Abstract
Objective: This study aimed to evaluate the effects of cold-water immersion (CWI) on post-training recovery in Kung Fu athletes. Methods: In a 3-week crossover design, 16 Kung Fu athletes (22.00 ± 5.95 years, 76.90 ± 9.74 kg) were divided into two conditions: CWI and passive recovery as a control (CON) measure. Through the study, muscle damage markers (creatine kinase [CK], lactate dehydrogenase [LDH], aspartate aminotransferase [AST] and alanine aminotransferase [ALT]), physical performance tests (upper limbs power, SJ and CMJ), skin temperature (from lower and upper limbs), and skin temperature asymmetries were measured. Results: CWI resulted in a higher reduction of CK concentration than CON 24 h after the intervention (−21.32%; p < 0.001). The SJ height 24 h after the intervention was higher in the CWI than in the CON (p < 0.001). Both CWI and CON resulted in skin temperature returning to baseline levels 24 h after intervention. Conclusions: CWI was effective in restoring muscle power, reducing muscle damage and reducing body temperature (BT) in Kung Fu athletes. Cold water recovery showed better muscle power and strength 24 and 48 h after training when compared to the passive method. CK and skin temperature were better 24 h after cold water recovery.
1. Introduction
Eastern martial arts are ancient combat systems that originated from warrior cultures and, through a process of globalisation, have become combat sports worldwide [1]. Kung Fu, also known as Wushu, is one of the most popular Chinese martial arts, having evolved into a combat sport that is practised by over 160 nations across five continents [2]. Kung Fu practice combines grappling and striking techniques, and its competitive performance relies on flexibility, muscle strength, and anaerobic power in both the upper and lower limbs, indicating high-intensity activity [3].
To achieve the goals of Kung Fu, training would promote muscle damage, a common result of high-intensity exercises typically seen in combat sports and the practice of Kung Fu [4,5]. Exercise-induced muscle damage is primarily driven by mechanical damage to muscle tissue, resulting in delayed-onset muscle soreness, swelling in the affected area, limited range of motion, and detrimental effects on muscle force production [6]. This muscle damage serves as a crucial stimulus to trigger the inflammatory response observed after an acute exercise bout, which is responsible for initiating muscle tissue repair and the subsequent adaptations to training [7].
As muscle damage effects can reduce physical performance achieved in the days following its origin [8], practitioners seek techniques to attenuate those negative symptoms. A popular practice to accelerate post-training recovery and mitigate those effects is cold-water immersion (CWI). CWI has been demonstrated to be useful in reducing the performance-detrimental effects of an exercise bout, such as muscle stiffness, fatigue, and exercise-induced muscle damage, thereby improving athletic performance [9]. However, there is evidence indicating that CWI has no effect on performance outcomes [10], and some authors even propose that, in certain cases, this treatment results in no more than a placebo effect [11].
An effective way to monitor an athlete’s recovery process is by evaluating blood markers [9], which can indicate the extent of muscle damage [12,13]. As a complement to blood markers, infrared thermography can be a useful non-invasive method for evaluating the post-exercise inflammatory process during an athlete’s recovery [14].
An essential characteristic of combat sports is the inherent asymmetry of their technical execution, which can modify the athlete’s morphological and functional aspects [15]. Despite bilateral asymmetries (e.g., when the left side differs morphologically or functionally from the right side) being believed to increase injury risk, some authors argue that this feature can be beneficial for performance in those asymmetric sports [16]. Bilateral asymmetries can be measured using infrared thermography and catalogued at different levels based on the temperature difference between limbs [14].
However, the results are still contradictory, and although cold water recovery is a common procedure for reducing fatigue, frequent use of CWI after training could impair long-term strength gains [17,18]. Regarding strength and power, CWI would help maintain strength after intense exercise, attenuating the acute inflammatory response [19,20]
Therefore, the present study aimed to evaluate the effects of CWI on the recovery of Kung Fu athletes, as well as its impact on muscle damage markers, physical performance, body temperature, and body asymmetries. We hypothesise that CWI will accelerate the athlete’s recovery, diminishing muscle damage markers and returning physical performance to baseline levels more efficiently than a passive recovery.
2. Materials and Methods
2.1. Experimental Design
This study implemented a three-week, randomised, crossover-controlled trial, in which two treatment phases were performed one week apart. Both treatment phases lasted 3 days. On the first day, participants were randomly assigned to two conditions/treatments: a CWI (n = 8) protocol or a passive recovery (PR or CON; n = 8) interval. The subjects were randomly allocated to the different recovery conditions (50% PR and 50% CWI) by drawing lots, and then switched conditions. A testing battery was conducted to obtain baseline data, followed by the intervention and the treatments. The intervention consisted of a high-intensity kung fu training session immediately followed by a physical performance test battery. Then, the respective treatment was applied. Finally, a post-intervention battery test was applied. Days 2 and 3 consisted of using the same post-intervention battery test to obtain the 24-h and 48-h post-data. Then, the second treatment phase was executed after a one-week washout, as implemented in other CWI studies [21,22]. The battery test was compounded by blood sample collection, physical performance tests (upper limb power test, squat jump, and countermovement jump), and thermographic measurements, which were taken at four time points: before the training session, immediately after the treatment, 24 h, and 48 h after the intervention. Physical performance was the only variable assessed between the training sessions and the treatments, measured at five points. A timeline of the intervention and data collection procedures is depicted in Figure 1.
