Numerical Investigation on Wave-Induced Boundary Layer Flow over a Near-Wall Pipeline
Abstract
1. Introduction
2. Numerical Setup
2.1. Governing Equations
2.2. Computational Overview
- At the inlet, fully developed time-dependent oscillatory boundary layer flow profiles are prescribed. A series of 1D numerical simulations driven by the 1D body force of the waves is performed to obtain the velocity profiles under different variables of the flow (i.e., , and ). The 1D body force is given based on [15] as . In addition, at the inlet, the turbulence quantities are set as zero normal gradients, as used in [19].
- A symmetry boundary condition is applied at the top boundary. The vertical velocity is zero and the horizontal velocity and other quantities of the simulations are set as zero normal gradient.
- At the surface of the cylinder, a no-slip condition is used for the velocity components. For the turbulence quantities, a wall function based on Spalding’s law of the wall (Spalding, [27]) is employed for the near-wall region around the cylinder surface.
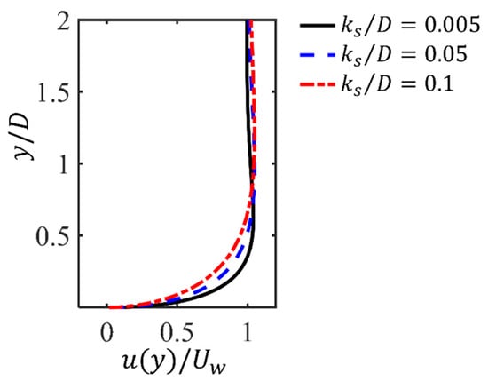
- On the rough bottom wall, a no-slip condition is used for the velocity components. A zero normal gradient is used for the turbulence kinetic energy . To model the roughness, the value of is prescribed based on Wilcox [28] as , where the value of is given as

| Mesh | Mesh No. | |||
|---|---|---|---|---|
| 1 | 10,084 | 0.812 | 0.3 | 0.854 |
| 2 | 17,238 | 1.35 | 0.29 | 0.937 |
| 3 | 28,280 | 1.33 | 0.28 | 0.824 |
3. Results and Discussion
3.1. Hydrodynamic Force Coefficients
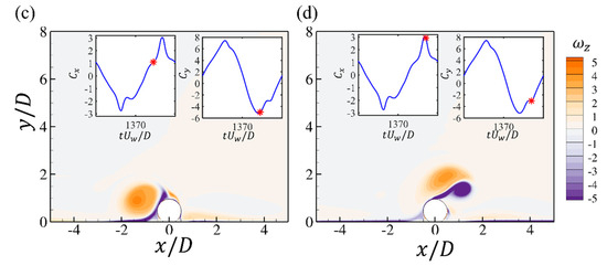
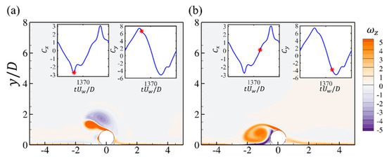
3.2. Flow Fields



4. Conclusions
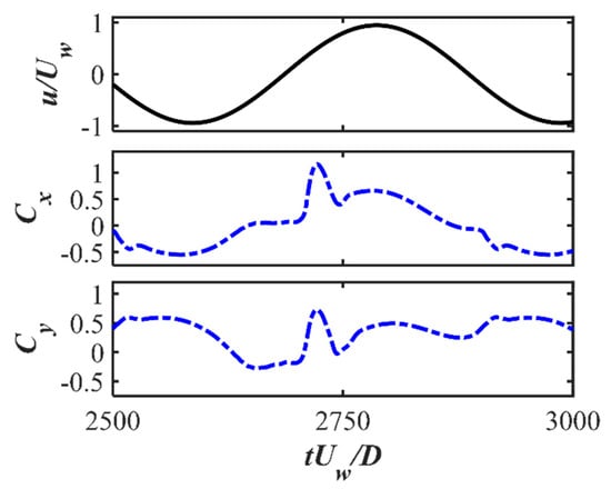
- There are strong spikes in the drag and lift force time series for the wall-mounted cylinder, which occur closely after the main flow direction is reversed, followed by second peaks corresponding to the peak value of the main flow velocity.
- With the increasing , the boundary layer effects become significant for the large , leading to an increasing velocity reduction and decreasing peak values of the force coefficients. For the small , the inertial effect from the oscillatory flow dominates the oscillatory behavior of the force coefficients, leading to an insignificant difference in and for different .
- With the increasing gap ratio, the net lift coefficient starts to decrease and there is vortex shedding for the large KC cases, which results in an additional high-frequency oscillation in the time-series of the lift coefficient.
