Effects of Quercetin in Free Form and Nanoemulsion in an In Vivo Model of Parkinson’s Disease
Abstract
1. Introduction
2. Materials and Methods
2.1. Chemicals and Solutions
2.2. Zebrafish Maintenance
2.3. Development of Quercetin-Containing Nanoemulsions
2.4. Particle Size and Zeta Potential Measurements
2.5. Experimental Design
2.6. Determination of Survival Rate
2.7. Total Distance Traveled
2.8. Morphological Analysis Procedure
2.9. Sample Preparation
2.10. Reduced Glutathione (GSH)
2.11. Measurement of Lipid Peroxidation Product
2.12. Determination of Reactive Oxygen Species (ROS)
2.13. Statistical Analysis
3. Results
3.1. Nanoemulsion Characterization
3.2. Survival Rate
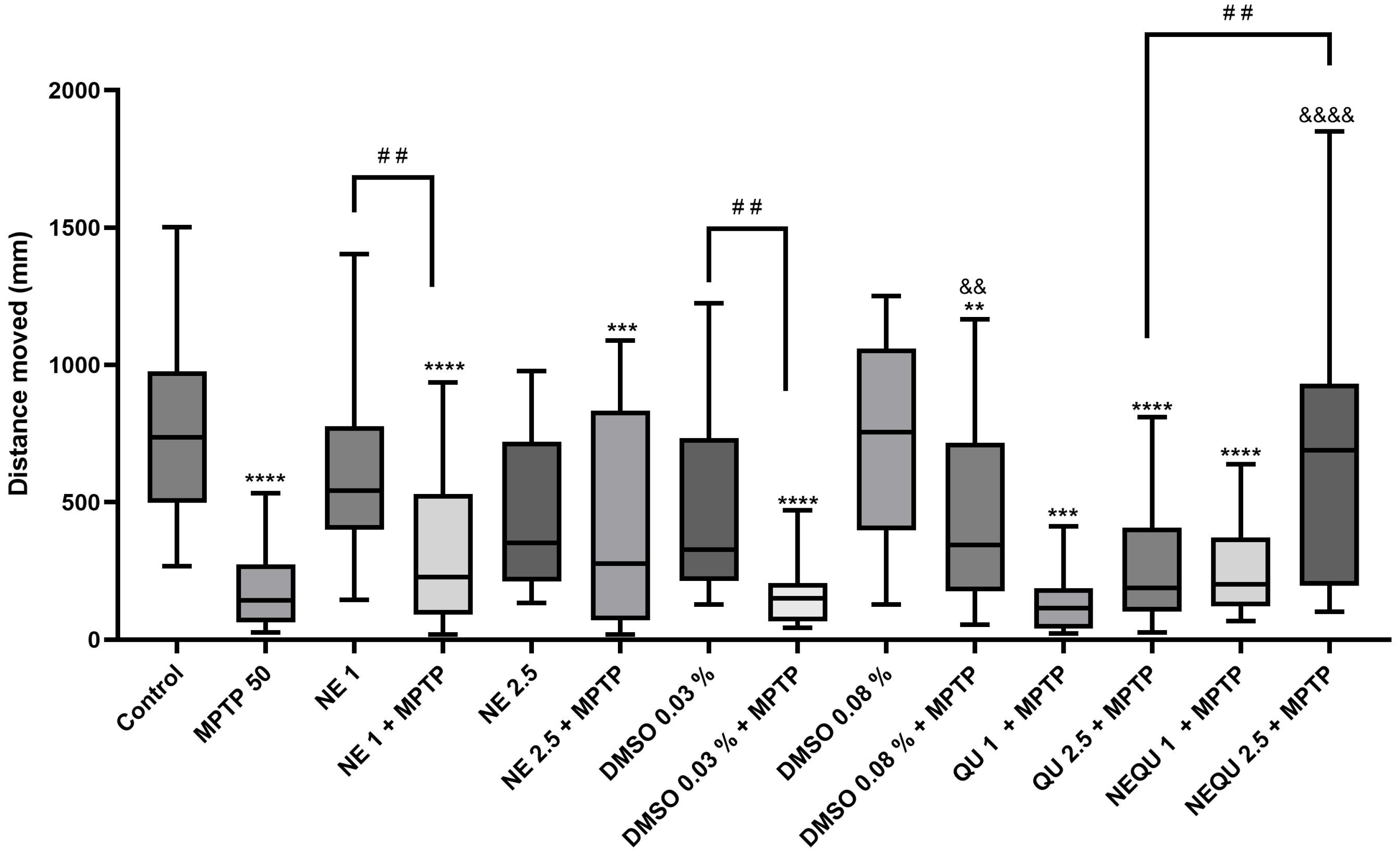
3.3. Behavioral Test
3.4. Morphological Analysis Results
3.5. Reduced Glutathione (GSH) and Measurement of Lipid Peroxidation Product
3.6. Reactive Oxygen Species (ROS) Levels
4. Discussion
5. Conclusions
Author Contributions
Funding
Institutional Review Board Statement
Informed Consent Statement
Data Availability Statement
Conflicts of Interest
References
- Bagwell, E.; Larsen, J. A review of MPTP-induced parkinsonism in adult zebrafish to explore pharmacological interventions for human Parkinson’s disease. Front. Neurosci. 2024, 18, 1451845. [Google Scholar] [CrossRef] [PubMed]
- Bhardwaj, K.; Rajawat, N.K.; Mathur, N.; Kaushik, A. Evaluation of Neuroprotective Effect of Gut Microbe in Parkinson’s Disease: An In Silico and In Vivo Approach. NeuroMolecular Med. 2024, 26, 32. [Google Scholar] [CrossRef]
- Alves, B.d.S.; Schimith, L.E.; da Cunha, A.B.; Dora, C.L.; Hort, M.A. Omega-3 Polyunsaturated Fatty Acids and Parkinson’s disease: A Systematic Review of Animal Studies. J. Neurochem. 2024, 168, 1655–1683. [Google Scholar] [CrossRef] [PubMed]
- Badawoud, A.M.; Ali, L.S.; Abdallah, M.S.; El Sabaa, R.M.; Bahaa, M.M.; Elmasry, T.A.; Wahsh, E.; Yasser, M.; Eltantawy, N.; Eldesoqui, M.; et al. The relation between Parkinson’s disease and non-steroidal anti-inflammatories: A systematic review and meta-analysis. Front. Pharmacol. 2024, 15, 1434512. [Google Scholar] [CrossRef]
- Poewe, W.; Seppi, K.; Tanner, C.M.; Halliday, G.M.; Brundin, P.; Volkmann, J.; Schrag, A.E.; Lang, A.E. Parkinson disease. Nat. Rev. Dis. Primers 2017, 3, 17013. [Google Scholar] [CrossRef] [PubMed]
- Yeni, Y.; Genc, S.; Ertugrul, M.S.; Nadaroglu, H.; Gezer, A.; Mendil, A.S.; Hacımuftuoglu, A. Neuroprotective Effects of L-Dopa-Modified Zinc Oxide Nanoparticles on the Rat Model of 6-OHDA-Induced Parkinson’s Disease. Sci. Rep. 2024, 14, 19077. [Google Scholar] [CrossRef]
- Acıkara, O.B.; Karatoprak, G.Ş.; Yücel, Ç.; Akkol, E.K.; Sobarzo-Sánchez, E.; Khayatkashani, M.; Kamal, M.A.; Kashani, H.R.K. A Critical Analysis of Quercetin as the Attractive Target for the Treatment of Parkinson’s Disease. CNS Neurol. Disord. Drug Targets 2021, 21, 795–817. [Google Scholar] [CrossRef]
- Wang, X.; Fu, Y.; Botchway, B.O.A.; Zhang, Y.; Zhang, Y.; Jin, T.; Liu, X. Quercetin can improve spinal cord injury by regulating the mTOR signaling pathway. Front. Neurol. 2022, 13, 905640. [Google Scholar] [CrossRef]
- Hasan, A.M.W.; Al Hasan, S.; Mizan, M.; Miah, S.; Uddin, M.B.; Mia, E.; Yana, N.T.; Hossain, A.; Islam, M.T. Quercetin promises anticancer activity through PI3K-AKT-mTOR pathway: A literature review. Pharmacol. Res. Nat. Prod. 2025, 7, 100206. [Google Scholar] [CrossRef]
