Analysis and Application of Translation-Enhancing Peptides for Improved Production of Proteins Containing Polyproline
Abstract
1. Introduction
2. Results
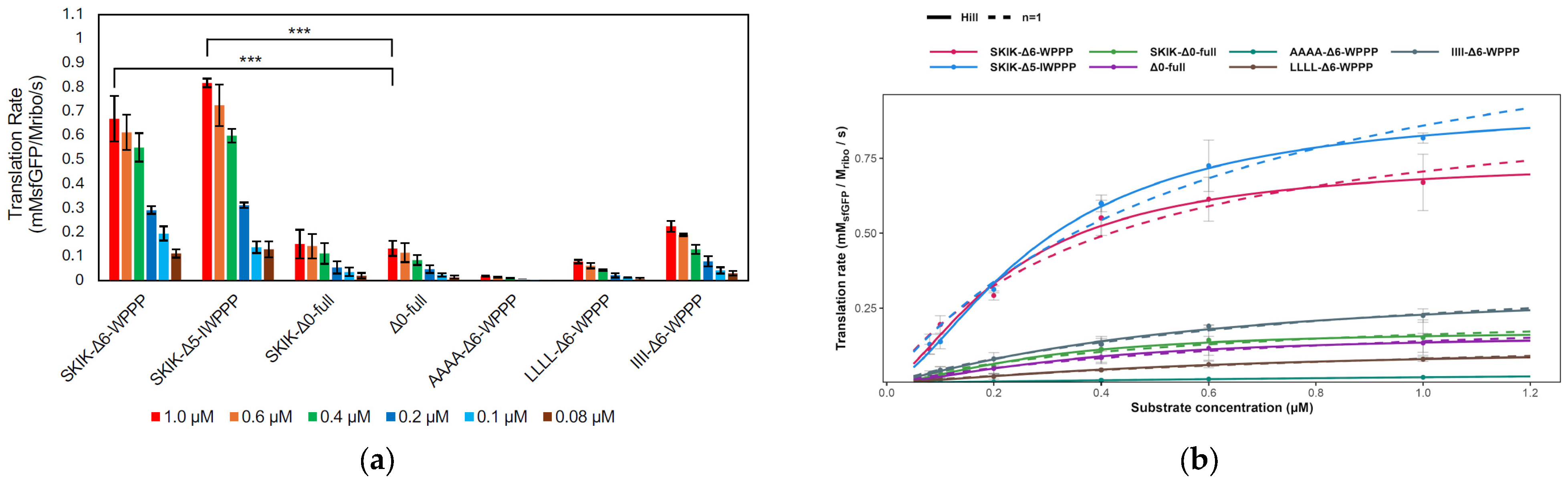
2.1. Effect of SKIK Peptide on Translation Kinetics

2.2. Effect of Repetitive SKIK on Translation
2.3. Application of SKIK on Improved Production of Proteins Containing Polyproline
3. Discussion
3.1. Effect of SKIK Peptide on Translation Kinetics of Polyproline Containing AP
3.2. Effect of Repetitive SKIK on Translation
3.3. Application of SKIK on Improved Production of Proteins Containing Polyproline
4. Materials and Methods
4.1. Construction of Plasmid DNA for Kinetic Analysis
4.2. Construction of Plasmid DNA for Expressing Polyproline Containing Genes
4.3. Cell-Free Translation
4.4. Derivation of the Hill Equation and Kinetic Analysis
4.5. Expression in E. coli BL21(DE3)
4.6. SDS-PAGE and Quantification of the Proteins by Western Blotting
5. Conclusions
Supplementary Materials
Author Contributions
Funding
Institutional Review Board Statement
Informed Consent Statement
Data Availability Statement
Acknowledgments
Conflicts of Interest
Abbreviations
| AP | Arrest peptide |
| CFPS | Cell-free protein synthesis |
References
- Li, Z.M.; Fan, Z.L.; Wang, X.Y.; Wang, T.Y. Factors Affecting the Expression of Recombinant Protein and Improvement Strategies in Chinese Hamster Ovary Cells. Front. Bioeng. Biotechnol. 2022, 10, 880155. [Google Scholar] [CrossRef] [PubMed]
- Kim, K.; Choe, D.; Lee, D.H.; Cho, B.K. Engineering Biology to Construct Microbial Chassis for the Production of Difficult-to-Express Proteins. Int. J. Mol. Sci. 2020, 21, 990. [Google Scholar] [CrossRef] [PubMed]
- Maltais, J.S.; Lord-Dufour, S.; Morasse, A.; Stuible, M.; Loignon, M.; Durocher, Y. Repressing Expression of Difficult-to-Express Recombinant Proteins during the Selection Process Increases Productivity of CHO Stable Pools. Biotechnol. Bioeng. 2023, 120, 2840–2852. [Google Scholar] [CrossRef] [PubMed]
- Nakatogawa, H.; Ito, K. The Ribosomal Exit Tunnel Functions as a Discriminating Gate. Cell 2002, 108, 629–636. [Google Scholar] [CrossRef]
- Ito, K.; Chiba, S. Arrest Peptides: Cis-Acting Modulators of Translation. Annu. Rev. Biochem. 2013, 82, 171–202. [Google Scholar] [CrossRef]
- Pavlov, M.Y.; Watts, R.E.; Tan, Z.; Cornish, V.W.; Ehrenberg, M.; Forster, A.C. Slow Peptide Bond Formation by Proline and Other N-Alkylamino Acids in Translation. Proc. Natl. Acad. Sci. USA 2009, 106, 50–54. [Google Scholar] [CrossRef]
