Antimicrobial Activity and Composition of Different Cultivars of Honeysuckle Berry Lonicera caerulea L. †
Abstract
:1. Introduction
2. Materials and Methods
3. Results
3.1. pH, Soluble Solids and Dry Matter Amount of Honeysuckle Berries
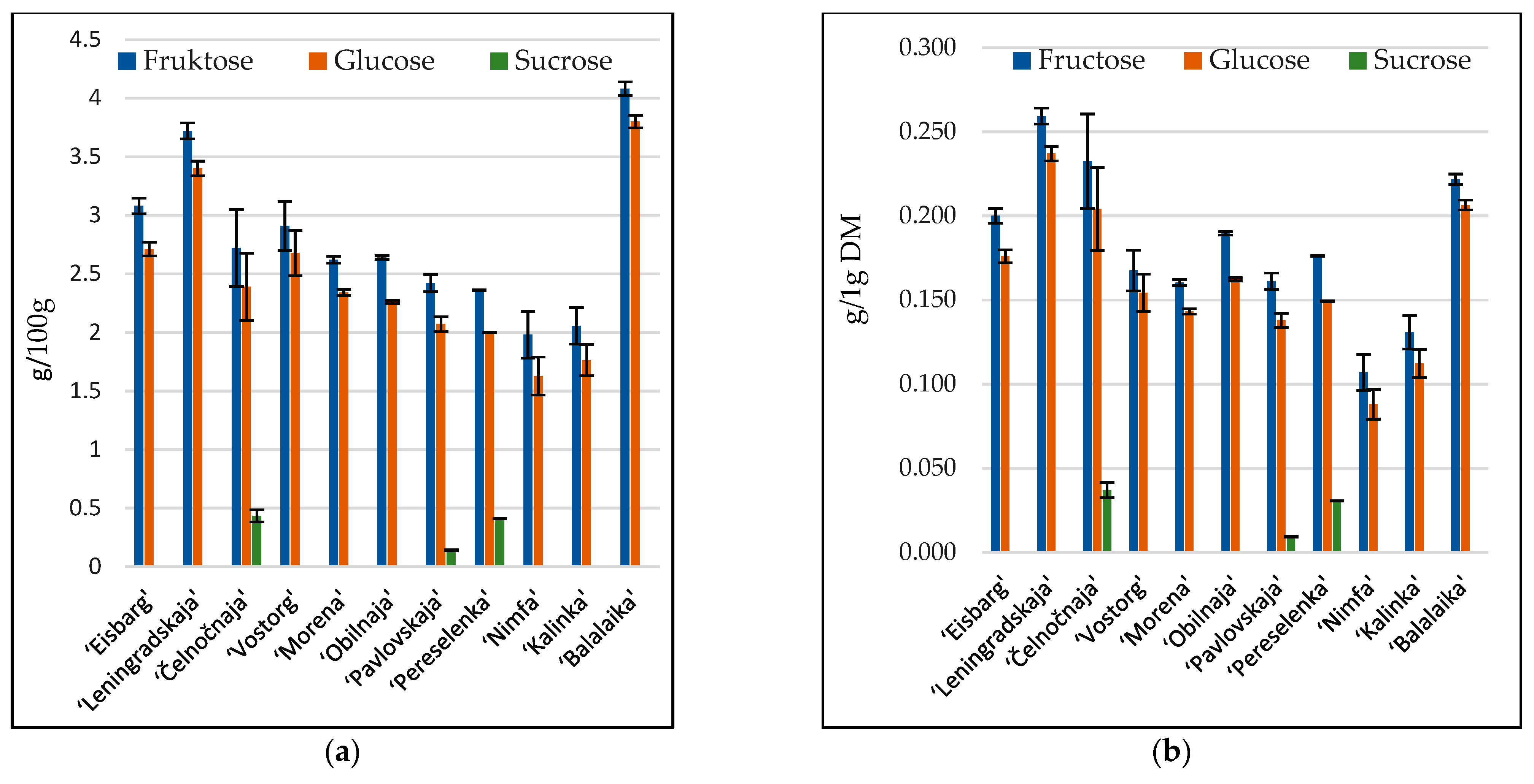
3.2. Qualitative and Quantitative Composition of Saccharides
3.3. Ascorbic Acid Content
3.4. Chromatic Properties of Honeysuckle Berries
3.5. Total Phenolic Compounds and Anthocyanins Content
3.6. Antimicrobial Activity
4. Conclusions
Supplementary Materials
Author Contributions
Institutional Review Board Statement
Informed Consent Statement
Conflicts of Interest
Abbreviations
| HPLC | High-performance liquid chromatography |
| TPC | Total phenolic compounds |
| TFA | Trifluoroacetic acid |
| ACN | Acetonitrile |
| DM | Dry matter |
References
- Auzanneau, N.; Weber, P.; Kosińska-Cagnazzo, A.; Andlauer, W. Bioactive compounds and antioxidant capacity of Lonicera caerulea berries: Comparison of seven cultivars over three harvesting years. J. Food Compos. Anal. 2018, 66, 81–89. [Google Scholar] [CrossRef] [Green Version]
- Senica, M.; Stampar, F.; Mikulic-Petkovsek, M. Blue honeysuckle (Lonicera cearulea L. subs. edulis) berry; a rich source of some nutrients and their differences among four different cultivars. Sci. Hortic. 2018, 238, 215–221. [Google Scholar] [CrossRef]
- Celli, G.B.; Ghanem, A.; Brooks, M.S.L. Haskap berries (Lonicera caerulea L.)—A critical review of antioxidant capacity and health-related studies for potential valueadded products. Food Bioprocess Technol. 2014, 7, 1541–1554. [Google Scholar] [CrossRef]
- Lila, M.A.; Burton-Freeman, B.; Grace, M.; Kalt, W. Unraveling anthocyanin bioavailability for human health. Annu. Rev. Food Sci. Technol. 2016, 7, 375–393. [Google Scholar] [CrossRef]
