Macro-Scale Population Patterns in the Kofun Period of the Japanese Archipelago: Quantitative Analysis of a Larger Sample of Three-Dimensional Data from Ancient Human Crania
Abstract
1. Introduction
2. Materials and Methods
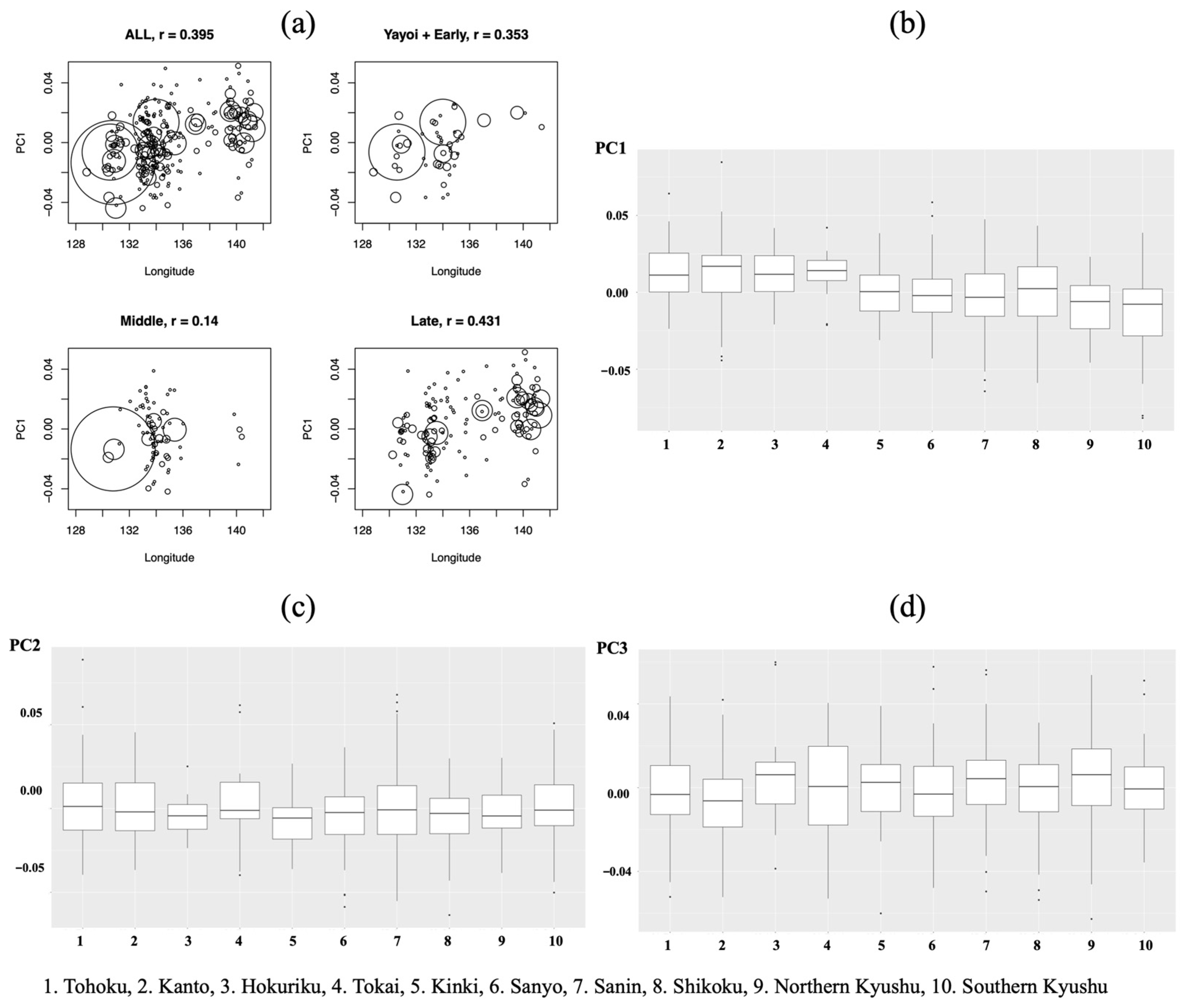
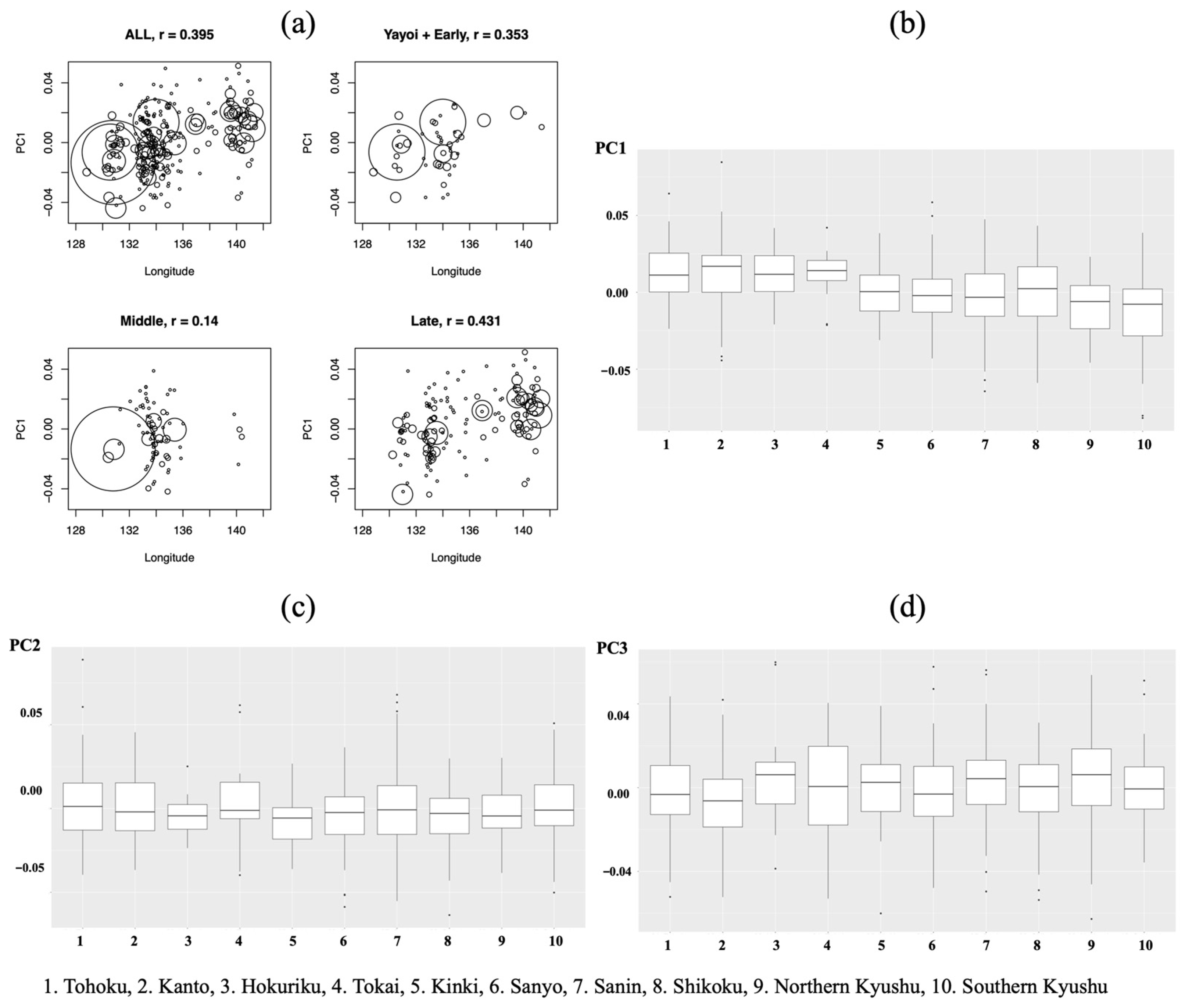
3. Results
3.1. Study 1
3.2. Study 2
4. Discussion
5. Conclusions
Supplementary Materials
Author Contributions
Funding
Institutional Review Board Statement
Informed Consent Statement
Data Availability Statement
Acknowledgments
Conflicts of Interest
References
- Bateson, P.; Gluckman, P. Plasticity, Robustness, Development and Evolution; Cambridge University Press: New York, NY, USA, 2011. [Google Scholar]
- Richerson, P.; Boyd, R. Not by Genes Alone: How Culture Transformed Human Evolution; The University of Chicago Press: Chicago, IL, USA, 2004. [Google Scholar]
- West-Eberhard, M.J. Developmental Plasticity and Evolution; Oxford University Press: New York, NY, USA, 2003. [Google Scholar]
- Howells, W.W. Cranial Variation in Man: A Study by Multivariate Analysis of Patterns of Difference among Recent Human Populations; Papers of the Peabody Museum 67; Peabody Museum, Harvard University: Cambridge, MA, USA, 1973. [Google Scholar]
- Kuzminsky, S.C.; Reyes Báez, O.; Arriaza, B.; Méndez, C.; Standen, V.G.; San Román, M.; Muñoz, I.; Durán Herrera, Á.; Hubbe, M. Investigating cranial morphological variation of early human skeletal remains from Chile: A 3D geometric morphometric approach. Am. J. Phys. Anthropol. 2018, 165, 223–237. [Google Scholar] [CrossRef] [PubMed]
- Lahr, M.M. The Evolution of Modern Human Diversity: A Study of Cranial Variation; Cambridge University Press: New York, NY, USA, 1996. [Google Scholar]
