Bulk and Point Defect Properties in α-Zr: Uncertainty Quantification on a Semi-Empirical Potential †
Abstract
1. Introduction
2. Methods & Material
2.1. Second Moment Approximation (SMA) Potential
2.2. Quantities of Interest (QOIs)
2.3. Uncertainty Quantification (UQ)
3. Results
3.1. Surrogate Model and Sensitivity Indices
3.2. Posterior Distributions of Parameters and Uncertainty Quantification
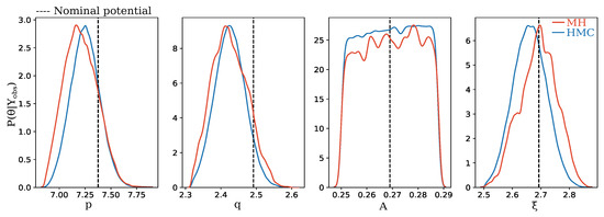
3.2.1. Effect of Chosen QOIs and MCMC Algorithm
3.2.2. Uncertainty Quantification
4. Conclusions
- Sensitivity analysis gives insights on the relevant properties for performing the inference of posterior PDFs parameters, here a subset of and ,
- Propagation of uncertainty provides more accurate results than the nominal potential—even if not perfect—as compared to the set of reference values. This is particularly visible for SIAs , for which predictions by the nominal potential were poor,
- MH and HMC MCMC schemes give qualitatively similar results for the PDFs and property distributions. However, mean values of are closer to the ab initio values for the HMC scheme.
Funding
Institutional Review Board Statement
Informed Consent Statement
Data Availability Statement
Acknowledgments
Conflicts of Interest
References
- Onimus, F.; Béchade, J.L. 4.01-Radiation Effects in Zirconium Alloys. In Comprehensive Nuclear Materials; Rudy, J.M., Konings, E., Eds.; In Chief; Elsevier: Oxford, UK, 2012; pp. 1–31. [Google Scholar] [CrossRef]
- Varvenne, C.; Mackain, O.; Clouet, E. Vacancy clustering in zirconium: An atomic-scale study. Acta Mater. 2014, 78, 65–77. [Google Scholar] [CrossRef]
- Christiaen, B.; Domain, C.; Thuinet, L.; Ambard, A.; Legris, A. A new scenario for ‹c› vacancy loop formation in zirconium based on atomic-scale modeling. Acta Mater. 2019, 179, 93–106. [Google Scholar] [CrossRef]
- Dai, C.; Varvenne, C.; Saidi, P.; Yao, Z.; Daymond, M.R.; Béland, L.K. Stability of vacancy and interstitial dislocation loops in α-zirconium: Atomistic calculations and continuum modelling. J. Nucl. Mater. 2021, 554, 153059. [Google Scholar] [CrossRef]
- Mishin, Y. Machine-learning interatomic potentials for materials science. Acta Mater. 2021, 214, 1–48. [Google Scholar] [CrossRef]
- Cailliez, F.; Pernot, P. Statistical approaches to forcefield calibration and prediction uncertainty in molecular simulation. J. Chem. Phys. 2011, 134, 054124. [Google Scholar] [CrossRef]
- Dhaliwal, G.; Nair, P.B.; Singh, C.V. Uncertainty and sensitivity analysis of mechanical and thermal properties computed through Embedded Atom Method potential. Comput. Mater. Sci. 2019, 166, 30–41. [Google Scholar] [CrossRef]
- Kulakova, L.; Arampatzis, G.; Angelikopoulos, P.; Hadjidoukas, P.; Papadimitriou, C.; Koumoutsakos, P. Data driven inference for the repulsive exponent of the Lennard-Jones potential in molecular dynamics simulations. Sci. Rep. 2017, 7, 16576. [Google Scholar] [CrossRef]
- Rizzi, F.; Najm, H.N.; Debusschere, B.J.; Sargsyan, K.; Salloum, M.; Adalsteinsson, H.; Knio, O.M. Uncertainty quantification in MD simulations. Part I: Forward propagation. Multiscale Model. Simul. 2012, 10, 1428–1459. [Google Scholar] [CrossRef]
