Dietary Patterns and Blood Biochemical and Metabolic Parameters in an Italian Population: A Cross-Sectional Study
Abstract
:1. Introduction
2. Materials and Methods
2.1. Study Population and Procedures
2.2. Dietary Assessment
2.3. Blood Biochemical and Metabolic Parameter Measurements
2.4. Risk of Major Cardiovascular Diseases
2.5. Data Analysis
3. Results
3.1. Characteristics of the Study Population
3.2. Blood Biochemical and Metabolic Parameters
3.3. Dietary Habits
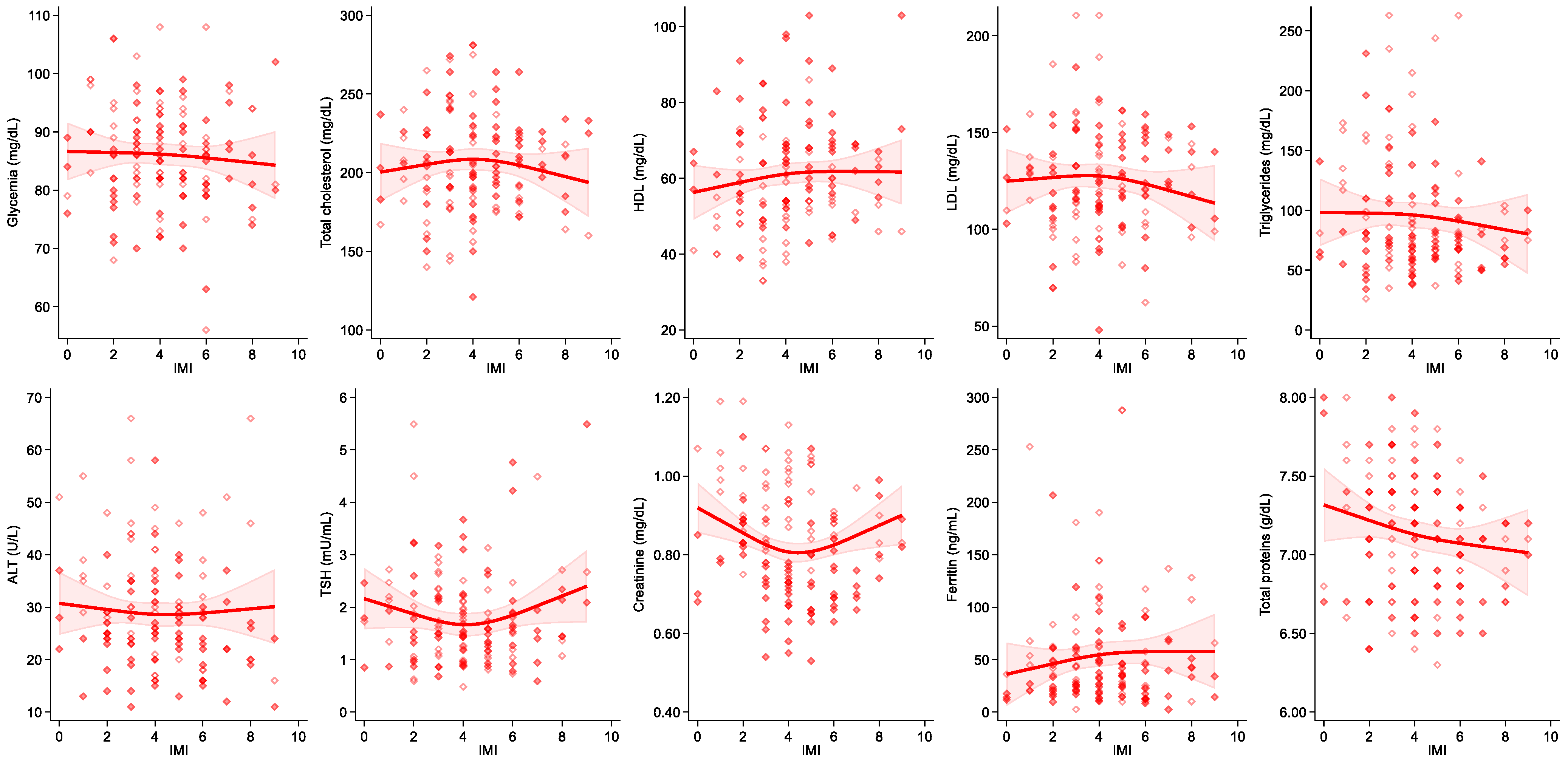
3.4. Spline Regression Analysis between Dietary Pattern and Biochemical and Metabolic Parameters
3.5. Risk of Major Cardiovascular Events and Association with Dietary Pattern
4. Discussion
5. Conclusions
Supplementary Materials
Author Contributions
Funding
Institutional Review Board Statement
Informed Consent Statement
Data Availability Statement
Acknowledgments
Conflicts of Interest
References
- WHO. Cardiovascular Diseases (CVDs); WHO: Geneva, Switzerland, 2021. [Google Scholar]
- Aridi, Y.S.; Walker, J.L.; Wright, O.R.L. The association between the Mediterranean dietary pattern and cognitive health: A systematic review. Nutrients 2017, 9, 674. [Google Scholar] [CrossRef] [PubMed] [Green Version]
- Filippini, T.; Malavolti, M.; Whelton, P.K.; Naska, A.; Orsini, N.; Vinceti, M. Blood pressure effects of sodium reduction: Dose-response meta-analysis of experimental studies. Circulation 2021, 143, 1542–1567. [Google Scholar] [CrossRef] [PubMed]
- Filippini, T.; Malavolti, M.; Whelton, P.K.; Vinceti, M. Sodium intake and risk of hypertension: A systematic review and dose-response meta-analysis of observational cohort studies. Curr. Hypertens. Rep. 2022, 24, 133–144. [Google Scholar] [CrossRef] [PubMed]
- Luong, R.; Ribeiro, R.V.; Cunningham, J.; Chen, S.; Hirani, V. The short- and long-term effects of dietary patterns on cardiometabolic health in adults aged 65 years or older: A systematic review. Nutr. Rev. 2022, 80, 329–350. [Google Scholar] [CrossRef] [PubMed]
- Micha, R.; Penalvo, J.L.; Cudhea, F.; Imamura, F.; Rehm, C.D.; Mozaffarian, D. Association between dietary factors and mortality from heart disease, stroke, and type 2 diabetes in the United States. JAMA 2017, 317, 912–924. [Google Scholar] [CrossRef] [Green Version]
- Vinceti, M.; Filippini, T.; Crippa, A.; de Sesmaisons, A.; Wise, L.A.; Orsini, N. Meta-analysis of potassium intake and the risk of stroke. J. Am. Heart Assoc. 2016, 5, e004210. [Google Scholar] [CrossRef]
- Cappuccio, F.P.; Campbell, N.R.C.; He, F.J.; Jacobson, M.F.; MacGregor, G.A.; Antman, E.; Appel, L.J.; Arcand, J.; Blanco-Metzler, A.; Cook, N.R.; et al. Sodium and health: Old myths and a controversy based on denial. Curr. Nutr. Rep. 2022, 11, 172–184. [Google Scholar] [CrossRef]
- Hu, F.B.; Willett, W.C. Optimal diets for prevention of coronary heart disease. JAMA 2002, 288, 2569–2578. [Google Scholar] [CrossRef]
- Russo, G.L.; Siani, A.; Fogliano, V.; Geleijnse, J.M.; Giacco, R.; Giampaoli, S.; Iacoviello, L.; Kromhout, D.; Lionetti, L.; Naska, A.; et al. The Mediterranean diet from past to future: Key concepts from the second “Ancel Keys” International Seminar. Nutr. Metab. Cardiovasc. Dis. 2021, 31, 717–732. [Google Scholar] [CrossRef]
- Torres, N.; Guevara-Cruz, M.; Velazquez-Villegas, L.A.; Tovar, A.R. Nutrition and Atherosclerosis. Arch. Med. Res. 2015, 46, 408–426. [Google Scholar] [CrossRef]