- The FPM analysis reveals that for the wall-mounted cases, the elongated shear layers from the top of the cylinder contribute to the peak values of the drag force coefficients. The spikes of the coefficients may be related to the enhancement of the shear layer by the reversed bottom boundary layer flows. For the cases with a small gap ratio to the bottom wall, the jet flows through the gap contribute to the lift forces. In addition, the contributions of the shear layers to the lift forces become reversed when they become elongated and separated.
Author Contributions
Funding
Data Availability Statement
Acknowledgments
Conflicts of Interest
References
- Teng, Y.; Griffiths, T.; An, H.; Draper, S.; Tang, G.; Mohr, H.; White, D.J.; Fogliani, A.; Cheng, L. Hydrodynamic forces on subsea cables immersed in wave boundary layers. Coast. Eng. 2022, 174, 104101. [Google Scholar] [CrossRef]
- Reda, A.; Low, H.E.; Shahin, M.A. Surface Roughness Analysis of Subsea Cables/Umbilicals. J. Mar. Sci. Eng. 2025, 13, 111. [Google Scholar] [CrossRef]
- Yang, S.H.; Ringsberg, J.W.; Johnson, E. Parametric study of the dynamic motions and mechanical characteristics of power cables for wave energy converters. J. Mar. Sci. Technol. 2018, 23, 10–29. [Google Scholar] [CrossRef]
- Jin, H. Design and construction of a large-diameter crude oil pipeline in Northeastern China: A special issue on permafrost pipeline. Cold Reg. Sci. Technol. 2010, 64, 209–212. [Google Scholar] [CrossRef]
- Stansby, P.K. Forces on a circular cylinder in elliptical orbital flows at low Keulegan-Carpenter numbers. Appl. Ocean Res. 1993, 15, 281–292. [Google Scholar] [CrossRef]
- Griffiths, T.; Teng, Y.; Cheng, L.; An, H.; Draper, S.; Mohr, H.; Fogliani, A.; Mariani, A.; White, D. Hydrodynamic forces on near-bed small diameter cables and pipelines in currents waves and combined flow. In Proceedings of the International Conference on Offshore Mechanics and Arctic Engineering, Glasgow, UK, 9–14 June 2019; American Society of Mechanical Engineers: New York, NY, USA; Volume 58813, p. V05BT04A019. [Google Scholar]
- Yuan, Z.; Huang, Z. Morison coefficients for a circular cylinder oscillating with dual frequency in still water: An analysis using independent-flow form of Morison’s equation. J. Ocean Eng. Mar. Energy 2015, 1, 435–444. [Google Scholar] [CrossRef]
- Petersen, T.U.; Mandviwalla, X.; Christensen, E.D.; Tarp-Johansen, N.J.; Rüdinger, F. Oscillatory loads on circular cylinder with secondary structures. J. Fluids Struct. 2020, 94, 102935. [Google Scholar] [CrossRef]
- Ren, C.; Lu, L.; Cheng, L.; Chen, T. Hydrodynamic damping of an oscillating cylinder at small Keulegan—Carpenter numbers. J. Fluid Mech. 2021, 913, A36. [Google Scholar] [CrossRef]
- Chang, W.Y.; Constantinescu, G. Oscillatory flow around a vertical circular cylinder placed in an open channel: Coherent structures, sediment entrainment potential and drag forces. J. Fluid Mech. 2023, 964, A22. [Google Scholar] [CrossRef]
- Tong, F.; Cheng, L.; Zhao, M.; An, H. Oscillatory flow regimes around four cylinders in a square arrangement under small conditions. J. Fluid Mech. 2015, 769, 298–336. [Google Scholar] [CrossRef]
- Sumer, B.M.; Jensen, B.L.; Fredsøe, J. Effect of a plane boundary on oscillatory flow around a circular cylinder. J. Fluid Mech. 1991, 225, 271–300. [Google Scholar] [CrossRef]
- An, H.; Cheng, L.; Zhao, M. Steady streaming around a circular cylinder near a plane boundary due to oscillatory flow. J. Hydraul. Eng. 2011, 137, 23–33. [Google Scholar] [CrossRef]
- Fuhrman, D.R.; Baykal, C.; Sumer, B.M.; Jacobsen, N.G.; Fredsøe, J. Numerical simulation of wave-induced scour and backfilling processes beneath submarine pipelines. Coast. Eng. 2014, 94, 10–22. [Google Scholar] [CrossRef]
- Larsen, B.E.; Fuhrman, D.R.; Sumer, B.M. Simulation of wave-plus-current scour beneath submarine pipelines. J. Waterw. Port Coast. Ocean Eng. 2016, 142, 04016003. [Google Scholar] [CrossRef]
- Huang, J.; Yin, G.; Ong, M.C.; Myrhaug, D.; Jia, X. Numerical investigation of scour beneath pipelines subjected to an oscillatory flow condition. J. Mar. Sci. Eng. 2021, 9, 1102. [Google Scholar] [CrossRef]
- Sun, S.; Yang, W.; Liu, S.; Li, P.; Ong, M.C. Computational fluid dynamics simulations of a near-wall rectangular cylinder in an oscillatory flow. Ocean Eng. 2024, 304, 117776. [Google Scholar] [CrossRef]
- Cheng, L.; An, H.; Draper, S.; White, D. Effect of wave boundary layer on hydrodynamic forces on small diameter pipelines. Ocean Eng. 2016, 125, 26–30. [Google Scholar] [CrossRef]
- Tang, G.; Cheng, L.; Lu, L.; Teng, Y.; Zhao, M.; An, H. Effect of oscillatory boundary layer on hydrodynamic forces on pipelines. Coast. Eng. 2018, 140, 114–123. [Google Scholar] [CrossRef]
- Yin, G.; Ong, M.C.; Ye, N. Hydrodynamic Forces on a Near-Bottom Pipeline Subject to Wave-Induced Boundary Layer. J. Offshore Mech. Arct. Eng. 2024, 146, 021803. [Google Scholar] [CrossRef]
- Menter, F.R. Two-equation eddy-viscosity turbulence models for engineering applications. AIAA J. 1994, 32, 1598–1605. [Google Scholar] [CrossRef]
- Zhao, M.; Cheng, L.; Teng, B.; Dong, G. Hydrodynamic forces on dual cylinders of different diameters in steady currents. J. Fluids Struct. 2007, 23, 59–83. [Google Scholar] [CrossRef]
- Jiang, H.; Cheng, L. Numerical modeling of turbulent wall-bounded oscillatory flow and its effect on small-diameter pipelines. In Proceedings of the International Conference on Offshore Mechanics and Arctic Engineering, Online, 3–7 August 2020; American Society of Mechanical Engineers: New York, NY, USA; Volume 84409, p. V008T08A034. [Google Scholar] [CrossRef]
- Jang, H.K.; Ozdemir, C.E.; Liang, J.H.; Tyagi, M. Oscillatory flow around a vertical wall-mounted cylinder: Flow pattern details. Phys. Fluids 2021, 33, 025114. [Google Scholar] [CrossRef]
- Jiang, H.; Teng, Y.; Cheng, L.; Draper, S.; An, H. Symmetric oscillatory flow induces asymmetric lift on a bottom-mounted horizontal cylinder. Phys. Fluids 2025, 37, 025171. [Google Scholar] [CrossRef]
- Jiang, H.; Cheng, L.; He, F.; Guo, Z.; Cai, Y.; Cen, Z.; Wang, L. Wall boundary conditions for RANS modelling of unidirectional and oscillatory boundary-layer flows. Ocean Eng. 2024, 312, 119175. [Google Scholar] [CrossRef]
- Spalding, D.B. A single formula for the law of the wall. J. Appl. Mech. 1961, 28, 455–458. [Google Scholar] [CrossRef]
- Wilcox, D.C. Formulation of the kw turbulence model revisited. AIAA J. 2008, 46, 2823–2838. [Google Scholar] [CrossRef]
- Nagel, T. Numerical Study of Multi-Scale Flow-Sediment-Structure Interactions Using a Multiphase Approach. Ph.D. Thesis, Université Grenoble Alpes, Grenoble, France, 2018. [Google Scholar]
- Chang, C.C. Potential flow and forces for incompressible viscous flow. Proceedings of the Royal Society of London. Ser. A Math. Phys. Sci. 1992, 437, 517–525. [Google Scholar]
- Zhang, K.; Hayostek, S.; Amitay, M.; He, W.; Theofilis, V.; Taira, K. On the formation of three-dimensional separated flows over wings under tip effects. J. Fluid Mech. 2020, 895, A9. [Google Scholar] [CrossRef]
- Menon, K.; Mittal, R. Significance of the strain-dominated region around a vortex on induced aerodynamic loads. J. Fluid Mech. 2021, 918, R3. [Google Scholar] [CrossRef]
- Menon, K.; Mittal, R. On the initiation and sustenance of flow-induced vibration of cylinders: Insights from force partitioning. J. Fluid Mech. 2020, 907, A37. [Google Scholar] [CrossRef]
- Yin, G.; Janocha, M.J.; Ong, M.C. Estimation of hydrodynamic forces on cylinders undergoing flow-induced vibrations based on modal analysis. J. Offshore Mech. Arct. Eng. 2022, 144, 060904. [Google Scholar] [CrossRef]
- Aghaei-Jouybari, M.; Seo, J.H.; Yuan, J.; Mittal, R.; Meneveau, C. Contributions to pressure drag in rough-wall turbulent flows: Insights from force partitioning. Phys. Rev. Fluids 2022, 7, 084602. [Google Scholar] [CrossRef]
- VimalKumar, S.; De Tavernier, D.; von Terzi, D.; Belloli, M.; Viré, A. Force-partitioning analysis of vortex-induced vibrations of wind turbine tower sections. Wind Energy Sci. 2024, 9, 1967–1983. [Google Scholar] [CrossRef]
- Kumar, P.; Singh, S.K. Flow past a bluff body subjected to lower subcritical Reynolds number. J. Ocean Eng. Sci. 2020, 5, 173–179. [Google Scholar] [CrossRef]
- Schewe, G.; van Hinsberg, N.P.; Jacobs, M. Investigation of the steady and unsteady forces acting on a pair of circular cylinders in crossflow up to ultra-high Reynolds numbers. Exp. Fluids 2021, 62, 176. [Google Scholar] [CrossRef]
- Kološ, I.; Michalcová, V.; Lausová, L. Numerical analysis of flow around a cylinder in critical and subcritical regime. Sustainability 2021, 13, 2048. [Google Scholar] [CrossRef]
- Cao, Y.; Tamura, T. Large-eddy simulation study of Reynolds number effects on the flow around a wall-mounted hemisphere in a boundary layer. Phys. Fluids 2020, 32, 025109. [Google Scholar] [CrossRef]
- Celik, I.B.; Ghia, U.; Roache, P.J.; Freitas, C.J. Procedure for estimation and reporting of uncertainty due to discretization in CFD applications. J. Fluids Eng.-Trans. ASME 2008, 130, 078001. [Google Scholar] [CrossRef]
















| Case | |||
|---|---|---|---|
| 1 | 400 | 0.005 | Wall-mounted |
| 2 | 400 | 0.05 | Wall-mounted |
| 3 | 400 | 0.1 | Wall-mounted |
| 4 | 200 | 0.005 | Wall-mounted |
| 5 | 200 | 0.05 | Wall-mounted |
| 6 | 200 | 0.1 | Wall-mounted |
| 7 | 20 | 0.005 | Wall-mounted |
| 8 | 20 | 0.05 | Wall-mounted |
| 9 | 20 | 0.1 | Wall-mounted |
| 10 | 400 | 0.005 | 0.05 |
| 11 | 400 | 0.005 | 0.4 |
| 12 | 400 | 0.005 | 0.8 |
Disclaimer/Publisher’s Note: The statements, opinions and data contained in all publications are solely those of the individual author(s) and contributor(s) and not of MDPI and/or the editor(s). MDPI and/or the editor(s) disclaim responsibility for any injury to people or property resulting from any ideas, methods, instructions or products referred to in the content. |
© 2025 by the authors. Licensee MDPI, Basel, Switzerland. This article is an open access article distributed under the terms and conditions of the Creative Commons Attribution (CC BY) license (https://creativecommons.org/licenses/by/4.0/).
Share and Cite
Yin, G.; Gundersen, S.Ø.; Ong, M.C. Numerical Investigation on Wave-Induced Boundary Layer Flow over a Near-Wall Pipeline. Coasts 2025, 5, 40. https://doi.org/10.3390/coasts5040040
Yin G, Gundersen SØ, Ong MC. Numerical Investigation on Wave-Induced Boundary Layer Flow over a Near-Wall Pipeline. Coasts. 2025; 5(4):40. https://doi.org/10.3390/coasts5040040
Chicago/Turabian StyleYin, Guang, Sindre Østhus Gundersen, and Muk Chen Ong. 2025. "Numerical Investigation on Wave-Induced Boundary Layer Flow over a Near-Wall Pipeline" Coasts 5, no. 4: 40. https://doi.org/10.3390/coasts5040040
APA StyleYin, G., Gundersen, S. Ø., & Ong, M. C. (2025). Numerical Investigation on Wave-Induced Boundary Layer Flow over a Near-Wall Pipeline. Coasts, 5(4), 40. https://doi.org/10.3390/coasts5040040

