Effects of Sand Addition to Heavy Saline-Alkali Soil on the Infiltration and Salt Leaching in Hetao Irrigation District, China †
Abstract
1. Introduction
2. Materials and Methods
3. Results
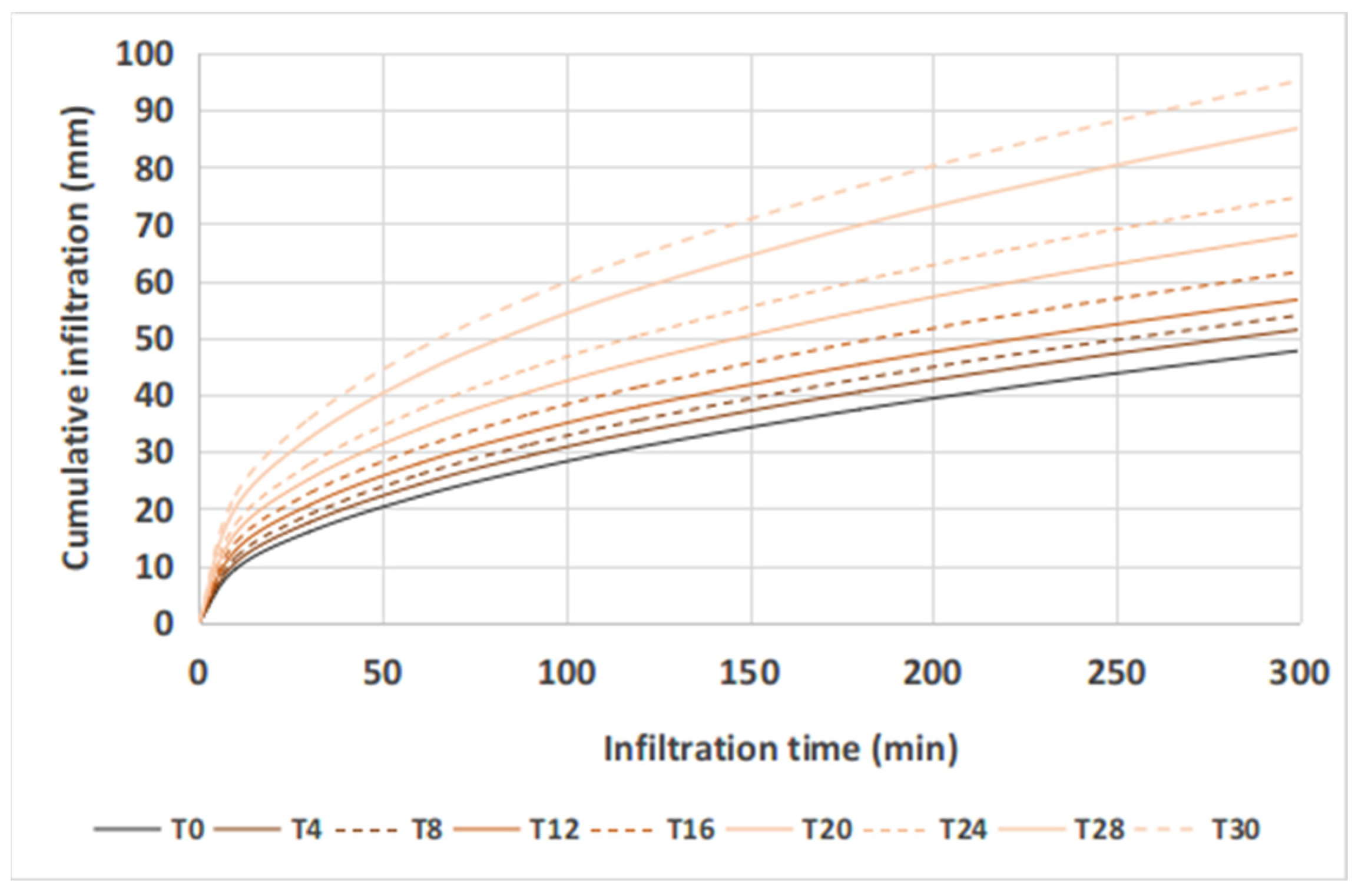
3.1. Effects of Added Sand on Soil Infiltration
3.2. Effects of Added Sand on Salt Leaching
4. Discussion and Conclusions
Supplementary Materials
Author Contributions
Funding
Institutional Review Board Statement
Informed Consent Statement
Data Availability Statement
Conflicts of Interest
References
- Tanji, K.K.; Kielen, C.N. Agricultural Drainage Water Management in Arid and Semi-Arid Areas; FAO Irrigation and Drainage; Food & Agriculture Org.: Rome, Italy, 2002; Paper 61; ISBN 9251048398. [Google Scholar]
- Mathur, O.P.; Mathur, S.K.; Talati, N.R. Effect of addition of sand and gypsum to fine-textured salt-affected soils on the yield of cotton and jower (Sorghum) under Rajasthan Canal Command Area conditions. Plant Soil 1983, 74, 61–65. [Google Scholar] [CrossRef]
- Qian, Y.L.; Koski, A.J.; Welton, R. Amending sand with isolite under saline conditions: Leachate composition and salt deposition. HortScience 2001, 36, 717–720. [Google Scholar] [CrossRef]
- Al-Qahtani, M.R.A. Effect of addition of sand and soil amendments to loam and brick grit media on the growth of two turf grass species (Lolium perenne and Festuca rubra). J. Appl. Sci. 2009, 9, 2485–2489. [Google Scholar] [CrossRef][Green Version]
- Li, W.; Li, X.; Li, H.; Yang, Y.; Lei, K.; Yao, X. Effects on micro-ecological characteristics in clayey soil of tobacco area under different sand adding proportions. J. Northwest Agric. For. 2012, 40, 85–96, (In Chinese with English abstract). [Google Scholar]
- Rahayu, R.; Mo, Y.G.; Soo, C.J. Amendments on Salinity and Water Retention of Sand Base Rootzone and Turfgrass Yield. Sains Tanah-J. Soil Sci. Agroclimatol. 2019, 16, 103–111. [Google Scholar] [CrossRef][Green Version]
- Riquan, S.; Guixin, C.; Jun, Y.; Bai, L.; Ruixi, Z.; Jingsong, Y. Effects of surface soil mixed with sand on water infiltration and evaporation in laboratory. Trans. Chin. Soc. Agric. Eng. 2010, 26, 109–114, (In Chinese with English abstract). [Google Scholar] [CrossRef]