- Cicero, A.F.G.; Fogacci, F.; Giovannini, M.; Grandi, E.; D’Addato, S.; Borghi, C.; Brisighella Heart Study Group. Interaction between low-density lipoprotein-cholesterolaemia, serum uric level and incident hypertension: Data from the Brisighella Heart Study. J. Hypertens 2019, 37, 728–731. [Google Scholar] [CrossRef] [PubMed]
- Whelton, P.K. Reflections on the U.S. Preventive Services Task Force recommendations for screening for hypertension and hypercholesterolemia. J. Gen. Intern. Med. 1990, 5, S17–S19. [Google Scholar] [CrossRef] [PubMed]
- Bruckert, E.; Rosenbaum, D. Lowering LDL-cholesterol through diet: Potential role in the statin era. Curr. Opin. Lipidol. 2011, 22, 43–48. [Google Scholar] [CrossRef] [PubMed]
- Piepoli, M.F.; Hoes, A.W.; Agewall, S.; Albus, C.; Brotons, C.; Catapano, A.L.; Cooney, M.T.; Corra, U.; Cosyns, B.; Deaton, C.; et al. 2016 European Guidelines on cardiovascular disease prevention in clinical practice: The Sixth Joint Task Force of the European Society of Cardiology and Other Societies on Cardiovascular Disease Prevention in Clinical Practice (constituted by representatives of 10 societies and by invited experts) Developed with the special contribution of the European Association for Cardiovascular Prevention & Rehabilitation (EACPR). Eur. Heart J. 2016, 37, 2315–2381. [Google Scholar] [CrossRef]
- de Moraes, M.M.; Oliveira, B.; Afonso, C.; Santos, C.; Torres, D.; Lopes, C.; Miranda, R.C.; Rauber, F.; Antoniazzi, L.; Levy, R.B.; et al. Dietary patterns in Portuguese children and adolescent population: The UPPER project. Nutrients 2021, 13, 3851. [Google Scholar] [CrossRef]
- Naska, A.; Trichopoulou, A. Back to the future: The Mediterranean diet paradigm. Nutr. Metab. Cardiovasc. Dis. 2014, 24, 216–219. [Google Scholar] [CrossRef]
- Bach-Faig, A.; Berry, E.M.; Lairon, D.; Reguant, J.; Trichopoulou, A.; Dernini, S.; Medina, F.X.; Battino, M.; Belahsen, R.; Miranda, G.; et al. Mediterranean diet pyramid today. Science and cultural updates. Public Health Nutr. 2011, 14, 2274–2284. [Google Scholar] [CrossRef] [Green Version]
- Panico, S.; Mattiello, A.; Panico, C.; Chiodini, P. Mediterranean dietary pattern and chronic diseases. Cancer Treat. Res. 2014, 159, 69–81. [Google Scholar] [CrossRef]
- Davis, C.; Bryan, J.; Hodgson, J.; Murphy, K. Definition of the Mediterranean Diet; A Literature Review. Nutrients 2015, 7, 9139–9153. [Google Scholar] [CrossRef]
- Sofi, F.; Macchi, C.; Abbate, R.; Gensini, G.F.; Casini, A. Mediterranean diet and health status: An updated meta-analysis and a proposal for a literature-based adherence score. Public Health Nutr. 2014, 17, 2769–2782. [Google Scholar] [CrossRef] [Green Version]
- Vitiello, V.; Germani, A.; Capuzzo Dolcetta, E.; Donini, L.M.; Del Balzo, V. The new modern Mediterranean diet Italian pyramid. Ann Ig 2016, 28, 179–186. [Google Scholar] [CrossRef] [PubMed]
- Widmer, R.J.; Flammer, A.J.; Lerman, L.O.; Lerman, A. The Mediterranean diet, its components, and cardiovascular disease. Am. J. Med. 2015, 128, 229–238. [Google Scholar] [CrossRef] [PubMed] [Green Version]
- Rosato, V.; Temple, N.J.; La Vecchia, C.; Castellan, G.; Tavani, A.; Guercio, V. Mediterranean diet and cardiovascular disease: A systematic review and meta-analysis of observational studies. Eur. J. Nutr. 2019, 58, 173–191. [Google Scholar] [CrossRef] [PubMed]
- Agnoli, C.; Krogh, V.; Grioni, S.; Sieri, S.; Palli, D.; Masala, G.; Sacerdote, C.; Vineis, P.; Tumino, R.; Frasca, G.; et al. A priori-defined dietary patterns are associated with reduced risk of stroke in a large Italian cohort. J. Nutr. 2011, 141, 1552–1558. [Google Scholar] [CrossRef] [Green Version]