- Wu, S.; He, X.; Wu, X.; Qin, S.; He, J.; Zhang, S.; Hou, D.-X. Inhibitory effects of blue honeysuckle (Lonicera caerulea L.) on adjuvant-induced arthritis in rats: Crosstalk of anti-inflammatory and antioxidant effects. J. Funct. Foods 2015, 17, 514–523. [Google Scholar] [CrossRef]
- Palíková, I.; Heinrich, J.; Bednář, P.; Marhol, P.; Křen, V.; Cvak, L.; Valentová, K.; Růžička, F.; Holá, V.; Kolář, M.; et al. Constituents and antimicrobial properties of blue honeysuckle: A novel source for phenolic antioxidants. J. Agric. Food Chem. 2008, 56, 11883–11889. [Google Scholar] [CrossRef]
- Raudsepp, P.; Anton, D.; Roasto, M.; Meremäe, K.; Pedastsaar, P.; Mäesaar, M.; Raal, A.; Laikoja, K.; Püssa, T. The antioxidative and antimicrobial properties of the blue honeysuckle (Lonicera caerulea L.), Siberian rhubarb (Rheum rhaponticum L.) and some other plants, compared to ascorbic acid and sodium nitrite. Food Control 2013, 31, 129–135. [Google Scholar] [CrossRef]
- Singleton, V.L.; Orthofer, R.; Lamuela-Raventós, R.M. Analysis of total phenols and other oxidation substrates and antioxidants by means of folin-ciocalteu reagent. Methods Enzymol. 1999, 299, 152–178. [Google Scholar] [CrossRef]
- Česonienė, L.; Daubaras, R.; Jasutienė, I.; Miliauskienė, I.; Zych, M. Investigations of anthocyanins, organic acids, and sugars show great variability in nutritional and medicinal value of European cranberry (Vaccinium oxycoccos) fruit. J. Appl. Bot. Food Qual. 2015, 88, 295–299. [Google Scholar] [CrossRef]



| Cultivar | pH | TSS, °Brix | Dry Matter, % |
|---|---|---|---|
| ‘Eisbar’ | 3.13 | 12.10 ± 0.021 | 15.41 ± 0.332 |
| ‘Leningradskaya’ | 3.37 | 13.01 ± 0.021 | 14.35 ± 0.262 |
| ‘Čelnočnaja’ | 3.04 | 11.03 ± 0.007 | 11.70 ± 1.414 |
| ‘Vostorg’ | 3.17 | 11.03 ± 0.017 | 17.36 ± 1.252 |
| ‘Morena’ | 2.99 | 12.45 ± 0.044 | 16.34 ± 0.184 |
| ‘Obilnaja’ | 3.04 | 12.10 ± 0.014 | 13.93 ± 0.078 |
| ‘Pavlovskaja’ | 3.02 | 10.57 ± 0.028 | 15.03 ± 0.987 |
| ‘Pereselenka’ | 3.01 | 10.32 ± 0.028 | 13.40 ± 0.658 |