- Qu, Z.; Yang, X.; Huang, Y. Analysis and assessment of water-saving project of Hetao Irrigation District in Inner Mongolia. Trans. Chin. Soc. Agric. Mach. 2015, 46, 70–76. [Google Scholar]
- Jing, H. Effects of Straw Mulching Straw of Different Cadmium Accumulate Characteristics on Nutrient Absorption and Cadmium Accumulation of Cyphomandra Betacea Seedlings; Sichuan Agricultural University: Yaan, China, 2017. [Google Scholar]
- Yin, B.Z.; Zhen, W.C.; Guo, L.G. The soil ecological-environment characteristics in wheat growing season under different tillage treatments in Haihe Lowland Plain. J. Soil Water Conserv. 2015, 29, 186–194. [Google Scholar]
- Miao, Q.; Gonçalves, J.M.; Li, R.; Gonçalves, D.; Levita, T.; Shi, H. Assessment of Precise Land Levelling on Surface Irrigation Development. Impacts on Maize Water Productivity and Economics. Sustainability 2021, 13, 1191. [Google Scholar] [CrossRef]
- Rhoades, J.D.; Chanduvi, F.; Lesch, S. Soil Salinity Assessment. Methods and Interpretation of Electrical Conductivity Measurements; FAO Irrigation and Drainage; Food & Agriculture Org.: Rome, Italy, 1999; Paper 57. [Google Scholar]
- Gangshuan, B.; Sheni, D.; Jian, Y.; Peiqi, Z. Laser land leveling improve distribution of soil moisture and soil salinity and enhance spring wheat yield. Trans. Chin. Soc. Agric. Eng. 2013, 29, 125–134, (In Chinese with English abstract). [Google Scholar]
- Säuricha, A.; Tiemeyera, B.; Dettmanna, U.; Don, A. How do sand addition, soil moisture and nutrient status influence greenhouse gas fluxes from drained organic soils? Soil Biol. Biochem. 2019, 135, 71–84. [Google Scholar] [CrossRef]
- Shi, H.; Yang, S.; Li, R.; Li, X.; Li, W.; Yan, J.; Miao, Q.; Li, Z. Soil Water and Salt Movement and Soil Salinization Control in Hetao Irrigation District: Current State and Future Prospect. J. Irrig. Drain. 2020, 39, 1–17. [Google Scholar]
- Miao, Q.; Shi, H.; Gonçalves, J.M.; Pereira, L.S. Basin Irrigation Design with Multi-Criteria Analysis Focusing on Water Saving and Economic Returns: Application to Wheat in Hetao, Yellow River Basin. Water 2018, 10, 67. [Google Scholar] [CrossRef]





| Soil Layer (cm) | Particle Composition (%) | Texture | Bulk Density (g·cm−3) | Field Capacity (cm3·cm−3) | Saturation Capacity (cm3·cm−3) | Salinity Content (g·kg−1) | ||