- Tektonidis, T.G.; Akesson, A.; Gigante, B.; Wolk, A.; Larsson, S.C. A Mediterranean diet and risk of myocardial infarction, heart failure and stroke: A population-based cohort study. Atherosclerosis 2015, 243, 93–98. [Google Scholar] [CrossRef]
- Violi, F.; Pastori, D.; Pignatelli, P.; Carnevale, R. Nutrition, thrombosis, and cardiovascular disease. Circ. Res. 2020, 126, 1415–1442. [Google Scholar] [CrossRef]
- Agnoli, C.; Grioni, S.; Sieri, S.; Palli, D.; Masala, G.; Sacerdote, C.; Vineis, P.; Tumino, R.; Giurdanella, M.C.; Pala, V.; et al. Italian Mediterranean Index and risk of colorectal cancer in the Italian section of the EPIC cohort. Int. J. Cancer 2013, 132, 1404–1411. [Google Scholar] [CrossRef]
- Schwingshackl, L.; Hoffmann, G. Mediterranean dietary pattern, inflammation and endothelial function: A systematic review and meta-analysis of intervention trials. Nutr. Metab. Cardiovasc. Dis. 2014, 24, 929–939. [Google Scholar] [CrossRef]
- Dinu, M.; Pagliai, G.; Casini, A.; Sofi, F. Mediterranean diet and multiple health outcomes: An umbrella review of meta-analyses of observational studies and randomised trials. Eur. J. Clin. Nutr. 2018, 72, 30–43. [Google Scholar] [CrossRef]
- Sofi, F.; Cesari, F.; Abbate, R.; Gensini, G.F.; Casini, A. Adherence to Mediterranean diet and health status: Meta-analysis. BMJ 2008, 337, a1344. [Google Scholar] [CrossRef] [Green Version]
- Appel, L.J.; Moore, T.J.; Obarzanek, E.; Vollmer, W.M.; Svetkey, L.P.; Sacks, F.M.; Bray, G.A.; Vogt, T.M.; Cutler, J.A.; Windhauser, M.M.; et al. A clinical trial of the effects of dietary patterns on blood pressure. DASH Collaborative Research Group. N. Engl. J. Med. 1997, 336, 1117–1124. [Google Scholar] [CrossRef] [PubMed] [Green Version]
- Appel, L.J.; Brands, M.W.; Daniels, S.R.; Karanja, N.; Elmer, P.J.; Sacks, F.M.; American Heart, A. Dietary approaches to prevent and treat hypertension: A scientific statement from the American Heart Association. Hypertension 2006, 47, 296–308. [Google Scholar] [CrossRef] [PubMed] [Green Version]
- Petersen, K.S.; Kris-Etherton, P.M. Diet quality assessment and the relationship between diet quality and cardiovascular disease risk. Nutrients 2021, 13, 4305. [Google Scholar] [CrossRef] [PubMed]
- Williams, C.M.; Lovegrove, J.A.; Griffin, B.A. Dietary patterns and cardiovascular disease. Proc. Nutr. Soc. 2013, 72, 407–411. [Google Scholar] [CrossRef] [PubMed] [Green Version]
- Gillette Guyonnet, S.; Abellan Van Kan, G.; Andrieu, S.; Barberger Gateau, P.; Berr, C.; Bonnefoy, M.; Dartigues, J.F.; de Groot, L.; Ferry, M.; Galan, P.; et al. IANA task force on nutrition and cognitive decline with aging. J. Nutr. Health Aging 2007, 11, 132–152. [Google Scholar]
- Liu, X.; Morris, M.C.; Dhana, K.; Ventrelle, J.; Johnson, K.; Bishop, L.; Hollings, C.S.; Boulin, A.; Laranjo, N.; Stubbs, B.J.; et al. Mediterranean-DASH Intervention for Neurodegenerative Delay (MIND) study: Rationale, design and baseline characteristics of a randomized control trial of the MIND diet on cognitive decline. Contemp. Clin. Trials 2021, 102, 106270. [Google Scholar] [CrossRef]
- Morris, M.C. Nutritional determinants of cognitive aging and dementia. Proc. Nutr. Soc. 2012, 71, 1–13. [Google Scholar] [CrossRef] [Green Version]
- Morris, M.C.; Tangney, C.C. Dietary fat composition and dementia risk. Neurobiol. Aging 2014, 35 (Suppl. 2), S59–S64. [Google Scholar] [CrossRef] [Green Version]
- Morris, M.C.; Tangney, C.C.; Wang, Y.; Sacks, F.M.; Barnes, L.L.; Bennett, D.A.; Aggarwal, N.T. MIND diet slows cognitive decline with aging. Alzheimers Dement. 2015, 11, 1015–1022. [Google Scholar] [CrossRef] [Green Version]