- Rizzi, F.; Najm, H.N.; Debusschere, B.J.; Sargsyan, K.; Salloum, M.; Adalsteinsson, H.; Knio, O.M. Uncertainty quantification in MD simulations. PART II: Bayesian inference of force-field parameters. Multiscale Model. Simul. 2012, 10, 1460–1492. [Google Scholar] [CrossRef]
- Sargsyan, K.; Huan, X.; Najm, H.N. Embedded model error representation for bayesian model calibration. Int. J. Uncertain. Quantif. 2019, 9, 365–394. [Google Scholar] [CrossRef]
- Mendelev, M.I.; Ackland, G.J. Development of an Interatomic Potential for the Simulation of Phase Transformations in Zirconium. Philos. Mag. Lett. 2007, 87, 349–359. [Google Scholar] [CrossRef]
- Rosato, V.; Guillopé, M.; Legrand, B. Thermodynamical and Structural Properties of FCC Transition Metals using a Simple Tight-Binding Model. Philos. Mag. A 1989, 59, 321–336. [Google Scholar] [CrossRef]
- Dufresne, A.; Ribeiro, F.; Tréglia, G. How to derive tight-binding spd potentials? Application to zirconium. J. Phys. Condens. Matter 2015, 27. [Google Scholar] [CrossRef] [PubMed]
- Gupta, R.P. Lattice relaxation at a metal surface. Phys. Rev. B 1981, 23, 6265–6270. [Google Scholar] [CrossRef]
- Plimpton, S. Fast Parallel Algorithms for Short-Range Molecular Dynamics. J. Comput. Phys. 1995, 117, 1–19. [Google Scholar] [CrossRef]
- Thompson, A.P.; Aktulga, H.M.; Berger, R.; Bolintineanu, D.S.; Brown, W.M.; Crozier, P.S.; in’t Veld, P.J.; Kohlmeyer, A.; Moore, S.G.; Nguyen, T.D.; et al. LAMMPS—A flexible simulation tool for particle-based materials modeling at the atomic, meso, and continuum scales. Comput. Phys. Commun. 2022, 271. [Google Scholar] [CrossRef]
- Kittel, C. Solid State Physics, 8th ed.; John Wiley & Sons: New York, NY, USA, 2005; Available online: https://metal.elte.hu/~groma/Anyagtudomany/kittel.pdf (accessed on 15 July 2022).
- Simmons, G.; Wang, H. Single Crystal Elastic Constants and Calculated Aggregate Properties. A Handbook; The MIT Press: Cambridge, MA, USA, 1971. [Google Scholar]
- Vinet, P.; Ferrante, J.; Smith, J.R.; Rose, J.H. A universal equation of state for solids. J. Phys. C Solid State Phys. 1986, 19, L467–L473. [Google Scholar] [CrossRef]
- Del Masto, A.; Varvenne, C.; Baccou, J.; Tréglia, G.; Ribeiro, F. Insights on the robustness, sensitivity and expressivity of simple many-body potentials: Application to α-Zr. Unpublished work. 2022. [Google Scholar]
- Vérité, G.; Domain, C.; Fu, C.C.; Gasca, P.; Legris, A.; Willaime, F. Self-interstitial defects in hexagonal close packed metals revisited: Evidence for low-symmetry configurations in Ti, Zr, and Hf. Phys. Rev. B 2013, 87, 134108. [Google Scholar] [CrossRef]
- Varvenne, C.; Bruneval, F.; Marinica, M.C.; Clouet, E. Point defect modeling in materials: Coupling ab initio and elasticity approaches. Phys. Rev. B 2013, 88, 134102. [Google Scholar] [CrossRef]
- Samolyuk, G.D.; Golubov, S.I.; Osetsky, Y.N.; Stoller, R. Self-interstitial configurations in hcp Zr: A first principles analysis. Phil. Mag. Lett. 2013, 93, 93–100. [Google Scholar] [CrossRef]
- Ghanem, R.; Spanos, P.D. Polynomial Chaos in Stochastic Finite Elements. J. Appl. Mech. 1990, 57, 197. [Google Scholar] [CrossRef]