|---|---|---|---|---|---|---|---|---|
| Sand | Silt | Clay | ||||||
| 0–20 | 26.33 | 60.50 | 13.17 | silty loam | 1.51 | 0.24 | 38 | 23.60 |
| 20–40 | 32.32 | 45.39 | 22.29 | silty loam | 1.49 | 0.25 | 39 | 18.43 |
| Time (min) | T0 | T4 | T8 | T12 | T16 | T20 | T24 | T28 | T30 |
|---|---|---|---|---|---|---|---|---|---|
| 10 | 27 | 29 | 31 | 33 | 37 | 41 | 45 | 52 | 57 |
| 30 | 15 | 16 | 17 | 18 | 20 | 22 | 24 | 28 | 30 |
| 60 | 11 | 11 | 12 | 12 | 13 | 15 | 16 | 19 | 20 |
| 180 | 6 | 6 | 6 | 7 | 7 | 8 | 9 | 10 | 11 |
| 300 | 5 | 5 | 5 | 5 | 5 | 6 | 6 | 7 | 8 |
Publisher’s Note: MDPI stays neutral with regard to jurisdictional claims in published maps and institutional affiliations. |
© 2021 by the authors. Licensee MDPI, Basel, Switzerland. This article is an open access article distributed under the terms and conditions of the Creative Commons Attribution (CC BY) license (https://creativecommons.org/licenses/by/4.0/).
Share and Cite
Miao, Q.; Zhou, L.; Gonçalves, J.M.; Duarte, I.M.; Li, R.; Shi, H. Effects of Sand Addition to Heavy Saline-Alkali Soil on the Infiltration and Salt Leaching in Hetao Irrigation District, China. Biol. Life Sci. Forum 2021, 3, 33. https://doi.org/10.3390/IECAG2021-10156
Miao Q, Zhou L, Gonçalves JM, Duarte IM, Li R, Shi H. Effects of Sand Addition to Heavy Saline-Alkali Soil on the Infiltration and Salt Leaching in Hetao Irrigation District, China. Biology and Life Sciences Forum. 2021; 3(1):33. https://doi.org/10.3390/IECAG2021-10156
Chicago/Turabian StyleMiao, Qingfeng, Liying Zhou, José Manuel Gonçalves, Isabel Maria Duarte, Ruiping Li, and Haibin Shi. 2021. "Effects of Sand Addition to Heavy Saline-Alkali Soil on the Infiltration and Salt Leaching in Hetao Irrigation District, China" Biology and Life Sciences Forum 3, no. 1: 33. https://doi.org/10.3390/IECAG2021-10156
APA StyleMiao, Q., Zhou, L., Gonçalves, J. M., Duarte, I. M., Li, R., & Shi, H. (2021). Effects of Sand Addition to Heavy Saline-Alkali Soil on the Infiltration and Salt Leaching in Hetao Irrigation District, China. Biology and Life Sciences Forum, 3(1), 33. https://doi.org/10.3390/IECAG2021-10156

