Next Article in Journal
Advances in Seed Health Testing: Integrating Molecular Diagnostics, Imaging, and AI for Enhanced Quality Assurance
Previous Article in Journal
Effects of Fruit Maturity Stage and Seed Storage Conditions on Germination and Endogenous ABA and GA Levels in Solanum torvum
 
 
Font Type:
Arial Georgia Verdana
Font Size:
Aa Aa Aa
Line Spacing:
Column Width:
Background:
Article

Biostimulant Potential of Ascophyllum nodosum in Mitigating the Effects of Salinity on the Germination of Zea mays L.

by
Janyne Soares Braga Pires
1,2,
Francine Bonomo Crispim Silva
2,
Maria Eduarda da Silva Barbosa
2,
Geovana Ribeiro Cavilha
2,
Mateus Moura Coelho
2,
Samile Mardegan Otilia
2,
Josué Wan Der Maas Moreira
2,
Guilherme Roas Martins Marquito
2,
Fernando Gomes Hoste
1,
Ana Júlia Câmara Jeveaux-Machado
1,
Vinicius de Souza Oliveira
1,3,*,
Adriano Alves Fernandes
2 and
Sara Dousseau-Arantes
1,2,3,*
1
Center of Human and Natural Sciences, Federal University of Espírito Santo, Vitória 29075-910, ES, Brazil
2
Department of Agricultural and Biological Sciences, Federal University of Espírito Santo, North University Center of Espírito Santo, São Mateus 29932-540, ES, Brazil
3
Capixaba Institute for Research, Technical Assistance and Rural Extension—Regional Center for Rural Development—North, Linhares 29901-443, ES, Brazil
*
Authors to whom correspondence should be addressed.
Seeds 2026, 5(1), 14; https://doi.org/10.3390/seeds5010014
Submission received: 23 January 2026 / Revised: 9 February 2026 / Accepted: 19 February 2026 / Published: 23 February 2026

Abstract

Soil salinization is one of the main factors limiting agricultural productivity, negatively affecting seed germination and initial growth of maize (Zea mays L.). As a sustainable alternative, seaweed-based biostimulants, especially extracts of Ascophyllum nodosum, have stood out in mitigating abiotic stresses. This study aimed to evaluate the potential of A. nodosum extract in inducing tolerance to saline stress in maize seeds of the AL Bandeirante cultivar. To this end, three independent bioassays were conducted under controlled conditions: (i) evaluation of five doses of the extract (0; 0.5; 1.0; 1.5 and 2.0 mL L−1); (ii) effects of five osmotic potentials induced by NaCl (0, −0.2, −0.4, −0.6 and −0.8 MPa); and (iii) the interaction between the most efficient doses and salinity levels, comparing the extract to its mineral fraction. Seed germination, percentage of normal and abnormal seedlings, radicle and epicotyl length, and vigor index were measured. The results demonstrated that doses of 1.0 to 2.0 mL L−1 promoted greater bioactivity, with a 7.3% increase in root length compared to the control. Although increased salinity progressively reduced all variables, with severe effects at −0.6 and −0.8 MPa, the treatment with the extract showed superior performance to the mineral fraction, demonstrating a mitigating effect. It is concluded that A. nodosum extract is an effective strategy to attenuate the damage caused by salinity on seed germination and initial seedling growth in maize, especially under moderate stress.

1. Introduction

Biostimulants are substances or microorganisms capable of promoting the nutritional efficiency of plants, increasing tolerance to abiotic stresses, and improving the overall quality of plant growth, regardless of their direct nutritional content [1,2]. Unlike conventional fertilizers, these products act primarily by modulating physiological and metabolic processes, contributing to strengthening plant responses to adverse environmental conditions [3]. Even when applied in low concentrations, they can stimulate growth, rooting, flowering, and fruiting, resulting in greater vigor and agronomic performance [4].
Among the available biostimulants, seaweed extracts stand out for their wide diversity of bioactive compounds, such as growth regulators, polysaccharides and amino acids, associated with mitigating stresses such as water deficit and soil salinity [4,5]. In a scenario of climate change and increasing demand for sustainable productivity, these extracts have aroused interest for positively influencing the initial establishment of plants [2,6].
Soil salinization is one of the main constraints on global productivity, especially in arid regions where climate change intensifies salt accumulation [7,8]. This process induces osmotic stress and ionic imbalances that affect the energy metabolism of seeds [9]. During seed germination, excess salts reduce the substrate’s water potential, limiting imbibition and inhibiting radicle emergence [10]. Tolerance to this stress in the early stages is linked to the maintenance of osmotic balance and cellular integrity [11]. Osmoprotective compounds, such as betaines frequently present in natural extracts, help mitigate these deleterious effects [12].
Maize (Zea mays L.) is one of the world’s major crops, but it is considered moderately sensitive to salinity, especially during seed germination and the initial growth of maize seedlings, critical phases for crop establishment [13,14]. Maize exhibits moderate sensitivity to salinity, which affects its physiology, interrupting vital processes such as respiration, photosynthesis, and seed germination, reducing root growth, biomass, and initial development, which can result in irregular stand and lower productivity [8,15,16].
In this context, extracts of Ascophyllum nodosum have been studied as sources of auxins, cytokinins and betaines that contribute to physiological performance under adverse conditions [17]. Studies suggest that their application improves vigor and root growth, although the effects depend on the concentration and intensity of the stress [18,19].
Despite the known benefits, there are gaps in knowledge regarding the dose-dependent effects specifically on seed germination and initial seedling growth of maize, as well as a scarcity of data comparing the complete extract with its isolated mineral fraction. The use of A. nodosum constitutes a sustainable alternative, but it is necessary to clarify the ideal concentrations for protecting maize under different stress levels.
Thus, the present study aimed to evaluate the effects of different concentrations of A. nodosum extract on seed germination and initial seedling growth of maize subjected to different salinity levels, expressed as osmotic potentials induced by sodium chloride (NaCl).

