Biocontrol Activity of Actinomycetes Strains against Fungal and Bacterial Pathogens of Solanum lycopersicum L. and Daucus carota L.: In Vitro and In Planta Antagonistic Activity †
Abstract
:1. Introduction
2. Experimental Section
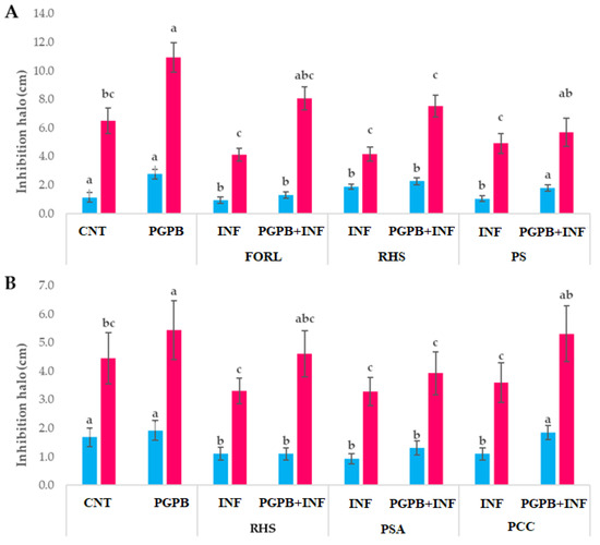
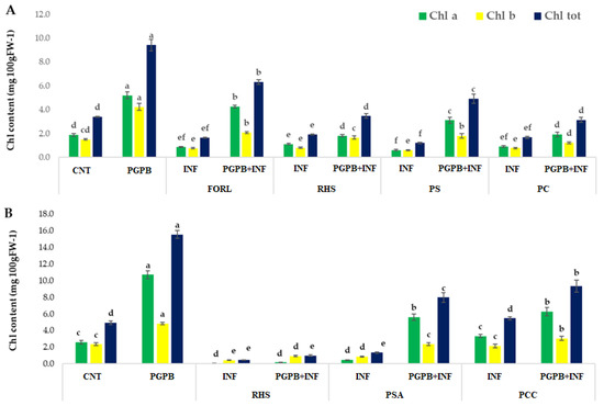
3. Results
4. Discussion
5. Conclusions
Supplementary Materials
Author Contributions
Funding
Institutional Review Board Statement
Informed Consent Statement
Acknowledgments
Conflicts of Interest
References
- Nawaz, R.; Abbasi, N.A.; Hafiz, I.A.; Khalid, A. Increasing level of abiotic and biotic stress on Kinnow fruit quality at different ecological zones in climate change scenario. Environ. Exp. Bot. 2020, 171, 103936. [Google Scholar] [CrossRef]
- Fernando, W.G.D.; Ramarathnam, R.; Krishnamoorthy, A.S.; Savchuk, S.C. Identification and use of potential bacterial organic antifungal volatiles in biocontrol. Soil Biol. Biochem. 2005, 37, 955–964. [Google Scholar] [CrossRef]
- Orio, A.G.A.; Brücher, E.; Ducasse, D.A. A strain of Bacillus subtilis subsp. subtilis shows a specific antagonistic activity against the soil-borne pathogen of onion Setophoma terrestris. Eur. J. Plant Pathol. 2016, 144, 217–223. [Google Scholar] [CrossRef]
- Chauhan, A.K.; Maheshwari, D.K.; Kim, K.; Bajpai, V.K. Termitarium-inhabiting Bacillus endophyticus TSH42 and Bacillus cereus TSH77 colonizing Curcuma longa L.: Isolation, characterization, and evaluation of their biocontrol and plant-growth-promoting activities. Can. J. Microbiol. 2016, 62, 880–892. [Google Scholar] [CrossRef] [PubMed]
- Hata, E.M.; Sijam, K.; Ahmad, Z.A.M.; Yusof, M.T.; Azman, N.A. In vitro Antimicrobial Assay of Actinomycetes in Rice Against Xanthomonas oryzae pv. oryzicola and as Potential Plant Growth Promoter. Braz. Arch. Biol. Technol. 2015, 58, 821–832. [Google Scholar] [CrossRef]
- Hasegawa, S.; Meguro, A.; Shimizu, M.; Nishimura, T.; Kunoh, H. Endophytic Actinomycetes and Their Interactions with Host Plants. Actinomycetologica 2006, 20, 72–81. [Google Scholar] [CrossRef] [Green Version]
- Pellegrini, M.; Ercole, C.; Di Zio, C.; Matteucci, F.; Pace, L.; Del Gallo, M. In vitro and in planta antagonistic effects of plant growth-promoting rhizobacteria consortium against soilborne plant pathogens of Solanum tuberosum and Solanum lycopersicum. FEMS Microbiol. Lett. 2020, 367, 99. [Google Scholar] [CrossRef] [PubMed]
- Clinical and Laboratory Standards Institute. Performance Standards for Antimicrobial Susceptibility Testing; Twenty-First Informational Supplement; CLSI: Wayne, PA, USA, 2011; Volume 31, ISBN 1562387421. [Google Scholar]
- Ansari, W.A.; Krishna, R.; Zeyad, M.T.; Singh, S.; Yadav, A. Endophytic Actinomycetes-Mediated Modulation of Defense and Systemic Resistance Confers Host Plant Fitness Under Biotic Stress Conditions. In Microbial Versatility in Varied Environments; Springer: Singapore, 2020; pp. 167–180. [Google Scholar]
