Abstract
The aim of this study was to compare ultrasound-assisted extraction (USAE) with probe (USAE-P) and USAE with bath (USAE-B), using different solvents (ethanol:water), on the extraction of total phenolic compounds (TPC) from tomato pomace and lemon peel by-products. The TPC after USAE with probe ranged from 1.2- to 3.1-fold and from 1.1- to 2.0-fold more than USAE with a bath in tomato and lemon by-products, respectively. The solvent with the highest extraction of TPC from tomato pomace was 100% ethanol (between 1.2- and 2.6-fold more than the other solvents) while the best solvent in lemon peel was 100% water (between 1.1- and 2.0-fold more). USAE with probe demonstrated to be a clean, efficient, and a green technology for the extraction of TPC from tomato and citrus by-products.
1. Introduction
During the food chain, food by-products/waste are generated, which are important sources of bioactive compounds. Depending on the stage of production, they are referred to as “food loss” (generated in a process carried out in the agri-food industry) or “food waste” [1]. Tomato pomace consists of high amounts of tomato peels and seeds, which are currently used for animal feed and fertilizers [2]. The lycopene content in tomato peel contains at least 2- and 4-fold more than industrial waste and whole tomatoes, respectively [3]. On the other hand, after squeezing lemon fruits, depending on the cultivar, between 55 and 72% of the lemon is wasted, consisting of peel, albedo, and seeds. Citrus pomace presents 2.5–4 times higher Folin–Ciocalteu reducing capacity values (connected with the amounts of phenolic compounds and ascorbic acid) compared to pulps [4]. Functional and techno-functional bioactive compounds extracted from tomato and lemon by-products, such as carotenoids, flavonoids, phenolic compounds, and vitamins, are of interest for their potential uses for food and in the pharmaceutical industry.
According to the extraction procedure used to obtain such functional ingredients, the selection of solvent should be based on the nature of the bioactive compound being focused on. Solvents catalogued as green should be selected for the revalorization of fruit and vegetable by-products, although the recovery of the specific bioactive compounds is not the highest. The minimal or zero usage of organic solvents has acquired great importance [5]. Among the green extraction techniques for bioactive compounds, ultrasound-assisted extraction (USAE) has emerged as a promising method to revalorize food by-products. Among the different parameters influencing the ultrasound (US) technology, we are focused on the type of equipment: probe and bath. One of the main differences between both types is that a US with a probe is submerged directly into the solution, while in a US with a bath, the vessel container is immersed. Also, it is important to take the intensity into account, which is higher in the US with probe than the US with bath. In a US probe, the maximum power is the nominal power, while in a US bath, the nominal power is the minimum that can be increased due to the modulators [6].
Therefore, the aim of this study was to compare a USAE with probe and USAE with bath, using different solvents (50:50, 100:0, and 0:100 of ethanol:water), on the extraction of total phenolic compounds (TPC) from tomato pomace and lemon peel by-products.
2. Materials and Methods
2.1. Tomato/Lemon By-Products’ Ultrasound-Assisted Extraction (USAE)
Valkirias tomato by-products after obtaining grated tomato were obtained from the Bonnysa Group (Alicante, Spain). Fino lemons were provided by Toñifruit company (Murcia, Spain). Drying and grinding pre-treatments were carried out to obtain a stable and homogeneous raw material. Samples were freeze-dried using a Telstar® LyoBeta (Terrassa, Spain). In this study, USAE with bath (USAE-B) was carried out by a Sonorex® Digiplus DL 514 BH US bath (Berlin, Germany) with a capacity of 18.7 L, using a power of 720 W, at a frequency of 35 kHz at set temperature. For the USAE with probe (USAE-P), the extraction was carried out using a sonicator with probe (387 × 203 × 216 mm) (Fisherbrand™ Q705, Madrid, Spain). During the extraction, the fixed variables were: (i) particle size (<56 µm), (ii) drying method (freeze-drying), (iii) solid:liquid ratio (1:25), (iv) temperature (50 °C), and (v) time (13 min), while the continuous variable was solvent: 50:50 ethanol:water; 100 ethanol; and 100 water (Table 1). Once the sample extraction was completed, they were centrifugated to separate the solid from the extract. The extracts were stored at −80 °C until analysis.
Table 1.
Experimental design and variables used in the USAE of tomato and lemon by-products.
2.2. Total Polyphenolic Content
The determination of TPC was carried out according to the method described by Singleton and Rossi [7] with some modifications by Martínez-Zamora et al. [8]. The TPC was calculated using a gallic acid standard and expressed as g of gallic acid equivalent per kg of dried weight (g GAE/kg dw).