- O’Higgns, P.; Fitton, L.C.; Godinho, R.M. Geometric morphometrics and finite elements analysis: Assessing the functional implications of differences in craniofacial form in the hominin fossil record. J. Archaeol. Sci. 2019, 101, 159–168. [Google Scholar] [CrossRef]
- Pietrusewsky, M. Biological distance in bioarchaeology and human osteology. In Encyclopedia of Global Archaeology; Smith, C., Ed.; Springer: Berlin/Heidelberg, Germany, 2014; pp. 1–17. [Google Scholar]
- Smith, H.L.; Kuzminsky, S.C.; Linderholm, A. Discerning dispersals along the pacific and interior corridors: Contributions of geometric morphometrics to the peopling of the Americas. PaleoAmerica 2020, 6, 109–130. [Google Scholar] [CrossRef]
- Sparks, C.S.; Jantz, R.L. A reassessment of human cranial plasticity: Boas revisited. Proc. Natl. Acad. Sci. USA 2002, 99, 14636–14639. [Google Scholar] [CrossRef] [PubMed]
- Syutkina, T.; Pérez, M.J.G.; Hernández Godoy, S.T.; Antúnez, C.A.; Rivero, A.R. Intragroup variation in the Pre-Columbian Cuba population: A perspective from cranial morphology. Anthropol. Rev. 2021, 84, 233–255. [Google Scholar] [CrossRef]
- Winburn, A.P.; Yim, A.-D.; Stock, M. Recentering forensic anthropology within a multifaceted body of evolutionary theory: Strengthening method by making theory explicit. Am. J. Biol. Anthropol. 2022, 179, 535–551. [Google Scholar] [CrossRef]
- Habuta, Y. Kofun; Yoshikawa-kobunkan: Tokyo, Japan, 2011. (In Japanese) [Google Scholar]
- Knopf, T.; Steihaus, W.; Fukunaga, S. (Eds.) Burial Mounds in Europe and Japan: Comparative and Contextual Perspectives; Archaeopress: London, UK, 2018. [Google Scholar]