- Morris, M.C.; Tangney, C.C.; Wang, Y.; Sacks, F.M.; Bennett, D.A.; Aggarwal, N.T. MIND diet associated with reduced incidence of Alzheimer’s disease. Alzheimers Dement. 2015, 11, 1007–1014. [Google Scholar] [CrossRef] [Green Version]
- Hosking, D.E.; Eramudugolla, R.; Cherbuin, N.; Anstey, K.J. MIND not Mediterranean diet related to 12-year incidence of cognitive impairment in an Australian longitudinal cohort study. Alzheimers Dement. 2019, 15, 581–589. [Google Scholar] [CrossRef] [PubMed]
- Golzarand, M.; Mirmiran, P.; Azizi, F. Adherence to the MIND diet and the risk of cardiovascular disease in adults: A cohort study. Food Funct. 2022, 13, 1651–1658. [Google Scholar] [CrossRef] [PubMed]
- Urbano, T.; Filippini, T.; Wise, L.A.; Lasagni, D.; De Luca, T.; Sucato, S.; Polledri, E.; Malavolti, M.; Rigon, C.; Santachiara, A.; et al. Associations of urinary and dietary cadmium with urinary 8-oxo-7,8-dihydro-2’-deoxyguanosine and blood biochemical parameters. Environ. Res. 2022, 210, 112912. [Google Scholar] [CrossRef]
- Pala, V.; Sieri, S.; Palli, D.; Salvini, S.; Berrino, F.; Bellegotti, M.; Frasca, G.; Tumino, R.; Sacerdote, C.; Fiorini, L.; et al. Diet in the Italian EPIC cohorts: Presentation of data and methodological issues. Tumori 2003, 89, 594–607. [Google Scholar] [CrossRef]
- Pasanisi, P.; Berrino, F.; Bellati, C.; Sieri, S.; Krogh, V. Validity of the Italian EPIC questionnaire to assess past diet. IARC Sci. Publ. 2002, 156, 41–44. [Google Scholar] [PubMed]
- Filippini, T.; Michalke, B.; Wise, L.A.; Malagoli, C.; Malavolti, M.; Vescovi, L.; Salvia, C.; Bargellini, A.; Sieri, S.; Krogh, V.; et al. Diet composition and serum levels of selenium species: A cross-sectional study. Food Chem. Toxicol. 2018, 115, 482–490. [Google Scholar] [CrossRef]
- Malavolti, M.; Fairweather-Tait, S.J.; Malagoli, C.; Vescovi, L.; Vinceti, M.; Filippini, T. Lead exposure in an Italian population: Food content, dietary intake and risk assessment. Food Res. Int. 2020, 137, 109370. [Google Scholar] [CrossRef]
- Filippini, T.; Adani, G.; Malavolti, M.; Garuti, C.; Cilloni, S.; Vinceti, G.; Zamboni, G.; Tondelli, M.; Galli, C.; Costa, M.; et al. Dietary habits and risk of early-onset dementia in an Italian case-control study. Nutrients 2020, 12, 3682. [Google Scholar] [CrossRef] [PubMed]
- Malagoli, C.; Malavolti, M.; Agnoli, C.; Crespi, C.M.; Fiorentini, C.; Farnetani, F.; Longo, C.; Ricci, C.; Albertini, G.; Lanzoni, A.; et al. Diet quality and risk of melanoma in an Italian population. J. Nutr. 2015, 145, 1800–1807. [Google Scholar] [CrossRef] [Green Version]
- Malavolti, M.; Naska, A.; Fairweather-Tait, S.J.; Malagoli, C.; Vescovi, L.; Marchesi, C.; Vinceti, M.; Filippini, T. Sodium and potassium content of foods consumed in an Italian population and the ompact of adherence to a Mediterranean diet on their intake. Nutrients 2021, 13, 2681. [Google Scholar] [CrossRef]
- Trichopoulou, A.; Costacou, T.; Bamia, C.; Trichopoulos, D. Adherence to a Mediterranean diet and survival in a Greek population. N. Engl. J. Med. 2003, 348, 2599–2608. [Google Scholar] [CrossRef] [Green Version]
- Vurro, F.; Merolle, L.; Marraccini, C.; Parisi, M.; Canovi, L.; Erta, B.; Santachiara, A.; Bonvicini, L.; Giorgi Rossi, P.; Baricchi, R.; et al. Quantitative assessment of the anticoagulant in plasma units collected by plasmapheresis. Transfusion 2019, 59, 2113–2120. [Google Scholar] [CrossRef] [PubMed]