2.3. Statistics
Box plot using XLSTAT Premium 2016 (Addingsoft, Barcelona, Spain) was conducted. A one-way ANOVA test using “sample” (n = 6 samples: 3 solvents × 2 USAE type) for each by-product was also conducted. Tukey’s test was used for means’ comparison (95% confidence level).
3. Result and Discussion
3.1. Total Polyphenolic Content of Tomato and Lemon By-Products
The TPC extraction achieved via USAE in tomato by-products and lemon by-products is shown in Figure 1. In terms of descriptive statistics, the box plot method presents the minimum/maximum value (blue dots), 1st quartile (upper limit of the box), 3rd quartile (lower limit of the box), median (parallel line between 1st and 3rd quartile), and average (red cross). In the case of tomato by-products (Figure 1, left), the minimum and maximum values were 332.6 mg TPC/kg dw and 1248.6 mg TPC/kg dw, respectively, the 1st quartile was 642.4 mg TPC/kg dw, the 3rd quartile was 1000.6 mg TPC/kg dw, the median was 810.1 mg TPC/kg dw, and the average was 808.9 mg TPC/kg dw. For lemon peel by-products (Figure 1, right), the minimum and maximum values were 2398.8 mg TPC/kg dw and 5485.4 mg TPC/kg dw, respectively, the 1st quartile was 3564.5 mg TPC/kg dw, the 3rd quartile was 4836.4 mg TPC/kg dw, the median was 4475.4 mg TPC/kg dw, and the average was 4175.4 mg TPC/kg dw.
Figure 1.
Box plot of the total polyphenolic content of tomato (left) and lemon (right) extracts before USAE.
Therefore, it can be observed that lemon by-product extracts presented between 2- and 5-fold more TPC than tomato by-products. Apart from providing a source of phenolic compounds in tomato pomace, other non-phenolic compounds, such as saturated and unsaturated fatty acids, and carotenoids, were previously detected, and those compounds have excellent redox properties in tomato [9] and lemon [10].
3.2. Ultrasound-Assisted Extraction with Probe vs. with Bath
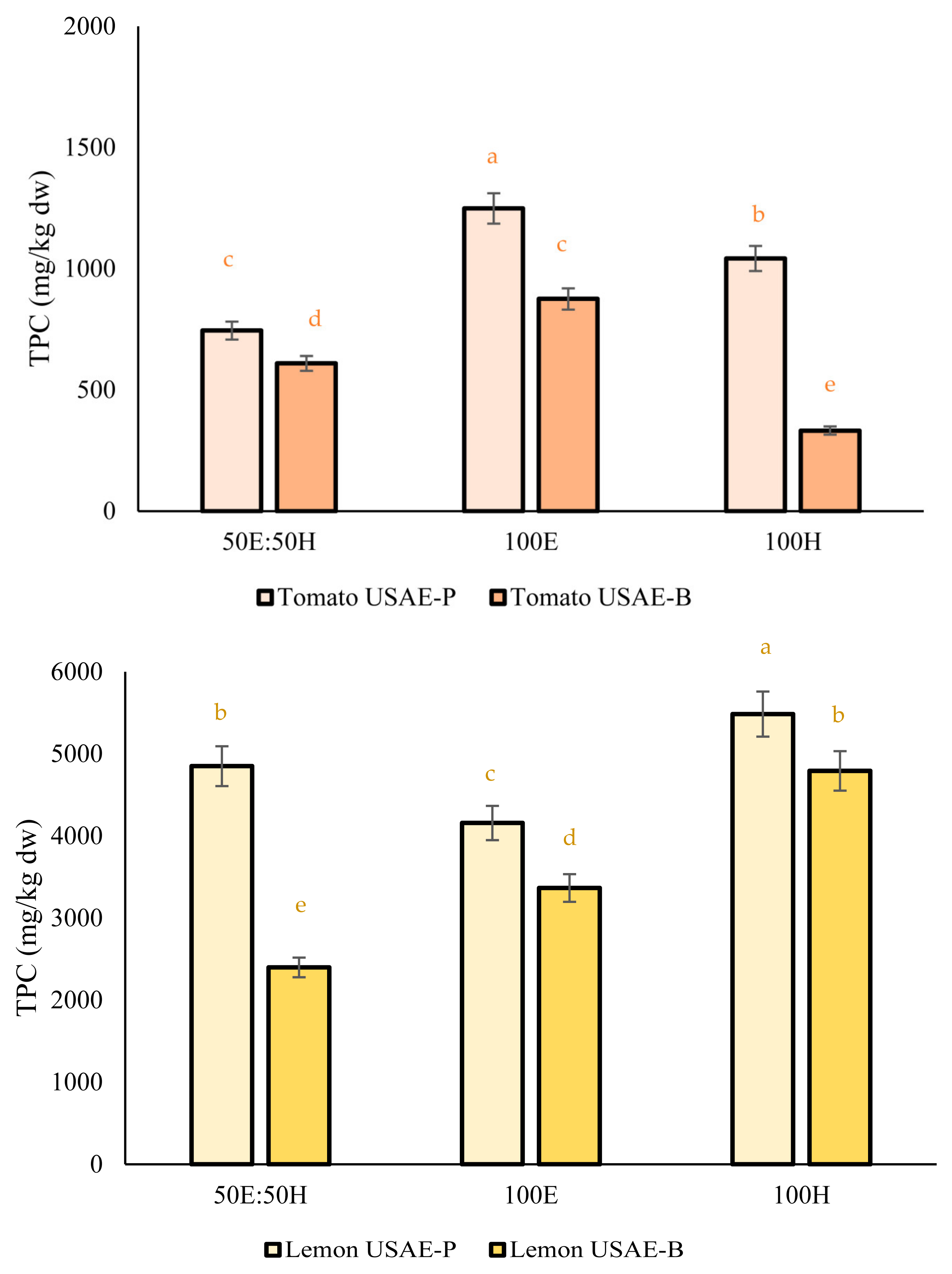
The effect of the solvent and type of US equipment on the TPC extraction in tomato and lemon by-products is shown in Figure 2. Focusing on the effect of the solvent, significant differences were observed among the studied solvents in both tomato and lemon by-products. The solvent with the highest extraction of TPC from tomato pomace was 100% ethanol (between 1.2- and 2.6-fold more than the other solvents) while the best solvent in lemon peel was 100% water (between 1.1- and 2.0-fold more), as shown by previous authors [11,12]. In the case of lemon, the best results were shown with water as a solvent. It is essential to mention that there are other solvents with a higher capacity to extract key bioactive compounds, but these are not catalogued as green solvents.
Figure 2.
Total polyphenolic content of tomato (upper graph) and lemon (graph below) extracts after ultrasound-assisted extraction with probe (USAE-P) and with bath (USAE-B). Different letters in bars (a–e) denotes significant differences among USAE treatments and solvents (p < 0.05).