2. Materials and Methods

The study was conducted at the Mineral Nutrition Laboratory of UFES, in São Mateus, using a B.O.D. type germination chamber BOD SP 225/364 Incubator 364 L (SP Labor. Com. de Prod. p/Lab. LTDA, Brazil, São Paulo), with controlled photoperiod and temperature alternation, following the recommendations of the Rules for Seed Analysis (RAS) [20].
Three independent bioassays were performed under controlled conditions. The first bioassay evaluated five doses of the biofertilizer based on Ascophyllum nodosum and its mineral solution, namely 0; 0.5; 1.0; 1.5 and 2.0 mL L−1; the second bioassay evaluated the effects of five osmotic potentials induced by NaCl solution, at concentrations of 0, −0.2, −0.4, −0.6 and −0.8 MPa; and the third bioassay evaluated the interaction between the most efficient doses and salinity levels, comparing the product with algae extract to its mineral fraction.
The maize cultivar AL Bandeirante was used, a semi-early cycle, semi-hard, orange-grained maize variety, for grain and silage, previously treated with fungicide Captan® 0.2% (Adama, Brazil, Londrina). It was chosen because it is a commercially available cultivar among producers in the region. All trials were conducted (Figure 1) using a single homogeneous seed lot produced in 2024 to avoid variations associated with differences between lots. The seeds were stored in kraft paper bags in a cool, dry, and dark environment.
In Bioassays 1 and 3, the seeds were treated with A. nodosum by soaking in the solution, measured with an automatic pipette at the treatment dose, and homogenized by manual stirring inside a sealed plastic bag. For Bioassay 2, the seeds were untreated and immediately distributed on Germitest® paper (Netlab, Brazil, São Paulo) (three sheets per replicate), moistened with saline solution at a ratio of 2.5 times the dry weight of the substrate, and placed in a germination chamber at 25 °C, under a 12 h photoperiod. In Bioassays 2 and 3, the Germitest® paper was moistened with the respective saline solutions to simulate osmotic stress conditions during the germination process.
In Bioassay 1, the control treatment is the replicate in which the maize seeds were not soaked in solution. In Bioassay 2, it is the replicate in which the Germitest® paper was moistened exclusively with distilled water, without the application of saline solution. In Bioassay 3, the control treatment is the replicate that combines the conditions without product application to the seeds and soaking of the Germitest® paper only with distilled water.
For saline stress, the five osmotic potentials (0, −0.2, −0.4, −0.6 and −0.8 MPa) were applied using solutions prepared with 0; 2.55; 8.84; 13.26 and 17.68 g of NaCl, respectively, according to the formula described in [21], where
Ψ s = ( i C R T )
where s = osmotic potential of the solution (MPa); i = solute dissociation coefficient (for NaCl, i = 2); C = molar concentration of the solution (mol L−1); R = gas constant (0.008314 MPa L mol−1 K−1); T = absolute temperature (K).
The sodium chloride used in the preparation of the saline solutions was of the P.A. type (pure for analysis), with a molecular weight of 58.44 g mol−1, presenting a minimum purity of 99.5%.
Table 1 shows the mineral composition of the biofertilizer used. The mineral fraction used was obtained from the composition of the commercial product itself, and was used as an isolated treatment to differentiate the effects of mineral nutrients from those attributed to the bioactive compounds of the complete extract.
Due to chemical incompatibility between some elements, this mineral solution was fractionated into three distinct parts, allowing for comparison of the extract’s performance independently of its nutritional load, as detailed in Table 2.
Evaluations were carried out on the 4th and 7th days after sowing, including germination percentage (%), normal seedlings (%) and abnormal seedlings (%), seedlings were classified as normal or abnormal according to the RAS [20]. Epicotyl length and radicle length were evaluated, in addition to the vigor index. The vigor index (VI) was calculated according to the formula proposed by [22], being VI = (Epicotyl length + radicle length) × % germination.
The experiments were conducted in a completely randomized design, with four replications of 50 seeds per treatment. Statistical analyses were performed using the Sisvar software [23]. The data were subjected to analysis of variance and, when significant, the treatment means were compared using Tukey’s test at p ≤ 0.05. Quantitative variables were analyzed by polynomial regression, selecting models based on the significance of the regression coefficients and the coefficient of determination (R2), adopting a significance level of p ≤ 0.05.