| ‘Nimfa’ | 3.14 | 10.32 ± 0.106 | 18.49 ± 1.853 |
| ‘Kalinka’ | 2.99 | 10.07 ± 0.402 | 15.72 ± 1.181 |
| ‘Balalaika’ | 3.37 | 16.09 ± 0.078 | 18.41 ± 0.262 |
| Cultivar | L* | a* | b* | C | h° |
|---|---|---|---|---|---|
| ‘Eisbar’ | 25.68 ± 0.11 | 10.23 ± 0.33 | 2.83 ± 0.09 | 10.61 ± 0.34 | 0.27 ± 0.01 |
| ‘Leningradskaya’ | 25.53 ± 0.13 | 6.85 ± 0.04 | 1.36 ± 0.06 | 6.98 ± 0.05 | 0.20 ± 0.01 |
| ‘Čelnočnaja’ | 25.76 ± 0.09 | 10.28 ± 0.03 | 3.06 ± 0.01 | 10.73 ± 0.03 | 0.29 ± 0.01 |
| ‘Vostorg’ | 24.73 ± 0.60 | 9.09 ± 0.06 | 2.34 ± 0.08 | 9.38 ± 0.04 | 0.25 ± 0.01 |
| ‘Morena’ | 23.99 ± 0.09 | 6.91 ± 0.02 | 1.39 ± 0.01 | 7.04 ± 0.02 | 0.20 ± 0.01 |
| ‘Obilnaja’ | 23.61 ± 0.76 | 8.30 ± 0.12 | 1.81 ± 0.01 | 8.49 ± 0,12 | 0.21 ± 0.01 |
| ‘Pavlovskaja’ | 25.91 ± 0.58 | 10.22 ± 0.36 | 3.15 ± 0.16 | 10.69 ± 0.39 | 0.30 ± 0.01 |
| ‘Pereselenka’ | 28.22 ± 1.01 | 13.15 ± 0,39 | 5.33 ± 0.16 | 14.18 ± 0.42 | 0.38 ± 0.00 |
| ‘Nimfa’ | 23.34 ± 1.87 | 8.58 ± 1.14 | 2.19 ± 0.29 | 8.85 ± 1.18 | 0.25 ± 0.01 |
| ‘Kalinka’ | 26.44 ± 0.13 | 8.30 ± 0.05 | 2.23 ± 0.06 | 8.59 ± 0.06 | 0.26 ± 0.01 |
| ‘Balalaika’ | 24.41 ± 0.16 | 6.79 ± 0.04 | 1.23 ± 0.06 | 6.90 ± 0.03 | 0.18 ± 0.01 |
| Cultivar | C. freundii | E. coli | E. faecalis | S. typhimurium | L. monocytogenes | S. aureus | P. aeruginosa | B. subtillis |
|---|---|---|---|---|---|---|---|---|
| ‘Eisbar’ | 0 | 8.50 ± 0.00 | 9.00 ± 0.00 | 0 | 9.00 ± 0.00 | 9.00 ± 0.00 | 9.00 ± 0.00 | 10.00 ± 0.00 |
| ‘Leningradskaya’ | 0 | 8.50 ± 0.00 | 8.75 ± 0.35 | 0 | 9.00 ± 0.00 | 9.00 ± 0.00 | 8.75 ± 0.35 | 10.50 ± 0.71 |
| ‘Čelnočnaja’ | 9.00 ± 0.00 | 8.50 ± 0.00 | 8.75 ± 0.36 | 0 | 9.00 ± 0.00 | 9.00 ± 0.00 | 9.00 ± 0.00 | 10.50 ± 0.01 |
| ‘Vostorg’ | 0 | 8.50 ± 0.00 | 8.5 ± 0.00 | 0 | 9.00 ± 0.00 | 8.50 ± 0.71 | 8.75 ± 0.35 | 10.00 ± 0.00 |
| ‘Morena’ | 9.00 ± 0.00 | 8.50 ± 0.00 | 8.5 ± 0.00 | 0 | 9.00 ± 0.00 | 8.25 ± 0.35 | 9.00 ± 0.00 | 11.00 ± 1.41 |