- Kalsoom, I.; Wang, Y.; Li, B.; Wen, H. Research progress of α-synuclein aggregation inhibitors for potential Parkinson’s disease treatment. Mini-Rev. Med. Chem. 2023, 23, 1959–1974. [Google Scholar] [CrossRef]
- Silva-Pinto, P.A.; de Pontes, J.T.C.; Aguilar-Morón, B.; Canales, C.S.C.; Pavan, F.R.; Roque-Borda, C.A. Phytochemical insights into flavonoids in cancer: Mechanisms, therapeutic potential, and the case of quercetin. Heliyon 2025, 11, e42682. [Google Scholar] [CrossRef]
- Zhang, L.; Xu, L.-Y.; Tang, F.; Liu, D.; Zhao, X.-L.; Zhang, J.-N.; Xia, J.; Wu, J.-J.; Yang, Y.; Peng, C.; et al. New perspectives on the therapeutic potential of quercetin in non-communicable diseases: Targeting Nrf2 to counteract oxidative stress and inflammation. J. Pharm. Anal. 2024, 14, 100930. [Google Scholar] [CrossRef]
- Lin, Z.-H.; Liu, Y.; Xue, N.-J.; Zheng, R.; Yan, Y.-Q.; Wang, Z.-X.; Li, Y.-L.; Ying, C.-Z.; Song, Z.; Tian, J.; et al. Quercetin Protects against MPP+/MPTP-Induced Dopaminergic Neuron Death in Parkinson’s Disease by Inhibiting Ferroptosis. Editado por Domenico Nuzzo. Oxid. Med. Cell. Longev. 2022, 2022, 7769355. [Google Scholar] [CrossRef]
- Yang, Y.-S.; Liu, C.-Y.; Pei, M.-Q.; Sun, Z.-D.; Lin, S.; He, H.-F. Quercetin Protects against Sepsis-Associated Encephalopathy by Inhibiting Microglia-Neuron Crosstalk via the CXCL2/CXCR2 Signaling Pathway. Phytomedicine 2024, 134, 155987. [Google Scholar] [CrossRef] [PubMed]
- Vian, C.d.O.; Marinho, M.A.G.; Marques, M.d.S.; Hort, M.A.; Cordeiro, M.F.; Horn, A.P. Effects of Quercetin in Preclinical Models of Parkinson’s Disease: A Systematic Review. Basic Clin. Pharmacol. Toxicol. 2024, 135, 3–22. [Google Scholar] [CrossRef] [PubMed]
- Ho, C.-L.; Kao, N.-J.; Lin, C.-I.; Cross, T.-W.L.; Lin, S.-H. Quercetin Increases Mitochondrial Biogenesis and Reduces Free Radicals in Neuronal SH-SY5Y Cells. Nutrients 2022, 14, 3310. [Google Scholar] [CrossRef] [PubMed]
- Sharma, S.; Rabbani, S.A.; Narang, J.K.; Pottoo, F.H.; Ali, J.; Kumar, S.; Baboota, S. Role of Rutin Nanoemulsion in Ameliorating Oxidative Stress: Pharmacokinetic and Pharmacodynamics Studies. Chem. Phys. Lipids 2020, 228, 104890. [Google Scholar] [CrossRef]
- Wang, W.-W.; Han, R.; He, H.-J.; Li, J.; Chen, S.-Y.; Gu, Y.; Xie, C. Administration of Quercetin Improves Mitochondria Quality Control and Protects the Neurons in 6-OHDA-Lesioned Parkinson’s Disease Models. Aging 2021, 13, 11738–11751. [Google Scholar] [CrossRef]
- Xiong, F.; Zhang, Y.; Li, T.; Tang, Y.; Song, S.-Y.; Zhou, Q.; Wang, Y. A detailed overview of quercetin: Implications for cell death and liver fibrosis mechanisms. Front. Pharmacol. 2024, 15, 1389179. [Google Scholar] [CrossRef]
- Kaşıkcı, M.B.; Bağdatlıoğlu, N. Bioavailability of Quercetin. Curr. Res. Nutr. Food Sci. J. 2016, 4, 146–151. [Google Scholar] [CrossRef]
- Rafe, R. Drug Delivery for Neurodegenerative Diseases Is a Problem, but Lipid Nanocarriers Could Provide the Answer. Nanotheranostics 2024, 8, 90–99. [Google Scholar] [CrossRef]
- Dora, C.L.; Silva, L.F.; Tagliari, M.P.; Segatto Silva, M.A.; Lemos Senna, E. Formulation study of Quercetin loaded lipid based nanocarriers obtained by hot solvent diffusion method. Lat. Am. J. Pharm. 2010, 30, 289–296. [Google Scholar]