3. Results

3.1. Bioassay 1

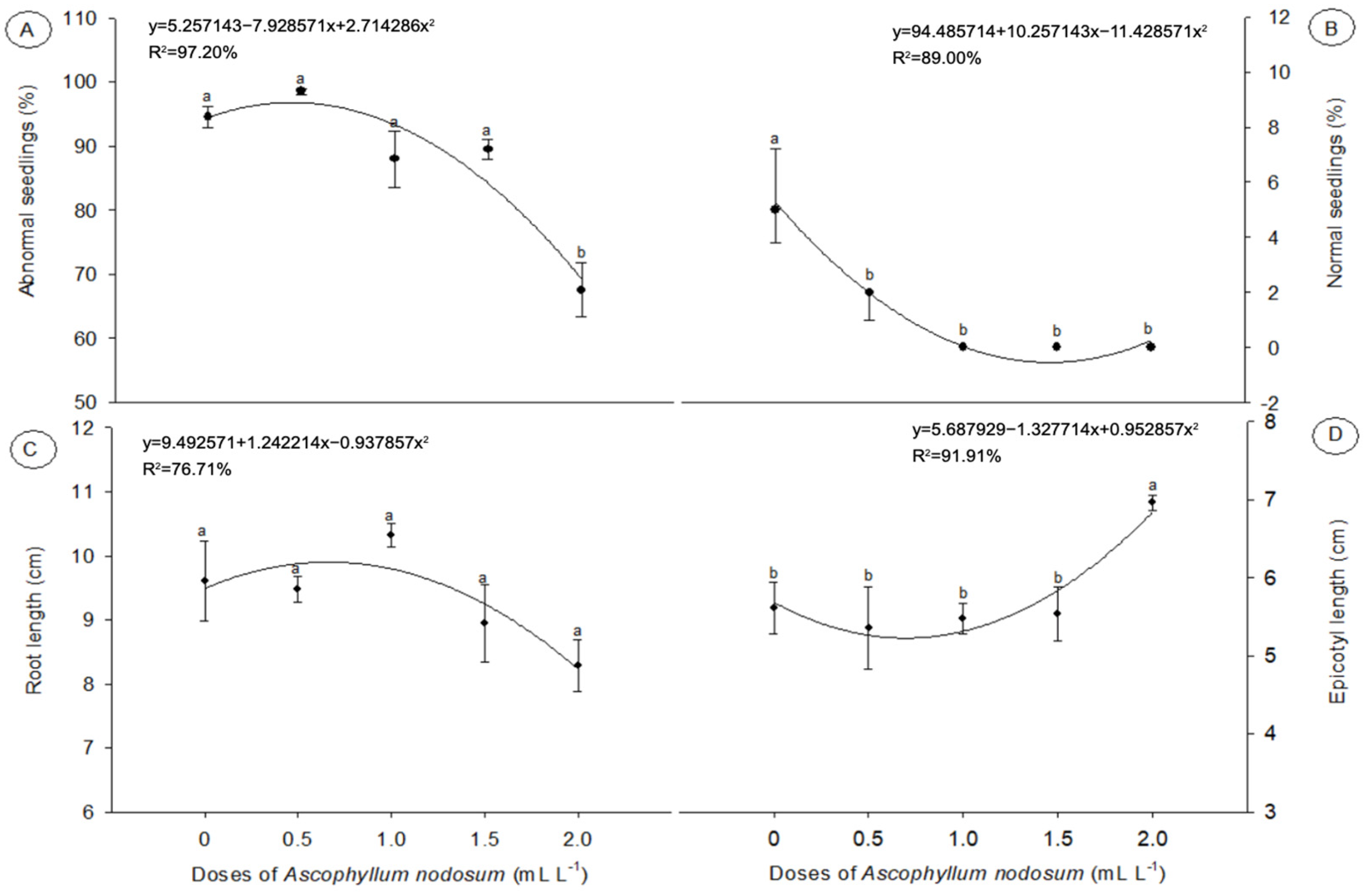
Intermediate doses, between 1.0 and 2.0 mL L−1 of seeds, were the most effective, promoting the highest values for epicotyl length and vigor index compared to the control (0 mL L−1) and the other doses evaluated. Four days after sowing (Figure 2), a progressive increase in epicotyl length and vigor index was observed up to the dose of 2.0 mL L−1. This pattern indicates a dose-dependent response, in which intermediate concentrations of the biostimulant favor the initial growth of seedlings. Similar results were observed 7 days after sowing (Figure 3), when doses of 1.0 and 2.0 mL −1 provided a higher percentage of normal seedlings, greater radicle and epicotyl length, and a lower incidence of abnormal seedlings.

3.2. Bioassay 2

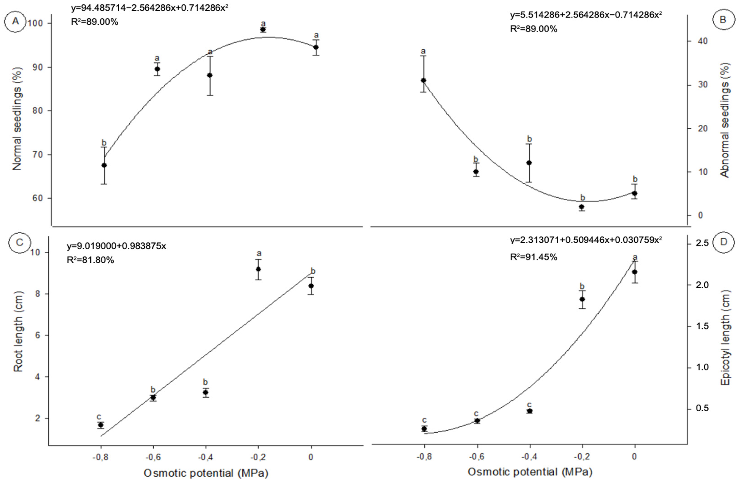
The results presented in Figure 4 show the influence of different osmotic potentials induced by NaCl (0, −0.2, −0.4, −0.6 and −0.8 MPa) on the morphological and physiological variables of maize seedlings evaluated 7 days after sowing. It was observed that the progressive reduction in the osmotic potential resulted in a gradual decrease in the physiological performance of the seedlings, with a more pronounced response at higher stress levels.
The percentage of normal (Figure 5) seedlings remained high under conditions of 0 and −0.2 MPa, while more significant reductions were observed from −0.4 MPa, intensifying at potentials of −0.6 and −0.8 MPa. Concomitantly, an increase in the proportion of abnormal seedlings was observed, especially at the most severe salinity levels.
The radicle and epicotyl lengths showed similar behavior, with maximum values observed in the control (0 MPa) and a progressive reduction as the osmotic potential decreased, with the shortest lengths recorded at −0.6 and −0.8 MPa. These results indicate that osmotic potentials equal to or less than −0.4 MPa already compromise the initial growth of seedlings, while levels of −0.6 and −0.8 MPa impose more severe restrictions on development. After Bioassay 2, moderate (−0.6 MPa) and severe (−0.8 MPa) stress were defined.