| ‘Obilnaja’ | 9.00 ± 0.00 | 8.75 ± 0.35 | 8.75 ± 0.35 | 0 | 9.00 ± 0.00 | 0 | 8.75 ± 0.35 | 10.50 ± 0.71 |
| ‘Pavlovskaja’ | 8.50 ± 0.00 | 8.50 ± 0.00 | 8.50 ± 0.00 | 0 | 9.00 ± 0.00 | 8.50 ± 0.71 | 8.75 ± 0.35 | 9.50 ± 0.71 |
| ‘Pereselenka’ | 9.00 ± 0.00 | 8.25 ± 0.35 | 8.25 ± 0.35 | 0 | 9.00 ± 0.00 | 8.00 ± 0.00 | 9.00 ± 0.00 | 11.00 ± 1.14 |
| ‘Nimfa’ | 9.00 ± 0.00 | 8.75 ± 0.35 | 8.75 ± 0.35 | 0 | 10.00 ± 0.00 | 9.00 ± 0.00 | 8.50 ± 0.71 | 11.00 ± 0.00 |
| ‘Kalinka’ | 8.50 ± 0.00 | 8.50 ± 0.00 | 8.50 ± 0.00 | 9.00 ± 0.00 | 8.50 ± 0.71 | 8.00 ± 0.00 | 8.25 ± 0.35 | 10.50 ± 2.12 |
| ‘Balalaika’ | 8.50 ± 0.00 | 0 | 8.50 ± 0.00 | 8.50 ± 0.00 | 9.00 ± 0.00 | 8.25 ± 0.35 | 8.75 ± 0.35 | 10.00 ± 0.00 |
| Cultivar | C. freundii | E. coli | E. faecalis | S. typhimurium | L. monocytogenes | S. aureus | P. aeruginosa | B. subtillis |
|---|---|---|---|---|---|---|---|---|
| ‘Eisbar’ | 14.00 ± 0.00 | 0 | 13.67 ± 0.58 | 14.00 ± 0.00 | 11.00 ± 0.00 | 14.33 ± 0.57 | 10.00 ± 0.000 | 10.00 ± 0.000 |
| ‘Leningradskaya’ | 15.00 ± 1.00 | 0 | 14.00 ± 0.00 | 12.67 ± 0.58 | 13.00 ± 0.00 | 13.33 ± 0.57 | 10.00 ± 0.00 | 11.33 ± 0.58 |
| ‘Čelnočnaja’ | 15.33 ± 0.58 | 13.67 ± 0.57 | 15.00 ± 0.00 | 15.00 ± 0.00 | 14.00 ± 0.00 | 15.00 ± 0.00 | 9.00 ± 0.00 | 13.00 ± 0.00 |
| ‘Vostorg’ | 13.67 ± 0.58 | 11.67 ± 0.58 | 13.33 ± 0.58 | 14.00 ± 0.00 | 14.00 ± 1.00 | 12.67 ± 1.53 | 9.33 ± 0.58 | 11.33 ± 0.58 |
| ‘Morena’ | 13.00 ± 0.00 | 10.33 ± 0.58 | 14.33 ± 0.58 | 15.67 ± 0.58 | 9.33 ± 0.58 | 13.00 ± 0.00 | 9.00 ± 0.00 | 10.00 ± 0.00 |
| ‘Obilnaja’ | 17.00 ± 0.00 | 13.00 ± 0.00 | 15.00 ± 0.00 | 14.67 ± 0.58 | 13.67 ± 0.58 | 15.33 ± 1.16 | 10.33 ± 0.58 | 11.00 ± 0.00 |
| ‘Pavlovskaja’ | 15.67 ± 0.58 | 14.00 ± 0.00 | 12.33 ± 0.58 | 16.67 ± 1.16 | 12.67 ± 0.58 | 14.33 ± 0.58 | 10.67 ± 0.58 | 9.00 ± 0.00 |
| ‘Pereselenka’ | 16.00 ± 0.00 | 9.33 ± 0.58 | 13.00 ± 0.00 | 14.00 ± 0.00 | 12.00 ± 0.00 | 12.00 ± 0.00 | 9.33 ± 0.58 | 10.67 ± 0.58 |