- Sudret, B. Global sensitivity analysis using polynomial chaos expansions. Reliab. Eng. Syst. Saf. 2008, 93, 964–979. [Google Scholar] [CrossRef]
- Dhaliwal, G.; Nair, P.B.; Singh, C.V. Uncertainty analysis and estimation of robust AIREBO parameters for graphene. Carbon N. Y. 2019, 142, 300–310. [Google Scholar] [CrossRef]
- Metropolis, N.; Rosenbluth, A.W.; Rosenbluth, M.N.; Teller, A.H. Equation of State Calculations by Fast Computing Machines. J. Chem. Phys. 1953, 21, 1087–1092. [Google Scholar] [CrossRef]
- Betancourt, M. A Conceptual Introduction to Hamiltonian Monte Carlo. arXiv 2017, arXiv:1701.02434. [Google Scholar]
- Salvatier, J.; Wiecki, T.V.; Fonnesbeck, C. Probabilistic programming in Python using PyMC3. PeerJ Comput. Sci. 2016, 2016, 1–24. [Google Scholar] [CrossRef]
- Hoffman, M.D.; Gelman, A. The no-U-turn sampler: Adaptively setting path lengths in Hamiltonian Monte Carlo. J. Mach. Learn. Res. 2014, 15, 1593–1623. [Google Scholar]
- Gelman, A.; Rubin, D.B. Inference from iterative simulation using multiple sequences. Stat. Sci. 1992, 7, 457–472. [Google Scholar] [CrossRef]
- Sobol, I. Sensitivity estimates for non linear mathematical models. Math. Model. Comput. Exp. 1993, 1, 407–414. [Google Scholar] [CrossRef]
- Fisher, E.S.; Renken, C.J. Single-Crystal Moduli and the hcp → bcc Transformation in Ti, Zr and Hf. Phys. Rev. 1964, 135, 482–494. [Google Scholar] [CrossRef]
- Vérité, G.; Willaime, F.; Fu, C.C. Anisotropy of the Vacancy Migration in Ti, Zr and Hf Hexagonal Close-Packed Metals from First Principles. Solid State Phenom. 2007, 129, 75–81. [Google Scholar] [CrossRef]
- Clouet, E. Screw dislocation in zirconium: An ab initio study. Phys. Rev. B 2012, 86, 144104. [Google Scholar] [CrossRef]



| UQ | UQ | UQ | UQ | UQ Tot. | |||||||
|---|---|---|---|---|---|---|---|---|---|---|---|
| Nominal | |||||||||||
| p | 7.376 | 7.379 | 0.293 | 7.429 | 0.226 | 7.390 | 0.297 | 7.40 | 0.558 | 7.621 | 0.114 |
| q | 2.492 | 2.488 | 0.986 | 2.485 | 0.1004 | 2.494 | 0.0936 | 2.486 | 0.189 | 2.607 | 0.0402 |
| A | 0.269 | 0.269 | 0.0107 | 0.269 | 0.0108 | 0.268 | 0.0106 | 0.269 | 0.0217 | 0.273 | 0.009 |
| 2.693 | 2.690 | 0.0866 | 2.690 | 0.107 | 2.700 | 0.0982 | 2.671 | 0.205 | 2.596 | 0.057 | |
Publisher’s Note: MDPI stays neutral with regard to jurisdictional claims in published maps and institutional affiliations. |
© 2022 by the author. Licensee MDPI, Basel, Switzerland. This article is an open access article distributed under the terms and conditions of the Creative Commons Attribution (CC BY) license (https://creativecommons.org/licenses/by/4.0/).
Share and Cite
Del Masto, A.
Bulk and Point Defect Properties in α-Zr: Uncertainty Quantification on a Semi-Empirical Potential
Del Masto A.
Bulk and Point Defect Properties in α-Zr: Uncertainty Quantification on a Semi-Empirical Potential
Del Masto, Alessandra.
2022. "Bulk and Point Defect Properties in α-Zr: Uncertainty Quantification on a Semi-Empirical Potential
Del Masto, A.
(2022). Bulk and Point Defect Properties in α-Zr: Uncertainty Quantification on a Semi-Empirical Potential