3.3. Bioassay 3

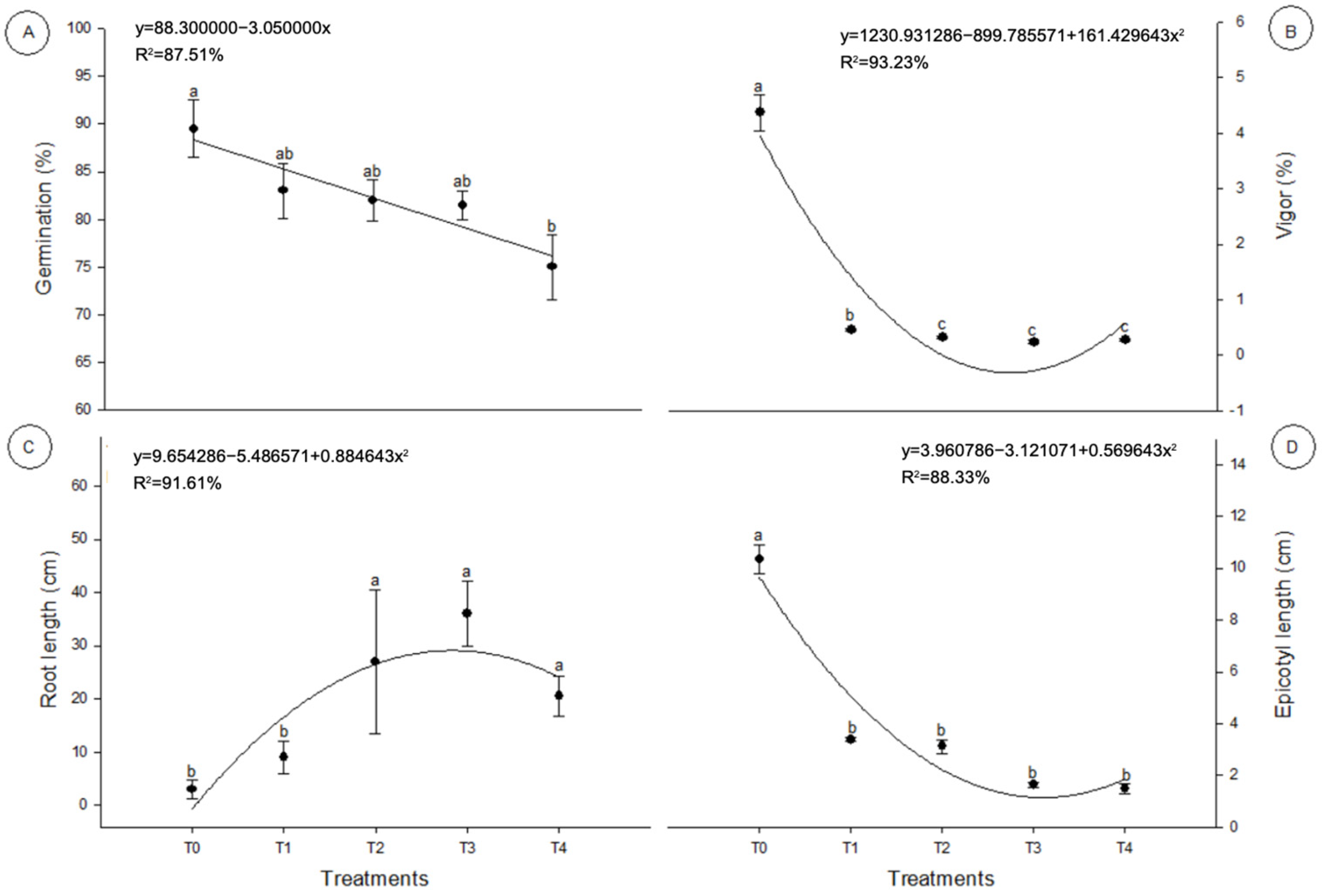
The results presented in Figure 6 demonstrate the effect of A. nodosum extract and its mineral fraction on the germination, vigor, and initial growth of maize seedlings 7 days after sowing, under moderate (−0.6 MPa) and severe (−0.8 MPa) saline stress conditions. The control treatment (T0) showed the highest values for all variables evaluated, while the imposition of saline stress reduced seedling performance at both salinity levels.
Under moderate stress (−0.6 MPa), treatment with the A. nodosum extract (T1) resulted in higher germination, vigor index, and root and epicotyl length values when compared to treatment with the mineral fraction (T2). Similar differences were observed under severe stress (−0.8 MPa), in which the treatment with the extract (T3) maintained superior performance compared to the mineral fraction (T4), although with absolute values lower than those observed under moderate stress.
Overall, the results indicate that the application of A. nodosum extract promoted better seedling performance compared to the isolated application of the mineral fraction, under both moderate and severe stress conditions.