- Mizoguchi, K. The Archaeology of Japan: From the Earliest Rice Farming Villages to the Rise of the State; Cambridge University Press: New York, NY, USA, 2013. [Google Scholar]
- Nakagawa, T.; Nakao, H.; Tamura, K.; Arimatsu, Y.; Matsumoto, N.; Matsugi, T. Violence and warfare in the prehistoric Japan. Lett. Evol. Behav. Sci. 2017, 8, 8–11. [Google Scholar] [CrossRef][Green Version]
- Nakagawa, T.; Tamura, K.; Yamaguchi, Y.; Matsumoto, N.; Matsugi, T.; Nakao, H. Population pressure and prehistoric violence in the Yayoi period of Japan. J. Archaeol. Sci. 2021, 132, 105420. [Google Scholar] [CrossRef]
- Matsugi, T. What Is Kofun? Kadokawa: Tokyo, Japan, 2013. (In Japanese) [Google Scholar]
- Doi, N.; Tanaka, Y. A geographical cline in metrical characteristics of Kofun skulls from western Japan. J. Anthropol. Soc. Nippon 1987, 95, 325–343. [Google Scholar] [CrossRef][Green Version]
- Jo, I. Anthropological studies on the human skeletal remains in the Kofun period. Jinruigaku Shuho 1938, 1, 1–324. (In Japanese) [Google Scholar]
- Ikeda, J. The Kofun people. In Studies on the Kofun Period I; Ishino, H., Iwasaki, T., Kawakami, K., Shiraishi, T., Eds.; Yuzankaku: Tokyo, Japan, 1993; pp. 27–95. (In Japanese) [Google Scholar]
- Ikeda, J. The Kofun people in the Sanin area based on measurements of craniums. Stud. Anc. Cult. 2001, 9, 1–12. (In Japanese) [Google Scholar]
- Kawakubo, T.; Sawada, J.; Dodo, Y. In search for Ainu’s signs in the Tohoku region, Japan: Cranial metric and nonmetric analyzes of unearthed human skeletal remains. Anthropol. Sci. (Jpn. Ser.) 2009, 117, 65–87. [Google Scholar] [CrossRef][Green Version]
- Morisawa, S. Regional variations of human skeletal remains in the Kofun period. Niigata Med. J. 1974, 90, 32–47. (In Japanese) [Google Scholar]