- Hädrich, G.; Vaz, G.R.; Maidana, M.; Kratz, J.M.; Loch-Neckel, G.; Favarin, D.C.; Rogerio, A.D.P.; da Silva, F.M., Jr.; Muccillo-Baisch, A.L.; Dora, C.L. Anti-inflammatory Effect and Toxicology Analysis of Oral Delivery Quercetin Nanosized Emulsion in Rats. Pharm. Res. 2016, 33, 983–993. [Google Scholar] [CrossRef]
- Dora, C.L.; Putaux, J.-L.; Pignot-Paintrand, I.; Dubreuil, F.; Soldi, V.; Borsali, R.; Lemos-Senna, E. Physicochemical and morphological characterizations of glyceryl tristearate/castor oil nanocarriers prepared by the solvent diffusion method. J. Braz. Chem. Soc. 2012, 23, 1972–1981. [Google Scholar] [CrossRef]
- Hädrich, G.; Vaz, G.R.; Bidone, J.; Yurgel, V.C.; Teixeira, H.F.; Bó, A.G.D.; Pinto, L.d.S.; Hort, M.A.; Ramos, D.F.; Junior, A.S.V.; et al. Development of a Novel Lipid-Based Nanosystem Functionalized with WGA for Enhanced Intracellular Drug Delivery. Pharmaceutics 2022, 14, 2022. [Google Scholar] [CrossRef] [PubMed]
- Oberdörster, G. Safety assessment for nanotechnology and nanomedicine: Concepts of nanotoxicology. J. Intern. Med. 2010, 267, 89–105. [Google Scholar] [CrossRef]
- Araújo, F.; Shrestha, N.; Granja, P.L.; Hirvonen, J.; A Santos, H.; Sarmento, B. Safety and toxicity concerns of orally delivered nanoparticles as drug carriers. Expert Opin. Drug Metab. Toxicol. 2015, 11, 381–393. [Google Scholar] [CrossRef] [PubMed]
- Hort, M.A.; Alves, B.D.S.; Júnior, O.V.R.; Falkembach, M.C.; Araújo, G.D.M.S.; Fernandes, C.L.F.; Tavella, R.A.; Bidone, J.; Dora, C.L.; da Silva Júnior, F. In vivo toxicity evaluation of nanoemulsions for drug delivery. Drug Chem. Toxicol. 2021, 44, 585–594. [Google Scholar] [CrossRef] [PubMed]
- Galho, A.R.; Cordeiro, M.; Ribeiro, S.A.; Marques, M.S.; Antunes, M.F.D.; Luz, D.C.; Hädrich, G.; Muccillo-Baisch, A.L.; Barros, D.M.; Lima, J.V.; et al. Protective role of free and quercetin-loaded nanoemulsion against damage induced by intracerebral haemorrhage in rats. Nanotechnology 2016, 27, 175101. [Google Scholar] [CrossRef]
- Zhao, D.; Qin, C.; Fan, X.; Li, Y.; Gu, B. Inhibitory Effects of Quercetin on Angiogenesis in Larval Zebrafish and Human Umbilical Vein Endothelial Cells. Eur. J. Pharmacol. 2014, 723, 360–367. [Google Scholar] [CrossRef]
- Zhang, J.-L.; Souders, C.L.; Denslow, N.D.; Martyniuk, C.J. Quercetin, a Natural Product Supplement, Impairs Mitochondrial Bioenergetics and Locomotor Behavior in Larval Zebrafish (Danio Rerio). Toxicol. Appl. Pharmacol. 2017, 327, 30–38. [Google Scholar] [CrossRef]
- Qin, F.; Zhang, M.; Wang, P.; Dai, Z.; Li, X.; Li, D.; Jing, L.; Qi, C.; Fan, H.; Qin, M.; et al. Transcriptome Analysis Reveals the Anti-Parkinson’s Activity of Mangiferin in Zebrafish. Biomed. Pharmacother. 2024, 179, 117387. [Google Scholar] [CrossRef] [PubMed]
- Schnörr, S.; Steenbergen, P.; Richardson, M.; Champagne, D. Measuring Thigmotaxis in Larval Zebrafish. Behav. Brain Res. 2012, 228, 367–374. [Google Scholar] [CrossRef]
- Rock, S.; Rodenburg, F.; Schaaf, M.J.M.; Tudorache, C. Detailed Analysis of Zebrafish Larval Behaviour in the Light Dark Challenge Assay Shows That Diel Hatching Time Determines Individual Variation. Front. Physiol. 2022, 13, 827282. [Google Scholar] [CrossRef] [PubMed]
- Maeda, H.; Fukushima, N.; Hasumi, A. Standardized Method for the Assessment of Behavioral Responses of Zebrafish Larvae. Biomedicines 2021, 9, 884. [Google Scholar] [CrossRef]
- Reside, A.M.; Gavarikar, S.; Laberge, F.; Bernier, N.J. Behavior and Brain Size of Larval Zebrafish Exposed to Environmentally Relevant Concentrations of Beta-Methylamino-L-Alanine. Toxicol. Sci. 2023, 193, 80–89. [Google Scholar] [CrossRef] [PubMed]
- CONCEA–Conselho Nacional de Controle de Experimentação Animal. Diretriz Brasileira Para o Cuidado e a Utilização de Animais para Fins Científicos e Didáticos–DBCA; Ministério da Ciência, Tecnologia, Inovações e Comunicações: Brasilia, Brazil, 2018; Available online: https://www.sbcal.org.br/conteudo/view?ID_CONTEUDO=41 (accessed on 25 July 2025).
- Keshari, V.; Adeeb, B.; Simmons, A.E.; Simmons, T.W.; Diep, C.Q. Zebrafish as a Model to Assess the Teratogenic Potential of Nitrite. J. Vis. Exp. 2016, 16, 53615. [Google Scholar] [CrossRef]
- Lowry, O.H.; Rosebrough, N.J.; Farr, A.L.; Randall, R.J. Protein measurement with the Folin phenol reagent. J. Biol. Chem. 1951, 193, 265–275. [Google Scholar] [CrossRef]
- Sedlak, J.; Lindsay, R.H. Estimation of Total, Protein-Bound, and Nonprotein Sulfhydryl Groups in Tissue with Ellman’s Reagent. Anal. Biochem. 1968, 25, 192–205. [Google Scholar] [CrossRef]
- Oakes, K.D.; Van Der Kraak, G.J. Utility of the TBARS Assay in Detecting Oxidative Stress in White Sucker (Catostomus Commersoni) Populations Exposed to Pulp Mill Effluent. Aquat. Toxicol. 2003, 63, 447–463. [Google Scholar] [CrossRef]
- Ferreira-Cravo, M.; Piedras, F.R.; Moraes, T.B.; Ferreira, J.L.R.; de Freitas, D.P.S.; Machado, M.D.; Geracitano, L.A.; Monserrat, J.M. Antioxidant Responses and Reactive Oxygen Species Generation in Different Body Regions of the Estuarine Polychaeta Laeonereis Acuta (Nereididae). Chemosphere 2007, 66, 1367–1374. [Google Scholar] [CrossRef]
- Mugoni, V.; Camporeale, A.; Santoro, M.M. Analysis of Oxidative Stress in Zebrafish Embryos. J. Vis. Exp. 2014, 7, 51328. [Google Scholar] [CrossRef]
- Huang, J.; Wang, Q.; Li, T.; Xia, N.; Xia, Q. Nanostructured Lipid Carrier (NLC) as a Strategy for Encapsulation of Quercetin and Linseed Oil: Preparation and in Vitro Characterization Studies. J. Food Eng. 2017, 215, 1–12. [Google Scholar] [CrossRef]
- Crauste-Manciet, S.; Sigward, E.; Mignet, N.; Rat, P.; Dutot, M.; Muhamed, S.; Guigner, J.-M.; Scherman, D.; Brossard, D. Formulation and cytotoxicity evaluation of new self-emulsifying multiple W/O/W nanoemulsions. Int. J. Nanomed. 2013, 8, 611–625. [Google Scholar] [CrossRef][Green Version]
- Nikolić, I.; Đoković, J.; Mehn, D.; Guerrini, G.; Savić, S.; Jordan, O.; Borchard, G. When conventional approach in toxicity assays falls short for nanomedicines: A case study with nanoemulsions. Drug Deliv. Transl. Res. 2025, 15, 2814–2832. [Google Scholar] [CrossRef]
- Inácio, Â.S.; Mesquita, K.A.; Baptista, M.; Ramalho-Santos, J.; Vaz, W.L.C.; Vieira, O.V. In Vitro Surfactant Structure-Toxicity Relationships: Implications for Surfactant Use in Sexually Transmitted Infection Prophylaxis and Contraception. PLoS ONE 2011, 6, e19850. [Google Scholar] [CrossRef] [PubMed]
- Maupas, C.; Moulari, B.; Béduneau, A.; Lamprecht, A.; Pellequer, Y. Surfactant Dependent Toxicity of Lipid Nanocapsules in HaCaT Cells. Int. J. Pharm. 2011, 411, 136–141. [Google Scholar] [CrossRef] [PubMed]
- Le Roux, G.; Moche, H.; Nieto, A.; Benoit, J.-P.; Nesslany, F.; Lagarce, F. Cytotoxicity and Genotoxicity of Lipid Nanocapsules. Toxicol. Vitr. 2017, 41, 189–199. [Google Scholar] [CrossRef] [PubMed]
- Manke, A.; Wang, L.; Rojanasakul, Y. Mechanisms of Nanoparticle-Induced Oxidative Stress and Toxicity. BioMed Res. Int. 2013, 2013, 942916. [Google Scholar] [CrossRef]
- Yeboah, A.; Ying, S.; Lu, J.; Xie, Y.; Amoanimaa-Dede, H.; Boateng, K.G.A.; Chen, M.; Yin, X. Castor oil (Ricinus communis): A review on the chemical composition and physicochemical properties. Food Sci. Technol. 2021, 41 (Suppl. S2), 399–413. [Google Scholar] [CrossRef]
- Lee, H.; Kim, Y.I.; Kim, M.J.; Hahm, J.-H.; Seo, H.D.; Ha, T.Y.; Jung, C.H.; Ahn, J. Castor Oil Plant (Ricinus communis L.) Leaves Improve Dexamethasone-Induced Muscle Atrophy via Nrf2 Activation. Front. Pharmacol. 2022, 13, 891762. [Google Scholar] [CrossRef]
- Bulama, I.; Nasiru, S.; Bello, A.; Abbas, A.Y.; Nasiru, J.I.; Saidu, Y.; Chiroma, M.S.; Moklas, M.A.M.; Taib, C.N.M.; Waziri, A.; et al. Antioxidant-based neuroprotective effect of dimethylsulfoxide against induced traumatic brain injury in a rats model. Front. Pharmacol. 2022, 13, 998179. [Google Scholar] [CrossRef] [PubMed]
- Jacob, S.W.; de la Torre, J.C. Pharmacology of Dimethyl Sulfoxide in Cardiac and CNS Damage. Pharmacol. Rep. 2009, 61, 225–235. [Google Scholar] [CrossRef]
- Christou, M.; Kavaliauskis, A.; Ropstad, E.; Fraser, T.W.K. DMSO Effects Larval Zebrafish (Danio Rerio) Behavior, with Additive and Interaction Effects When Combined with Positive Controls. Sci. Total Environ. 2020, 709, 134490. [Google Scholar] [CrossRef]
- Hanslick, J.L.; Lau, K.; Noguchi, K.K.; Olney, J.W.; Zorumski, C.F.; Mennerick, S.; Farber, N.B. Dimethyl Sulfoxide (DMSO) Produces Widespread Apoptosis in the Developing Central Nervous System. Neurobiol. Dis. 2009, 34, 1–10. [Google Scholar] [CrossRef]
- Yin, A.; Korzh, S.; Winata, C.L.; Korzh, V.; Gong, Z. Wnt Signaling Is Required for Early Development of Zebrafish Swimbladder. Editado por Hector Escriva. PLoS ONE 2011, 6, e18431. [Google Scholar] [CrossRef] [PubMed]
- Yue, M.S.; Peterson, R.E.; Heideman, W. Dioxin Inhibition of Swim Bladder Development in Zebrafish: Is It Secondary to Heart Failure? Aquat. Toxicol. 2015, 162, 10–17. [Google Scholar] [CrossRef]
- Zhang, T.; Zhang, C.; Zhang, J.; Lin, J.; Song, D.; Zhang, P.; Liu, Y.; Chen, L.; Zhang, L. Cadmium Impairs Zebrafish Swim Bladder Development via ROS Mediated Inhibition of the Wnt/Hedgehog Pathway. Aquat. Toxicol. 2022, 247, 106180. [Google Scholar] [CrossRef] [PubMed]
- Lan, X.; Luo, M.; Li, M.; Mu, L.; Li, G.; Chen, G.; He, Z.; Xiao, J. Swim Bladder-Derived Biomaterials: Structures, Compositions, Properties, Modifications, and Biomedical Applications. J. Nanobiotechnol. 2024, 22, 186. [Google Scholar] [CrossRef]
- Venuto, A.; Thibodeau-Beganny, S.; Trapani, J.G.; Erickson, T. A Sensation for Inflation: Initial Swim Bladder Inflation in Larval Zebrafish Is Mediated by the Mechanosensory Lateral Line. J. Exp. Biol. 2023, 226, jeb245635. [Google Scholar] [CrossRef]
- Christensen, C.; Þorsteinsson, H.; Maier, V.H.; Karlsson, K.Æ. Multi-parameter Behavioral Phenotyping of the MPP+ Model of Parkinson’s Disease in Zebrafish. Front. Behav. Neurosci. 2020, 14, 623924. [Google Scholar] [CrossRef] [PubMed]
- Bagatto, B.; Pelster, B.; Burggren, W.W. Growth and Metabolism of Larval Zebrafish: Effects of Swim Training. J. Exp. Biol. 2001, 204, 4335–4343. [Google Scholar] [CrossRef]
- Pletcher, C.; Dabbs, K.; Barzgari, A.; Pozorski, V.; Haebig, M.; Wey, S.; Krislov, S.; Theisen, F.; Okonkwo, O.; Cary, P.; et al. Cerebral Cortical Thickness and Cognitive Decline in Parkinson’s Disease. Cereb. Cortex Commun. 2023, 4, tgac044. [Google Scholar] [CrossRef]
- Mak, E.; Su, L.; Williams, G.B.; Firbank, M.J.; A Lawson, R.; Yarnall, A.J.; Duncan, G.W.; Mollenhauer, B.; Owen, A.M.; Khoo, T.K.; et al. Longitudinal Whole-Brain Atrophy and Ventricular Enlargement in Nondemented Parkinson’s Disease. Neurobiol. Aging 2017, 55, 78–90. [Google Scholar] [CrossRef]
- Lewis, M.M.; Smith, A.B.; Styner, M.; Gu, H.; Poole, R.; Zhu, H.; Li, Y.; Barbero, X.; Gouttard, S.; McKeown, M.J.; et al. Asymmetrical Lateral Ventricular Enlargement in Parkinson’s Disease. Eur. J. Neurol. 2009, 16, 475–481. [Google Scholar] [CrossRef]
- Tremblay, C.; Rahayel, S.; Vo, A.; Morys, F.; Shafiei, G.; Abbasi, N.; Markello, R.D.; Gan-Or, Z.; Misic, B.; Dagher, A. Brain Atrophy Progression in Parkinson’s Disease Is Shaped by Connectivity and Local Vulnerability. Brain Commun. 2021, 3, fcab269. [Google Scholar] [CrossRef] [PubMed]
- Pieperhoff, P.; Südmeyer, M.; Dinkelbach, L.; Hartmann, C.J.; Ferrea, S.; Moldovan, A.S.; Minnerop, M.; Diaz-Pier, S.; Schnitzler, A.; Amunts, K. Regional Changes of Brain Structure during Progression of Idiopathic Parkinson’s Disease—A Longitudinal Study Using Deformation Based Morphometry. Cortex 2022, 151, 188–210. [Google Scholar] [CrossRef]
- Betzer, O.; Shilo, M.; Opochinsky, R.; Barnoy, E.; Motiei, M.; Okun, E.; Yadid, G.; Popovtzer, R. The effect of nanoparticle size on the ability to cross the blood–brain barrier: An in vivo study. Nanomedicine 2017, 12, 1533–1546. [Google Scholar] [CrossRef] [PubMed]
- Sanad, S.M.; Farouk, R.; Nassar, S.E.; Alshahrani, M.Y.; Suliman, M.; Ahmed, A.E.; Elesawi, I.E. The neuroprotective effect of quercetin nanoparticles in the therapy of neuronal damage stimulated by acrolein. Saudi J. Biol. Sci. 2023, 30, 103792. [Google Scholar] [CrossRef]
- Kobori, M.; Takahashi, Y.; Akimoto, Y.; Sakurai, M.; Matsunaga, I.; Nishimuro, H.; Ippoushi, K.; Oike, H.; Ohnishi-Kameyama, M. Chronic High Intake of Quercetin Reduces Oxidative Stress and Induces Expression of the Antioxidant Enzymes in the Liver and Visceral Adipose Tissues in Mice. J. Funct. Foods 2015, 15, 551–560. [Google Scholar] [CrossRef]
- Granado-Serrano, A.B.; Martín, M.A.; Bravo, L.; Goya, L.; Ramos, S. Quercetin Modulates Nrf2 and Glutathione-Related Defenses in HepG2 Cells: Involvement of P38. Chem. Interact. 2012, 195, 154–164. [Google Scholar] [CrossRef]
- Gao, W.; Pu, L.; Chen, M.; Wei, J.; Xin, Z.; Wang, Y.; Yao, Z.; Shi, T.; Guo, C. Glutathione Homeostasis Is Significantly Altered by Quercetin via the Keap1/Nrf2 and MAPK Signaling Pathways in Rats. J. Clin. Biochem. Nutr. 2018, 62, 56–62. [Google Scholar] [CrossRef]
- Boots, A.W.; Haenen, G.R.; Bast, A. Health Effects of Quercetin: From Antioxidant to Nutraceutical. Eur. J. Pharmacol. 2008, 585, 325–337. [Google Scholar] [CrossRef]
