Anim. Sci. 2013, 58, 412–419. [Google Scholar] [CrossRef]
- Sujatha, T.; Sunder, J.; Kundu, A.; Kundu, M.S. Production of pigment enriched desi chicken eggs by feeding of Tagetes erecta petals. Adv. Anim. Vet. Sci. 2015, 3, 192–198. [Google Scholar] [CrossRef]
- Moeini, M.M.; Ghazi, S.H.; Sadeghi, S.; Malekizadeh, M. The Effect of Red Pepper (Capsicum annuum) and Marigold Flower (Tagetes erectus) Powder on egg production, egg yolk color and some blood metabolites of laying hens. Iran J. Appl. Anim. Sci. 2013, 3, 301–305. [Google Scholar]
- Rostagno, H.S.; Albino, L.F.T.; Hannas, M.I.; Donzele, J.L.; Sakomura, N.K.; Perazzo, F.G.; Saraiva, A.; Teixeira, M.L.; Rodrigues, P.B.; Oliveira, R.F.; et al. Brazilian Tables for Poultry and Swine: Composition of Foods and Nutritional Requirements, 4th ed.; Rostagno, H.S.: Viçosa, Brazil, 2017. [Google Scholar]
- National Research Council—NRC. Nutrient Requirements of Poultry, 9th ed.; National Academy Press: Washington, DC, USA, 1994. [Google Scholar]
- McMurray, C.H.; Blanchflower, W.J.; Rice, D.A. Influence of extraction techniques on the determination of a-tocopherol in animal feedstuffs. J. Assoc. Off. Anal. Chem. 1980, 63, 1258–1261. [Google Scholar] [CrossRef] [PubMed]
- Rodriguez-Amaya, D.; Kimura, M. Harvest Plus Handbook for Carotenoid Analysis; HarvestPlus Technical Monographs; International Center for Tropical Agriculture: Palmira, Colombia, 2004. [Google Scholar]
- Vital, A.C.P.; Guerrero, A.; Monteschio, J.O.; Valero, M.V.; Carvalho, C.B.; De Abreu Filho, B.A.; Prado, I.N. Effect of edible and active coating (with rosemary and oregano essential oils) on beef characteristics and consumer acceptability. PLoS ONE 2016, 11, e0160535. [Google Scholar] [CrossRef]
- Li, W.; Hydamaka, A.; Lowry, L.; Beta, T. Comparison of antioxidant capacity and phenolic compounds of berries, chokecherry and seabuckthorn. Cent. Eur. J. Biol. 2009, 4, 499–506. [Google Scholar] [CrossRef]
- Re, R.; Pellegrini, N.; Proteggente, A.; Pannala, A.; Yang, M.; Rice-Evans, C. Antioxidant activity applying an improved ABTS radical cation decolorization assay. Free Radic. Biol. Med. 1999, 26, 1231–1237. [Google Scholar] [CrossRef]
- Marklund, S.; Marklund, G. Involvement of the superoxide anion radical in the autoxidation of pyrogallol and a convenient assay for superoxide dismutase. Eur. J. Biochem. 1974, 47, 469–474. [Google Scholar] [CrossRef]
- Livak, K.J.; Schmittgen, D. Analysis of relative gene expression. Data using real time quantitative PCR and the 2−ΔΔCt method. Methods 2001, 25, 402–408. [Google Scholar] [CrossRef]
- Karadas, F.; Grammenidis, E.; Surai, P.F.; Acamovic, T.; Sparks, N.H.C. Effects of carotenoids from lucerne, marigold and tomato on egg yolk pigmentation and carotenoid composition. Brit. Poult. Sci. 2006, 47, 561–566. [Google Scholar] [CrossRef] [PubMed]
- Kojima, S.; Koizumi, S.; Kawami, K.; Shigeta, Y.; Osawa, A. Effect of dietary carotenoid on egg yolk color and singlet oxygen quenching activity of laying hens. J. Poult. Sci. 2022, 59, 137–142. [Google Scholar] [CrossRef] [PubMed]
- Reda, F.M.; Madkour, M.; El-Azeem, N.A.; Aboelazab, O.; Ahmed, S.Y.A.; Alagawany, M. Tomato pomace as a nontraditional feedstuff: Productive and reproductive performance, digestive enzymes, blood metabolites, and the deposition of carotenoids into egg yolk in quail breeders. Poult. Sci. 2022, 101, 101730. [Google Scholar] [CrossRef] [PubMed]
- Islam, K.M.; Khalil, M.; Männer, K.; Raila, J.; Rawel, H.; Zentek, J.; Schweigert, F.J. Effect of dietary α-tocopherol on the bioavailability of lutein in laying hen. J. Anim. Physiol. Anim. Nutr. 2016, 100, 868–875. [Google Scholar] [CrossRef]
- Carreras, I.; Guerrero, L.; Guàrdia, M.D.; Esteve-Garcia, E.; Regueiro, J.A.G.; Sárraga, C. Vitamin E levels, thiobarbituric acid test and sensory evaluation of breast muscles from broilers fed α-tocopheryl acetate and β-carotene supplemented diets. J. Sci. Food Agric. 2004, 84, 313–317. [Google Scholar] [CrossRef]
- Ruiz, J.A.; Pérez-Vendrell, A.M.; Esteve-Garcia, E. Effect of β-carotene and vitamin E on oxidative stability in leg meat of broilers fed different supplemental fats. J. Agric. Food Chem. 1999, 47, 448–454. [Google Scholar] [CrossRef]