- Terakado, Y. Human skeletal remains in the Kofun period. In Lectures on Anthropology 5: Japanese People 1; Editorial committee of lectures on anthropology, Ed.; Yuzankaku: Tokyo, Japan, 1981; pp. 27–95. (In Japanese) [Google Scholar]
- Schutkowski, H. Sex determination of infant and juvenile skeletons: 1. Mophological features. Am. J. Phys. Anthropol. 1993, 90, 199–205. [Google Scholar] [CrossRef]
- Tanihata, M.; Suzuki, T. A Manual for Archaeologists to Examine Human Skeletal Remains; Gakusei Sha: Tokyo, Japan, 2004. (In Japanese) [Google Scholar]
- Kaneda, A.; Noshita, K.; Tamura, T.; Nakagawa, T.; Nakao, H. A proposal of a new automated method for SfM/MVS 3D reconstruction through comparisons of 3D data by SfM/MVS and handheld laser scanners. PLoS ONE 2022, 17, e0270660. [Google Scholar] [CrossRef]
- Nakagawa, T.; Kaneda, A.; Tamura, K.; Nakao, H. A comparative study of measurement methods digitizing human skeletal remains: SfM and laser scanning. Nabunken Ronso 2022, 3, 39–64. (In Japanese) [Google Scholar]
- Nakao, H.; Nakagawa, T.; Yoshida, M. 3D data of human skeletal remains acquired by two kinds of laser scanners: Einscan Pro HD and Creafrom HandySCAN BLACK™|Elite. J. Nanzan Acad. Soc. Humanit. Nat. Sci. 2022, 24, 309–314. [Google Scholar]
- Cignoni, P.; Callieri, M.; Corsini, M.; Dellepiane, M.; Ganovelli, F.; Ranzuglia, G. MeshLab: An open-source mesh processing tool. In 6th Eurographics Italian Chapter Conference 2008; Scarano, V., de Chiara, R., Erra, U., Eds.; The Eurographics Association: Genova, Italy, 2008; pp. 129–136. Available online: https://www.meshlab.net/ (accessed on 15 January 2023).