| ‘Nimfa’ | 9.33 ± 0.58 | 9.00 ± 0.00 | 13.00 ± 0.00 | 14.33 ± 0.58 | 11.33 ± 1.15 | 14.67 ± 0.58 | 9.33 ± 0.58 | 11.00 ± 0.00 |
| ‘Kalinka’ | 12.33 ± 1.53 | 13.67 ± 1.53 | 13.00 ± 0.00 | 16.00 ± 0.00 | 12.00 ± 0.00 | 16.00 ± 0.00 | 10.00 ± 1.00 | 11.00 ± 0.00 |
| ‘Balalaika’ | 16.33 ± 1.16 | 9.00 ± 0.00 | 13.00 ± 0.00 | 15.00 ± 0.00 | 9.33 ± 0.58 | 14.00 ± 0.00 | 9.00 ± 0.00 | 9.33 ± 0.58 |
| Ethanol | 0 | 0 | 0 | 0 | 0 | 0 | 0 | 0 |
Publisher’s Note: MDPI stays neutral with regard to jurisdictional claims in published maps and institutional affiliations. |
© 2020 by the authors. Licensee MDPI, Basel, Switzerland. This article is an open access article distributed under the terms and conditions of the Creative Commons Attribution (CC BY) license (https://creativecommons.org/licenses/by/4.0/).
Share and Cite
Pažereckaitė, A.; Jasutienė, I.; Šarkinas, A.; Česonienė, L. Antimicrobial Activity and Composition of Different Cultivars of Honeysuckle Berry Lonicera caerulea L. Biol. Life Sci. Forum 2021, 4, 71. https://doi.org/10.3390/IECPS2020-08626
Pažereckaitė A, Jasutienė I, Šarkinas A, Česonienė L. Antimicrobial Activity and Composition of Different Cultivars of Honeysuckle Berry Lonicera caerulea L. Biology and Life Sciences Forum. 2021; 4(1):71. https://doi.org/10.3390/IECPS2020-08626
Chicago/Turabian StylePažereckaitė, Aistė, Ina Jasutienė, Antanas Šarkinas, and Laima Česonienė. 2021. "Antimicrobial Activity and Composition of Different Cultivars of Honeysuckle Berry Lonicera caerulea L." Biology and Life Sciences Forum 4, no. 1: 71. https://doi.org/10.3390/IECPS2020-08626
APA StylePažereckaitė, A., Jasutienė, I., Šarkinas, A., & Česonienė, L. (2021). Antimicrobial Activity and Composition of Different Cultivars of Honeysuckle Berry Lonicera caerulea L. Biology and Life Sciences Forum, 4(1), 71. https://doi.org/10.3390/IECPS2020-08626