- Fasano, T.; Bedini, J.L.; Fle, P.A.; Jlaiel, M.; Hubbert, K.; Datta, H.; Chicha-Cattoir, V.; Mansour, H.; Mira, A.; de la Presa, B.G.; et al. Multi-site performance evaluation and Sigma metrics of 20 assays on the Atellica chemistry and immunoassay analyzers. Clin. Chem. Lab. Med. 2019, 58, 59–68. [Google Scholar] [CrossRef]
- Campo, L.; Polledri, E.; Bechtold, P.; Gatti, G.; Ranzi, A.; Lauriola, P.; Goldoni, C.A.; Bertazzi, P.A.; Fustinoni, S. Determinants of active and environmental exposure to tobacco smoke and upper reference value of urinary cotinine in not exposed individuals. Environ. Res. 2016, 148, 154–163. [Google Scholar] [CrossRef]
- Urbano, T.; Filippini, T.; Lasagni, D.; De Luca, T.; Sucato, S.; Polledri, E.; Bruzziches, F.; Malavolti, M.; Baraldi, C.; Santachiara, A.; et al. Associations between urinary and dietary selenium and blood metabolic parameters in a healthy Northern Italy population. Antioxidants 2021, 10, 1193. [Google Scholar] [CrossRef]
- National Italian Institute of Health. What is CuoreData; National Italian Institute of Health: Roma, Italy, 2022. [Google Scholar]
- Harrell, F.E. Regression Modeling Strategies. With Applications to Linear Models, Logistic Regression, and Survival Analysis; Springer: New York, NY, USA, 2001. [Google Scholar]
- Malagoli, C.; Malavolti, M.; Farnetani, F.; Longo, C.; Filippini, T.; Pellacani, G.; Vinceti, M. Food and beverage consumption and melanoma risk: A population-Based case-control study in Northern Italy. Nutrients 2019, 11, 2206. [Google Scholar] [CrossRef] [PubMed] [Green Version]
- Bendinelli, B.; Masala, G.; Bruno, R.M.; Caini, S.; Saieva, C.; Boninsegni, A.; Ungar, A.; Ghiadoni, L.; Palli, D. A priori dietary patterns and blood pressure in the EPIC Florence cohort: A cross-sectional study. Eur. J. Nutr. 2019, 58, 455–466. [Google Scholar] [CrossRef] [PubMed]
- Kahleova, H.; Salas-Salvado, J.; Rahelic, D.; Kendall, C.W.; Rembert, E.; Sievenpiper, J.L. Dietary patterns and cardiometabolic outcomes in diabetes: A summary of systematic reviews and meta-analyses. Nutrients 2019, 11, 2209. [Google Scholar] [CrossRef] [Green Version]
- Meslier, V.; Laiola, M.; Roager, H.M.; De Filippis, F.; Roume, H.; Quinquis, B.; Giacco, R.; Mennella, I.; Ferracane, R.; Pons, N.; et al. Mediterranean diet intervention in overweight and obese subjects lowers plasma cholesterol and causes changes in the gut microbiome and metabolome independently of energy intake. Gut 2020, 69, 1258–1268. [Google Scholar] [CrossRef] [Green Version]
- Psaltopoulou, T.; Hatzis, G.; Papageorgiou, N.; Androulakis, E.; Briasoulis, A.; Tousoulis, D. Socioeconomic status and risk factors for cardiovascular disease: Impact of dietary mediators. Hellenic. J. Cardiol. 2017, 58, 32–42. [Google Scholar] [CrossRef]
- Estruch, R.; Martinez-Gonzalez, M.A.; Corella, D.; Salas-Salvado, J.; Ruiz-Gutierrez, V.; Covas, M.I.; Fiol, M.; Gomez-Gracia, E.; Lopez-Sabater, M.C.; Vinyoles, E.; et al. Effects of a Mediterranean-style diet on cardiovascular risk factors: A randomized trial. Ann. Intern. Med. 2006, 145, 1–11. [Google Scholar] [CrossRef] [PubMed]
- Trautwein, E.A.; McKay, S. The role of specific components of a plant-based diet in management of dyslipidemia and the impact on cardiovascular risk. Nutrients 2020, 12, 2671. [Google Scholar] [CrossRef] [PubMed]
- Salas-Salvado, J.; Becerra-Tomas, N.; Garcia-Gavilan, J.F.; Bullo, M.; Barrubes, L. Mediterranean diet and cardiovascular disease prevention: What do we know? Prog. Cardiovasc. Dis. 2018, 61, 62–67. [Google Scholar] [CrossRef] [PubMed]
- Siervo, M.; Lara, J.; Chowdhury, S.; Ashor, A.; Oggioni, C.; Mathers, J.C. Effects of the Dietary Approach to Stop Hypertension (DASH) diet on cardiovascular risk factors: A systematic review and meta-analysis. Br. J. Nutr. 2015, 113, 1–15. [Google Scholar] [CrossRef] [Green Version]
- Obarzanek, E.; Sacks, F.M.; Vollmer, W.M.; Bray, G.A.; Miller, E.R., 3rd; Lin, P.H.; Karanja, N.M.; Most-Windhauser, M.M.; Moore, T.J.; Swain, J.F.; et al. Effects on blood lipids of a blood pressure-lowering diet: The Dietary Approaches to Stop Hypertension (DASH) trial. Am. J. Clin. Nutr. 2001, 74, 80–89. [Google Scholar] [CrossRef]
- Toledo, E.; Hu, F.B.; Estruch, R.; Buil-Cosiales, P.; Corella, D.; Salas-Salvado, J.; Covas, M.I.; Aros, F.; Gomez-Gracia, E.; Fiol, M.; et al. Effect of the Mediterranean diet on blood pressure in the PREDIMED trial: Results from a randomized controlled trial. BMC Med. 2013, 11, 207. [Google Scholar] [CrossRef] [Green Version]
- Mohammadpour, S.; Ghorbaninejad, P.; Janbozorgi, N.; Shab-Bidar, S. Associations between adherence to MIND diet and metabolic syndrome and general and abdominal obesity: A cross-sectional study. Diabetol. Metab. Syndr. 2020, 12, 101. [Google Scholar] [CrossRef]
- Chiavaroli, L.; Viguiliouk, E.; Nishi, S.K.; Blanco Mejia, S.; Rahelic, D.; Kahleova, H.; Salas-Salvado, J.; Kendall, C.W.; Sievenpiper, J.L. DASH dietary pattern and cardiometabolic outcomes: An umbrella review of systematic reviews and meta-analyses. Nutrients 2019, 11, 338. [Google Scholar] [CrossRef] [Green Version]
- Yu, E.; Malik, V.S.; Hu, F.B. Cardiovascular disease prevention by diet modification: JACC health promotion series. J. Am. Coll. Cardiol. 2018, 72, 914–926. [Google Scholar] [CrossRef]
- Soltani, S.; Arablou, T.; Jayedi, A.; Salehi-Abargouei, A. Adherence to the dietary approaches to stop hypertension (DASH) diet in relation to all-cause and cause-specific mortality: A systematic review and dose-response meta-analysis of prospective cohort studies. Nutr. J. 2020, 19, 37. [Google Scholar] [CrossRef] [Green Version]
- Iacobellis, G.; Ribaudo, M.C.; Zappaterreno, A.; Iannucci, C.V.; Leonetti, F. Prevalence of uncomplicated obesity in an Italian obese population. Obes. Res. 2005, 13, 1116–1122. [Google Scholar] [CrossRef] [PubMed] [Green Version]
- Vinceti, M.; Grill, P.; Malagoli, C.; Filippini, T.; Storani, S.; Malavolti, M.; Michalke, B. Selenium speciation in human serum and its implications for epidemiologic research: A cross-sectional study. J. Trace Elem. Med. Biol. 2015, 31, 1–10. [Google Scholar] [CrossRef] [PubMed]
- Pala, V.; Berrino, F.; Vineis, P.; Palli, D.; Celentano, E.; Tumino, R.; Krogh, V. How vegetables are eaten in Italy EPIC centres: Still setting a good example? IARC Sci. Publ. 2002, 156, 119–121. [Google Scholar] [PubMed]
- Pisani, P.; Faggiano, F.; Krogh, V.; Palli, D.; Vineis, P.; Berrino, F. Relative validity and reproducibility of a food frequency dietary questionnaire for use in the Italian EPIC centres. Int. J. Epidemiol. 1997, 26, S152–S160. [Google Scholar] [CrossRef] [Green Version]
- Salvia, C.; Donfrancesco, C.; Palmieri, L.; Lo Noce, C.; Vanuzzo, D.; Vinceti, M.; Bargellini, A.; Borella, P.; Giampaoli, S. The Health Examination Survey at regional level: The Emilia-Romagna Region (Northern Italy) example. Epidemiol. Prev. 2020, 44, 40–47. [Google Scholar] [CrossRef]
- Agudo, A.; Slimani, N.; Ocke, M.C.; Naska, A.; Miller, A.B.; Kroke, A.; Bamia, C.; Karalis, D.; Vineis, P.; Palli, D.; et al. Consumption of vegetables, fruit and other plant foods in the European Prospective Investigation into Cancer and Nutrition (EPIC) cohorts from 10 European countries. Public Health Nutr. 2002, 5, 1179–1196. [Google Scholar] [CrossRef] [Green Version]
- Fabrice Elegbede, C.; Papadopoulos, A.; Kolbaum, A.E.; Turrini, A.; Mistura, L.; Lindtner, O.; Sirot, V. TDS exposure project: How and when to consider seasonality in a total diet study? Food Chem. Toxicol. 2017, 105, 119–126. [Google Scholar] [CrossRef]
- Halkjaer, J.; Olsen, A.; Bjerregaard, L.J.; Deharveng, G.; Tjonneland, A.; Welch, A.A.; Crowe, F.L.; Wirfalt, E.; Hellstrom, V.; Niravong, M.; et al. Intake of total, animal and plant proteins, and their food sources in 10 countries in the European Prospective Investigation into Cancer and Nutrition. Eur. J. Clin. Nutr. 2009, 63, S16–S36. [Google Scholar] [CrossRef] [Green Version]





| Characteristics | Total | Men | Women | |||
|---|---|---|---|---|---|---|
| N | % | N | % | N | % | |
| All subjects | 137 | 100 | 62 | 45.3 | 75 | 54.7 |
| Age (years) 1 | 47.4 | 7.5 | 46.8 | 7.5 | 47.9 | 7.5 |
| <50 years | 80 | 58.4 | 39 | 62.9 | 41 | 54.7 |
| ≥50 years | 57 | 41.6 | 23 | 37.1 | 34 | 45.3 |
| Body mass index (kg/m2) 1 | 25.0 | 3.5 | 25.1 | 2.9 | 25.0 | 4.0 |
| <25 | 74 | 54.0 | 32 | 51.6 | 42 | 56.0 |
| ≥25–<30 | 50 | 36.5 | 27 | 43.6 | 23 | 30.7 |
| ≥30 | 13 | 9.5 | 3 | 4.8 | 10 | 13.3 |
| Smoking habits | ||||||
| Never | 101 | 73.7 | 45 | 72.6 | 56 | 74.7 |
| Former | 36 | 26.3 | 17 | 27.4 | 19 | 25.3 |
| Urinary cotinine (µg/L) 1 | 0.9 | 2.4 | 0.9 | 3.2 | 0.9 | 1.5 |
| Marital status | ||||||
| Married/unmarried partner | 97 | 70.8 | 44 | 71.0 | 53 | 70.7 |
| Single | 26 | 19.0 | 12 | 19.4 | 14 | 18.7 |
| Separated/divorced | 14 | 10.2 | 6 | 9.6 | 8 | 10.7 |
| Educational level | ||||||
| Elementary school | 2 | 1.5 | 2 | 3.2 | - | - |
| Middle school | 20 | 14.6 | 8 | 12.9 | 12 | 16.0 |
| High school | 66 | 48.2 | 28 | 45.2 | 38 | 50.7 |
| College or more | 49 | 35.8 | 24 | 38.7 | 25 | 33.3 |
| Occupation (ISCO) 2 | ||||||
| Managers | 9 | 6.6 | 6 | 9.7 | 3 | 4.0 |
| Professionals | 26 | 19.0 | 12 | 19.4 | 14 | 18.7 |
| Technicians/associate professionals | 21 | 15.3 | 11 | 17.7 | 10 | 13.3 |
| Clerical support workers | 43 | 31.4 | 12 | 19.4 | 31 | 41.3 |
| Service and sales workers | 11 | 8.0 | 2 | 3.2 | 9 | 12.0 |
| Craft and related trades workers | 10 | 7.3 | 8 | 12.9 | 2 | 2.7 |
| Plant and machine operators | 11 | 8.0 | 8 | 12.9 | 3 | 4.0 |
| Elementary occupations | 6 | 4.4 | 3 | 4.8 | 3 | 4.0 |
| Biochemical Parameters | Total (N = 137) | Men (N = 62) | Women (N = 75) | |||
|---|---|---|---|---|---|---|
| 50th | IQR | 50th | IQR | 50th | IQR | |
| WBC count (103/µL) | 5.50 | (4.90–6.10) | 5.15 | (4.70–5.70) | 5.60 | (5.00–6.40) |
| Neutrophils (103/µL) | 3.02 | (2.52–3.55) | 2.78 | (2.34–3.26) | 3.21 | (2.76–3.95) |
| Lymphocytes (103/µL) | 1.78 | (1.47–2.05) | 1.69 | (1.44–2.04) | 1.84 | (1.47–2.08) |
| Monocytes (103/µL) | 0.40 | (0.33–0.49) | 0.40 | (0.35–0.51) | 0.39 | (0.32–0.46) |
| Eosinophils (103/µL) | 0.15 | (0.09–0.21) | 0.14 | (0.09–0.22) | 0.15 | (0.09–0.21) |
| Basophils (103/µL) | 0.06 | (0.04–0.08) | 0.06 | (0.05–0.07) | 0.06 | (0.04–0.08) |
| RBC count(166/µL) | 4.7 | (4.5–4.9) | 4.8 | (4.6–5.2) | 4.5 | (4.3–4.8) |
| Hemoglobin (g/dL) | 14.2 | (13.5–15.0) | 14.8 | (14.2–15.5) | 13.6 | (13.2–14.5) |
| Hematocrit (%) | 41.2 | (39.5–43.6) | 42.9 | (41.0–45.0) | 40.2 | (38.8–41.9) |
| MCV (fL) | 88.2 | (85.9–90.8) | 87.8 | (85.4–90.2) | 88.4 | (86.0–91.3) |
| MCH (pg) | 30.4 | (29.5–31.4) | 30.5 | (29.7–31.6) | 30.2 | (29.3–31.3) |
| MCHC (g/dL) | 34.2 | (33.6–35.1) | 34.8 | (33.9–35.5) | 33.9 | (33.3–34.8) |
| RDW (%) | 11.7 | (11.3–12.3) | 11.6 | (11.3–12.1) | 11.8 | (11.3–12.3) |
| PLT (109/L) | 230 | (197–264) | 223 | (189–248) | 237 | (208–269) |
| MPV (fL) | 8.0 | (7.0–8.5) | 7.8 | (7.0–8.4) | 8.0 | (7.0–9.0) |
| Glycemia (mg/dL) | 86 | (81–91) | 88 | (82–94) | 85 | (79–89) |
| Total cholesterol (mg/dL) | 204 | (184–224) | 192 | (177–219) | 210 | (192–227) |
| HDL cholesterol (mg/dL) | 59 | (51–69) | 52 | (46–59) | 67 | (57–73) |
| LDL cholesterol (mg/dL) | 124 | (109–144) | 120 | (101–142) | 125 | (112–146) |
| Triglycerides (mg/dL) | 78 | (61–114) | 85 | (67.5–137) | 72 | (58–106) |
| ALT (U/L) | 27 | (22–35) | 30 | (26–43) | 24 | (20–29) |
| TSH (mU/mL) | 1.60 | (1.18–2.21) | 1.75 | (1.13–2.33) | 1.54 | (1.25–2.16) |
| Creatinine (mg/dL) | 0.83 | (0.73–0.93) | 0.92 | (0.84–1.01) | 0.74 | (0.68–0.82) |
| Ferritin (ng/mL) | 36.39 | (20.52–61.89) | 47.43 | (25.85–80.12) | 30.37 | (17.37–48.43) |
| Total protein (g/dL) | 7.10 | (6.80–7.40) | 7.15 | (6.90–7.45) | 7.10 | (6.70–7.30) |
| Systolic blood pressure (mmHg) | 120 | (115–120) | 120 | (120–125) | 120 | (115–120) |
| Diastolic blood pressure (mmHg) | 80 | (75–80) | 80 | (75–80) | 75 | (75–80) |
| Dietary Pattern | Total (N = 137) | Men (N = 62) | Women (N = 75) | |||
|---|---|---|---|---|---|---|
| 50th | IQR | 50th | IQR | 50th | IQR | |
| DASH diet | 24 | (21–28) | 22 | (19–25) | 27 | (22–29) |
| GMI | 4 | (3–6) | 4 | (3–5) | 4 | (3–6) |
| IMI | 4 | (3–5) | 4 | (3–5) | 4 | (3–6) |
| MIND diet | 7.5 | (6.5–8.5) | 7.5 | (6.5–8.0) | 8.0 | (7.0–9.0) |
Publisher’s Note: MDPI stays neutral with regard to jurisdictional claims in published maps and institutional affiliations. |
© 2022 by the authors. Licensee MDPI, Basel, Switzerland. This article is an open access article distributed under the terms and conditions of the Creative Commons Attribution (CC BY) license (https://creativecommons.org/licenses/by/4.0/).
Share and Cite
Cecchini, M.; Urbano, T.; Lasagni, D.; De Luca, T.; Malavolti, M.; Baraldi, C.; Grioni, S.; Agnoli, C.; Sieri, S.; Santachiara, A.; et al. Dietary Patterns and Blood Biochemical and Metabolic Parameters in an Italian Population: A Cross-Sectional Study. Dietetics 2022, 1, 88-104. https://doi.org/10.3390/dietetics1020010
Cecchini M, Urbano T, Lasagni D, De Luca T, Malavolti M, Baraldi C, Grioni S, Agnoli C, Sieri S, Santachiara A, et al. Dietary Patterns and Blood Biochemical and Metabolic Parameters in an Italian Population: A Cross-Sectional Study. Dietetics. 2022; 1(2):88-104. https://doi.org/10.3390/dietetics1020010
Chicago/Turabian StyleCecchini, Marta, Teresa Urbano, Daniela Lasagni, Tiziana De Luca, Marcella Malavolti, Claudia Baraldi, Sara Grioni, Claudia Agnoli, Sabina Sieri, Annalisa Santachiara, and et al. 2022. "Dietary Patterns and Blood Biochemical and Metabolic Parameters in an Italian Population: A Cross-Sectional Study" Dietetics 1, no. 2: 88-104. https://doi.org/10.3390/dietetics1020010
APA StyleCecchini, M., Urbano, T., Lasagni, D., De Luca, T., Malavolti, M., Baraldi, C., Grioni, S., Agnoli, C., Sieri, S., Santachiara, A., Pertinhez, T. A., Fustinoni, S., Baricchi, R., Vinceti, M., & Filippini, T. (2022). Dietary Patterns and Blood Biochemical and Metabolic Parameters in an Italian Population: A Cross-Sectional Study. Dietetics, 1(2), 88-104. https://doi.org/10.3390/dietetics1020010