- Peil, L.; Starosta, A.L.; Lassak, J.; Atkinson, G.C.; Virumäe, K.; Spitzer, M.; Tenson, T.; Jung, K.; Remme, J.; Wilson, D.N. Distinct XPPX Sequence Motifs Induce Ribosome Stalling, Which Is Rescued by the Translation Elongation Factor EF-P. Proc. Natl. Acad. Sci. USA 2013, 110, 15265–15270. [Google Scholar] [CrossRef]
- Woolstenhulme, C.J.; Parajuli, S.; Healey, D.W.; Valverde, D.P.; Petersen, E.N.; Starosta, A.L.; Guydosh, N.R.; Johnson, W.E.; Wilson, D.N.; Buskirk, A.R. Nascent Peptides That Block Protein Synthesis in Bacteria. Proc. Natl. Acad. Sci. USA 2013, 110, E878–E887. [Google Scholar] [CrossRef]
- Nagai, R.; Xu, Y.; Liu, C.; Shimabukuro, A.; Takeuchi-Tomita, N. In Vitro Reconstitution of Yeast Translation System Capable of Synthesizing Long Polypeptide and Recapitulating Programmed Ribosome Stalling. Methods Protoc. 2021, 4, 45. [Google Scholar] [CrossRef]
- Krafczyk, R.; Qi, F.; Sieber, A.; Mehler, J.; Jung, K.; Frishman, D.; Lassak, J. Proline Codon Pair Selection Determines Ribosome Pausing Strength and Translation Efficiency in Bacteria. Commun. Biol. 2021, 4, 589. [Google Scholar] [CrossRef]
- Doerfel, L.K.; Wohlgemuth, I.; Kothe, C.; Peske, F.; Urlaub, H.; Rodnina, M.V. EF-P Is Essential for Rapid Synthesis of Proteins Containing Consecutive Proline Residues. Science 2013, 339, 85–88. [Google Scholar] [CrossRef]
- Huter, P.; Arenz, S.; Bock, L.V.; Graf, M.; Frister, J.O.; Heuer, A.; Peil, L.; Starosta, A.L.; Wohlgemuth, I.; Peske, F.; et al. Structural Basis for Polyproline-Mediated Ribosome Stalling and Rescue by the Translation Elongation Factor EF-P. Mol. Cell 2017, 68, 515–527.e6. [Google Scholar] [CrossRef] [PubMed]
- Katoh, T.; Wohlgemuth, I.; Nagano, M.; Rodnina, M.V.; Suga, H. Essential Structural Elements in TRNAPro for EF-P-Mediated Alleviation of Translation Stalling. Nat. Commun. 2016, 7, 11657. [Google Scholar] [CrossRef] [PubMed]
- Ojima-Kato, T.; Nagai, S.; Nakano, H. N-Terminal SKIK Peptide Tag Markedly Improves Expression of Difficult-to-Express Proteins in Escherichia Coli and Saccharomyces Cerevisiae. J. Biosci. Bioeng. 2017, 123, 540–546. [Google Scholar] [CrossRef] [PubMed]
- Ojima-Kato, T.; Nishikawa, Y.; Furukawa, Y.; Kojima, T.; Nakano, H. Nascent MSKIK Peptide Cancels Ribosomal Stalling by Arrest Peptides in Escherichia Coli. J. Biol. Chem. 2023, 299, 104676. [Google Scholar] [CrossRef]
- Nishikawa, Y.; Fujikawa, R.; Nakano, H.; Kanamori, T.; Ojima-Kato, T. Effect of Translation-Enhancing Nascent SKIK Peptide on the Arrest Peptides Containing Consecutive Proline. ACS Synth. Biol. 2024, 13, 3908–3916. [Google Scholar] [CrossRef]
- Ojima-Kato, T.; Nagai, S.; Nakano, H. Ecobody Technology: Rapid Monoclonal Antibody Screening Method from Single B Cells Using Cell-Free Protein Synthesis for Antigen-Binding Fragment Formation. Sci. Rep. 2017, 7, 13979. [Google Scholar] [CrossRef]
- Ojima-Kato, T. Advances in Recombinant Protein Production in Microorganisms and Functional Peptide Tags. Biosci. Biotechnol. Biochem. 2024, 89, 1–10. [Google Scholar] [CrossRef]
- Wang, S.; Zhan, C.; Nie, S.; Tian, D.; Lu, J.; Wen, M.; Qiao, J.; Zhu, H.; Caiyin, Q. Enzyme and Metabolic Engineering Strategies for Biosynthesis of α-Farnesene in Saccharomyces Cerevisiae. J. Agric. Food Chem. 2023, 71, 12452–12461. [Google Scholar] [CrossRef]
- Zhou, P.; Du, Y.; Fang, X.; Xu, N.; Yue, C.; Ye, L. Combinatorial Modulation of Linalool Synthase and Farnesyl Diphosphate Synthase for Linalool Overproduction in Saccharomyces Cerevisiae. J. Agric. Food Chem. 2021, 69, 1003–1010. [Google Scholar] [CrossRef]
- Ojima-Kato, T.; Morishita, S.; Uchida, Y.; Nagai, S.; Kojima, T.; Nakano, H. Rapid Generation of Monoclonal Antibodies from Single B Cells by Ecobody Technology. Antibodies 2018, 7, 38. [Google Scholar] [CrossRef]
- Goutelle, S.; Maurin, M.; Rougier, F.; Barbaut, X.; Bourguignon, L.; Ducher, M.; Maire, P. The Hill Equation: A Review of Its Capabilities in Pharmacological Modelling. Fundam. Clin. Pharmacol. 2008, 22, 633–648. [Google Scholar] [CrossRef]
- Hernández-García, M.E.; Velázquez-Castro, J. Relationship between Decimal Hill Coefficient, Intermediate Processes, and Mesoscopic Fluctuations in Gene Expression. ACS Omega 2025, 10, 13906–13914. [Google Scholar] [CrossRef] [PubMed]
- Hill, A.V. The Possible Effects of the Aggregation of the Molecules of Haemoglobin on Its Oxygen Dissociation Curve. J. Physiol. 1910, 40, 4–7. [Google Scholar]
- Weiss, J.N. The Hill Equation Revisited: Uses and Misuses. FASEB J. 1997, 11, 835–841. [Google Scholar] [CrossRef] [PubMed]
- Abeliovich, H. An Empirical Extremum Principle for the Hill Coefficient in Ligand-Protein Interactions Showing Negative Cooperativity. Biophys. J. 2005, 89, 76–79. [Google Scholar] [CrossRef]
- Šibalić, D.; Šalić, A.; Zelić, B.; Tran, N.N.; Hessel, V.; Tišma, M. A New Spectrophotometric Assay for Measuring the Hydrolytic Activity of Lipase from Thermomyces Lanuginosus: A Kinetic Modeling. ACS Sustain. Chem. Eng. 2020, 8, 4818–4826. [Google Scholar] [CrossRef]
- Poitevin, F.; Kushner, A.; Li, X.; Dao Duc, K. Structural Heterogeneities of the Ribosome: New Frontiers and Opportunities for Cryo-EM. Molecules 2020, 25, 4262. [Google Scholar] [CrossRef]
- Gersteuer, F.; Morici, M.; Gabrielli, S.; Fujiwara, K.; Safdari, H.A.; Paternoga, H.; Bock, L.V.; Chiba, S.; Wilson, D.N. The SecM Arrest Peptide Traps a Pre-Peptide Bond Formation State of the Ribosome. Nat. Commun. 2024, 15, 2431, Correction in Nat. Commun. 2024, 15, 3276. [Google Scholar] [CrossRef]
- Sato, K.; Hamada, M.; Asai, K.; Mituyama, T. CentroidFold: A Web Server for RNA Secondary Structure Prediction. Nucleic Acids Res. 2009, 37, W277–W280. [Google Scholar] [CrossRef]
- Zur, H.; Tuller, T. Strong Association between MRNA Folding Strength and Protein Abundance in S. cerevisiae. EMBO Rep. 2012, 13, 272–277. [Google Scholar] [CrossRef] [PubMed]
- Bao, C.; Zhu, M.; Nykonchuk, I.; Wakabayashi, H.; Mathews, D.H.; Ermolenko, D.N. Specific Length and Structure Rather than High Thermodynamic Stability Enable Regulatory MRNA Stem-Loops to Pause Translation. Nat. Commun. 2022, 13, 988. [Google Scholar] [CrossRef] [PubMed]
- Fuse-Murakami, T.; Matsumoto, R.; Kanamori, T. N-Terminal Amino Acid Affects the Translation Efficiency at Lower Temperatures in a Reconstituted Protein Synthesis System. Int. J. Mol. Sci. 2024, 25, 5264. [Google Scholar] [CrossRef] [PubMed]
- Moreira, M.H.; Barros, G.C.; Requião, R.D.; Rossetto, S.; Domitrovic, T.; Palhano, F.L. From Reporters to Endogenous Genes: The Impact of the First Five Codons on Translation Efficiency in Escherichia Coli. RNA Biol. 2019, 16, 1806–1816. [Google Scholar] [CrossRef]
- Speicher, K.D.; Gorman, N.; Speicher, D.W. N-Terminal Sequence Analysis of Proteins and Peptides. Curr. Protoc. Protein Sci. 2009, 57, 11.10.1–11.10.31. [Google Scholar] [CrossRef]
- Cottrell, J.S. Protein Identification Using MS/MS Data. J. Proteomics 2011, 74, 1842–1851. [Google Scholar] [CrossRef]
- Cook, S.A. Understanding Interleukin 11 as a Disease Gene and Therapeutic Target. Biochem. J. 2023, 148, 1987–2008. [Google Scholar] [CrossRef]
- Giguère, P.M.; Gall, B.J.; Ezekwe, E.A.D.; Laroche, G.; Buckley, B.K.; Kebaier, C.; Wilson, J.E.; Ting, J.P.; Siderovski, D.P.; Duncan, J.A. G Protein Signaling Modulator-3 Inhibits the Inflammasome Activity of NLRP3. J. Biol. Chem. 2014, 289, 33245–33257. [Google Scholar] [CrossRef]
- Nezametdinova, V.Z.; Yunes, R.A.; Dukhinova, M.S.; Alekseeva, M.G.; Danilenko, V.N. The Role of the PFNA Operon of Bifidobacteria in the Recognition of Host’s Immune Signals: Prospects for the Use of the FN3 Protein in the Treatment of COVID-19. Int. J. Mol. Sci. 2021, 22, 9219. [Google Scholar] [CrossRef]




| Name | Tag | Polyproline-Containing Sequence |
|---|---|---|
| SKIK-Δ6-WPPP | SKIK | WPPP |
| SKIK-Δ5-IWPPP | SKIK | IWPPP |
| SKIK-Δ0-full | SKIK | FQKYGIWPPP |
| Δ0-full | - | FQKYGIWPPP |
| AAAA-Δ6-WPPP | AAAA | WPPP |
| LLLL-Δ6-WPPP | LLLL | WPPP |
| IIII-Δ6-WPPP | IIII | WPPP |
| Vmax | Kd | k1 | k2 | n | |
|---|---|---|---|---|---|
| SKIK-Δ6-WPPP | 0.752 | 0.233 | 1.614 | 0.376 | 1.546 |
| SKIK-Δ5-IWPPP | 0.936 | 0.288 | 1.624 | 0.468 | 1.621 |
| SKIK-Δ0-full | 0.176 | 0.286 | 0.309 | 0.088 | 1.601 |
| Δ0-full | 0.165 | 0.364 | 0.227 | 0.082 | 1.489 |
| AAAA-Δ6-WPPP | 0.096 | 4.170 | 0.011 | 0.048 | 0.969 |
| LLLL-Δ6-WPPP | 0.122 | 0.613 | 0.099 | 0.061 | 1.308 |
| IIII-Δ6-WPPP | 0.334 | 0.531 | 0.315 | 0.167 | 1.201 |
Disclaimer/Publisher’s Note: The statements, opinions and data contained in all publications are solely those of the individual author(s) and contributor(s) and not of MDPI and/or the editor(s). MDPI and/or the editor(s) disclaim responsibility for any injury to people or property resulting from any ideas, methods, instructions or products referred to in the content. |
© 2025 by the authors. Licensee MDPI, Basel, Switzerland. This article is an open access article distributed under the terms and conditions of the Creative Commons Attribution (CC BY) license (https://creativecommons.org/licenses/by/4.0/).
Share and Cite
Yoshino, A.; Shimoji, R.; Nishikawa, Y.; Nakano, H.; Ojima-Kato, T. Analysis and Application of Translation-Enhancing Peptides for Improved Production of Proteins Containing Polyproline. SynBio 2025, 3, 14. https://doi.org/10.3390/synbio3040014
Yoshino A, Shimoji R, Nishikawa Y, Nakano H, Ojima-Kato T. Analysis and Application of Translation-Enhancing Peptides for Improved Production of Proteins Containing Polyproline. SynBio. 2025; 3(4):14. https://doi.org/10.3390/synbio3040014
Chicago/Turabian StyleYoshino, Akimichi, Riko Shimoji, Yuma Nishikawa, Hideo Nakano, and Teruyo Ojima-Kato. 2025. "Analysis and Application of Translation-Enhancing Peptides for Improved Production of Proteins Containing Polyproline" SynBio 3, no. 4: 14. https://doi.org/10.3390/synbio3040014
APA StyleYoshino, A., Shimoji, R., Nishikawa, Y., Nakano, H., & Ojima-Kato, T. (2025). Analysis and Application of Translation-Enhancing Peptides for Improved Production of Proteins Containing Polyproline. SynBio, 3(4), 14. https://doi.org/10.3390/synbio3040014

