Comparative Study of Monte Carlo Simulation and the Deterministic Model to Analyze Thermal Insulation Costs
Abstract
1. Introduction
2. Materials and Methods
2.1. Energy Prices and Building Materials
2.2. Heating Load
2.3. Optimization of Insulation Thickness
2.4. Deterministic Analyses
2.5. Stochastic Analysis
- Step 0: Select the life cycle of the building in years (10, 20, 50, or 70).
- Step 1: Choose typical wall and insulation materials, along with their respective thermal characteristics.
- Step 2: Select economic data, inlcuding rates of interest and inflation, number, the current price of the used fuel, and the average of the degree days given by the normal distribution. (This generates optimal thickness insulation, and optimal cost, , given by Equations (8) and (7), respectively.)
- Step 3: Generate random degree days using the normal distribution required for each different year selected in Step 0.
- Step 4: Note that fuel prices were inflated throughout the analysis period.
- Step 5: Calculate the energy cost for each year using Equation (4) (using the optimal thickness determined in Step 2).
- Step 6: Note that costs used for heating in each year were based on the present value.
- Step 7: Conduct a simulation using 1000 replicas to generate a random sample of net present value costs.
- Step 8: Calculate the risk that the random variable representing the net present value of cost exceeds the value (.
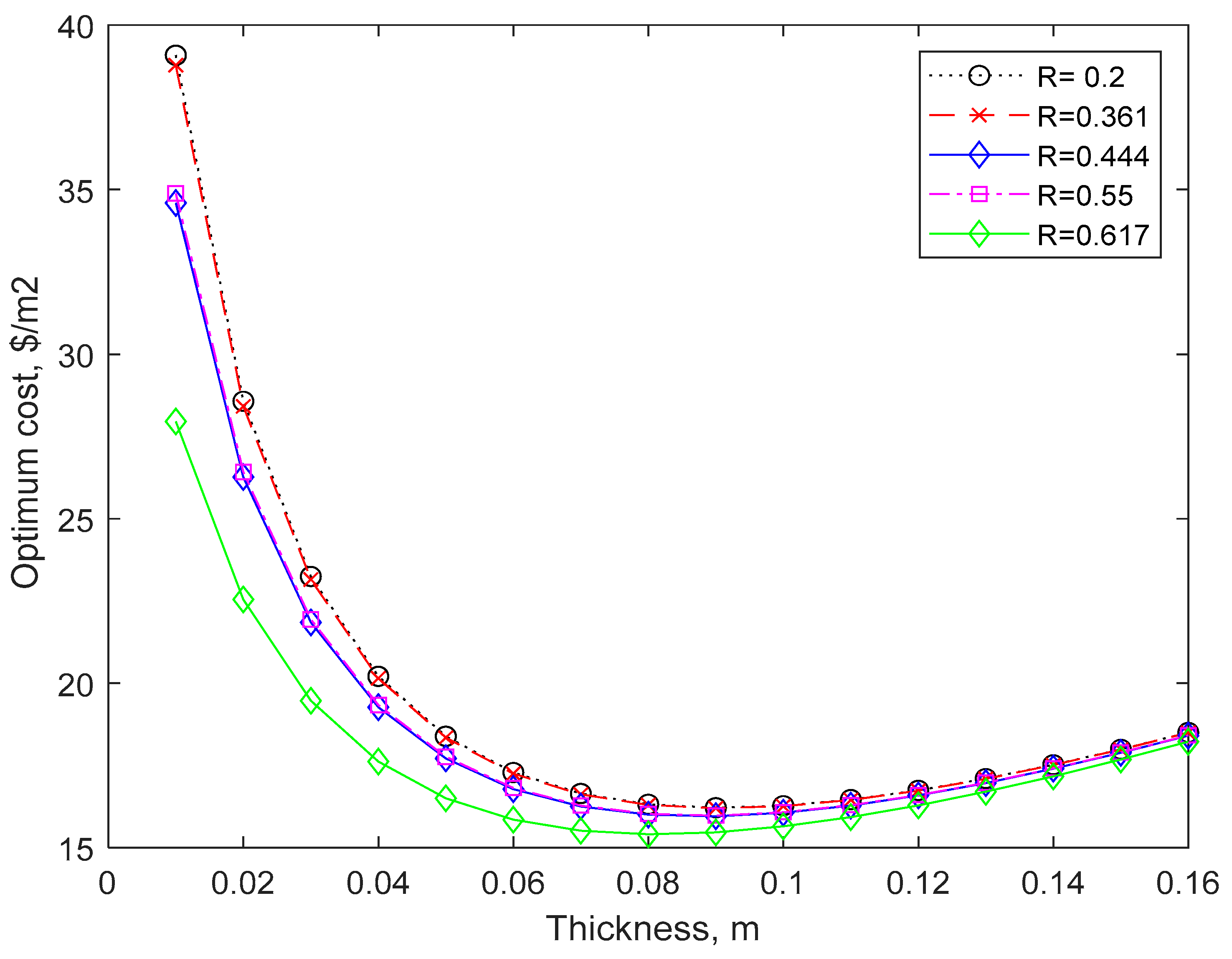
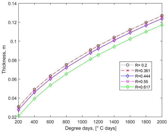
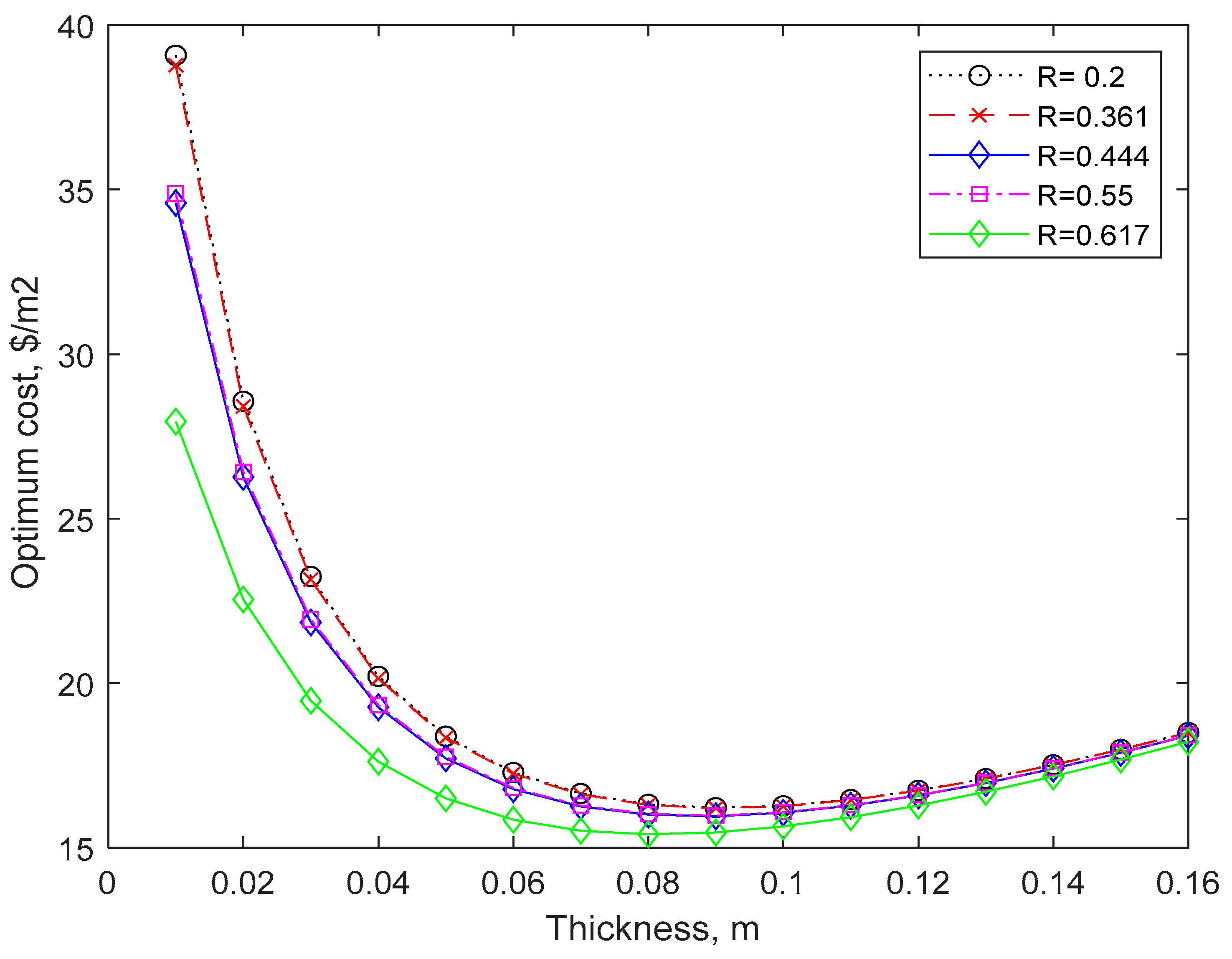
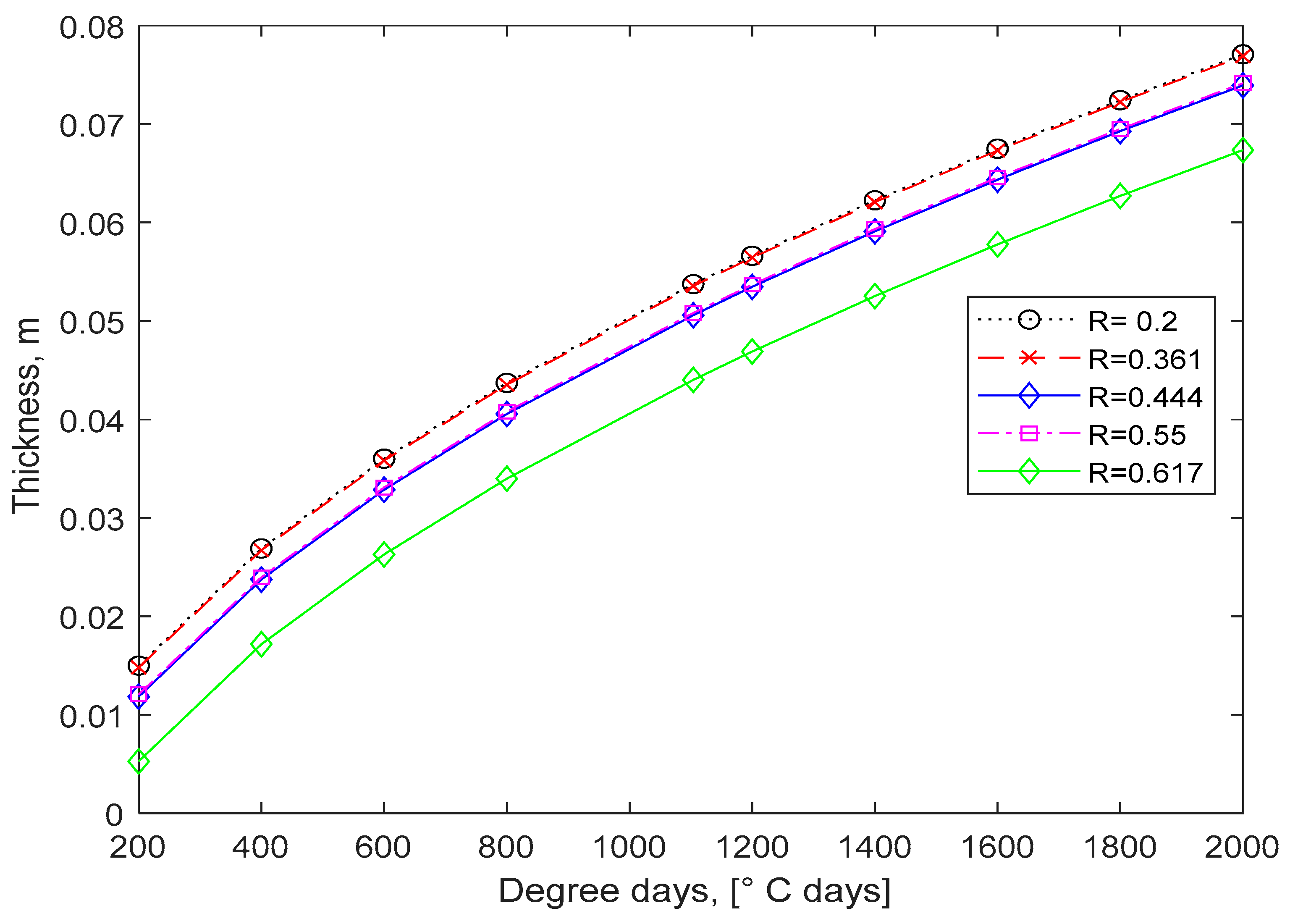
3. Results and Discussion
4. Conclusions and Future Studies
Author Contributions
Funding
Informed Consent Statement
Data Availability Statement
Acknowledgments
Conflicts of Interest
Nomenclature
| Cf | Fuel cost, USD/L |
| Ch | Annual heating cost, USD/m2 year |
| Ci | Insulation material cost, USD/m3 |
| Cin | Insulation cost, USD/m2 |
| Ct | Total heating cost as present value, USD |
| DD | Degree days, °C days |
| Eh | Required annual heating energy, J/m2 year. |
| g | Inflation rate |
| H | Heating value of fuel, J/L |
| I | Interest rate |
| I* | Interest rate adjusted for inflation (combined rate) |
| k | Thermal conductivity of insulation, W/m K |
| N | Lifetime, years |
| PWF | Present worth factor |
| Ri | Inside air film thermal resistance, m2 K/W |
| Rin | Insulation thermal resistance, m2 K/W |
| Ro | Outside air film thermal resistance, m2 K/W |
| Rw | Composite wall thermal resistance, m2 K/W |
| Rwt | Total wall thermal resistance, excluding the insulation material, m2 K/W |
| X | Insulation thickness, m |
| Xop | Optimum insulation thickness, m |
| β | Efficiency of space heating system |
| NPVC | Random variable representing the net present value of the costs |
References
- Ogulata, R.G. Sectoral energy consumption in Turkey. Renew. Sustain. Energy Rev. 2002, 6, 471–480. [Google Scholar] [CrossRef]