- Noshita, K.; Kaneda, A.; Tamura, K.; Nakagawa, T.; Nakao, H. A mathematical study on outline morphologies of yayoi pottery: A case study focusing on the Ongagawa-style pottery from the Yamura, Yano, and Ayaragi-go sites. Nabunken Ronso 2022, 3, 65–82. (In Japanese) [Google Scholar]
- Adams, D.C.; Collyer, M.L.; Kaliontzopoulou, A.; Baken, E.K. Geomorph: Software for Geometric Morphometric Analyses. R Package Version 4.0.4. 2022. Available online: https://cran.r-project.org/package=geomorph (accessed on 15 January 2023).
- R Core Team. R: A Language and Environment for Statistical Computing; R Foundation for Statistical Computing: Vienna, Austria, 2020; Available online: https://www.R-project.org/ (accessed on 15 January 2023).
- RStudio Team. RStudio: Integrated Development for R; RStudio, PBC: Boston, MA, USA, 2020; Available online: http://www.rstudio.com/ (accessed on 15 January 2023).
- Martin, R. Lehrbuch der Anthropologie in Systematischer Darstellung, 2nd ed.; Gustav Fischer: Jena, Germany, 1928. [Google Scholar]
- Fantini, M.; de Crescenzio, F.F.; Persiani, F.; Benazzi, S.; Gruppioni, G. 3D restitution, restoration and prototyping of a medieval damaged skull. Rapid Prototyp. J. 2008, 14, 318–324. [Google Scholar] [CrossRef]
- Nakao, H.; Nakagawa, T.; Kaneda, A.; Noshita, K.; Tamura, K. Demic diffusion of the Yayoi people in the Japanese archipelago. Lett. Evol. Behav. Sci. 2023, 14, 58–64. [Google Scholar] [CrossRef]
- Buikstra, J.E.; Ubelaker, D. Standards for Data Collection from Human Skeletal Remains: Proceedings of a Seminar at the Field Museum of Natural History; Arkansas Archeological Survey: Fayetteville, AR, USA, 1994. [Google Scholar]
- Brooks, S.; Suchey, J.M. Skeletal age determination based on the os pubis: A comparison of the Acsádi-Nemeskéri and Suchey-Brooks methods. Hum. Evol. 1990, 5, 227–238. [Google Scholar] [CrossRef]
- Meindl, R.S.; Lovejoy, C.O. Ectocranial suture closure: A revised method for the determination of skeletal age at death based on the lateral-anterior sutures. Am. J. Phys. Anthropol. 1985, 68, 57–66. [Google Scholar] [CrossRef] [PubMed]
- Sakaue, K. A Bayesian approach to age estimation from cranial suture closure in Japanese people. Bull. Natl. Mus. Nat. Sci. Ser. D 2015, 41, 1–11. [Google Scholar]
- Matsushita, T. Anthropological study on the human skeletal remains of the Kofun period in the southern Kyushu area. Nagasaki Med. J. 1990, 65, 781–804. (In Japanese) [Google Scholar]
- Hongo, Y. The Identity of Kumaso and Hayato; Yoshikawa-kobunkan: Tokyo, Japan, 1994. [Google Scholar]