Figure 1.
Study’s experimental design and timeline of procedures. CWI: recovery in cold water; PR: passive recovery; CON: control; EXP: experimental; ULPt: upper limb power test; SJ: squat jump; CMJ: countermovement jump. The assessments took place before the intervention (training), after the recovery protocol carried out after training, and at the time points after 24 and 48 h of the intervention (training).
2.2. Sample
The subjects were 16 male Kung Fu athletes, that met the following inclusion criteria: (A) graduated as a blue belt (Chinese Boxing) or green belt (Kung Fu) (for technical level equalisation); (B) participated in at least one competition in the last 12 months; and (C) not having been involved in any rapid weight-loss process before the competition, considering that this practice can negatively affect the physical performance [23]. The exclusion criteria were to report the consumption of any illegal ergogenic resource or any injury that prevented their participation (Table 1).
Table 1.
Sample characteristics.
All subjects were informed about the study’s benefits and risks and provided written informed consent. All procedures were conducted in accordance with Resolution 466/2012 of the National Commission of Ethics in Research of the National Health Council, which adheres to the ethical principles outlined in the 2013 Declaration of Helsinki of the World Medical Association. This study was approved by the Federal University of Sergipe Research Ethics Committee (protocol 01723312.2.0000.0058).
2.3. Instruments and Procedures
Subjects were instructed to refrain from strenuous physical activity for 24 h before the experiment, confirming this verbally before the training session. To ensure a similar energy status for all participants, a standardised breakfast was served to all athletes 90 min before each training session. Comprising 880 kcal, the meal consisted of bread, one slice of ham and mozzarella cheese, a banana, 100 g of granola, and 200 mL of whole-milk strawberry yoghurt [22].
The intervention consisted of a typical 120-min Kung Fu training session. The session was divided into three sections: (1) warm-up and physical conditioning, (2) technical training, and (3) combat simulation, each lasting 40 min. The first part included running, speed exercises, and calisthenic exercises. The technical training included several series and repetitions of specific Kung Fu arm strikes and kicks, while the combat simulation consisted of multiple rounds of varying durations, with no intervals between them. This training model was already used in other combat sports studies [22,24,25]
The CWI recovery protocol was performed as described by Santos et al. (2012) [25]. Immediately after the training sessions, athletes were immersed in cold water (5.0 ± 0.5 °C) up to their necks for 16 net minutes. The complete CWI process lasted 19 min and was divided into four immersion cycles, each lasting 4 min, with 1-min intervals between cycles.
2.3.1. Muscle Damage
The serum levels of Creatine Kinase (CK), Lactate Dehydrogenase (LDH), Aspartate Aminotransferase (AST), and Alanine Aminotransferase (ALT) were measured as muscle damage markers. For this purpose, ~8 mL blood samples were collected from the athletes’ antecubital veins and stored in coagulant-gel-containing tubes (Vacuette; Greiner Bio-One, Campinas, São Paulo, Brazil). Blood samples were rested for 30 min at room temperature to facilitate coagulation. Then, the samples were centrifuged at 4000 RPM for 8 min to separate the serum. Biochemical measurements were performed using an automated analyser (Vitros model 5600; Ortho Clinical Diagnostics, Raritan, NJ, USA).
2.3.2. Physical Performance Tests
Squat jump (SJ) and counter-movement jump (CMJ) heights were measured using the procedures outlined by Bosco et al. [26]. A 50 × 60 cm conductive surface contact mat (Probotics Inc., Huntsville, AL, USA) and a display (Probotics Inc., USA) were used for the tests. Athletes were allowed to make three jump attempts, of which only the highest value was included in the analysis.
The upper limb muscle power test (ULPt) was performed according to the procedures outlined by Fonseca et al. [22]. The test consisted of athletes doing a pull-up at maximum concentric velocity with a Musclelab PFMA 3010e Encoder (Muscle Lab System; Ergotest, Langesund, Norway) attached to their Kung Fu belts. Athletes were allowed to make three pull-up attempts. Only the higher value was included in the analysis.
2.3.3. Body Surface Temperature Measurement and Asymmetries Assessment
All thermographic procedures were performed in accordance with the guidelines for Thermographic Imaging in Sports and Exercise Medicine [27]. The temperature and relative humidity of the room were maintained at 21–22 °C and 42–50%, respectively, and were monitored using a Hybrid Thermo-Hygrometer (Hikari HTH-240®, Hikari, Shengzhen, China). Before each measurement, athletes remained seated and quiet for at least 10 min. The temperature of the arms, forearms, thighs, and legs on both sides was measured from both anterior and posterior views. For this, a thermographic camera (FLIR T640sc®, FLIR, Taby, Sweden) was used, featuring a measurement range of −40 °C to 2000 °C, 2% accuracy, sensitivity < 0.035 °C, an infrared spectral range of 7.5–14 μm, a refresh rate of 30 Hz, and a resolution of 640 × 480 pixels.
Temperature asymmetries between contralateral segments were assessed according to the following Marins et al. [14] recommendations: (a) normal ≤ 0.4 °C; (b) monitoring ≥ 0.5 °C; (c) prevention between 0.8 °C and 1.0 °C; (d) alarm between 1.1 °C and 1.5 °C, (e) severe ≥ 1.6 °C. The five categories are summarised in Table 2.
Table 2.
Temperature asymmetry classifications.
2.4. Statistical Analysis
All statistical analyses were performed using the Statistical Package for Social Science version 22.0 (IBM, New York, NY, USA). Measures of central tendency (mean ± standard deviation, X ± SD) were used to present the collected data. The Shapiro-Wilk test was used to verify the normality of the data. A repeated measures ANOVA (2 × 4) (Recovery type X Moment) with Bonferroni post hoc was used to identify differences between conditions and moments, considering a p < 0.05 value as statistically significant. The effect size was assessed using the η2p test, with the following value interpretations: <0.05 as a small effect, 0.05 to 0.25 as a moderate effect, 0.25 to 0.50 as a high effect, and >0.50 as a very high effect [28].
3. Results
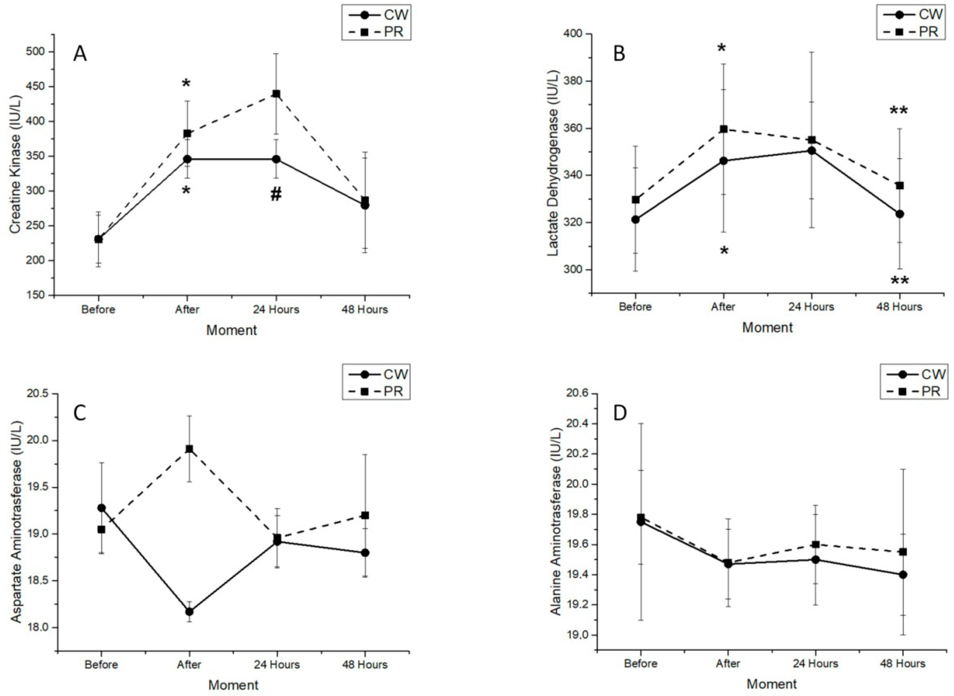
Figure 2 illustrates the changes in CK (A), LDH (B), AST (C), and ALT (D) blood concentrations throughout the study at four time points: before the intervention (training and recovery), immediately after the intervention, 24 h, and 48 h after the intervention.
Figure 2.
Analysis of muscle damage markers throughout the study. CWI: recovery in cold water; PR: passive recovery. (A) Creatine kinase, (B) lactate dehydrogenase, (C) aspartate aminotrans-ferase, and (D) alanine aminotransferase. #: PR vs. CWI, p < 0.001. *: PR (after vs. before; p < 0.001). **: PR (24 h vs. 48 h, p < 0.001).
An increase in CK concentrations was observed in both conditions immediately after the intervention: CWI (34%; p < 0.001, η2p = 3.66) and CON (40%; p < 0.001, η2p = 0.290, indicating a high effect). At 24 h after the intervention, CK concentrations were higher in the CON condition than in the CWI (−21.32%; p < 0.001, η2p = 0.290, indicating a high effect). The LDH concentrations increased in both conditions immediately after the intervention: CWI (7.77%; p < 0.001, η2p = 0.151, moderate effect) and CON (9.06%; p < 0.001, η2p = 0.151, moderate effect); and 48 h after the intervention: CWI (93.47%; p < 0.001, η2p = 0.151, moderate effect) and CON (93.37%; p < 0.001, η2p = 0.151, moderate effect). There were no significant changes in AST and ALT concentrations at any moment.
Figure 3 depicts the changes in ULPt (A), SJ (B), and CMJ (C) values throughout the study at five moments: before the training session, immediately after the training session, after recovery, 24 h after intervention, and 48 h after intervention.
Figure 3.
Physical performance results throughout the study. CWI: cold water immersion recov-ery. CON: Passive recovery. (A) Upper limb power test *: CWI, p < 0.001 (CWI after recovery vs. CWI and PR after); **: PR (24 h vs. after PR and CWI, p < 0.001). (B) Squat jump; #: PR vs. CWI, p < 0.001 (After recovery); ##: PR vs. CWI, p < 0.001 (after 24 h), and ###: CWI (after recovery, 24 and 48 h). (C) countermovement jump; ###: CWI after recovery vs. other interventions and moments, p < 0.001. ***: CWI after recovery vs. 24 h after, p < 0.001.
ULPt: CWI resulted in a power reduction of 38.2% after recovery compared to immediately after training session values (p < 0.001, η2p = 0.122, moderate effect), and a 23.43% increase was observed after 24 h compared to (p < 0.001, η2p = 0.122, moderate effect).
SJ: CWI resulted in a reduction of 5.1% in SJ height after recovery, an increase of 9.36% after 24 h (p < 0.001, η2p = 0.260, high effect), and a 15.65% increase after 48 h (p < 0.001, η2p = 0.260, high effect). In the CON condition, SJ increased by 12.60% after recovery (p < 0.001, η2p = 0.260, high effect), and decreased by 10.19% after 24 h (p < 0.001, η2p = 0.260). CWI resulted in significantly higher SJ values than CON 24 h after (p < 0.001, η2p = 0.260, high effect), and 48 h after (12.9%, p < 0.001, η2p = 0.260, high effect).
CMJ: a reduction of CMJ height was observed after recovery in both CWI and CON conditions when compared to before and immediately after the training session values (CWI: 17.29%; p < 0.001, η2p = 0.185 and PR: 10.15%; p < 0.001, η2p = 0.185, moderate effect). CWI resulted in higher CMJ height than CON 24 h after (9.10%, p < 0.001, η2p = 0.185, moderate effect). The CWI resulted in a CMJ height increase of 14.79% after 24 h and 19.96% after 48 h compared to after recovery values.
Table 3 presents the resulting skin temperature values from the upper limbs, and Table 4 presents the skin temperature values from the lower limbs. Both tables present the values obtained throughout the study at four time points: before the intervention (training and recovery), immediately after the intervention, 24 h after the intervention, and 48 h after the intervention.
Table 3.
Skin temperature (mean ± SD) of arms and forearms from anterior and posterior views at various moments.
Table 4.
Skin temperature (mean ± SD) of thighs and legs from anterior and posterior views at various moments.
A significant increase in upper-limb skin temperature (p < 0.001) was observed immediately after the intervention in the CON condition, returning to baseline levels 24 h after the intervention and remaining at baseline 48 h after. A significant reduction (p < 0.001) in the same variable was observed in CWI immediately after the intervention, with baseline values appearing 24 and 48 h after the intervention. A Significant difference (p < 0.001) between CWI and CON was identified immediately after the intervention. A similar temperature behaviour was observed in the skin temperature of the lower limbs.
Table 5 presents the skin temperature asymmetry values of the upper and lower limbs measured at four time points throughout the study: before the intervention (training and recovery), immediately after, 24 h post-intervention, and 48 h post-intervention.
Table 5.
Skin temperature asymmetries (mean ± SD) from upper and lower limbs at various study moments.
The skin temperature of all segments measured at all moments resulted in normal asymmetry levels (i.e., non-asymmetric results), except for leg skin temperature (anterior and posterior views) measured immediately after the intervention in the CON condition. The level of asymmetry presented by the legs in the described moment can be classified as a “monitoring” asymmetry level.
4. Discussion
This study aimed to evaluate the effects of CWI on Kung Fu athletes’ recovery measured by muscle damage markers, physical performance, body temperature, and skin temperature asymmetries. Our main findings are that CWI resulted in lower creatine kinase (CK) levels 24 h after intervention compared to CON, and no differences were found between CWI and CON in Lactate Dehydrogenase (LDH), Aspartate Aminotransferase (AST), and Alanine Aminotransferase (ALT) levels at any time. CWI resulted in a higher Squat Jump (SJ) performance 24 h after intervention than CON, and no differences were found for the upper limb power test (ULPt) and countermovement jump (CMJ) at any time. Athletes presented leg temperature asymmetries after training that disappeared with CWI treatment.
Our study found that CK levels were lower 24 h after the intervention in the CWI condition, and no differences were observed between CWI and CON in LHD, AST, and ALT levels at any time point. Although some studies failed to find reductions in serum CK levels after CWI, the effectiveness of this treatment on reducing post-exercise CK is well documented [9]. It is well established that CWI can accelerate the recovery from exercise-induced muscle damage through various mechanisms. Among them, vasoconstriction is highlighted for reducing oedema by acutely decreasing incoming blood flow, thereby facilitating the clearance of waste substances [29]. The post-exercise and recovery behaviour of LDH, AST, and ALT is challenging to discuss, as there is limited evidence on CWI and these damage markers. In contrast to our results, Fonseca et al. [22] measured CK, LDH, AST, and ALT before, after, 24 h, and 48 h after a Jiu-Jitsu training session with CWI (16 min at 6 ± 0.5 °C). They found that CWI was superior to CON only in terms of LDH reduction 24 h after exercise. Similarly, Pinho Júnior et al. [30], who measured CK and LDH after a jiu-jitsu match, found effects of CWI (19 min at 5 ± 1 °C) only for LDH and not for CK. On the other hand, Takeda et al. [31], who measured CK, LDH, and AST after a rugby training session, found no difference between CWI (15 min at 15 °C) and CON on these damage markers. Then, it appears that LDH behaviour after CWI remains confounding. It is possible that the lack of LDH differences in our study could be attributed to the athletes’ efficiency in overcoming high-intensity efforts. LDH is an anaerobic energy production indicator that can be elevated during high-intensity exercise, and its increase is less pronounced in trained athletes [32]. Then, it can be expected that LDH metabolism and clearance would be more efficient in anaerobically trained athletes like ours, resulting in similar levels of LDH reduction for the CWI and CON groups. However, our results cannot establish a relationship between anaerobic efficiency and LDH levels since anaerobic efficiency was not measured. Finally, the AST and ALT behaviours found in our study agree with those reported in other works. Lofti et al. [33] found no effect of CWI (20 min at 6 ± 0.5 °C) on AST and ALT following a wushu training session, and Fonseca et al. [22] and Takeda et al. [31] works found the same.
A significant difference between CWI and CON was found only for squat jump (SJ) height, measured 24 h after the intervention, with no differences observed for the upper limb power test (ULPt) and countermovement jump (CMJ) at any time point. Studies have found different effects of CWI on physical performance and vertical jump height. In accordance with our results, Nasser et al. [34] applied CWI (15 min at 11.3 ± 0.2 °C) after a shuttle running test and found a recovery in jump height for SJ but not CMJ 24 h after the intervention. On the other hand, and in contrast to our results, the study by Fonseca et al. [22] cited above resulted in a recovery of CMJ height and upper limb muscle power 24 h after the intervention. In addition, Bouchiba et al. [35], who applied CWI (10 min at 10 ± 2 °C) after a simulated soccer match, found no positive effects on CMJ and SJ height compared to thermoneutral water immersion. However, the 20-m sprint performance was superior in the CWI group. The cited evidence shows that physical performance recovery response to CWI can be variable. According to the review and meta-analysis by Choo et al. [17], CWI is effective in helping to recover strength and power levels over a variable time course, ranging from 24 to 96 h. However, this performance recovery can vary depending on the type of activity executed (e.g., endurance, resistance, sprint, or mixed). Their meta-analysis results show that when the pre-CWI exercise is a mixed effort, like Kung fu, CWI does not influence the recovery of any performance variables [17]. So, the differentiation of the pre-CWI exercise task can be a key factor in the variability of the physical performance results from our study and the different works cited. Moreover, we don’t discard the possibility that the task’s variability can also affect the behaviour of the damage markers. Probably, the type of request related to training for the proposed fights tends to present requests focused on strength, as well as anaerobic resistance, which could have influenced the result, in addition to the athletes’ adaptation to training [36].
Athletes exhibited temperature asymmetries in the frontal and posterior regions of their legs after the training session, which persisted even after the passive recovery period. However, CWI treatment effectively dissipated these asymmetries.
The temperature of the skin surface was inversely correlated with the skin thickness of the thigh fold, which is according to the results observed in another study [37]. This confirms that the subcutaneous fat provides good insulation for heat flow [38]. The fat has a relatively low thermal conductivity, which makes it an excellent thermal insulator [38].
Heat transfer is enhanced by increasing blood flow to peripheral tissues [39,40]. According to Bandeira et al. [41], the inflammation generates heat, which would explain the higher temperature found in the recovery type that underwent intensive anaerobic training compared to the condition that underwent low-intensity aerobic training.
The process of muscle recovery tends to increase body temperature (BT), particularly at 48, 72, and 96 h [37]. This process may be directly linked to an inflammatory response after a high-intensity exercise. In the present study, immediately after the intervention, both conditions exhibited thermal responses that increased muscle thickness. In the days following the intervention, it was impossible to find statistically significant differences between the conditions. The muscle recovery process tends to increase muscle thickness, mainly at 48, 72, and 96 h [38], which suggests an inflammatory process and oedema that could be induced by training. This process may be directly linked to an inflammatory response after a high-intensity exercise.
The limitations of our study were that muscle damage indicators tend to be comprehensive and may present several intervening factors. On the other hand, some other factors were not controlled, such as food supplements, nutritional diets, and even the sleep of the athletes, which could interfere with the results. However, no reports of extreme situations were reported by the athletes in the pre-training lectures. Therefore, although we performed other tests, the subjects still require additional evaluations and methods to confirm our findings. It is worth mentioning that this variable has been used to control training and prevent injuries [42], such as oedema, local pain, among others. Thus, other research could evaluate more broadly, through indicators of the inflammatory process, through blood, as well as evaluation through local oedema using ultrasound, among others.
5. Conclusions
Considering the results observed in the present study, it can be concluded that cold water immersion, as a method of muscle recovery, improves muscle power and strength when evaluated at 24 and 48 h after training, CK (muscle damage marker) levels when evaluated 24 h after training, and decreases thermal asymmetries of the lower limbs of Kung Fu practitioners and Chinese boxers in eagle claw style after the intervention.
In this sense, we can infer that the theoretical and practical implications of immersion in cold water after training have proven to be an important method for preserving strength, reducing fatigue and reducing the inflammatory process, especially 24 h after the procedure. It is also a method that could be used in situations where the athlete needs improved recovery, such as more exhaustive training or even important competitions.
Author Contributions
Conceptualization, G.O.B. and F.J.A.; methodology, F.J.A.; software, R.F.d.S.; validation, C.J.B., R.M.-d. and J.L.d.S.; formal analysis, P.F.A.-N.; investigation, G.O.B.; resources, B.G.d.A.T.C.; data curation, V.M.R.; writing—original draft preparation, N.D.G.; writing—review and editing, all authors; visualization, P.T.N.; supervision, V.M.R.; project administration, C.J.B.; funding acquisition, N.D.G. All authors have read and agreed to the published version of the manuscript.
Funding
Nuno Domingos Garrido and Victor Machado Reis were funded by the Portuguese Foundation for Science and Technology (FCT), I.P. (UIDB/04045/2020).
Institutional Review Board Statement
This study was performed in line with Resolution 466/2012 of the National Research Ethics Commission (CONEP) of the National Health Council and following the ethical principles of the Declaration of Helsinki (1964, revised in 2013) of the World Medical Association. This study was approved by the Research Ethics Committee of the Federal University of Sergipe (protocol 01723312.2.0000.0058).
Informed Consent Statement
All athletes voluntarily participated in this study and provided written informed consent.
Data Availability Statement
The data that support this study can be obtained at https://www.ufs.br, accessed on 12 January 2025, or the data will be made available on request.
Conflicts of Interest
The authors declare no conflicts of interest.
References
- Ciembroniewicz, E. Imitation or Genuine Forms? Chinese Martial Arts in the Process of Cultural Globalisation. Intercult. Relations 2020, 3, 139–156. [Google Scholar] [CrossRef]
- IWUF About IWUF. Available online: https://www.iwuf.org/en/about-iwuf/index.html (accessed on 12 December 2024).
- Artioli, G.G.; Gualano, B.; Franchini, E.; Batista, R.N.; Polacow, V.O.; Lancha, A.H. Physiological, Performance, and Nutritional Profile of the Brazilian Olympic Wushu (Kung-Fu) Team. J. Strength Cond. Res. 2009, 23, 20–25. [Google Scholar] [CrossRef]
- Karaman, M.E.; Arslan, C.; Kinaci, A.E. The Effect of Single Bout of Competitive Training on Muscle Damage and Liver Enzymes in University Student Wrestling and Taekwondo Athletes. J. Pharm. Res. Int. 2021, 33, 26–30. [Google Scholar] [CrossRef]
- Mendes-Cordeiro, E.; Guimarães, M.; Dantas, E.H.M. Alterações Nas Concentrações De Creatina Quinase Oriundas Do Treinamento De Combate Em Atletas De Kung Fu. FIEP-Bull. 2011, 81. [Google Scholar]
- Owens, D.J.; Twist, C.; Cobley, J.N.; Howatson, G.; Close, G.L. Exercise-induced Muscle Damage: What Is It, What Causes It and What Are the Nutritional Solutions? Eur. J. Sport Sci. 2019, 19, 71–85. [Google Scholar] [CrossRef] [PubMed]
- Allen, J.; Sun, Y.; Woods, J.A. Exercise and the Regulation of Inflammatory Responses. In Progress in Molecular Biology and Translational Science; Elsevier: Amsterdam, The Netherlands, 2015; Volume 135, pp. 337–354. ISBN 978-0-12-803991-5. [Google Scholar]
- Twist, C.; Eston, R. The Effects of Exercise-Induced Muscle Damage on Maximal Intensity Intermittent Exercise Performance. Eur. J. Appl. Physiol. 2005, 94, 652–658. [Google Scholar] [CrossRef]
- Xiao, F.; Kabachkova, A.V.; Jiao, L.; Zhao, H.; Kapilevich, L.V. Effects of Cold Water Immersion after Exercise on Fatigue Recovery and Exercise Performance--Meta Analysis. Front. Physiol. 2023, 14, 1006512. [Google Scholar] [CrossRef]
- Rowsell, G.J.; Coutts, A.J.; Reaburn, P.; Hill-Haas, S. Effects of Cold-Water Immersion on Physical Performance between Successive Matches in High-Performance Junior Male Soccer Players. J. Sports Sci. 2009, 27, 565–573. [Google Scholar] [CrossRef]
- Broatch, J.R.; Petersen, A.; Bishop, D.J. Postexercise Cold Water Immersion Benefits Are Not Greater than the Placebo Effect. Med. Sci. Sports Exerc. 2014, 46, 2139–2147. [Google Scholar] [CrossRef]
- Baird, M.F.; Graham, S.M.; Baker, J.S.; Bickerstaff, G.F. Creatine-Kinase- and Exercise-Related Muscle Damage Implications for Muscle Performance and Recovery. J. Nutr. Metab. 2012, 2012, 960363. [Google Scholar] [CrossRef]
- Brancaccio, P.; Lippi, G.; Maffulli, N. Biochemical Markers of Muscular Damage. Clin. Chem. Lab. Med. 2010, 48, 757–767. [Google Scholar] [CrossRef]
- Marins, J.C.B.; Fernández-Cuevas, I.; Arnaiz-Lastras, J.; Fernandes, A.A.; Sillero-Quintana, M. Applications of Infrared Thermography in Sports. A review. Int. J. Med. Sci. Phys. Act. Sport 2015, 60, 805–824. [Google Scholar]
- Mala, L.; Maly, T.; Cabell, L.; Cech, P.; Hank, M.; Coufalova, K.; Zahalka, F. Body Composition and Morphological Limbs Asymmetry in Competitors in Six Martial Arts. Int. J. Morphol. 2019, 37, 568–575. [Google Scholar] [CrossRef]
- Afonso, J.; Peña, J.; Sá, M.; Virgile, A.; García-de-Alcaraz, A.; Bishop, C. Why Sports Should Embrace Bilateral Asymmetry: A Narrative Review. Symmetry 2022, 14, 1993. [Google Scholar] [CrossRef]
- Choo, H.C.; Lee, M.; Yeo, V.; Poon, W.; Ihsan, M. The Effect of Cold Water Immersion on the Recovery of Physical Performance Revisited: A Systematic Review with Meta-Analysis. J. Sports Sci. 2022, 40, 2608–2638. [Google Scholar] [CrossRef]
- Fyfe, J.J.; Broatch, J.R.; Trewin, A.J.; Hanson, E.D.; Argus, C.K.; Garnham, A.P.; Halson, S.L.; Polman, R.C.; Bishop, D.J.; Petersen, A.C. Cold Water Immersion Attenuates Anabolic Signaling and Skeletal Muscle Fiber Hypertrophy, but Not Strength Gain, Following Whole-Body Resistance Training. J. Appl. Physiol. 2019, 127, 1403–1418. [Google Scholar] [CrossRef]
- Santos, W.Y.H.D.; Aidar, F.J.; de Matos, D.G.; Van den Tillaar, R.; Marçal, A.C.; Lobo, L.F.; Marcucci-Barbosa, L.S.; Machado, S.d.C.; Almeida-Neto, P.F.d.; Garrido, N.D.; et al. Physiological and Biochemical Evaluation of Different Types of Recovery in National Level Paralympic Powerlifting. Int. J. Environ. Res. Public Health 2021, 18, 5155. [Google Scholar] [CrossRef]
- Aidar, F.J.; dos Santos, W.Y.H.; Machado, S.d.C.; Nunes-Silva, A.; Vieira, É.L.M.; Pérez, D.I.V.; Aedo-Muñoz, E.; Brito, C.J.; Nikolaidis, P.T. Enhancing Post-Training Muscle Recovery and Strength in Paralympic Powerlifting Athletes with Cold-Water Immersion, a Cross-Sectional Study. Int. J. Environ. Res. Public Health 2025, 22, 122. [Google Scholar] [CrossRef]
- Batista, N.P.; De Carvalho, F.A.; Rodrigues, C.R.D.; Micheletti, J.K.; Machado, A.F.; Pastre, C.M. Effects of Post-Exercise Cold-Water Immersion on Performance and Perceptive Outcomes of Competitive Adolescent Swimmers. Eur. J. Appl. Physiol. 2024, 124, 2439–2450. [Google Scholar] [CrossRef]
- Fonseca, L.B.; Brito, C.J.; Silva, R.J.S.; Silva-Grigoletto, M.E.; Da Silva, W.M.; Franchini, E. Use of Cold-Water Immersion to Reduce Muscle Damage and Delayed-Onset Muscle Soreness and Preserve Muscle Power in Jiu-Jitsu Athletes. J. Athl. Train. 2016, 51, 540–549. [Google Scholar] [CrossRef]
- Franchini, E.; Brito, C.J.; Artioli, G.G. Weight Loss in Combat Sports: Physiological, Psychological and Performance Effects. J. Int. Soc. Sports Nutr. 2012, 9, 52. [Google Scholar] [CrossRef]
- Brito, C.J.; Gatti, K.; Lacerda Mendes, E.; Toledo Nóbrega, O.; Córdova, C.; Bouzas Marins, J.C.; Franchini, E. Carbohydrate Intake and Immunosuppression during Judo Training. Med. Dello Sport 2011, 64, 393–408. [Google Scholar]
- Santos, W.O.C.; Brito, C.J.; Júnior, E.A.P.; Valido, C.N.; Mendes, E.L.; Nunes, M.A.P.; Franchini, E. Cryotherapy Post-Training Reduces Muscle Damage Markers in Jiu-Jitsu Fighters. J. Hum. Sport Exerc. 2012, 7, 629–638. [Google Scholar] [CrossRef]
- Bosco, C.; Luhtanen, P.; Komi, P.V. A Simple Method for Measurement of Mechanical Power in Jumping. Europ. J. Appl. Physiol. 1983, 50, 273–282. [Google Scholar] [CrossRef]
- Moreira, D.G.; Costello, J.T.; Brito, C.J.; Adamczyk, J.G.; Ammer, K.; Bach, A.J.E.; Costa, C.M.A.; Eglin, C.; Fernandes, A.A.; Fernández-Cuevas, I.; et al. Thermographic Imaging in Sports and Exercise Medicine: A Delphi Study and Consensus Statement on the Measurement of Human Skin Temperature. J. Therm. Biol. 2017, 69, 155–162. [Google Scholar] [CrossRef]
- Cohen, J. A Power Primer. Psychol. Bull. 1992, 112, 155–159. [Google Scholar] [CrossRef]
- Ihsan, M.; Watson, G.; Abbiss, C.R. What Are the Physiological Mechanisms for Post-Exercise Cold Water Immersion in the Recovery from Prolonged Endurance and Intermittent Exercise? Sports Med. 2016, 46, 1095–1109. [Google Scholar] [CrossRef]
- Pinho Júnior, E.A.; Brito, C.J.; Costa Santos, W.O.; Nardelli Valido, C.; Lacerda Mendes, E.; Franchini, E. Influence of Cryotherapy on Muscle Damage Markers in Jiu-Jitsu Fighters after Competition: A Cross-over Study. Rev. Andal. Med. Deport. 2014, 7, 7–12. [Google Scholar] [CrossRef]
- Takeda, M.; Sato, T.; Hasegawa, T.; Shintaku, H.; Kato, H.; Radak, Z.; Yamaguchi, Y. The Effects of Cold Water Immersion after Rugby Training on Muscle Power and Biochemical Markers. J. Sports Sci. Med. 2014, 13, 616–623. [Google Scholar]
- Butova, O.A.; Masalov, S.V. Lactate Dehydrogenase Activity as an Index of Muscle Tissue Metabolism in Highly Trained Athletes. Hum. Physiol. 2009, 35, 127–129. [Google Scholar] [CrossRef]
- Lofti, N.; Takmil, M.M.; Karimi, A. Effects of cold water immersion following a Wushu training session on the metabolic and cellular damage indices of body. J. Pract. Stud. Biosci. Sport 2021, 9, 18–22. [Google Scholar] [CrossRef]
- Nasser, N.; Zorgati, H.; Chtourou, H.; Guimard, A. Cold Water Immersion after a Soccer Match: Does the Placebo Effect Occur? Front. Physiol. 2023, 14, 1062398. [Google Scholar] [CrossRef]
- Bouchiba, M.; Bragazzi, N.L.; Zarzissi, S.; Turki, M.; Zghal, F.; Grati, M.A.; Daab, W.; Ayadi, F.; Rebai, H.; Ibn Hadj Amor, H.; et al. Cold Water Immersion Improves the Recovery of Both Central and Peripheral Fatigue Following Simulated Soccer Match-Play. Front. Physiol. 2022, 13, 860709. [Google Scholar] [CrossRef]
- Pariyavuth, P.; Lee, J.K.W.; Tan, P.M.S.; Vichaiwong, K.; Mawhinney, C.; Pinthong, M. Practical Internal and External Cooling Methods Do Not Influence Rapid Recovery from Simulated Taekwondo Performance. J. Exerc. Sci. Fit. 2023, 21, 286–294. [Google Scholar] [CrossRef]
- Neves, E.B.; Vilaca-Alves, J.; Antunes, N.; Felisberto, I.M.V.; Rosa, C.; Reis, V.M. Different Responses of the Skin Temperature to Physical Exercise: Systematic Review. Annu. Int. Conf. IEEE Eng. Med. Biol. Soc. 2015, 2015, 1307–1310. [Google Scholar] [CrossRef]
- Neves, E.B.; Salamunes, A.C.C.; de Oliveira, R.M.; Stadnik, A.M.W. Effect of Body Fat and Gender on Body Temperature Distribution. J. Therm. Biol. 2017, 70, 1–8. [Google Scholar] [CrossRef]
- Mendes, R.; Sousa, N.; Almeida, A.; Vilaça-Alves, J.; Reis, V.M.; Neves, E.B. Thermography: A Technique for Assessing the Risk of Developing Diabetic Foot Disorders. Postgrad. Med. J. 2015, 91, 538. [Google Scholar] [CrossRef]
- Takada, S.; Okita, K.; Suga, T.; Omokawa, M.; Morita, N.; Horiuchi, M.; Kadoguchi, T.; Takahashi, M.; Hirabayashi, K.; Yokota, T.; et al. Blood Flow Restriction Exercise in Sprinters and Endurance Runners. Med. Sci. Sports Exerc. 2012, 44, 413–419. [Google Scholar] [CrossRef]
- Bandeira, F.; de Moura, M.A.M.; Souza, M.A.d.; Nohama, P.; Neves, E.B. Can Thermography Aid in the Diagnosis of Muscle Injuries in Soccer Athletes? Rev. Bras. Med. Esporte 2012, 18, 246–251. [Google Scholar] [CrossRef]
- Chudecka, M.; Lubkowska, A.; Leźnicka, K.; Krupecki, K. The Use of Thermal Imaging in the Evaluation of the Symmetry of Muscle Activity in Various Types of Exercises (Symmetrical and Asymmetrical). J. Hum. Kinet 2015, 49, 141–147. [Google Scholar] [CrossRef] [PubMed]
Disclaimer/Publisher’s Note: The statements, opinions and data contained in all publications are solely those of the individual author(s) and contributor(s) and not of MDPI and/or the editor(s). MDPI and/or the editor(s) disclaim responsibility for any injury to people or property resulting from any ideas, methods, instructions or products referred to in the content. |
© 2025 by the authors. Licensee MDPI, Basel, Switzerland. This article is an open access article distributed under the terms and conditions of the Creative Commons Attribution (CC BY) license (https://creativecommons.org/licenses/by/4.0/).


