Abstract
Wind speed increases in pedestrian-level spaces around high-rise buildings tend to cause uncomfortable and even unsafe wind conditions for pedestrians. Especially, instantaneous strong winds can have a significant impact on the body sensation of pedestrians, and they are usually related to complex flow patterns around buildings. A detailed examination of flow patterns corresponding to instantaneous strong wind events around high-rise buildings is essential to understanding the physical mechanism of this phenomenon. To quantitatively evaluate the pedestrian-level wind environment around high-rise buildings, two important indices, speed-up ratio and speed-up area, have usually been introduced. In this study, a Large Eddy Simulation (LES) was conducted for square-section building models with different heights, represented by H (=100 m, 200 m, and 400 m in full-scale) or aspect ratios, represented by (=2, 4, and 8), where (=50 m in full-scale) represents the building width. Two instantaneous strong wind events providing a “maximum speed-up ratio” and a “maximum speed-up area” of pedestrian-level wind are investigated based on a conditional average method. The results indicate that these two instantaneous strong wind events usually do not occur simultaneously. Flow patterns around buildings for the two events are also different: the contribution of downwash tends to be larger for strong wind events providing “maximum speed-up area” showing more three-dimensional characteristics.
1. Introduction
It is known that wind speed increases in pedestrian-level spaces around high-rise buildings tend to cause uncomfortable and even unsafe wind conditions for pedestrians [1,2]. Especially, instantaneous strong winds can have a significant impact on the body sensation of pedestrians because the magnitude of instantaneous strong winds can be an indicator of the worst wind condition that a pedestrian might experience due to unsteady wind flow. The unexpected nature of unsteady wind flow can have a great impact on pedestrian wind comfort and safety [3,4,5]. Instantaneous strong winds at the pedestrian level are usually related to complex flow patterns around buildings. Therefore, a detailed examination of flow patterns corresponding to instantaneous strong wind events around high-rise buildings is essential to understanding the physical mechanism of this phenomenon. On the basis of this understanding, more targeted measures could be taken to improve the influence of instantaneous strong winds on pedestrians at the pedestrian level around high-rise buildings.
Early studies on wind flow patterns around buildings and pedestrian wind environments have shown that the speed-up mechanisms of pedestrian-level wind around buildings are considered to be the result of the Venturi effect and the downwash effect. The former was originally used in fluid dynamics and states that a fluid’s velocity increases when the cross sectional area of a certain mass of fluid decreases as it moves. This principle is typically applied to confined flows in closed channels. Currently, the Venturi effect is also a terminology used in wind engineering and urban aerodynamics. This means that wind speed increases due to flow constriction [6,7,8], and it is usually associated with passages between buildings. In a broad sense, the term “Venturi effect” can also be used for isolated buildings since the existence of a building that blocks the approaching flow forces it through a narrower path than the upstream region [9,10].
The downwash effect usually occurs when a boundary layer flow approaches and is blocked by the windward surface of a building, causing downwash (or downward flows) on the front and two sides of the building, and then accelerating the near-ground flows. Cook [11] concluded that the downward movement of the airflow is mainly due to the pressure gradient between different heights within the windward surface of the building because of the wind speed difference in the approaching boundary layer flow; this conclusion was based on a comparison of the distribution of surface wind pressure and the flow field around a two-dimensional rectangular building model between a uniform turbulence flow (UTF) and a boundary layer flow (BLF). Blocken and Carmeliet [12] explained that two pressure systems determined the flow patterns around a single rectangular building based on the wind tunnel measurement results of Beranek [13]. The first pressure system acts on the windward surface of the building, where maximum pressure usually occurs near the front stagnation point, and lower pressures occur on the rest of the windward surface. This is mainly because approaching wind speed increases with height and causes a pressure gradient. The second pressure system consists of an overpressure zone on the windward side of the building and an under-pressure zone on the leeward side, which causes reverse flow behind the building [12,13]. It is obvious that the distribution characteristics of surface wind pressure are closely related to flow patterns, especially the downwash effect, around buildings. Therefore, it is also necessary to examine the distribution characteristics of a building’s surface wind pressure along with the flow patterns corresponding to instantaneous strong winds at the pedestrian level around the building.
To quantitatively evaluate the pedestrian-level wind environment around a high-rise building, two important indices, speed-up ratio and speed-up area, have usually been introduced. The concept of speed-up ratio was introduced by Sexton [14] and defined as the ratio between the wind speed at a point around a building and the wind speed at the same point without the existence of a building. The speed-up area is the area in regions where wind speeds increase or the speed-up ratio is larger than 1 and is usually near the building corners of the windward side. The magnitude of the speed-up ratio reflects the degree to which a building influences the near-ground flow at a certain position. In contrast, the magnitude of speed-up area shows the actual area of high wind speed at pedestrian level around a high-rise building. Tamura et al. [9] found that the downwash effect has a greater impact on the expansion of the mean speed-up area around an isolated building than the Venturi effect but is comparable to the Venturi effect for the maximum mean speed-up ratio, based on measured mean pedestrian-level wind speeds around square-section high-rise buildings with different dimensions (height, width, and size) under BLF (boundary layer flow) and UTF (uniform turbulence flow) in a wind tunnel.
In this study, Large Eddy Simulation (LES) was performed for isolated high-rise buildings with different heights or aspect ratios to further examine flow patterns around buildings and distribution characteristics of building surface pressure corresponding to instantaneous strong wind events at pedestrian level providing two conditions, referred to as the “maximum speed-up ratio” and the “maximum speed-up area”.
2. Description of Numerical Simulation
2.1. Model Configurations
LES was conducted for three square-section buildings with the same width ( in full-scale) but different heights (, 200 m, and 400 m in full scale), giving the aspect ratios of , 4, and 8, as shown in Table 1. Here, the building model with the height of is defined as the “reference building model (RBM)”.
Table 1.
Model configurations.
2.2. Numerical Setting
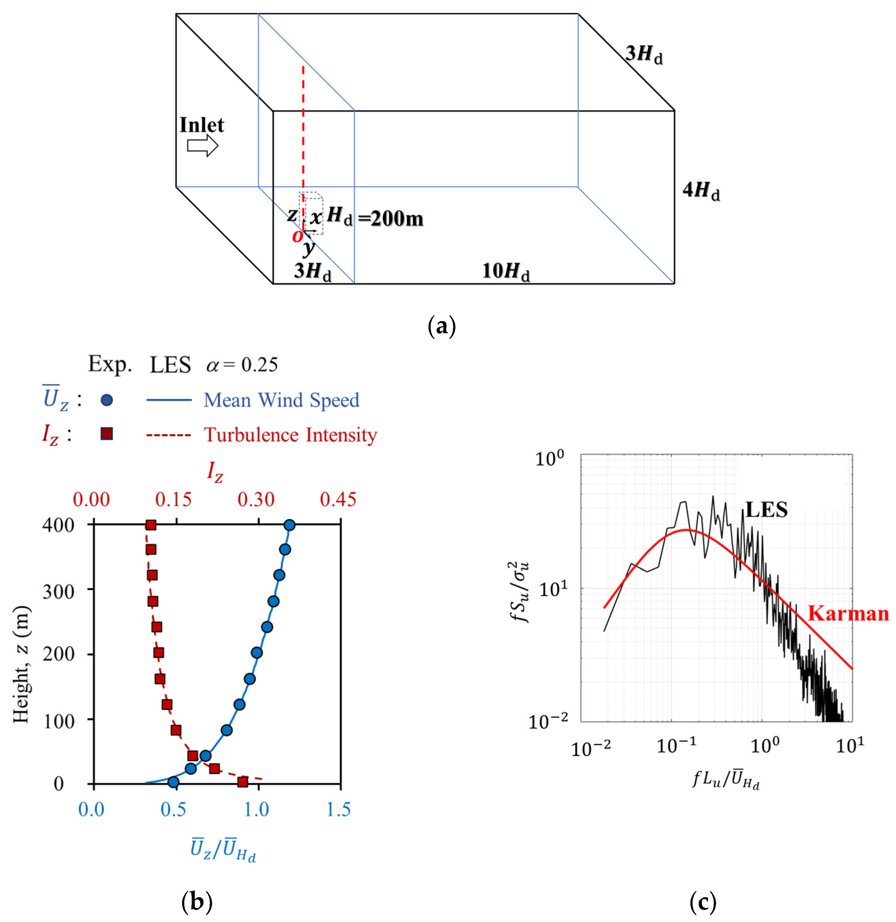
The open-source Computational Fluid Dynamic (CFD) code, OpenFOAM (v8), was used. Table 2 lists the calculation conditions for LES. Referring to the commonly used CFD guidelines [15,16], the building width was uniformly discretized into 20 grids, and sufficient distances between the building surfaces and boundaries of the computational domain were ensured, in which the cross section of the computational domain remains the same as that of the wind tunnel () of the PIV (Particle Image Velocimetry) test in Lin et al. [17], as shown in Figure 1a. The mesh stretching ratio was set to 1.08 or less.
Table 2.
Calculation conditions for LES.
Figure 1.
Approaching flow conditions by LES. (a) Computational domain (cross section corresponds to the wind tunnel section of the PIV test in Lin et al. [17]); (b) approaching flow profiles at inlet boundary and origin “O”.
The inflow fluctuations were generated by an artificial generation method [18]. Figure 1b shows the approaching flow profiles obtained from the LES results in an empty computational domain. It can be seen that the turbulence characteristics of the inflow boundary condition were sufficiently maintained, and they show good agreement at both the inlet boundary and the origin “O”. The mean wind speed at the pedestrian level () and the top of the RBM () are equal to and , respectively, and will be used for normalization in the latter analysis. The power-law exponent of the mean wind speed profile was , representing the urban terrain condition. The time scale and the assumed velocity scale using the geometrical scale of the building models (1:1000) are equal to 1:200 and 1:5. For more information on the detailed numerical settings and the validation of flow fields around the building models from LES based on PIV (Particle Image Velocimetry) measurements, readers can refer to Lin et al. [17]. It is worth noting that all dimensions in the figures are shown at full scale.
2.3. Validation of Surface Pressure from LES
The validation of flow fields around building models from LES have been conducted based on PIV measurements in Lin et al. [17], but where building surface pressures were not measured simultaneously. Therefore, in order to validate the accuracy of the surface pressures obtained from LES, the pressure coefficients are compared with the wind tunnel experimental results for a square-section building model (full-scale height of and width of ) from the TPU (Tokyo Polytechnic University) database [19]. In this Section 2.3, the subscript “” is added to the parameters to represent the LES results, corresponding to the target building model in the TPU database, to distinguish them from the LES results used for the latter formal analysis. The pressure coefficient is defined as follows:
where is air density, is the reference pressure set to zero at the outlet boundary and is the mean wind speed at the top of the building model. Mean and standard deviation (std) of statistics of wind pressure coefficients is denoted as and .
The numerical simulation uses the same geometrical scale of 1/400 as the TPU wind tunnel test. It is worth mentioning that the numerical settings for LES are the same as those in Lin at al. [17] except in the computational domain, which is equal to , where the cross section is equal to that of the TPU wind tunnel (). Figure 2 compares the approaching flow conditions with those in the TPU wind tunnel test. It can be seen that the mean wind speed and turbulence intensity show good agreement, as shown in Figure 2a. The power spectrum density functions of fluctuating velocities were not reported and are assumed to follow the von Karman spectrum model for the TPU database results. Therefore, the non-dimensional power spectrum density of the velocity component at the building height of , which was obtained from LES, is compared with the Karman spectrum (Figure 2b), where , , , and denote the frequency, power spectral density, turbulence scale, and standard deviation (std) of the velocity component. Here, the value of is approximately 0.22 m at the model scale and 88 m at the full scale, considering the geometrical scale of 1:400 in the wind tunnel experiment from TPU database. The LES results for generally show good agreement where the normalized frequency is smaller than about 1, which is determined by the computational mesh size.
Figure 2.
Approaching flow conditions by experiment (TPU Database) and LES. (a) Computational domain (cross section corresponds to the TPU wind tunnel section); (b) approaching flow profile; (c) power spectrum at the building top height of , at full scale.
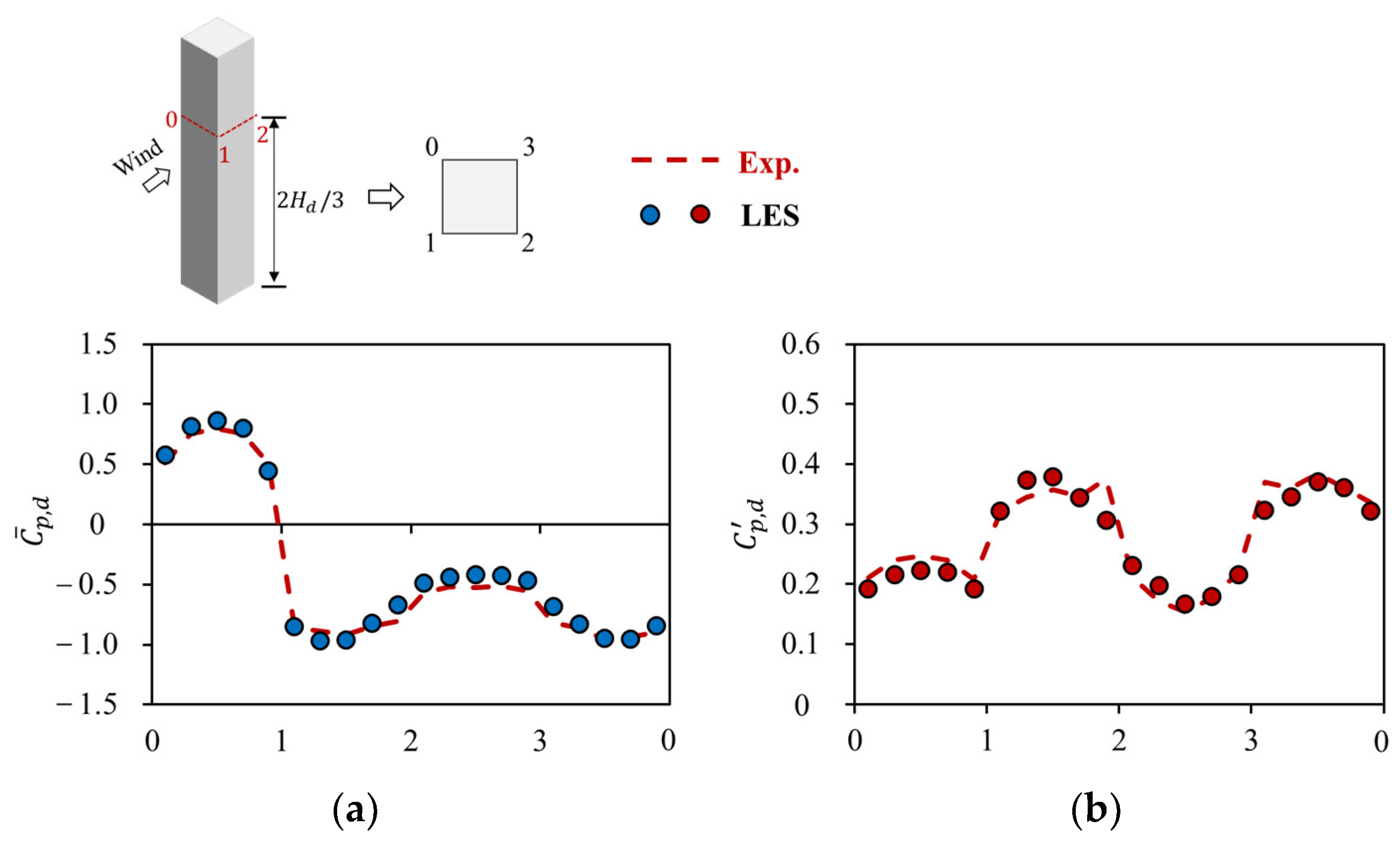
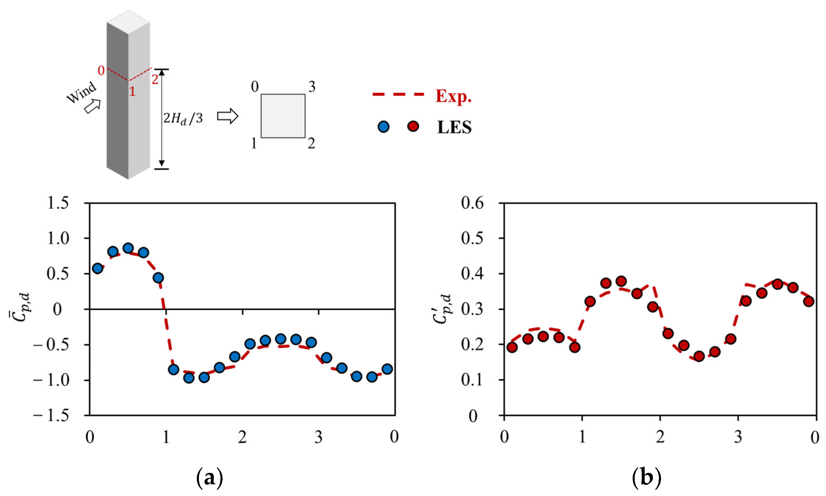
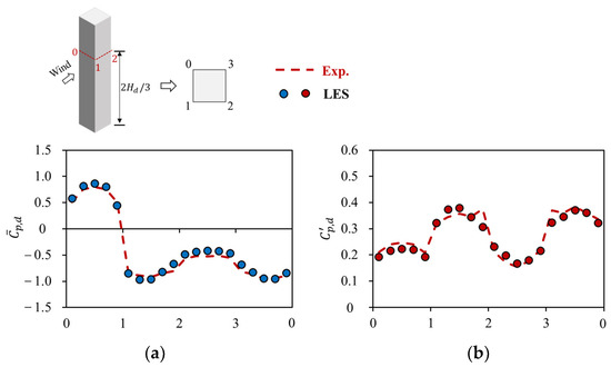
Figure 3 shows variations in mean and fluctuating (std) wind pressure coefficients, and , around the perimeter of a building at , which were obtained from the LES and wind tunnel experiment (Exp.). It is observed that the LES results are basically in agreement with the experimental results, although the LES results on the windward surface are slightly overestimated for the mean pressure coefficients, and slightly underestimated for the fluctuating wind pressure coefficients, . Figure 4 compares the mean and fluctuating wind pressure coefficients for all the pressure monitoring taps on building surfaces (windward, side, and leeward surfaces) from the LES and experimental results in the form of scatter plots. It can be seen that for the mean and fluctuating wind pressure coefficients, the differences between the results from LES and the wind tunnel experiment are almost all in the range of . The contour plots in Figure 5 also demonstrate the good agreement and acceptable accuracy of the LES results compared to the experimental results.
Figure 3.
Wind pressure coefficients around the perimeter of a building at . (a) Mean ; (b) fluctuating .
Figure 4.
Comparison of wind pressure coefficients for all the pressure monitoring taps on building surfaces from LES and experimental results. (a) Mean ; (b) fluctuating .
Figure 5.
Comparison of the contours of the wind pressure coefficients on the building surfaces from the LES and experimental results. (a) Mean ; (b) fluctuating .
3. Definition of Instantaneous Strong Wind Events
In this study, we focus on two instantaneous strong wind events at the pedestrian level at full scale) around buildings providing a “maximum speed-up ratio” and a “maximum speed-up area”. The instantaneous speed-up ratio at time is defined as , where , , and represent instantaneous velocity components in the x, y, and z directions at the pedestrian level around a building.
The maximum instantaneous speed-up ratio, , at the pedestrian level around a building occurs at a point near the building corner, denoted as point “G”, as shown in Figure 6a. Figure 7a further shows the time history of the instantaneous speed-up ratio at point “G”, which is represented by . Instantaneous strong wind events at the pedestrian level around a building generally coincide with considerably low-occurrence frequencies. Meanwhile, wind speeds larger than 90th percentile values are generally considered to represent rare but instantaneous strong wind events in pedestrian wind environmental studies (e.g., [20,21,22]). Meanwhile, in order to reduce the risk caused by instantaneous strong wind at the pedestrian level, several wind environment criteria [3,23,24,25] have also been proposed based on a combination of threshold wind speeds and the probabilities of exceeding the corresponding thresholds. In the present study, to capture strong wind events at the pedestrian level and to avoid a lack of data, leading to a lack of representation, the moments when fall within the top 2% of all time-history data (red line in Figure 7a) are extracted. The averaged value for the top 2% approximately represents the strong wind event providing the “maximum speed-up ratio” of pedestrian-level wind around a building, and is denoted as .
Figure 6.
Definition of (a) point “G” and (b) the normalized instantaneous speed-up area, .
Figure 7.
Extraction of the maximum level of the speed-up ratio and the normalized speed-up area at the pedestrian level around the building model with an aspect ratio of 2. (a) “Maximum speed-up ratio” event, ; (b) “maximum speed-up area” event .
The time history of the instantaneous normalized speed-up area, is shown in Figure 7b, where represents the total area surrounded by the contour line of wind–speed ratio, which is represented by (Figure 6b). In the present study, a moderate value of was selected, and correspondingly, the time history of the instantaneous normalized speed-up area is denoted as . Similarly, the moments when falls within the top 2% of all the time history data (red line in Figure 7b) are extracted. The averaged value for the top 2% approximately represents the strong wind event providing the “maximum speed-up area” around a building and is denoted as . Correspondingly, three-dimensional flow fields around buildings and wind pressure coefficients on building surfaces for the two strong wind events are extracted to obtain a conditional average.
4. Simulation Results and Analysis
In this section, the conditional average results will be discussed in detail. It is worth mentioning that the definition of pressure coefficient used in the following analysis is a little different than that contained in Section 2.3. Here, for the convenience of comparison between buildings with different heights or aspect ratios , the pressure coefficient is defined as follows:
where is the mean wind speed at the top of the “refence building model (RBM)” with aspect ratios of and .
4.1. Determination of Data Acquisition Period
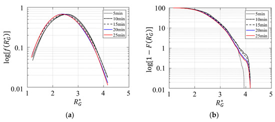
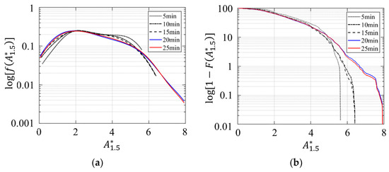
In the numerical simulation, the data acquisition period is usually determined based on the statistical stability of the data of interest and the computational cost of the simulation. In this paper, in order to determine the appropriate data acquisition period, the effect of the data acquisition period on the probability density distributions and percentile values of and is mainly discussed and shown in Appendix A. It is shown that a data acquisition period of 20 min or 1200 s at full scale is sufficient to ensure acceptable uncertainty.
4.2. Conditional Average Results
As shown in Figure 7, it can be seen that the moments corresponding to the “maximum speed-up ratio” event and the “maximum speed-up area” event mostly do not coincide for the building model with an aspect ratio of . A similar phenomenon can also be seen for other building models with different heights H or aspect ratios, such as and 8. This phenomenon indicates that the two strong wind events do not occur simultaneously.
Figure 8 first shows the conditional average results for the speed-up ratio vector , pressure coefficient on building surfaces, and three-dimensional streamlines for the building model with an aspect ratio of . For the “maximum speed-up ratio” event, the area with high wind speeds (yellow to red) at the pedestrian level is relatively narrow, but the values of are large. Meanwhile, the positive pressure on the windward surface is generally smaller, and the streamlines mostly show two-dimensional characteristics.
Figure 8.
Conditional-averaged results for strong wind events providing the “maximum speed-up ratio” (left) and the “maximum speed-up area” (right) for the building model with an aspect ratio of . (a) Conditional-averaged speed-up ratio vector and pressure coefficient on building surfaces; (b) conditional-averaged streamlines with speed-up ratio.
In contrast, for the “maximum speed-up area” event, the area with high wind speeds becomes wider (yellow to red). The positive pressure on the upper part of the windward surface is quite large, and the difference for the surface pressure with the lower part of the windward surface and the negative pressure on the side, i.e., the pressure gradient, is also large. Accordingly, a three-dimensional flow pattern where the wind at the higher level descends to near ground level is shown, and a strong influence of downwash can be seen.
Figure 9 and Figure 10 further show the speed-up ratio vector , pressure coefficient on building surfaces, and three-dimensional streamlines for other building models with different heights or aspect ratios, such as and . A similar phenomenon to those for the building model with an aspect ratio of can also be seen in the building models with different heights or aspect ratios. The difference is that the values of the speed-up ratio , the positive pressure on the upper part of the windward surface, and its difference with the lower part of the windward surface and the negative pressure on the side, i.e., the pressure gradients, are larger for building models with higher heights or larger aspect ratios, such as . Meanwhile, building models tend to be slender with increases in building height or aspect ratio. The incoming flows easily pass by the sides of the building and the flow around the building tends to be two-dimensional [9]. Therefore, the difference between the conditional average results for two strong events providing the “maximum speed-up ratio” and the “maximum speed-up area” is more obvious at the lower part for building models with higher heights or larger aspect ratios of .
Figure 9.
Conditional-averaged results for strong wind events providing the “maximum speed-up ratio” (left) and the “maximum speed-up area” (right) for the building model with the aspect ratio of . (a) Conditional-averaged speed-up ratio vector, , and pressure coefficient, , on building surfaces; (b) conditional-averaged streamlines with the speed-up ratio.
Figure 10.
Conditional-averaged results for strong wind events providing the “maximum speed-up ratio” (left) and the “maximum speed-up area” (right) for the building model with the aspect ratio of . (a) Conditional-averaged speed-up ratio vector and pressure coefficient on building surfaces; (b) conditional-averaged streamlines with a speed-up ratio.
Figure 11 quantitatively summarizes the conditional average results shown in Figure 8, Figure 9 and Figure 10 for the normalized speed-up ratio at point “G”, and normalized speed-up area at the pedestrian level, corresponding to the two strong events providing a “maximum speed-up ratio” and a “maximum speed-up area”. It is obvious that compared to the situation providing a “maximum speed-up area” (red color), is larger and is smaller for the situation providing the “maximum speed-up ratio” (blue color). Conversely, is larger and is smaller for the situation providing the “maximum speed-up area”. Meanwhile, with an increase in the aspect ratio of , the difference in both and between the two situations providing a “maximum speed-up ratio” and a “maximum speed-up area” becomes larger.
Figure 11.
Conditional average results for the normalized speed-up ratio at point “G” as well as , and the normalized speed-up area at the pedestrian level corresponding to the two strong events, providing a “maximum speed-up ratio” and a “maximum speed-up area”. (a) Conditional-averaged ; (b) conditional-averaged .
In addition, the instantaneous flow patterns around all the building models corresponding to the moments and , when the actual maximum speed-up ratio at the pedestrian-level and the maximum speed-up area happen are also checked as a reference and shown in Figure 12. Similar phenomena can be seen by comparing the conditional average results in Figure 8, Figure 9 and Figure 10 and the actual instantaneous results, where downwash flows at the moment for the building model with are the most obvious, and it may also be due to the relatively higher approaching flow at the front stagnation level and the mediate slenderness of the building model. This also suggests the reasonableness of using the conditional average results to discuss the flow patterns corresponding to the two strong wind events.
Figure 12.
Instantaneous streamlines with the speed-up ratio and pressure coefficient on the building surfaces when the actual maximum speed-up ratio at the pedestrian-level,, and the maximum speed-up area, , happen for the building model with aspect ratios of and 8. (a) Height is or aspect ratio is 2; (b) height is or is aspect ratio 4; (c) height is or aspect ratio is 8.
In summary, the results above indicate that flow patterns around buildings for strong wind events providing a “maximum speed-up ratio” and a “maximum speed-up area” are different: the contribution of downwash tends to be larger for the “maximum speed-up area” event, showing more three-dimensional flow characteristics.
5. Conclusions
LES was conducted for the square-section building models with different heights in full-scale or aspect ratios , and , focusing on two instantaneous strong wind events providing a “maximum speed-up ratio” and a “maximum speed-up area” of pedestrian-level wind. The following findings were obtained.
- Two strong wind events do not occur simultaneously.
- Conditional average flow patterns around buildings for the two instantaneous strong wind events are different: the contribution of downwash tends to be larger for the strong wind event providing the “maximum speed-up area” of pedestrian-level wind, showing more three-dimensional flow characteristics.
- For building models with different heights, represented by , or different aspect ratios, represented by , a similar phenomenon as described above can also be seen. The difference is that the values of the speed-up ratio, , the positive pressure on the upper part of the windward surface, and its difference with the lower part of the windward surface as well as the negative pressure on the side, i.e., the pressure gradient, are larger for building models with higher heights represented by , or larger aspect ratios, represented by .
6. Limitations of the Present Study
The present study focused on flow patterns for two instantaneous strong wind events providing the “maximum speed-up ratio” and the “maximum speed-up area” of pedestrian-level wind via LES for isolated building models with different heights or aspect ratios. In real, urban–rural areas, high-rise buildings are usually not isolated but have different arrangements of building blocks around them. On the one hand, flow patterns around each building model are mainly influenced by the building itself, so the investigation and full understanding of isolated high-rise buildings should be conducted first. However, in many cases, high-rise buildings are constructed in the vicinity of much lower building blocks, where the influence of isolated high-rise buildings will be predominant. On the other hand, with urbanization development, increasing amounts of high-rise building clusters are being constructed in metropolitan areas, where the influence of different arrangements of building blocks around the target high-rise building on the flow patterns will be large. Therefore, further studies are needed to consider neighboring building blocks, especially those concerning the situation with the clusters of high-rise buildings.
In addition, the present study mainly focused on the mechanical effects due to strong wind conditions. In actuality, low wind conditions at the pedestrian level for thermal comfort are also very important, especially in hot summers in the urban areas with closely packed high-rise buildings, which will lower the permeability of the wind flow and cause poor ventilation and thermal discomfort.
Author Contributions
Conceptualization, Y.T.; data curation, Q.L.; formal analysis, Q.L. and H.T.; funding acquisition, Q.Y. and Y.T.; investigation, Q.L., N.K. and H.T.; project administration, Q.Y.; supervision, Q.Y. and Y.T.; writing—original draft, Q.L. and N.K.; writing—review and editing, Q.L., N.K., H.T. and Y.T. All authors have read and agreed to the published version of the manuscript.
Funding
This research was partially supported by the 111 Project of China (B18062, B13002) and the TPU Wind Engineering Joint Usage/Research Center Project of MEXT Japan (JPMXP0619217840). The authors are grateful for the financial support.
Institutional Review Board Statement
Not applicable.
Informed Consent Statement
Not applicable.
Data Availability Statement
Data are contained within the article.
Acknowledgments
The authors wish to thank Akihito Yoshida from Tokyo Polytechnic University for providing support and reference on pressure coefficients for a square-section building model in TPU aerodynamic database.
Conflicts of Interest
The authors including Qiang Lin, Qingshan Yang and Yukio Tamura declare that the research is conducted in the absence of any commercial of financial relationship that could be construed as a potential conflict of interest. The authors including Naoko Konno and Hideyuki Tanaka were employed by Takenaka Corporation, Japan.
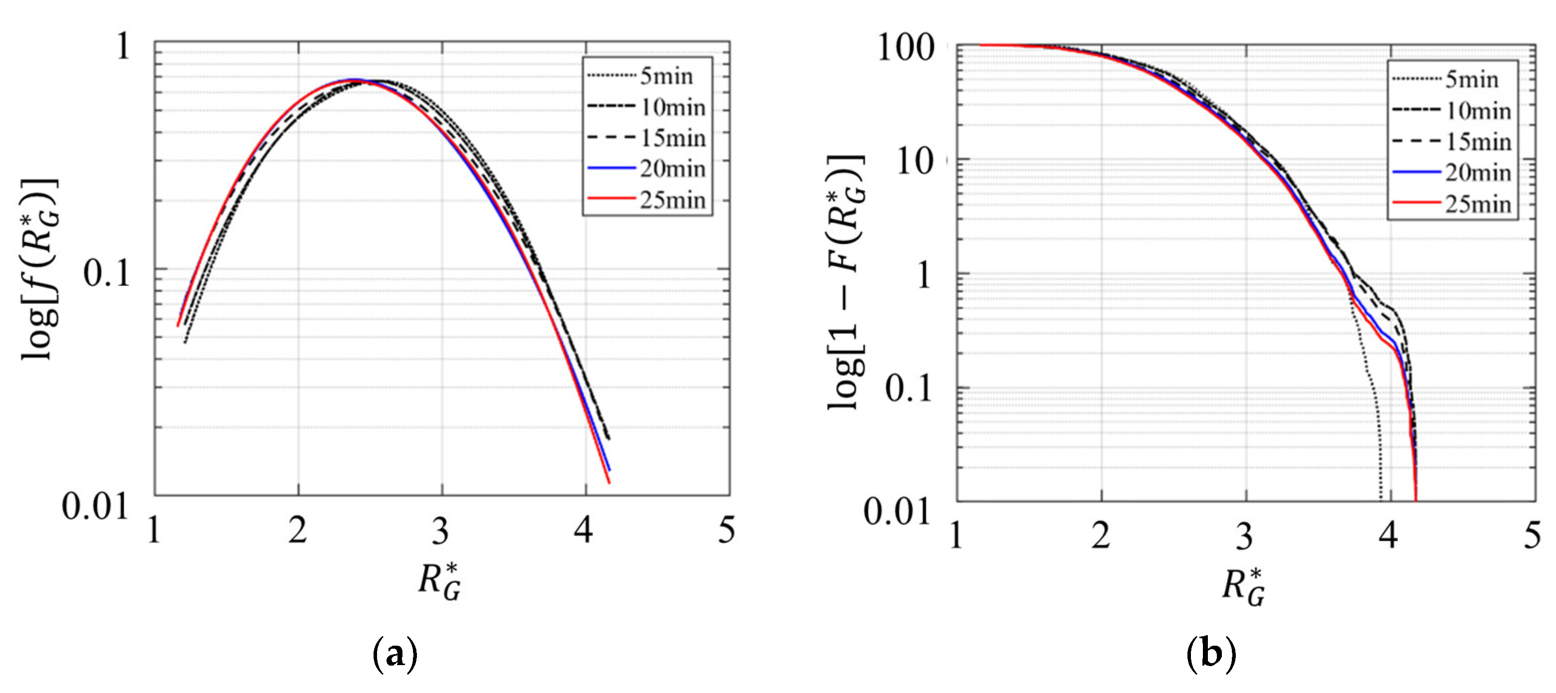
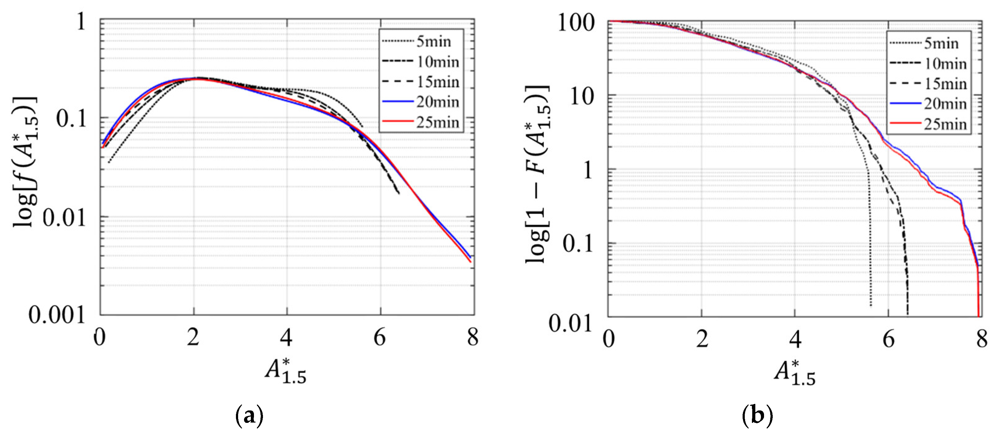
Appendix A. Data Acquisition Period for Conditional Average Analysis
The probability density functions (PDFs) of the and are denoted as and , and corresponding cumulative distribution functions (CDFs) are denoted as and .
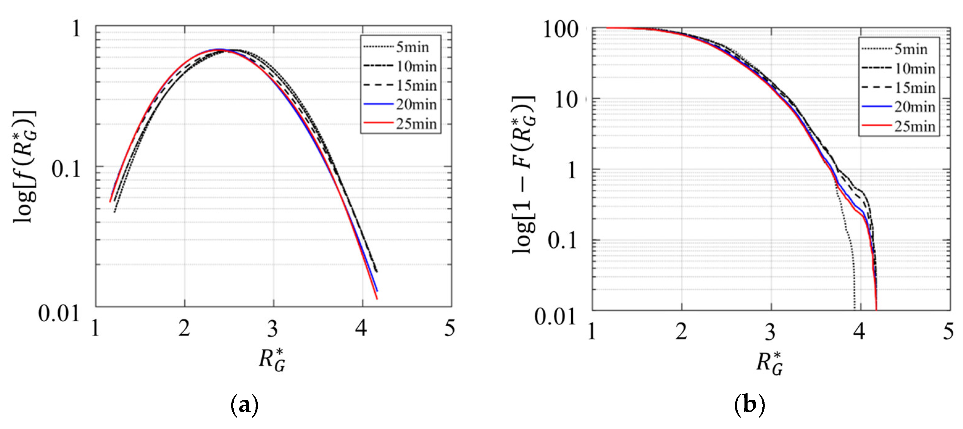
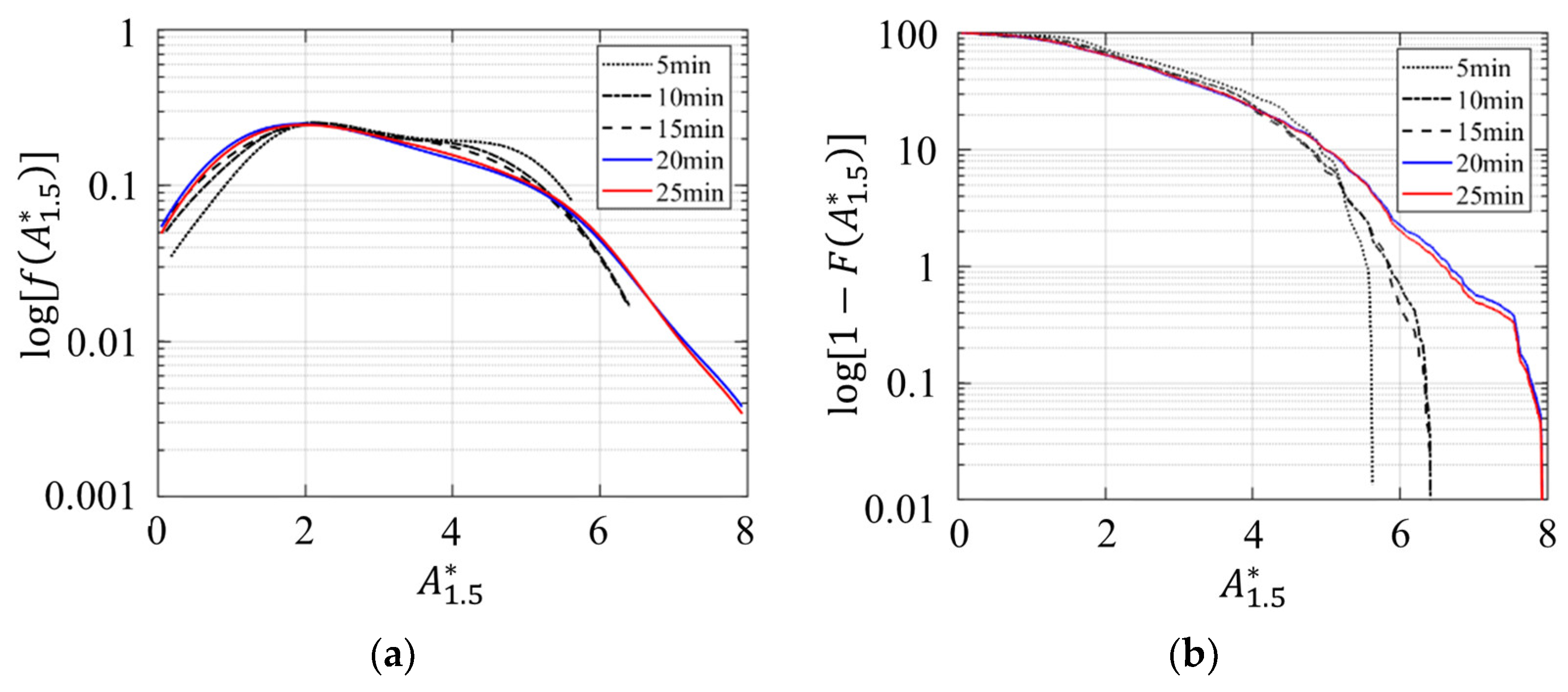
Figure A1 and Figure A2 compare PDFs and CDFs over various data acquisition periods (5~25 min in full scale) for and , respectively. It can be seen that the differences between PDFs and CDFs at 20 min and 25 min are negligible (blue and red solid lines). This may indicate that the data acquisition period of 20 min in full scale is sufficient to ensure acceptable uncertainty.
Figure A1.
Comparison of (a) probability density function and (b) cumulative distribution function of the instantaneous wind speed ratio over various data acquisition periods (5~25 min in full scale).
Figure A1.
Comparison of (a) probability density function and (b) cumulative distribution function of the instantaneous wind speed ratio over various data acquisition periods (5~25 min in full scale).

Figure A2.
Comparison of (a) probability density function and (b) cumulative distribution function of the instantaneous speed-up area over various data acquisition periods (5~25 min in full scale).
Figure A2.
Comparison of (a) probability density function and (b) cumulative distribution function of the instantaneous speed-up area over various data acquisition periods (5~25 min in full scale).

References
- Lawson, T.V.; Penwarden, A.D. The Effect of Wind on People in the Vicinity of Buildings. In Proceedings of the 4th International Conference on Wind Effects on Buildings and Structures; Cambridge University Press: Cambridge, UK, 1975; pp. 605–622. [Google Scholar]
- Wise, A.F.E. Effects Due to Groups of Buildings. Philosophical Transactions of the Royal Society of London. Ser. A Math. Phys. Sci. 1971, 269, 469–485. [Google Scholar] [CrossRef]
- Hunt, J.C.R.; Poulton, E.C.; Mumford, J.C. The Effects of Wind on People; New Criteria Based on Wind Tunnel Experiments. Build. Environ. 1976, 11, 15–28. [Google Scholar] [CrossRef]
- Murakami, S.; Deguchi, K. New Criteria for Wind Effects on Pedestrians. J. Wind Eng. Ind. Aerodyn. 1981, 7, 289–309. [Google Scholar] [CrossRef]
- Vita, G.; Shu, Z.; Jesson, M.; Quinn, A.; Hemida, H.; Sterling, M.; Baker, C. On the Assessment of Pedestrian Distress in Urban Winds. J. Wind Eng. Ind. Aerodyn. 2020, 203, 104200. [Google Scholar] [CrossRef]
- Blocken, B.; Moonen, P.; Stathopoulos, T.; Carmeliet, J. Numerical Study on the Existence of the Venturi Effect in Passages between Perpendicular Buildings. J. Eng. Mech. 2008, 134, 1021–1028. [Google Scholar] [CrossRef]
- Dutt, A.J. Wind Flow in an Urban Environment. Environ. Monit. Assess. 1991, 19, 495–506. [Google Scholar] [CrossRef] [PubMed]
- Gandemer, J. Discomfort Due to Wind near Buildings: Aerodynamic Concepts; National Institute of Standards and Technology: Gaithersburg, MD, USA, 1978. [Google Scholar] [CrossRef]
- Tamura, Y.; Xu, X.D.; Yang, Q.S. Characteristics of Pedestrian-Level Mean Wind Speed around Square Buildings: Effects of Height, Width, Size and Approaching Flow Profile. J. Wind Eng. Ind. Aerodyn. 2019, 192, 74–87. [Google Scholar] [CrossRef]
- Yang, Q.; Xu, X.; Lin, Q.; Tamura, Y. Generic Models for Predicting Pedestrian-Level Wind around Isolated Square-Section High-Rise Buildings. J. Wind Eng. Ind. Aerodyn. 2022, 220, 104842. [Google Scholar] [CrossRef]
- Cook, N.J. The Designer’s Guide to Wind Loading of Building Structures. I. Background, Damage Survey, Wind Data and Structural Classification; Building Research Establishment Report; Butterworths: London, UK, 1985; ISBN 978-0-408-00870-9. [Google Scholar]
- Blocken, B.; Carmeliet, J. Pedestrian Wind Environment around Buildings: Literature Review and Practical Examples. J. Therm. Envel. Build. Sci. 2004, 28, 107–159. [Google Scholar] [CrossRef]
- Beranek, W.J. Wind Environment around Single Buildings of Rectangular Shape. Heron 1984, 29, 1–31. [Google Scholar]
- Sexton, D. Building Aerodynamics; Building Research Station, Structural Department: Martinez, GA, USA, 1967. [Google Scholar]
- Franke, J.; Hellsten, A.; Schlunzen, K.H.; Carissimo, B. The COST 732 Best Practice Guideline for CFD Simulation of Flows in the Urban Environment: A Summary. IJEP 2011, 44, 419. [Google Scholar] [CrossRef]
- Tominaga, Y.; Mochida, A.; Yoshie, R.; Kataoka, H.; Nozu, T.; Yoshikawa, M.; Shirasawa, T. AIJ Guidelines for Practical Applications of CFD to Pedestrian Wind Environment around Buildings. J. Wind Eng. Ind. Aerodyn. 2008, 96, 1749–1761. [Google Scholar] [CrossRef]
- Lin, Q.; Ishida, Y.; Tanaka, H.; Mochida, A.; Yang, Q.; Tamura, Y. Large Eddy Simulations of Strong Wind Mechanisms at Pedestrian Level around Square-Section Buildings with Same Aspect Ratios and Different Sizes. Build. Environ. 2023, 243, 110680. [Google Scholar] [CrossRef]
- Okaze, T.; Mochida, A. Cholesky Decomposition–Based Generation of Artificial Inflow Turbulence Including Scalar Fluctuation. Comput. Fluids 2017, 159, 23–32. [Google Scholar] [CrossRef]
- TPU Aerodynamic Database. Available online: https://wind.arch.t-kougei.ac.jp/system/eng/contents/code/tpu (accessed on 16 February 2024).
- Ikegaya, N.; Ikeda, Y.; Hagishima, A.; Tanimoto, J. Evaluation of Rare Velocity at a Pedestrian Level Due to Turbulence in a Neutrally Stable Shear Flow over Simplified Urban Arrays. J. Wind Eng. Ind. Aerodyn. 2017, 171, 137–147. [Google Scholar] [CrossRef]
- Kawaminami, T.; Ikegaya, N.; Hagishima, A.; Tanimoto, J. Velocity and Scalar Concentrations with Low Occurrence Frequencies within Urban Canopy Regions in a Neutrally Stable Shear Flow over Simplified Urban Arrays. J. Wind Eng. Ind. Aerodyn. 2018, 182, 286–294. [Google Scholar] [CrossRef]
- Wang, W.; Okaze, T. Statistical Analysis of Low-Occurrence Strong Wind Speeds at the Pedestrian Level around a Simplified Building Based on the Weibull Distribution. Build. Environ. 2022, 209, 108644. [Google Scholar] [CrossRef]
- Du, Y.; Mak, C.M.; Kwok, K.; Tse, K.-T.; Lee, T.; Ai, Z.; Liu, J.; Niu, J. New Criteria for Assessing Low Wind Environment at Pedestrian Level in Hong Kong. Build. Environ. 2017, 123, 23–36. [Google Scholar] [CrossRef]
- Lawson, T.V. The Widn Content of the Built Environment. J. Wind Eng. Ind. Aerodyn. 1978, 3, 93–105. [Google Scholar] [CrossRef]
- Murakami, S.; Iwasa, Y.; Morikawa, Y. Study on Acceptable Criteria for Assessing Wind Environment at Ground Level Based on Residents’ Diaries. J. Wind Eng. Ind. Aerodyn. 1986, 24, 1–18. [Google Scholar] [CrossRef]
Disclaimer/Publisher’s Note: The statements, opinions and data contained in all publications are solely those of the individual author(s) and contributor(s) and not of MDPI and/or the editor(s). MDPI and/or the editor(s) disclaim responsibility for any injury to people or property resulting from any ideas, methods, instructions or products referred to in the content. |
© 2025 by the authors. Licensee MDPI, Basel, Switzerland. This article is an open access article distributed under the terms and conditions of the Creative Commons Attribution (CC BY) license (https://creativecommons.org/licenses/by/4.0/).


