- Kurafuji, H.; Hashimoto, T. The Kyushu area. In Japanese Archaeology Lectures 7: The Kofun Period; Hirose, K., Wada, S., Eds.; Aoki-shoten: Tokyo, Japan, 2011; pp. 103–146. (In Japanese) [Google Scholar]
- Wakasa, T. Rural Management of the Eastern Japan in the Kofun Period; Yoshikawa-kobunkan: Tokyo, Japan, 2021. (In Japanese) [Google Scholar]
- Fujisawa, A. (Ed.) Formation of Japan and the Tohoku Area; Yoshikawa-kobunkan: Tokyo, Japan, 2015. (In Japanese) [Google Scholar]
- Imaizumi, T. Rural Management by the Ancient State in Japan and the Tohoku Area; Yoshikawa-kobunkan: Tokyo, Japan, 2017. (In Japanese) [Google Scholar]
- Kumagai, K. The Era of the Emishi and Castle Defenses; Yoshikawa-kobunkan: Tokyo, Japan, 2015. (In Japanese) [Google Scholar]
- Kanzawa, H.; Kakuda, T.; Adachi, N.; Shinoda, K. Nuclear DNA analysis of human bones of the late Yayoi period excavated at Aoya-Kamijichi site, Tottori-shi, Tottori Pref. Bull. Natl. Mus. Jpn. Hist. 2021, 228, 295–307. (In Japanese) [Google Scholar]







| ID | Site | Phase | Area | ID | Site | Phase | Area |
|---|---|---|---|---|---|---|---|
| 1 | Nashikibata | Kofun | 01. Tohoku | 136 | Ashidaguchi | Kofun | 06. Sanyo |
| 2 | Goshozan | Kofun | 01. Tohoku | 137 | Yamadayama | Kofun | 08. Shikoku |
| 3 | Yamoto | Kofun | 01. Tohoku | 138 | Monden | Kofun | 07. Sanin |
| 4 | Enohama | Kofun | 01. Tohoku | 139 | Iimoriyama | Kofun | 06. Sanyo |
| 5 | Satohama | Jomon | 01. Tohoku | 140 | Sakotadozan | Kofun | 06. Sanyo |
| 6 | Shimizu | Kofun | 01. Tohoku | 141 | Natsudani | Kofun | 07. Sanin |
| 7 | Ichikawabashi | Kofun | 01. Tohoku | 142 | Yonesato | Kofun | 07. Sanin |
| 8 | Sanno | Kofun | 01. Tohoku | 143 | Minamisaka | Kofun | 06. Sanyo |
| 9 | Yamahara | Kofun | 01. Tohoku | 144 | Nakamine | Kofun | 07. Sanin |
| 10 | Kosaruda | Kofun | 01. Tohoku | 145 | Sawaberi | Kofun | 07. Sanin |
| 11 | Niki | Kofun | 01. Tohoku | 146 | Ohazama | Kofun | 07. Sanin |
| 12 | Chiyozuru | Kofun | 01. Tohoku | 147 | Ezaki | Kofun | 06. Sanyo |
| 13 | Kumanodo | Kofun | 01. Tohoku | 148 | Ikisu | Kofun | 07. Sanin |
| 14 | Ryugasaki | Kofun | 01. Tohoku | 149 | Kume | Kofun | 06. Sanyo |
| 15 | Bari | Kofun | 02. Kanto | 150 | Seto | Kofun | 07. Sanin |
| 16 | Atamadaikita | Kofun | 02. Kanto | 151 | Yura | Kofun | 07. Sanin |
| 17 | Joyama | Kofun | 02. Kanto | 152 | Damichihigashi | Kofun | 07. Sanin |
| 18 | Kijinodai | Kofun | 02. Kanto | 153 | Tonoyama | Kofun | 06. Sanyo |
| 19 | Yamada | Kofun | 02. Kanto | 154 | Tsumanami | Kofun | 07. Sanin |
| 20 | Shojiki | Kofun | 01. Tohoku | 155 | Sademon | Kofun | 06. Sanyo |
| 21 | Shinjuku | Kofun | 02. Kanto | 156 | Ienoue | Kofun | 06. Sanyo |
| 22 | Fukaado | Kofun | 01. Tohoku | 157 | Mabi | Kofun | 06. Sanyo |
| 23 | Ubakubo | Kofun | 02. Kanto | 158 | Kariya | Kofun | 06. Sanyo |
| 24 | Tattadai | Kofun | 02. Kanto | 159 | Wakamizuyama | Kofun | 06. Sanyo |
| 25 | Monoi | Kofun | 02. Kanto | 160 | Akabane | Kofun | 06. Sanyo |
| 26 | Tozukayama | Kofun | 01. Tohoku | 161 | Ishii | Kofun | 06. Sanyo |
| 27 | Kusakari | Kofun | 02. Kanto | 162 | Kyogaoka | Kofun | 08. Shikoku |
| 28 | Kanoshibayama | Kofun | 02. Kanto | 163 | Yokochiyama | Yayoi | 08. Shikoku |
| 29 | Hiradodai | Kofun | 02. Kanto | 164 | Motomura | Kofun | 06. Sanyo |
| 30 | Nakazuma | Jomon | 02. Kanto | 165 | Tsukumo | Jomon | 06. Sanyo |
| 31 | Sekibadai | Kofun | 02. Kanto | 166 | Kitadanihina | Kofun | 07. Sanin |
| 32 | Ichijuku | Kofun | 02. Kanto | 167 | Mobirahachiman | Kofun | 06. Sanyo |
| 33 | Komasakanitta | Kofun | 01. Tohoku | 168 | Kitsunedani | Kofun | 06. Sanyo |
| 34 | Haizuka | Kofun | 01. Tohoku | 169 | Sekitoyama | Kofun | 06. Sanyo |
| 35 | Sannnoyokoana | Kofun | 02. Kanto | 170 | Sekishufu | Kofun | 07. Sanin |
| 36 | Akabanedai | Kofun | 02. Kanto | 171 | Kusaka | Kofun | 07. Sanin |
| 37 | Higashinakano | Kofun | 02. Kanto | 172 | Koshikiyama | Kofun | 07. Sanin |
| 38 | Takayama | Kofun | 02. Kanto | 173 | Unknown | Kofun | 07. Sanin |
| 39 | Dorinoko | Kofun | 02. Kanto | 174 | Miyahata | Kofun | 07. Sanin |
| 40 | Enpukuji | Kofun | 02. Kanto | 175 | Kameyama | Kofun | 06. Sanyo |
| 41 | Shimosakunobe | Kofun | 02. Kanto | 176 | Higashimunakata | Kofun | 07. Sanin |
| 42 | Tekiana | Kofun | 01. Tohoku | 177 | Fukikoshi | Kofun | 06. Sanyo |
| 43 | Hasekoji | Yayoi | 02. Kanto | 178 | Ozakoyama | Kofun | 07. Sanin |
| 44 | Hanezawadai | Kofun | 02. Kanto | 179 | Ishizuchiyama | Kofun | 07. Sanin |
| 45 | Osawa | Kofun | 02. Kanto | 180 | Kasugayama | Kofun | 07. Sanin |
| 46 | Takigakubo | Kofun | 02. Kanto | 181 | Uchinokurayama | Kofun | 07. Sanin |
| 47 | Deyama | Kofun | 02. Kanto | 182 | Maruyama | Kofun | 07. Sanin |
| 48 | Maehara | Kofun | 02. Kanto | 183 | Inga | Kofun | 07. Sanin |
| 49 | Nakawada | Kofun | 02. Kanto | 184 | Kamejuyama | Kofun | 06. Sanyo |
| 50 | Sakanishi | Kofun | 02. Kanto | 185 | Aruji | Kofun | 06. Sanyo |
| 51 | Yamane_owada | Kofun | 02. Kanto | 186 | Yamanokami | Kofun | 06. Sanyo |
| 52 | Shimoozaki | Kofun | 02. Kanto | 187 | Shiroyama | