Effects of Respiratory Muscle Training on Performance and Inspiratory Strength in Female CrossFit Athletes: A Randomized Controlled Trial
Abstract
1. Introduction
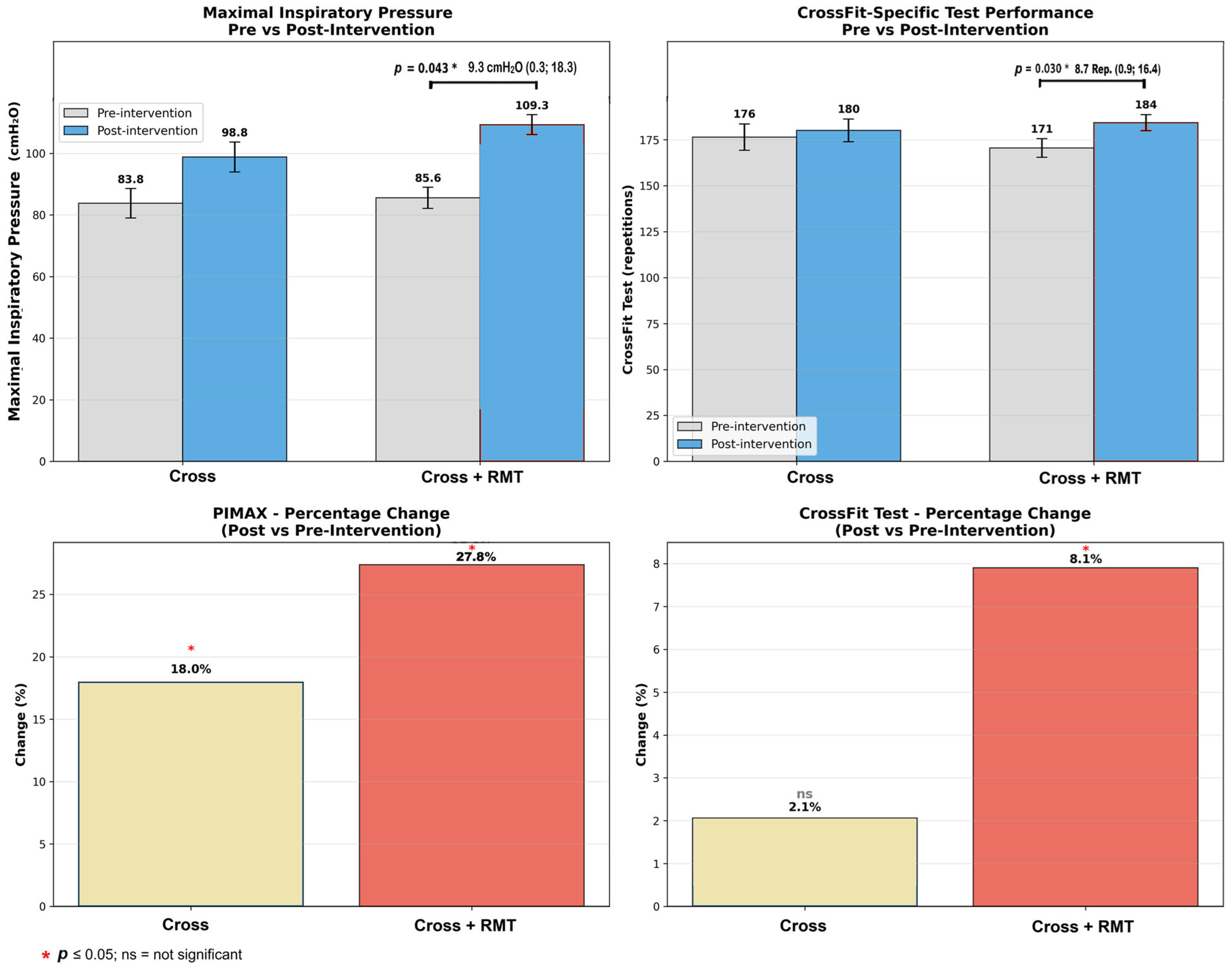
2. Results
3. Discussion
Practical Applications
4. Materials and Methods
4.1. Experimental Approach
4.2. Participants
4.3. Training Protocol
- (a)
- Warm-up (15 min): This phase included 10 min of stretching and joint mobility exercises focused on major muscle groups, followed by 5 min of dynamic activation drills specific to CrossFit (e.g., air squats, push-up progressions).
- (b)
- Strength & Skill Development (20 min): This segment combined dynamic exercises (e.g., Olympic lifts) and static holds (e.g., hollow body positions) to develop technical proficiency and power.
- (c)
- WOD (8–15 min): The core component of each session involved high-intensity interval training or As Many Rounds As Possible (AMRAP) circuits. The specific exercises, repetitions, and schemes for each WOD across the 6-week period are detailed in Supplementary Table S1.
- (d)
- Cool-down (5 min): Each session concluded with guided breathing exercises and low-intensity mobility movements to promote recovery.
4.4. Experimental Procedures
4.5. Specific Performance Test in CrossFit
4.6. Measurement of Respiratory Muscle Strength
4.7. RMT Protocol
4.8. Statistical Analysis
5. Conclusions
Supplementary Materials
Author Contributions
Funding
Institutional Review Board Statement
Informed Consent Statement
Data Availability Statement
Conflicts of Interest
Abbreviations
| ALT | Alternate |
| AMRAP | As many rounds as possible |
| ANCOVA | Analysis of Covariance |
| BJ | Box jump |
| BOB | Burpee Over the Bar |
| BP | Burpee |
| BSU | Box step-up |
| Cal | Calories |
| CAAE | Ethical approval code |
| DB | Dumbbell |
| DL | Deadlift |
| DU | Double under |
| HC | Hang clean |
| HSPU | Handstand push-up |
| KTB | Kettlebell swing |
| MB | Medicine ball |
| PIMAX | Maximal inspiratory pressure |
| Mon | Monday |
| OHS | Overhead squat |
| PC | Power clean |
| PU | Pull-up |
| RC | Rope climb |
| REBEC | Brazilian clinical trials registry |
| RMT | Respiratory muscle training |
| SDHP | Sumo deadlift high pull |
| SNT | Snatch |
| SQ | Squat |
| TTB | Toes-to-bar |
| Tue | Tuesday |
| VO2max | Maximal oxygen uptake |
| WB | Wall ball |
| Wed | Wednesday |
| WOD | Workout of the day |
| WW | Wall walk |
| yrs | Years |
| ηp2 | Partial eta squared |
| cmH2O | Centimeters of water |
References
- Meyer, J.; Morrison, J.; Zuniga, J. The benefits and risks of CrossFit: A systematic review. Workplace Health Saf. 2017, 65, 612–618. [Google Scholar] [CrossRef]
- Schlegel, P. CrossFit® training strategies from the perspective of concurrent training: A systematic review. J. Sports Sci. Med. 2020, 19, 670. [Google Scholar] [PubMed]
- Jacob, N.; Novaes, J.S.; Behm, D.G.; Vieira, J.G.; Dias, M.R.; Vianna, J.M. Characterization of hormonal, metabolic, and inflammatory responses in CrossFit® training: A systematic review. Front. Physiol. 2020, 11, 1001. [Google Scholar] [CrossRef] [PubMed]
- Mangine, G.T.; Stratton, M.T.; Almeda, C.G.; Roberts, M.D.; Esmat, T.A.; VanDusseldorp, T.A.; Feito, Y. Physiological differences between advanced CrossFit athletes, recreational CrossFit participants, and physically-active adults. PLoS ONE 2020, 15, e0223548. [Google Scholar] [CrossRef] [PubMed]
- Oliver-López, A.; Vega-Díaz, M.; Sáenz, A.; González-García, H. Relationships Among Physical Self-Concept Profiles, Orthorexia Nervosa, and Exercise Addiction in Crossfitters. J. Clin. Sport Psychol. 2024, 1, 1–18. [Google Scholar] [CrossRef]
- Wagener, S.; Hoppe, M.W.; Hotfiel, T.; Engelhardt, M.; Javanmardi, S.; Baumgart, C.; Freiwald, J. CrossFit®–development, benefits and risks. Sports Orthop. Traumatol. 2020, 36, 241–249. [Google Scholar] [CrossRef]
- Aravena-Sagardia, P.; Barramuño-Medina, M.; Vásquez, B.P.; Pichinao Pichinao, S.; Sepúlveda, P.R.; Herrera-Valenzuela, T.; Hernandez-Martinez, J.; Levín-Catrilao, Á.; Villagrán-Silva, F.; Vásquez-Carrasco, E. Effects of a CrossFit Training Program on Body Composition and Physical Fitness in Novice and Advanced Practitioners: An Inter-Individual Analysis. Appl. Sci. 2025, 15, 3554. [Google Scholar] [CrossRef]
- Bellar, D.; Hatchett, A.; Judge, L.W.; Breaux, M.; Marcus, L. The relationship of aerobic capacity, anaerobic peak power and experience to performance in in CrossFit exercise. Biol. Sport 2015, 32, 315–320. [Google Scholar] [CrossRef]
- Escobar, K.A.; Morales, J.; Vandusseldorp, T.A. The Effect of a Moderately Low and High Carbohydrate Intake on Crossfit Performance. Int. J. Exerc. Sci. 2016, 9, 460–470. [Google Scholar] [CrossRef]
- Feito, Y.; Heinrich, K.M.; Butcher, S.J.; Poston, W.S.C. High-Intensity Functional Training (HIFT): Definition and Research Implications for Improved Fitness. Sports 2018, 6, 76. [Google Scholar] [CrossRef]
- Rios, M.; Becker, K.M.; Monteiro, A.S.; Fonseca, P.; Pyne, D.B.; Reis, V.M.; Moreira-Gonçalves, D.; Fernandes, R.J. Effect of the Fran CrossFit Workout on Oxygen Uptake Kinetics, Energetics, and Postexercise Muscle Function in Trained CrossFitters. Int. J. Sports Physiol. Perform. 2024, 19, 299–306. [Google Scholar] [CrossRef]
- Rios, M.; Zacca, R.; Azevedo, R.; Fonseca, P.; Pyne, D.B.; Reis, V.M.; Moreira-Gonçalves, D.; Fernandes, R.J. Bioenergetic Analysis and Fatigue Assessment During the Fran Workout in Experienced Crossfitters. Int. J. Sports Physiol. Perform. 2023, 18, 786–792. [Google Scholar] [CrossRef] [PubMed]
- Butcher, S.J.; Neyedly, T.J.; Horvey, K.J.; Benko, C.R. Do physiological measures predict selected CrossFit(®) benchmark performance? Open Access J. Sports Med. 2015, 6, 241–247. [Google Scholar] [CrossRef] [PubMed]
- Shaw, S.B.; Dullabh, M.; Forbes, G.; Brandkamp, J.-L.; Shaw, I. Analysis of physiological determinants during a single bout of Crossfit. Int. J. Perform. Anal. Sport 2015, 15, 809–815. [Google Scholar] [CrossRef]
- Gama, G.; Farinatti, P.; Rangel, M.V.d.S.; Mira, P.A.d.C.; Laterza, M.C.; Crisafulli, A.; Borges, J.P. Muscle metaboreflex adaptations to exercise training in health and disease. Eur. J. Appl. Physiol. 2021, 121, 2943–2955. [Google Scholar] [CrossRef]
- Gomes, F.; Lopes, T.; Silva, B. Dose-response relationship between muscle metaboreflex intensity and voluntary exercise intensity in regulating pulmonary ventilation and pulmonary gas exchange. Physiology 2025, 40, 0617. [Google Scholar] [CrossRef]
- Koizumi, J.; Ohya, T. Effects of high-intensity inspiratory muscle warm-up on inspiratory muscle strength and accessory inspiratory muscle activity. Resp. Physiol. Neurobiol. 2023, 313, 104069. [Google Scholar] [CrossRef]
- Sato, K.; Kamoda, T.; Sakamoto, R.; Katayama, K.; Neki, T.; Katayose, M.; Iwamoto, E. Effects of inspiratory muscle metaboreflex on cerebral circulation at rest and during light-intensity exercise in healthy males. Resp. Physiol. Neurobiol. 2025, 336, 104422. [Google Scholar] [CrossRef]
- Yamada, Y.; Hammert, W.B.; Kataoka, R.; Song, J.S.; Kang, A.; Kassiano, W.; Loenneke, J.P. The role of the muscle metaboreflex on cardiovascular responses to submaximal resistance exercise with different pressures and modes of blood flow restriction. Appl. Physiol. Nutr. Metab. 2025, 50, 1–9. [Google Scholar] [CrossRef]
- HajGhanbari, B.; Yamabayashi, C.; Buna, T.R.; Coelho, J.D.; Freedman, K.D.; Morton, T.A.; Palmer, S.A.; Toy, M.A.; Walsh, C.; Sheel, A.W. Effects of respiratory muscle training on performance in athletes: A systematic review with meta-analyses. J. Strength Cond. Res. 2013, 27, 1643–1663. [Google Scholar] [CrossRef]
- Shei, R.-J.; Paris, H.L.; Sogard, A.S.; Mickleborough, T.D. Time to move beyond a “one-size fits all” approach to inspiratory muscle training. Front. Physiol. 2022, 12, 2452. [Google Scholar] [CrossRef]
- Fabero-Garrido, R.; Del Corral, T.; Angulo-Díaz-Parreño, S.; Plaza-Manzano, G.; Martín-Casas, P.; Cleland, J.A.; Fernandez-de-Las-Penas, C.; López-de-Uralde-Villanueva, I. Respiratory muscle training improves exercise tolerance and respiratory muscle function/structure post-stroke at short term: A systematic review and meta-analysis. Ann. Phys. Rehabil. Med. 2022, 65, 101596. [Google Scholar] [CrossRef] [PubMed]
- Fernández-Lázaro, D.; Gallego-Gallego, D.; Corchete, L.A.; Fernández Zoppino, D.; González-Bernal, J.J.; García Gómez, B.; Mielgo-Ayuso, J. Inspiratory muscle training program using the powerbreath®: Does it have ergogenic potential for respiratory and/or athletic performance? a systematic review with meta-analysis. Int. J. Environ. Res. Public Health 2021, 18, 6703. [Google Scholar] [CrossRef] [PubMed]
- Grachan, J.; Essick, E.E. The effects of respiratory muscle resistance training on lactate threshold: A potential effort to prevent muscle fatigue during exercise. Bios 2019, 90, 263–268. [Google Scholar] [CrossRef]
- Xavier, D.M.; Miranda, J.P.d.; Figueiredo, P.H.S.; Lima, V.P. The effectiveness of respiratory muscular training in athletes: A systematic review and meta-analysis. J. Bodyw. Mov. Ther. 2025, 42, 777–792. [Google Scholar] [CrossRef]
- Kowalski, T.; Obmiński, Z.; Waleriańczyk, W.; Klusiewicz, A. The acute effect of respiratory muscle training on cortisol, testosterone, and testosterone-to-cortisol ratio in well-trained triathletes-exploratory study. Resp. Physiol. Neurobiol. 2025, 331, 104353. [Google Scholar] [CrossRef]
- Klusiewicz, A.; Dlugolecka, B.; Charmas, M. Characteristics of the respiratory muscle strength of women and men at different training levels. Pol. J. Sport Tourism 2014, 21, 82. [Google Scholar] [CrossRef]
- Ponce-García, T.; García-Romero, J.; Carrasco-Fernández, L.; Castillo-Domínguez, A.; Benítez-Porres, J. Sex differences in anaerobic performance in CrossFit® athletes: A comparison of three different all-out tests. PeerJ 2025, 13, e18930. [Google Scholar] [CrossRef]
- Jowsey, J.R.; Haff, G.G.; Comfort, P.; Ripley, N.J. Performance in Multi-Joint Force-Plate Assessments in Male and Female CrossFit® Athletes. Biomechanics 2025, 5, 35. [Google Scholar] [CrossRef]
- Rios, M.; Cardoso, R.; Reis, V.M.; Moreira-Gonçalves, D.; Pyne, D.B.; Fernandes, R.J. Sex-related differences in the acute physiological response to a high-intensity CrossFit® workout. Curr. Res. Physiol. 2025, 8, 100148. [Google Scholar] [CrossRef]
- Rios, M.; Becker, K.M.; Cardoso, F.; Pyne, D.B.; Reis, V.M.; Moreira-Gonçalves, D.; Fernandes, R.J. Assessment of Cardiorespiratory and Metabolic Contributions in an Extreme Intensity CrossFit® Benchmark Workout. Sensors 2024, 24, 513. [Google Scholar] [CrossRef]
- Oliver-López, A.; García-Valverde, A.; Sabido, R. Summary of the evidence on responses and adaptations derived from CrossFit training. A systematic review. Retos 2022, 46, 309–322. [Google Scholar] [CrossRef]
- Guenette, J.A.; Martens, A.M.; Lee, A.L.; Tyler, G.D.; Richards, J.C.; Foster, G.E.; Warburton, D.E.; Sheel, A.W. Variable effects of respiratory muscle training on cycle exercise performance in men and women. Appl. Physiol. Nutr. Metab. 2006, 31, 159–166. [Google Scholar] [CrossRef] [PubMed]
- Volianitis, S.; McConnell, A.K.; Koutedakis, Y.; McNaughton, L.R.; Backx, K.; Jones, D.A. Inspiratory muscle training improves rowing performance. Med. Sci. Sports Exerc. 2001, 33, 803–809. [Google Scholar] [CrossRef] [PubMed]
- Holm, P.; Sattler, A.; Fregosi, R.F. Endurance training of respiratory muscles improves cycling performance in fit young cyclists. BMC Physiol. 2004, 4, 9. [Google Scholar] [CrossRef] [PubMed]
- Al-Otaibi, H.M.; Sartor, F.; Kubis, H.-P. The influence of low resistance respiratory muscle training on pulmonary function and high intensity exercise performance. J. Exerc. Sci. Fit. 2024, 22, 179–186. [Google Scholar] [CrossRef]
- Salazar-Martínez, E. Breathing Pattern Response after 6 Weeks of Inspiratory Muscle Training during Exercise. Adv. Resp. Med. 2024, 92, 58–65. [Google Scholar] [CrossRef]
- Salazar-Martínez, E.; Gatterer, H.; Burtscher, M.; Naranjo Orellana, J.; Santalla, A. Influence of inspiratory muscle training on ventilatory efficiency and cycling performance in normoxia and hypoxia. Front. Physiol. 2017, 8, 133. [Google Scholar] [CrossRef]
- Akınoğlu, B.; Kocahan, T.; Özkan, T. The relationship between peripheral muscle strength and respiratory function and respiratory muscle strength in athletes. J. Exerc. Rehab 2019, 15, 44–49. [Google Scholar] [CrossRef]
- Tosun, M.I.; Demirkan, E.; Kaplan, A.; Ari Yilmaz, Y.; Eker Arici, I.; Favre, M.; Aslan, V.; Kutlu, M. Respiratory muscle training improves aerobic capacity and respiratory muscle strength in youth wrestlers. Front. Physiol. 2025, 16, 1492446. [Google Scholar] [CrossRef]
- Koç, M.; Saritas, N. The Effect of Respiratory Muscle Training on Aerobic and Anaerobic Strength in Adolescent Taekwondo Athletes. J. Edu. Train. Stud. 2019, 7, 103–110. [Google Scholar] [CrossRef]
- Hackett, D.A.; Sabag, A. Lung function and respiratory muscle strength and their relationship with weightlifting strength and body composition in non-athletic males. Respir. Physiol. Neurobiol. 2021, 286, 103616. [Google Scholar] [CrossRef]
- Jackson, A.S.; Pollock, M.L.; Ward, A. Generalized equations for predicting body density of women. Med. Sci. Sports Exerc. 1980, 12, 175–181. [Google Scholar] [CrossRef]
- Jiroumaru, T. Relationship between respiratory muscle strength and dynamic balance in older persons requiring care or support: Focusing on the maximal single step length test and maximal double step length test as dynamic balance indices. Gait Posture 2024, 109, 64–69. [Google Scholar] [CrossRef]
- Colak, G.Y.; Ozyurek, S.; Sengul, Y.S.; Kalemci, O. Differences of diaphragmatic muscle contraction between female patients with chronic neck pain and asymptomatic controls: A case-control study based on ultrasonography. Musculoskelet. Sci. Pract. 2024, 69, 102894. [Google Scholar] [CrossRef]
- Lista-Paz, A.; Langer, D.; Barral-Fernández, M.; Quintela-del-Río, A.; Gimeno-Santos, E.; Arbillaga-Etxarri, A.; Torres-Castro, R.; Casamitjana, J.V.; de la Fuente, A.B.V.; Veguillas, C.S. Maximal respiratory pressure reference equations in healthy adults and cut-off points for defining respiratory muscle weakness. Arch. Bronconeumol. 2023, 59, 813–820. [Google Scholar] [CrossRef] [PubMed]
- Hernandez, M.; Lee, P.J.; Yeap, S.B.; Ye, R.; Foote, M.R.; Busse, M.P.; Patel, M.S.; Dagan, M.R.; Snider, M.J.; Mohammed, M.M.N.; et al. The Reality of Randomized Controlled Trials for Assessing the Benefit of Proton Therapy: Critically Examining the Intent-to-Treat Principle in the Presence of Insurance Denial. Adv. Radiat. Oncol. 2020, 6, 100635. [Google Scholar] [CrossRef] [PubMed]
- Sales, A.T.d.N.; Fregonezi, G.A.d.F.; Ramsook, A.H.; Guenette, J.A.; Lima, I.N.D.; Reid, W.D. Respiratory muscle endurance after training in athletes and non-athletes: A systematic review and meta-analysis. Phys. Ther. Sport. 2016, 17, 76–86. [Google Scholar] [CrossRef] [PubMed]
- Beaumont, M.; Forget, P.; Couturaud, F.; Reychler, G. Effects of inspiratory muscle training in COPD patients: A systematic review and meta-analysis. Clin. Resp. J. 2018, 12, 2178–2188. [Google Scholar] [CrossRef]
- Laveneziana, P.; Albuquerque, A.; Aliverti, A.; Babb, T.; Barreiro, E.; Dres, M.; Dubé, B.-P.; Fauroux, B.; Gea, J.; Guenette, J.A. ERS statement on respiratory muscle testing at rest and during exercise. Eur. Respir. J. 2019, 53, 1801214. [Google Scholar] [CrossRef]
- Yagin, F.H.; Pinar, A.; de Sousa Fernandes, M.S. Statistical effect sizes in sports science. J. Exerc. Sci. Phys. Act. Rev. 2024, 2, 164–171. [Google Scholar] [CrossRef]



Exercises sequency.
| Measure | Cross (n = 14) | Cross + RMT (n = 15) | Statistics |
|---|---|---|---|
| Age (yrs) | 32.9 ± 9.3 (27.6; 38.3) | 27.9 ± 5.8 (24.1; 30.8) | T = 1.899; p = 0.068 |
| Body mass (Kg) | 69.3 ± 12.7 (61.9; 76.6) | 62.9 ± 6.8 (58.3; 66.1) | T = 1.841; p = 0.077 |
| Height (m) | 1.6 ± 0.04 (1.6; 1.7) | 1.6 ± 0.05 (1.6; 1.7) | T = 1.483; p = 0.15 |
| Body mass index (Kg/m2) | 25.5 ± 4.3 (23.0; 27.9) | 24.0 ± 2.6 (22.3; 25.3) | T = 1.765; p = 0.12 |
| Body fat (%) | 25.3 ± 5.5 (22.1; 28.5) | 23.8 ± 3.6 (22.2; 26.0) | T = 0.642; p = 0.226 |
Disclaimer/Publisher’s Note: The statements, opinions and data contained in all publications are solely those of the individual author(s) and contributor(s) and not of MDPI and/or the editor(s). MDPI and/or the editor(s) disclaim responsibility for any injury to people or property resulting from any ideas, methods, instructions or products referred to in the content. |
© 2025 by the authors. Licensee MDPI, Basel, Switzerland. This article is an open access article distributed under the terms and conditions of the Creative Commons Attribution (CC BY) license (https://creativecommons.org/licenses/by/4.0/).
Share and Cite
Assis, J.A.; Vieira-Souza, L.M.; Pérez, D.V.; Diniz da Silva, C.; Fuentes Veliz, C.; Almeida, N.R.; Miarka, B.; Nóbrega, O.T.; Brito, C.J. Effects of Respiratory Muscle Training on Performance and Inspiratory Strength in Female CrossFit Athletes: A Randomized Controlled Trial. Physiologia 2025, 5, 39. https://doi.org/10.3390/physiologia5040039
Assis JA, Vieira-Souza LM, Pérez DV, Diniz da Silva C, Fuentes Veliz C, Almeida NR, Miarka B, Nóbrega OT, Brito CJ. Effects of Respiratory Muscle Training on Performance and Inspiratory Strength in Female CrossFit Athletes: A Randomized Controlled Trial. Physiologia. 2025; 5(4):39. https://doi.org/10.3390/physiologia5040039
Chicago/Turabian StyleAssis, Juliana Andrade, Lúcio Marques Vieira-Souza, Diego Valenzuela Pérez, Cristiano Diniz da Silva, Carlos Fuentes Veliz, Naiara Ribeiro Almeida, Bianca Miarka, Otávio Toledo Nóbrega, and Ciro José Brito. 2025. "Effects of Respiratory Muscle Training on Performance and Inspiratory Strength in Female CrossFit Athletes: A Randomized Controlled Trial" Physiologia 5, no. 4: 39. https://doi.org/10.3390/physiologia5040039
APA StyleAssis, J. A., Vieira-Souza, L. M., Pérez, D. V., Diniz da Silva, C., Fuentes Veliz, C., Almeida, N. R., Miarka, B., Nóbrega, O. T., & Brito, C. J. (2025). Effects of Respiratory Muscle Training on Performance and Inspiratory Strength in Female CrossFit Athletes: A Randomized Controlled Trial. Physiologia, 5(4), 39. https://doi.org/10.3390/physiologia5040039