- Bendich, A.; Shapiro, S.S. Effect of â-carotene and cathaxanthin on the inmune response of the rats. J. Nutr. 1986, 116, 2254–2262. [Google Scholar] [CrossRef]
- Ingkasupart, P.; Manochai, B.; Song, W.T.; Hong, J.H. Antioxidant activities and lutein content of 11 marigold cultivars (Tagetes spp.) grown in Thailand. Food Sci. Technol. 2015, 35, 380–385. [Google Scholar] [CrossRef]
- Gong, Y.; Liu, X.; He, W.H.; Xu, H.G.; Yuan, F.; Gao, Y.X. Investigation into the antioxidant activity and chemical composition of alcoholic extracts from defatted marigold (Tagetes erecta L.) residue. Fitoterapia 2012, 83, 481–489. [Google Scholar] [CrossRef]
- Kim, E.J. The dietary effects of marigold extracts on egg production, egg quality and the production of lutein fortified chicken eggs. Korean J. Poult. Sci. 2014, 41, 135–142. [Google Scholar] [CrossRef]
- Jang, I.; Ko, Y.; Kang, S.; Kim, S.; Song, M.; Cho, K.; Ham, J.; Sohn, S. Effects of dietary lutein sources on lutein-enriched egg production and hepatic antioxidant system in laying hens. J. Poult. Sci. 2014, 51, 58–65. [Google Scholar] [CrossRef][Green Version]
- Rajput, N.; Naeem, M.; Ali, S.; Rui, Y.; Tian, W. Effect of dietary supplementation of marigold pigment on immunity, skin and meat color, and growth performance of broiler chickens. Braz. J. Poult. Sci. 2012, 14, 233–304. [Google Scholar] [CrossRef]
- Wang, S.; Zhang, L.; Li, J.; Cong, J.; Gao, F.; Zhou, G. Effects of dietary marigold extract supplementation on growth performance, pigmentation, antioxidant capacity and meat quality in broiler chickens. Asian-Australas J. Anim. Sci. 2017, 30, 71–77. [Google Scholar] [CrossRef]
- Panda, A.K.; Cherian, G. Role of Vitamin E in Counteracting Oxidative Stress in Poultry. J. Poult. Sci. 2014, 51, 109–117. [Google Scholar] [CrossRef]
- Surai, P.F. Antioxidant Systems in Poultry Biology: Superoxide Dismutase. J. Anim. Res. Nutr. 2016, 1, 8. [Google Scholar] [CrossRef]
- Lin, Y.F.; Tsai, H.L.; Lee, Y.C.; Chang, S.J. Maternal Vitamin E Supplementation Affects the Antioxidant Capability and Oxidative Status of Hatching Chicks. J. Nutr. 2005, 135, 2457–2461. [Google Scholar] [CrossRef] [PubMed]
- Yang, J.; Ding, X.; Bai, X.; Wang, J.; Zeng, Q.; Peng, H.; Xuan, Y.; Su, Z.; Zhang, K. The effects of broiler breeder dietary vitamin e and egg storage time on the quality of eggs and newly hatched chicks. Animals 2020, 10, 1409. [Google Scholar] [CrossRef]
- Araújo, I.C.S.; Café, M.B.; Mesquita, M.A.; Caiado, B.N.; Faria, A.M.; Mello, H.H.C.; Stringhini, J.H.; Leandro, N.S.M. Effect of a commercial product containing canthaxanthin for in ovo feeding to broiler embryos on hatchability, chick quality, oxidation status, and performance. Poult. Sci. 2020, 99, 5598–5606. [Google Scholar] [CrossRef]
- Araújo, I.C.S.; Café, M.B.; Noleto, R.A.; Martins, J.M.S.; Ulhoa, C.J.; Guareshi, G.C.; Reis, M.M.; Leandro, N.S.M. Effect of vitamin E in ovo feeding to broiler embryos on hatchability, chick quality, oxidative state, and performance. Poult. Sci. 2019, 98, 3652–3661. [Google Scholar] [CrossRef]
- Salary, J.; Sahebi-Ala, F.; Kalantar, M.; Matin, H.R.H. In ovo injection of vitamin E on post-hatch immunological parameters and broiler chicken performance. Asian Pac. J. Trop. Biomed. 2014, 4 (Suppl. S2), 616–619. [Google Scholar] [CrossRef]
- Johnson-Dahl, M.L.; Zuidhof, M.J.; Korver, D.R. The effect of maternal canthaxanthin supplementation and hen age on breeder performance, early chick traits, and indices of innate immune function. Poult. Sci. 2017, 96, 634–646. [Google Scholar] [CrossRef] [PubMed]
Disclaimer/Publisher’s Note: The statements, opinions and data contained in all publications are solely those of the individual author(s) and contributor(s) and not of MDPI and/or the editor(s). MDPI and/or the editor(s) disclaim responsibility for any injury to people or property resulting from any ideas, methods, instructions or products referred to in the content. |
© 2023 by the authors. Licensee MDPI, Basel, Switzerland. This article is an open access article distributed under the terms and conditions of the Creative Commons Attribution (CC BY) license (https://creativecommons.org/licenses/by/4.0/).