- Vurukonda, S.S.K.P.; Giovanardi, D.; Stefani, E. Plant Growth Promoting and Biocontrol Activity of Streptomyces spp. as Endophytes. Int. J. Mol. Sci. 2018, 19, 952. [Google Scholar] [CrossRef] [PubMed] [Green Version]
- Djebaili, R.; Pellegrini, M.; Smati, M.; Del Gallo, M.; Kitouni, M. Actinomycete Strains Isolated from Saline Soils: Plant-Growth-Promoting Traits and Inoculation Effects on Solanum lycopersicum. Sustainability 2020, 12, 4617. [Google Scholar] [CrossRef]



| Pathogenic Strains | D14 | G10 | G22 | G33 | H12 | H14 | J4 | J13 | J21 | J27 | K12 | K23 | S2 | T45 |
|---|---|---|---|---|---|---|---|---|---|---|---|---|---|---|
| FORL | - | ++ | - | - | ++ | ++ | - | + | - | - | - | - | - | ++ |
| RHS | ++ | - | ++ | ++ | ++ | ++ | - | + | - | - | - | - | ++ | ++ |
| P. corrugata | - | ++ | - | ++ | ++ | ++ | - | ++ | - | - | - | ++ | - | |
| P. carotovorum | - | ++ | - | ++ | + | - | - | ++ | + | - | - | - | - |
Publisher’s Note: MDPI stays neutral with regard to jurisdictional claims in published maps and institutional affiliations. |
© 2020 by the authors. Licensee MDPI, Basel, Switzerland. This article is an open access article distributed under the terms and conditions of the Creative Commons Attribution (CC BY) license (https://creativecommons.org/licenses/by/4.0/).
Share and Cite
Djebaili, R.; Pellegrini, M.; Bernardi, M.; Smati, M.; Kitouni, M.; Del Gallo, M. Biocontrol Activity of Actinomycetes Strains against Fungal and Bacterial Pathogens of Solanum lycopersicum L. and Daucus carota L.: In Vitro and In Planta Antagonistic Activity. Biol. Life Sci. Forum 2021, 4, 27. https://doi.org/10.3390/IECPS2020-08863
Djebaili R, Pellegrini M, Bernardi M, Smati M, Kitouni M, Del Gallo M. Biocontrol Activity of Actinomycetes Strains against Fungal and Bacterial Pathogens of Solanum lycopersicum L. and Daucus carota L.: In Vitro and In Planta Antagonistic Activity. Biology and Life Sciences Forum. 2021; 4(1):27. https://doi.org/10.3390/IECPS2020-08863
Chicago/Turabian StyleDjebaili, Rihab, Marika Pellegrini, Matteo Bernardi, Maria Smati, Mahmoud Kitouni, and Maddalena Del Gallo. 2021. "Biocontrol Activity of Actinomycetes Strains against Fungal and Bacterial Pathogens of Solanum lycopersicum L. and Daucus carota L.: In Vitro and In Planta Antagonistic Activity" Biology and Life Sciences Forum 4, no. 1: 27. https://doi.org/10.3390/IECPS2020-08863
APA StyleDjebaili, R., Pellegrini, M., Bernardi, M., Smati, M., Kitouni, M., & Del Gallo, M. (2021). Biocontrol Activity of Actinomycetes Strains against Fungal and Bacterial Pathogens of Solanum lycopersicum L. and Daucus carota L.: In Vitro and In Planta Antagonistic Activity. Biology and Life Sciences Forum, 4(1), 27. https://doi.org/10.3390/IECPS2020-08863