A comparison between USAE-P and USAE-B, TPC after USAE-P showed results ranging from 1.2- to 3.1-fold and from 1.1- to 2.0-fold more than USAE-B in tomato and lemon by-products, respectively. The novelty of this research is that, for the first time, the extraction of polyphenolic content via USAE-B is compared with the extraction via USAE-P under the effect of the same variables.
These results can be justified by the polarity, the nature, and the origin of the bio compounds that were extracted, as well as the means of USAE application. In this sense, previous authors have shown that the effectiveness of US when applied directly to the extract using a probe, instead of in a bath in which a bottle with the extract is situated, is exponentially increased. In fact, the intensity of the distribution is heterogeneous in the bath; when using a probe, the intensity is homogenous throughout the extract for the recovery and purification of bioactive compounds. Specifically in tomato, the USAE-P has shown to be more effective for the extraction of lycopene [11,12], as well as when using lemon by-products for the extraction of phenolics [10,13].
4. Conclusions
In general, it can be concluded that the type of solvent and food by-product influenced the extraction of TPC, which was higher in lemon by-products than in tomato by-products. Ultrasound-assisted extraction was demonstrated to be a clean, efficient, and a green alternative for the extraction of TPC and bioactive compounds with total antioxidant capacity. USAE-P was a better tool for the solid–liquid extraction of bioactive compounds than USAE-B. Aqueous and ethanolic US extractions are green ways of recovering TPC for lemon and tomato by-products, respectively. This research is framed within the number 12 goal (responsible consumption and production) of the 2030 Agenda for Sustainable Development.
Author Contributions
Conceptualization, F.A.-H., M.C.-L. and L.M.-Z.; methodology, formal analysis, investigation, L.M., M.C.-L., R.Z. and L.M.-Z.; resources, F.A.-H.; data curation, L.M., R.Z., M.C.-L. and L.M.-Z.; writing—original draft preparation, M.C.-L. and L.M.-Z.; writing—review and editing, F.A.-H.; visualization, L.M., M.C.-L., L.M.-Z., R.Z. and F.A.-H.; supervision, F.A.-H.; project administration F.A.-H.; funding acquisition, F.A.-H. All authors have read and agreed to the published version of the manuscript.
Funding
Project PID2021-123857OB-I00 financed by the Spanish Ministry of Science and Innovation, the Spanish State Research Agency/10.13039/501100011033/and FEDER. This work has also been financed by the Autonomous Community of the Region of Murcia through the Seneca Foundation and the European program NextGenerationEU throughout the Agroalnext project.
Institutional Review Board Statement
Not applicable.
Informed Consent Statement
Not applicable.
Data Availability Statement
Data sharing is not applicable to this article.
Acknowledgments
L.M.-Z. contract has been financed by the Program for the Re-qualification of the Spanish University System funded by the EU NextGeneration, Margarita Salas modality, by the University of Murcia. The M.C.-L. contract has been co-financed by Juan de la Cierva-Formación (FJC2020-043764-I) from the Spanish Ministry of Education.
Conflicts of Interest
The authors declare no conflict of interest.
References
- FAO. Food Loss and Waste Database. 2022. Available online: https://www.fao.org/platform-food-loss-waste/flw-data/en/ (accessed on 20 July 2022).
- Strati, I.F.; Oreopoulou, V. Recovery of Carotenoids from Tomato Processing By-Products—A Review. Food Res. Int. 2014, 65, 311–321. [Google Scholar] [CrossRef]
- Kalogeropoulos, N.; Chiou, A.; Pyriochou, V.; Peristeraki, A.; Karathanos, V.T. Bioactive Phytochemicals in Industrial Tomatoes and Their Processing Byproducts. LWT—Food Sci. Technol. 2012, 49, 213–216. [Google Scholar] [CrossRef]
- Singh, B.; Singh, J.P.; Kaur, A.; Singh, N. Phenolic Composition, Antioxidant Potential and Health Benefits of Citrus Peel. Food Res. Int. 2020, 132, 109114. [Google Scholar] [CrossRef] [PubMed]
- Suri, S.; Singh, A.; Nema, P.K. Current Applications of Citrus Fruit Processing Waste: A Scientific Outlook. Appl. Food Res. 2022, 2, 100050. [Google Scholar] [CrossRef]
- Cano-Lamadrid, M.; Martínez-Zamora, L.; Castillejo, N.; Artés-Hernández, F. From Pomegranate Byproducts Waste to Worth: A Review of Extraction Techniques and Potential Applications for Their Revalorization. Foods 2022, 11, 2596. [Google Scholar] [CrossRef] [PubMed]
- Singleton, V.L.; Rossi, J.A., Jr. Colorimetry of Total Phenolics with Phosphomolybdic-Phosphotungstic Acid Reagents. Am. J. Enol. Vitic. 1965, 16, 144–158. [Google Scholar] [CrossRef]
- Martínez-Zamora, L.; Castillejo, N.; Artés–Hernández, F. UV-B Radiation as Abiotic Elicitor to Enhance Phytochemicals and Development of Red Cabbage Sprouts. Horticulturae 2021, 7, 567. [Google Scholar] [CrossRef]
- Vorobyova, V.; Skiba, M.; Vasyliev, G. Extraction of Phenolic Compounds from Tomato Pomace Using Choline Chloride–Based Deep Eutectic Solvents. J. Food Meas. Charact. 2022, 16, 1087–1104. [Google Scholar] [CrossRef]
- Papoutsis, K.; Pristijono, P.; Golding, J.B.; Stathopoulos, C.E.; Bowyer, M.C.; Scarlett, C.J.; Vuong, Q.V. Optimizing a Sustainable Ultrasound-Assisted Extraction Method for the Recovery of Polyphenols from Lemon by-Products: Comparison with Hot Water and Organic Solvent Extractions. Eur. Food Res. Technol. 2018, 244, 1353–1365. [Google Scholar] [CrossRef]
- Sharmin, T.; Ahmed, N.; Hossain, A.; Hosain, M.M.; Mondal, S.C.; Haque, M.R.; Almas, M.; Siddik, M.A. Extraction of Bioactive Compound from Some Fruits and Vegetables (Pomegranate Peel, Carrot and Tomato). Am. J. Food Nutr. 2016, 4, 8–19. [Google Scholar] [CrossRef]
- Ajlouni, S.; Premier, R.; Tow, W.W. Improving Extraction of Lycopene from Tomato Waste By-Products Using Ultrasonication and Freeze Drying. World J. Adv. Res. Rev. 2020, 2020, 2581–9615. [Google Scholar] [CrossRef]
- Durmus, N.; Kilic-Akyilmaz, M. Bioactivity of Non-Extractable Phenolics from Lemon Peel Obtained by Enzyme and Ultrasound Assisted Extractions. Food Biosci. 2023, 53, 102571. [Google Scholar] [CrossRef]
Disclaimer/Publisher’s Note: The statements, opinions and data contained in all publications are solely those of the individual author(s) and contributor(s) and not of MDPI and/or the editor(s). MDPI and/or the editor(s) disclaim responsibility for any injury to people or property resulting from any ideas, methods, instructions or products referred to in the content. |
© 2023 by the authors. Licensee MDPI, Basel, Switzerland. This article is an open access article distributed under the terms and conditions of the Creative Commons Attribution (CC BY) license (https://creativecommons.org/licenses/by/4.0/).