- Hatami, F.; Farkhondeh, T.; Mohaqeq, A.; Valizadeh, N.; Aschner, M.; Alemzadeh, E.; Samarghandian, S. Quercetin’s neuroprotective role: Activating Nrf2 signaling pathways. Curr. Nutr. Food Sci. 2025, 21, 179–190. [Google Scholar] [CrossRef]
- Santos, N.C.; Figueira-Coelho, J.; Martins-Silva, J.; Saldanha, C. Multidisciplinary utilization of dimethyl sulfoxide: Pharmacological, cellular, and molecular aspects. Biochem. Pharmacol. 2003, 65, 1035–1041. [Google Scholar] [CrossRef]
- Ganta, S.; Devalapally, H.; Shahiwala, A.; Amiji, M. A review of stimuli-responsive nanocarriers for drug and gene delivery. J. Control. Release 2008, 126, 187–204. [Google Scholar] [CrossRef]
- Tapeinos, C.; Battaglini, M.; Ciofani, G. Advances in the design of solid lipid nanoparticles and nanostructured lipid carriers for targeting brain diseases. J. Control. Release 2017, 264, 306–332. [Google Scholar] [CrossRef]
- Barbosa, K.B.F.; Costa, N.M.B.; Alfenas, R.C.G.; Paula, S.O.; Minim, V.P.R.; Bressan, J. Estresse oxidativo: Conceito, implicações e fatores modulatórios. Rev. Nut. 2010, 23, 629–643. [Google Scholar] [CrossRef]
- Cumaoğlu, A.; AĞKAYA, A.Ö.; Özkul, Z. Effect of the Lipid Peroxidation Product 4-Hydroxynonenal on Neuroinflammation in Microglial Cells: Protective Role of Quercetin and Monochloropivaloylquercetin. Turk. J. Pharm. Sci. 2019, 16, 54–61. [Google Scholar] [CrossRef] [PubMed]
- González-Segovia, R.; Quintanar, J.L.; Salinas, E.; Ceballos-Salazar, R.; Aviles-Jiménez, F.; Torres-López, J. Effect of the Flavonoid Quercetin on Inflammation and Lipid Peroxidation Induced by Helicobacter Pylori in Gastric Mucosa of Guinea Pig. J. Gastroenterol. 2008, 43, 441–447. [Google Scholar] [CrossRef]
- Chen, Y.; Li, Y.-Y.; Wang, S.; Zhou, T.; Chen, N.-H.; Yuan, Y.-H. Ginsenoside Rg1 Plays a Neuroprotective Role in Regulating the Iron-Regulated Proteins and Against Lipid Peroxidation in Oligodendrocytes. Neurochem. Res. 2022, 47, 1721–1735. [Google Scholar] [CrossRef]
- Gargouri, B.; Mansour, R.; Abdallah, F.; Elfekih, A.; Lassoued, S.; Khaled, H. Protective Effect of Quercetin against Oxidative Stress Caused by Dimethoate in Human Peripheral Blood Lymphocytes. Lipids Heal. Dis. 2011, 10, 149. [Google Scholar] [CrossRef]
- Miyamoto, N.; Izumi, H.; Miyamoto, R.; Kondo, H.; Tawara, A.; Sasaguri, Y.; Kohno, K. Quercetin Induces the Expression of Peroxiredoxins 3 and 5 via the Nrf2/NRF1 Transcription Pathway. Investig. Opthalmol. Vis. Sci. 2011, 52, 1055–1063. [Google Scholar] [CrossRef]
- Boix, N.; Teixido, E.; Pique, E.; Llobet, J.M.; Gomez-Catalan, J. Modulation and Protection Effects of Antioxidant Compounds against Oxidant Induced Developmental Toxicity in Zebrafish. Antioxidants 2020, 9, 721. [Google Scholar] [CrossRef]
- Wu, D.; Chen, Q.; Chen, X.; Han, F.; Chen, Z.; Wang, Y. The Blood–Brain Barrier: Structure, Regulation and Drug Delivery.” Signal Transduction and Targeted Therapy. Signal Transduct. Target. Ther. 2023, 8, 330. [Google Scholar] [CrossRef]
- Saraiva, C.; Praça, C.; Ferreira, R.; Santos, T.; Ferreira, L.; Bernardino, L. Nanoparticle-Mediated Brain Drug Delivery: Overcoming Blood–Brain Barrier to Treat Neurodegenerative Diseases. J. Control. Release 2016, 235, 34–47. [Google Scholar] [CrossRef] [PubMed]
- Kreuter, J. Drug Delivery to the Central Nervous System by Polymeric Nanoparticles: What Do We Know? Adv. Drug Deliv. Rev. 2014, 71, 2–14. [Google Scholar] [CrossRef] [PubMed]
- Teleanu, D.M.; Chircov, C.; Grumezescu, A.M.; Volceanov, A.; Teleanu, R.I. Blood-Brain Delivery Methods Using Nanotechnology. Pharmaceutics 2018, 10, 269. [Google Scholar] [CrossRef] [PubMed]
- Tomou, E.M.; Kalli, M.A.; Kafantari, K.; Athanassopoulos, C.M. Recent Advances in Nanofor-mulations for Quercetin Delivery. Pharmaceutics 2023, 15, 1656. Available online: https://pubmed.ncbi.nlm.nih.gov/37376104/ (accessed on 25 July 2025). [CrossRef]
- Fleming, A.; Diekmann, H.; Goldsmith, P. Functional Characterisation of the Maturation of the Blood-Brain Barrier in Larval Zebrafish. PLoS ONE 2013, 8, e77548. [Google Scholar] [CrossRef]
- O’BRown, N.M.; Megason, S.G.; Gu, C. Suppression of Transcytosis Regulates Zebrafish Blood–Brain Barrier Development. eLife 2019, 8, e47326. [Google Scholar] [CrossRef] [PubMed]
- Quiñonez-Silvero, C.; Stark, R.; Gerhardt, H. Development of the Brain Vasculature and the Blood–Brain Barrier in Zebrafish. Dev. Biol. 2020, 463, 131–148. Available online: https://pubmed.ncbi.nlm.nih.gov/30862465/ (accessed on 25 July 2025). [CrossRef] [PubMed]






| Formulation | Size (nm) | PDI | ζ-Potential (mV) |
|---|---|---|---|
| NE | 19.83 ± 1.02 | 0.16 ± 0.010 | −5.08 ± 0.10 |
| NEQU | 19.82 ± 0.72 | 0.21 ± 0.010 | −5.34 ± 0.05 |
Disclaimer/Publisher’s Note: The statements, opinions and data contained in all publications are solely those of the individual author(s) and contributor(s) and not of MDPI and/or the editor(s). MDPI and/or the editor(s) disclaim responsibility for any injury to people or property resulting from any ideas, methods, instructions or products referred to in the content. |
© 2025 by the authors. Licensee MDPI, Basel, Switzerland. This article is an open access article distributed under the terms and conditions of the Creative Commons Attribution (CC BY) license (https://creativecommons.org/licenses/by/4.0/).
Share and Cite
Vian, C.d.O.; De Aguiar, R.F.; Marinho, M.A.G.; Mackmillan, V.P.; Alves, C.M.; Rodrigues, J.L.; de Miranda, F.B.; Dora, C.L.; Horn, A.P.; Hort, M.A. Effects of Quercetin in Free Form and Nanoemulsion in an In Vivo Model of Parkinson’s Disease. Future Pharmacol. 2025, 5, 68. https://doi.org/10.3390/futurepharmacol5040068
Vian CdO, De Aguiar RF, Marinho MAG, Mackmillan VP, Alves CM, Rodrigues JL, de Miranda FB, Dora CL, Horn AP, Hort MA. Effects of Quercetin in Free Form and Nanoemulsion in an In Vivo Model of Parkinson’s Disease. Future Pharmacology. 2025; 5(4):68. https://doi.org/10.3390/futurepharmacol5040068
Chicago/Turabian StyleVian, Camila de Oliveira, Rafael Felipe De Aguiar, Marcelo Augusto Germani Marinho, Vitória Pereira Mackmillan, Carolina Miranda Alves, Jamile Lima Rodrigues, Fernanda Barros de Miranda, Cristiana Lima Dora, Ana Paula Horn, and Mariana Appel Hort. 2025. "Effects of Quercetin in Free Form and Nanoemulsion in an In Vivo Model of Parkinson’s Disease" Future Pharmacology 5, no. 4: 68. https://doi.org/10.3390/futurepharmacol5040068
APA StyleVian, C. d. O., De Aguiar, R. F., Marinho, M. A. G., Mackmillan, V. P., Alves, C. M., Rodrigues, J. L., de Miranda, F. B., Dora, C. L., Horn, A. P., & Hort, M. A. (2025). Effects of Quercetin in Free Form and Nanoemulsion in an In Vivo Model of Parkinson’s Disease. Future Pharmacology, 5(4), 68. https://doi.org/10.3390/futurepharmacol5040068