4. Discussion

The results demonstrate the potential of Ascophyllum nodosum extract in mitigating the effects of salinity on the germination and initial growth of maize seedlings (Zea mays L.). Overall, the biostimulant favored vegetative development and vigor, especially at intermediate doses (1.0–2.0 mL L−1) and under moderate osmotic stress (−0.6 MPa).
In the first bioassay, a dose-dependent response was observed, with a higher percentage of normal seedlings and better root growth at intermediate doses. The quadratic behavior of germination and root length indicates the existence of an optimal application range, a typical pattern for biostimulants and consistent with the hormetic model [2]. At moderate concentrations, bioactive compounds such as growth regulators and polysaccharides can stimulate physiological processes associated with germination and initial growth [5,24].
Unlike the other parameters, epicotyl length was greater at the 2.0 mL L−1 dose, suggesting a differential response of the aerial part to the extract concentration. This effect may be related to the modulation of hormonal pathways associated with cell elongation [4,24]. Thus, the effects of the extract proved to be dependent on both the dose and the organ evaluated.
In the second bioassay, the progressive reduction in osmotic potential (0 to −0.8 MPa) decreased the percentage of normal seedlings and root and epicotyl growth. NaCl reduces the substrate water potential and causes ionic toxicity, compromising cell integrity and energy metabolism [11,25]. Between −0.2 and −0.4 MPa, germination remained relatively stable, indicating partial tolerance of maize to moderate stresses [13]. From −0.4 MPa onwards, the effects became more pronounced, corroborating reports of maize sensitivity in the early stages [7,14].
Root growth showed a linear reduction with decreasing osmotic potential, reflecting limitations in cell expansion and water balance [8,26]. Similarly, epicotyl length was reduced, an effect associated with initial osmotic stress and toxicity from Na+ and Cl [9,27]. These results justified the choice of −0.6 and −0.8 MPa in Bioassay 3.
In the third bioassay, germination and vigor decreased with increasing stress severity. However, seeds treated with the extract showed superior performance compared to the isolated mineral fraction under both saline conditions. This result indicates that the mitigating effect is not restricted to mineral supply, and may involve the integrated action of bioactive compounds [2,3,4].
The vigor index proved to be more sensitive to stress than germination, especially under −0.8 MPa, in agreement with the literature [7,13]. Still, the extract promoted greater root and epicotyl growth compared to the mineral fraction, suggesting a physiological advantage under stress [8]. The superiority of the complete extract reinforces that its effects are not limited to nutritional content, but involve multiple bioactive compounds [3,18].
In general, the A. nodosum extract partially mitigated the effects of saline stress on the germination and initial growth of maize, promoting better physiological performance of seedlings under adverse conditions. However, the results refer specifically to the AL Bandeirante hybrid and the experimental conditions adopted, and further studies with different genotypes and field validation are needed to confirm the consistency of the response under real agricultural conditions. Although conducted in a controlled laboratory environment, the study provides initial evidence supporting the potential of A. nodosum extract as a promising seed treatment strategy for production systems subject to salinity.

5. Conclusions

The results obtained indicate that Ascophyllum nodosum extract shows potential as a biostimulant for germination and initial seedling development of maize under saline stress conditions in the range of −0.6 and −0.8 MPa. Intermediate doses proved more effective in promoting growth and vigor, while the application of the biostimulant attenuated the negative effects of NaCl, especially under moderate saline stress. These findings reinforce the potential use of A. nodosum-based biostimulants as a viable tool to improve the initial establishment of the AL Bandeirante hybrid in salinity-affected soils, contributing to greater physiological stability of seedlings and to the sustainable management of agricultural areas subject to salinization.

Author Contributions

Conceptualization, J.S.B.P., M.E.d.S.B., J.W.D.M.M. and F.B.C.S.; methodology, J.S.B.P., G.R.C. and F.B.C.S.; software, V.d.S.O.; validation, V.d.S.O., A.J.C.J.-M. and F.G.H.; formal analysis, V.d.S.O.; investigation, J.S.B.P.; resources, J.S.B.P., V.d.S.O., M.M.C., G.R.M.M. and S.M.O.; data curation, V.d.S.O.; writing—original draft preparation, V.d.S.O., A.A.F. and S.D.-A.; writing—review and editing, V.d.S.O. and S.D.-A.; visualization, S.D.-A.; supervision, A.A.F. and S.D.-A.; project administration, S.D.-A.; funding acquisition, S.D.-A. All authors have read and agreed to the published version of the manuscript.

Funding

This research was funded by Fundação de Amparo à Pesquisa e Inovação do Espírito Santo— FAPES.

Data Availability Statement

The original contributions presented in this study are included in the article. Further inquiries can be directed to the corresponding authors.

Conflicts of Interest

The authors declare no conflicts of interest.

References

  1. Du Jardin, P. Plant biostimulants: Definition, concept, main categories and regulation. Sci. Hortic. 2015, 196, 1. [Google Scholar] [CrossRef]
  2. Rouphael, Y.; Colla, G. Biostimulants in agriculture. Front. Plant Sci. 2020, 11, 40. [Google Scholar] [CrossRef]
  3. Jannin, L.; Arkoun, M.; Etienne, P.; Lainé, P.; Goux, D.; Garnica, M.; Fuentes, M.; Franscicos, S.S.; Baigorri, R.; Cruz, F.; et al. Brassica napus Growth is Promoted by Ascophyllum nodosum (L.) Le Jol. Seaweed Extract: Microarray Analysis and Physiological Characterization of N, C, and S Metabolisms. J. Plant Growth Regul. 2013, 32, 1. [Google Scholar] [CrossRef]
  4. Shukla, P.S.; Mantin, E.G.; Mohd, A.; Bajpai, S.; Critchley, A.T.; Prithiviraj, B. Ascophyllum nodosum-Based Biostimulants: Sustainable Applications in Agriculture for the Stimulation of Plant Growth, Stress Tolerance, and Disease Management. Front. Plant Sci. 2019, 10, 655. [Google Scholar] [CrossRef] [PubMed]
  5. Craigie, J.S. Seaweed extract stimuli in plant science and agriculture. J. Appl. Phycol. 2011, 23, 371–393. [Google Scholar] [CrossRef]
  6. Bulgari, R.; Franzoni, G.; Ferrante, A. Biostimulants Application in Horticultural Crops under Abiotic Stress Conditions. Agronomy 2019, 9, 306. [Google Scholar] [CrossRef]
  7. Shrivastava, P.; Kumar, R. Soil Salinity: A Serious Environmental Issue and Plant Growth Promoting Bacteria as One of the Tools for Its Alleviation. Saudi J. Biol. Sci. 2015, 22, 123–131. [Google Scholar] [CrossRef]
  8. Munns, R.; Tester, M. Mechanisms of salinity tolerance. Annu. Rev. Plant Biol. 2008, 59, 651–681. [Google Scholar] [CrossRef]
  9. Wang, X.; Li, Y.; Chen, P. Plant responses and adaptations to salt stress: A review. Horticulturae 2024, 10, 1221. [Google Scholar] [CrossRef]
  10. Hussain, S.; Farooq, M.; Nawaz, A.; Alghamdi, S.S.; Siddique, K.H.M. Improving salinity tolerance in germinating seeds of chickpea using silicon. Plant Physiol. Biochem. 2021, 158, 183–193. [Google Scholar]
  11. Munns, R.; James, R.A.; Gilliham, M.; Flowers, T.J.; Colmer, T.D. Tissue tolerance: An essential trait in the pursuit of salinity tolerance in wheat. Plant Cell Environ. 2020, 43, 1636–1655. [Google Scholar] [CrossRef]
  12. Ashraf, M.; Foolad, M.R. Roles of glycine betaine and proline in improving plant abiotic stress resistance. Environ. Exp. Bot. 2007, 59, 206–216. [Google Scholar] [CrossRef]
  13. Alia, M.; Abbas, G.H.; Jamila, M.; Razab, M.A.S.; Ahmad, S. Caracterização de híbridos de milho (Zea mays L.) quanto à tolerância à salinidade na fase de muda. Pak. J. Sci. Ind. Res. Ser. B 2021, 64, 2. [Google Scholar] [CrossRef]
  14. Farooq, M.; Hussain, M.; Wakeel, A.; Siddique, K.H.M. Salt stress in maize: Effects, resistance mechanisms, and management. Agron. Sustain. Dev. 2015, 35, 461–481. [Google Scholar] [CrossRef]
  15. Duarte, H.H.F.; Nobre, R.G.; Silva, E.M.; Pinheiro, F.W.A.; Freitas, A.D.S. Growth and gas exchange in maize under salt stress. Rev. Caatinga 2018, 31, 425–433. [Google Scholar]
  16. Iqbal, S.; Ali, Q.; Malik, A. Effects of seed priming with salicylic acid on Zea mays seedlings grown under salt stress conditions. Biol. Clin. Sci. Res. J. 2021, 2021, 1. [Google Scholar] [CrossRef]
  17. EL Boukhari, M.E.M.; Barakate, M.; Bouhia, Y.; Lyamlouli, K. Trends in Seaweed Extract Based Biostimulants: Manufacturing Process and Beneficial Effect on Soil-Plant Systems. Plants 2020, 9, 359. [Google Scholar] [CrossRef]
  18. Martynenko, A.; Shotton, K.; Astatkie, T.; Petrash, G.; Fowler, C.; Neily, W.; Critchley, A.T. Thermal imaging of soybean response to drought stress: The effect of Ascophyllum nodosum seaweed extract. SpringerPlus 2016, 5, 1. [Google Scholar] [CrossRef]
  19. Hoang, E.; Stephenson, P. Ascophyllum nodosum SWE enhances root anatomy, but not POD activity in both a salt-tolerant and salt-sensitive soybean (Glycine max) variety exposed to salt stress. MicroPubl. Biol. 2024, 2024, 10–17912. [Google Scholar] [CrossRef]
  20. Brasil. Regras para Análise de Sementes. Ministério da Agricultura, Pecuária e Abastecimento. Secretária de Defesa Agropecuária. Brasília: Mapa/ACS. 2009; p. 399. Available online: www.gov.br (accessed on 21 January 2025).
  21. Magalhães, A.C.N.; Bruno, R.L.A.; Fernandes, P.D.; Gheyi, H.R. Estresse salino em sementes. In Estresses Ambientais: Danos e Benefícios em Plantas; Nogueira, R.J.M.C., Araújo, E.L., Willadino, L.G., Cavalcante, U.M.T., Eds.; UFRPE: Recife, Brazil, 2004. [Google Scholar]
  22. Abdul-Baki, A.A.; Anderson, J.D. Vigor determination in soybean seed by multiple criteria. Crop Sci. 1973, 13, 630–633. [Google Scholar] [CrossRef]
  23. Ferreira, D.F. Sisvar: A computer analysis system to fixed effects split plot type designs. BJB 2019, 37, 4. [Google Scholar] [CrossRef]
  24. Khan, W.; Rayirath, U.P.; Subramanian, S.; Jithesh, M.N.; Rayorath, P.; Hodges, D.M.; Critchley, A.T.; Craigie, J.S.; Norrie, J.; Prithiviraj, B. Seaweed extracts as biostimulants of plant growth and development. J. Plant Growth Regul. 2009, 28, 386–399. [Google Scholar] [CrossRef]
  25. Etesami, H.; Beattie, G.A. Mining halophytes for plant growth-promoting halotolerant bacteria to enhance the salinity tolerance of non-halophytic crops. Front. Plant Sci. 2018, 9, 148. [Google Scholar] [CrossRef]
  26. Hasanuzzaman, M.; Bhuyan, M.H.M.B.; Zulfiqar, F.; Raza, A.; Mohsin, S.M.; Mahmud, J.A.; Fujita, M.; Fotopoulos, V. Reactive oxygen species and antioxidant defense in plants under abiotic stress: Revisiting the crucial role of a universal defense regulator. Antioxidants 2020, 9, 681. [Google Scholar] [CrossRef]
  27. Zhu, J.K. Plant salt tolerance. Trends Plant Sci. 2001, 6, 66–71. [Google Scholar] [CrossRef]
Figure 1. Steps for conducting germination bioassays with maize seeds. (A) Soaking the seeds in a solution containing the Ascophyllum nodosum-based biofertilizer; (B) moistening the Germitest® paper with the respective solutions (distilled water or saline solution); (C) distributing the seeds on the substrate; (D,E) organizing and spacing the seeds on the paper; and (F) rolling up the Germitest® paper for packaging and subsequent incubation in a BOD-type chamber.
Figure 1. Steps for conducting germination bioassays with maize seeds. (A) Soaking the seeds in a solution containing the Ascophyllum nodosum-based biofertilizer; (B) moistening the Germitest® paper with the respective solutions (distilled water or saline solution); (C) distributing the seeds on the substrate; (D,E) organizing and spacing the seeds on the paper; and (F) rolling up the Germitest® paper for packaging and subsequent incubation in a BOD-type chamber.
Seeds 05 00014 g001
Figure 2. Epicotyl length (A), vigor index (B) of maize seedlings (Zea Mays L.) 4 days after sowing in response to five different doses (0; 0.5; 1; 1.5 and 2 mL L−1) of A. nodosum. Means followed by the same letters do not differ from each other by Tukey’s test at p ≤ 0.05.
Figure 2. Epicotyl length (A), vigor index (B) of maize seedlings (Zea Mays L.) 4 days after sowing in response to five different doses (0; 0.5; 1; 1.5 and 2 mL L−1) of A. nodosum. Means followed by the same letters do not differ from each other by Tukey’s test at p ≤ 0.05.
Seeds 05 00014 g002
Figure 3. Abnormal seedlings (A), normal seedlings (B), root length (C), epicotyl length (D), 7 days after sowing in response to five different doses (0; 0.5; 1; 1.5 and 2 mL L−1) of A. nodosum. Means followed by the same letters do not differ from each other by Tukey’s test at p ≤ 0.05.
Figure 3. Abnormal seedlings (A), normal seedlings (B), root length (C), epicotyl length (D), 7 days after sowing in response to five different doses (0; 0.5; 1; 1.5 and 2 mL L−1) of A. nodosum. Means followed by the same letters do not differ from each other by Tukey’s test at p ≤ 0.05.
Seeds 05 00014 g003
Figure 4. Abnormal seedlings (A), normal seedlings (B), root length (C), epicotyl length (D), 7 days after sowing in response to five osmotic potentials (−0.8, −0.6, −0.4, −0.2 and 0) of NaCl. Means followed by the same letters do not differ from each other by Tukey’s test at p ≤ 0.05.
Figure 4. Abnormal seedlings (A), normal seedlings (B), root length (C), epicotyl length (D), 7 days after sowing in response to five osmotic potentials (−0.8, −0.6, −0.4, −0.2 and 0) of NaCl. Means followed by the same letters do not differ from each other by Tukey’s test at p ≤ 0.05.
Seeds 05 00014 g004
Figure 5. Germination of maize seeds subjected to different osmotic potentials induced by NaCl. In (A) seeds under an osmotic potential of −0.2 MPa, showing greater uniformity and root development. In (B) seeds subjected to an osmotic potential of −0.6 MPa, showing a reduction in the percentage of germination and less seedling growth, characterizing the effect of saline stress.
Figure 5. Germination of maize seeds subjected to different osmotic potentials induced by NaCl. In (A) seeds under an osmotic potential of −0.2 MPa, showing greater uniformity and root development. In (B) seeds subjected to an osmotic potential of −0.6 MPa, showing a reduction in the percentage of germination and less seedling growth, characterizing the effect of saline stress.
Seeds 05 00014 g005
Figure 6. Effects of A. nodosum on maize seedlings under saline stress. T0 = Control; T1 = NaCl-0.6 + A. nodosum; T2 = NaCl-0.6 + Mineral fraction; T3 = NaCl-0.8 + A. nodosum; T4 = NaCl-0.8 + Mineral fraction; In Germination (A), vigor (B), root length (C), epicotyl length (D), 7 days after sowing. Means followed by the same letters do not differ from each other by Tukey’s test at p ≤ 0.05.
Figure 6. Effects of A. nodosum on maize seedlings under saline stress. T0 = Control; T1 = NaCl-0.6 + A. nodosum; T2 = NaCl-0.6 + Mineral fraction; T3 = NaCl-0.8 + A. nodosum; T4 = NaCl-0.8 + Mineral fraction; In Germination (A), vigor (B), root length (C), epicotyl length (D), 7 days after sowing. Means followed by the same letters do not differ from each other by Tukey’s test at p ≤ 0.05.
Seeds 05 00014 g006
Table 1. Mineral composition of the biofertilizer.
Table 1. Mineral composition of the biofertilizer.
ParametersUnitAmount
Total nitrogen%m/m2.19
Total phosphorus%m/m0.3059
Total potassium%m/m5.71
Total calcium%m/m0.1305
Total magnesium%m/m0.0307
Sulfur%m/m1.925
Iron%m/m0.04444
Zinc%m/m0.0027
Copper%m/m0.0007
Manganese%m/m0.0047
Boron%m/m0.0042
Table 2. Composition of the Mineral Solution.
Table 2. Composition of the Mineral Solution.
SolutionReagentQuantity (g)Available (%m/m)
Solution AZnSO40.01180.0027 g of Zn and 0.000132 g of S
CuCl20.00190.0070 of Cu and 0.000388 of Cl
MnSO40.01440.0047 g of Mn and 0.00027 g of S
H3BO30.0240.0042 of B
CH4N2O1.114570.5293 of N
CaSO40.560.1305 g of Ca and 0.104 g of S
NKS12.6891.5227 of N, 0.1523 of S and 5.71 of K
Solution BFeCl30.2150.0444 g of Fe and 0.0845 g of Cl
MgSO40.3110.0307 of Mg and 0.0405 of S
Na2SO47.2881.1627 of S and 1.1792 of Na
Solution CH6NO4P1.1360.138 of N and 0.3059 of P
Disclaimer/Publisher’s Note: The statements, opinions and data contained in all publications are solely those of the individual author(s) and contributor(s) and not of MDPI and/or the editor(s). MDPI and/or the editor(s) disclaim responsibility for any injury to people or property resulting from any ideas, methods, instructions or products referred to in the content.

Share and Cite

MDPI and ACS Style

Soares Braga Pires, J.; Bonomo Crispim Silva, F.; da Silva Barbosa, M.E.; Ribeiro Cavilha, G.; Moura Coelho, M.; Mardegan Otilia, S.; Wan Der Maas Moreira, J.; Roas Martins Marquito, G.; Gomes Hoste, F.; Câmara Jeveaux-Machado, A.J.; et al. Biostimulant Potential of Ascophyllum nodosum in Mitigating the Effects of Salinity on the Germination of Zea mays L. Seeds 2026, 5, 14. https://doi.org/10.3390/seeds5010014

AMA Style

Soares Braga Pires J, Bonomo Crispim Silva F, da Silva Barbosa ME, Ribeiro Cavilha G, Moura Coelho M, Mardegan Otilia S, Wan Der Maas Moreira J, Roas Martins Marquito G, Gomes Hoste F, Câmara Jeveaux-Machado AJ, et al. Biostimulant Potential of Ascophyllum nodosum in Mitigating the Effects of Salinity on the Germination of Zea mays L. Seeds. 2026; 5(1):14. https://doi.org/10.3390/seeds5010014

Chicago/Turabian Style

Soares Braga Pires, Janyne, Francine Bonomo Crispim Silva, Maria Eduarda da Silva Barbosa, Geovana Ribeiro Cavilha, Mateus Moura Coelho, Samile Mardegan Otilia, Josué Wan Der Maas Moreira, Guilherme Roas Martins Marquito, Fernando Gomes Hoste, Ana Júlia Câmara Jeveaux-Machado, and et al. 2026. "Biostimulant Potential of Ascophyllum nodosum in Mitigating the Effects of Salinity on the Germination of Zea mays L." Seeds 5, no. 1: 14. https://doi.org/10.3390/seeds5010014

APA Style

Soares Braga Pires, J., Bonomo Crispim Silva, F., da Silva Barbosa, M. E., Ribeiro Cavilha, G., Moura Coelho, M., Mardegan Otilia, S., Wan Der Maas Moreira, J., Roas Martins Marquito, G., Gomes Hoste, F., Câmara Jeveaux-Machado, A. J., de Souza Oliveira, V., Alves Fernandes, A., & Dousseau-Arantes, S. (2026). Biostimulant Potential of Ascophyllum nodosum in Mitigating the Effects of Salinity on the Germination of Zea mays L. Seeds, 5(1), 14. https://doi.org/10.3390/seeds5010014

Article Metrics

Back to TopTop