- Hasan, A. Optimizing insulation thickness for buildings using life cycle cost. Appl. Energy 1999, 63, 115–124. [Google Scholar] [CrossRef]
- Ozkahraman, H.T.; Bolatturk, A. The use of tuff stone cladding in buildings for energy conservation. Constr. Build. Mater. 2006, 20, 435–440. [Google Scholar] [CrossRef]
- Bolatturk, A. Optimum insulation thicknesses for building walls with respect to cooling and heating degree-hours in the warmest zone of Turkey. Build. Environ. 2008, 43, 1055–1064. [Google Scholar] [CrossRef]
- Kingdom of Saudi Arabia: Ministry of Industry and Electricity. Studies and Statistics Department, Electrical Affairs Agency. Electricity Growth and Development in the Kingdom of Saudi Arabia up to the Year 1420 H (1999/2000G). 2002. Available online: https://www.researchgate.net/publication/330765354_The_Development_of_Power_Systems_in_Saudi_Arabia (accessed on 1 August 2023).
- Karakaya, H.; Kallioğlu, M.A.; Ercan, U.; Avcı, A.S.; Fidan, C. Empirical modeling between degree days and optimum insulation thickness for external wall. Energy Sources Part A Recovery Util. Environ. Eff. 2020, 42, 1314–1334. [Google Scholar]
- Akpinar, E.; Demir, I. Calculation of Optimum Insulation Thickness and Energy Savings for Different Climatic Regions of Turkey. Turk. J. Sci. Technol. 2018, 13, 15–22. [Google Scholar]
- Balo, F.; Ulutas, A. Energy-Performance Evaluation with Revit Analysis of Mathematical-Model Based Optimal Insulation Thickness. Buildings 2023, 13, 408. [Google Scholar] [CrossRef]
- Anastaselos, D.; Giama, E.; Papadopoulos, A.M. An assessment tool for the energy, economic and environmental evaluation of thermal insulation solutions. Energy Build. 2009, 41, 1165–1171. [Google Scholar] [CrossRef]
- Bakos, G.C. Estudios de protección de aislamiento para el ahorro energético en el sector residencial y terciario. Energy Build. 2000, 31, 251–259. [Google Scholar] [CrossRef]
- Chwieduk, D. Hacia edificios de energía sostenible. Appl. Energy 2003, 76, 211–217. [Google Scholar] [CrossRef]
- Ozbek, K.; Gelis, K.; Ozyurt, O. Optimization of external wall insulation thickness in buildings using response surface methodology. Int. J. Energy Environ. Eng. 2022, 13, 1367–1381. [Google Scholar] [CrossRef]
- Daouas, N.A. Study on optimum insulation thickness in walls and energy savings in Tunisian buildings based on analytical calculation of cooling and heating transmission loads. Appl. Energy 2011, 88, 156–164. [Google Scholar] [CrossRef]
- Küçüktopcu, E.; Cemek, B.; Simsek, H. Application of Spatial Analysis to Determine the Effect of Insulation Thickness on Energy Efficiency and Cost Savings for Cold Storage. Processes 2022, 10, 2393. [Google Scholar] [CrossRef]
- International Energy Agency. Energy Statistics Data Browser. 2023. Available online: https://tinyurl.com/2s4z4tc3 (accessed on 1 August 2023).
- Shaik, S.; Talanki, A.B.P.S. Optimizing the position of insulating materials in flat roofs exposed to sunshine to gain minimum heat into buildings under periodic heat transfer conditions. Environ. Sci. Pollut. Res. 2016, 23, 9334–9344. [Google Scholar] [CrossRef] [PubMed]
- D’Agostino, D.; de’Rossi, F.; Marigliano, M.; Marino, C.; Minichiello, F. Evaluation of the optimal thermal insulation thickness for an office building in different climates by means of the basic and modified “cost-optimal” methodology. J. Build. Eng. 2019, 24, 100743. [Google Scholar] [CrossRef]
- Stazi, F.; Vegliò, A.; Di Perna, C.; Munafò, P. Experimental comparison between 3 different traditional wall constructions and dynamic simulations to identify optimal thermal insulation strategies. Energy Build. 2013, 60, 429–441. [Google Scholar] [CrossRef]
- Bojić, M.; Miletić, M.; Bojić, L. Optimization of thermal insulation to achieve energy savings in low energy houses (refurbishment). Energy Convers. Manag. 2014, 84, 681–690. [Google Scholar] [CrossRef]
- Annibaldi, V.; Cucchiella, F.; De Berardinis, P.; Rotilio, M.; Stornelli, V. Environmental and economic benefits of optimal insulation thickness: A life-cycle cost analysis. Renew. Sustain. Energy Rev. 2019, 116, 109441. [Google Scholar] [CrossRef]
- Idchabania, R.; Khyadb, A.; El Ganaouic, M. Optimizing insulation thickness of external walls in cold region of Morocco based on life cycle cost analysis. Energy Procedia 2017, 139, 117–121. [Google Scholar] [CrossRef]
- Benallel, A.; Tilioua, A.; Mellaikhafi, A.; Alaoui, H. Thickness optimization of exterior wall insulation for different climatic regions in Morocco. Mater. Today Proc. 2022, 58, 1541–1548. [Google Scholar] [CrossRef]
- Acikkalp, E.; Kandemir, S.Y. A method for determining optimum insulation thickness: Combined economic and environmental method. Therm. Sci. Eng. Prog. 2019, 11, 249–253. [Google Scholar] [CrossRef]
- Li, X.; Densley, D. A whole life, national approach to optimize the thickness of wall insulation. Renew. Sustain. Energy Rev. 2023, 174, 113137. [Google Scholar] [CrossRef]
- ASHRAE. ASHRAE Handbook of Applications 1995; ASHRAE: Washington, DC, USA, 1995. [Google Scholar]
- Park, C. Engineering Economics, 4th ed.; Prentice Hall: Hoboken, NJ, USA, 2009. [Google Scholar]
- Coates, E.R.; Kuhl, M.E. Using simulation software to solve engineering economy problems. Comput. Ind. Eng. 2004, 45, 285–294. [Google Scholar] [CrossRef]
- Bizee Degree Days. Available online: http://www.degreedays.net/#generate (accessed on 4 January 2020).
- Palisade|Software Tools for Risk Modeling and Decision Analysis. Available online: www.palisade.com (accessed on 8 January 2020).










| Inputs to Model | Value | Units |
|---|---|---|
| Fuel price | 0.38 | USD/BTU |
| Heating value | 4.05 × 107 | J/l |
| Efficiency | 0.7 | |
| Interest rate | 8% | |
| Inflation rate | 3% | |
| Combined rate | 5% | |
| PWF | 18.6745126 | |
| Material cost (polystyrene) | 83 | USD/m3 |
| Conductivity Years | 0.038 50 | W/m K years |
| SIMULATION | |||||
|---|---|---|---|---|---|
| OptThickness | 0.0537515 | ||||
| YEAR | Degree Days | Energy Price Adjusted for Inflation | Energy Cost | NPW (Energy Cost) | NPW (Total Cost) |
| 1140.156819 | |||||
| 1 | 985.2049072 | 0.38 | 0.6426097 | 0.595008 | 5.05637 |
| 2 | 1079.655298 | 0.3914 | 0.7253424 | 0.621864 | 5.67824 |
| 3 | 1201.776356 | 0.403142 | 0.8316083 | 0.660157 | 6.33840 |
| 4 | 1120.855522 | 0.415236 | 0.7988808 | 0.587201 | 6.92560 |
| 5 | 1098.906553 | 0.427693 | 0.806734 | 0.549049 | 7.47465 |
| 6 | 1090.952222 | 0.440524 | 0.8249214 | 0.519840 | 7.99449 |
| 16 | 1004.042359 | 0.592027 | 1.0203075 | 0.297818 | 11.9181 |
| 46 | 1166.32283 | 1.437006 | 2.8768325 | 0.083449 | 17.0962 |
| 66 | 1097.883311 | 2.595393 | 4.8909867 | 0.030438 | 18.0775 |
| 67 | 1052.997803 | 2.673255 | 4.8317559 | 0.027842 | 18.1053 |
| 68 | 1137.209278 | 2.753452 | 5.3747113 | 0.028677 | 18.1340 |
| 69 | 1151.19373 | 2.836056 | 5.6040292 | 0.027686 | 18.1617 |
| 70 | 1162.3493 | 2.921138 | 5.8280847 | 0.026660 | 18.1884 |
| Planned Years | Inflation Rate | |||
|---|---|---|---|---|
| 0.010 | 0.015 | 0.03 | ||
| 10 | 9.265 | 9.522 | 9.654 | 10.061 |
| 20 | 11.446 | 11.969 | 12.244 | 13.127 |
| 50 | 12.909 | 13.847 | 14.372 | 16.217 |
| 70 | 13.028 | 14.047 | 14.629 | 16.757 |
| Operated Years | Planned Years | |||
|---|---|---|---|---|
| 10 | 20 | 50 | 70 | |
| 10 | 3.84% | 99.60% | 100.00% | 100.00% |
| 20 | 92.86% | 1.21% | 93.69% | 99.82% |
| 50 | 100.00% | 61.39% | 0.00% | 0.00% |
| 70 | 100.00% | 93.03% | 0.00% | 0.00% |
| Operated Years | Planned Years | |||
|---|---|---|---|---|
| 10 | 20 | 50 | 70 | |
| 10 | 49.32% | 99.68% | 100.00% | 100.00% |
| 20 | 98.69% | 50.49% | 84.16% | 88.82% |
| 50 | 100.00% | 84.43% | 50.45% | 50.73% |
| 70 | 100.00% | 87.89% | 50.58% | 50.45% |
| Operated Years | Planned Years | |||
|---|---|---|---|---|
| 10 | 20 | 50 | 70 | |
| 10 | 18.28% | 99.39% | 100.00% | 100.00% |
| 20 | 96.50% | 11.55% | 81.04% | 90.63% |
| 50 | 100.00% | 67.21% | 5.91% | 6.02% |
| 70 | 100.00% | 80.61% | 5.30% | 5.21% |
Disclaimer/Publisher’s Note: The statements, opinions and data contained in all publications are solely those of the individual author(s) and contributor(s) and not of MDPI and/or the editor(s). MDPI and/or the editor(s) disclaim responsibility for any injury to people or property resulting from any ideas, methods, instructions or products referred to in the content. |
© 2024 by the authors. Licensee MDPI, Basel, Switzerland. This article is an open access article distributed under the terms and conditions of the Creative Commons Attribution (CC BY) license (https://creativecommons.org/licenses/by/4.0/).
Share and Cite
Montufar Benítez, M.A.; Mora Vargas, J.; Castro Esparza, J.R.; Rivera Gómez, H.; Montaño Arango, O. Comparative Study of Monte Carlo Simulation and the Deterministic Model to Analyze Thermal Insulation Costs. AppliedMath 2024, 4, 305-319. https://doi.org/10.3390/appliedmath4010016
Montufar Benítez MA, Mora Vargas J, Castro Esparza JR, Rivera Gómez H, Montaño Arango O. Comparative Study of Monte Carlo Simulation and the Deterministic Model to Analyze Thermal Insulation Costs. AppliedMath. 2024; 4(1):305-319. https://doi.org/10.3390/appliedmath4010016
Chicago/Turabian StyleMontufar Benítez, Marco Antonio, Jaime Mora Vargas, José Raúl Castro Esparza, Héctor Rivera Gómez, and Oscar Montaño Arango. 2024. "Comparative Study of Monte Carlo Simulation and the Deterministic Model to Analyze Thermal Insulation Costs" AppliedMath 4, no. 1: 305-319. https://doi.org/10.3390/appliedmath4010016
APA StyleMontufar Benítez, M. A., Mora Vargas, J., Castro Esparza, J. R., Rivera Gómez, H., & Montaño Arango, O. (2024). Comparative Study of Monte Carlo Simulation and the Deterministic Model to Analyze Thermal Insulation Costs. AppliedMath, 4(1), 305-319. https://doi.org/10.3390/appliedmath4010016

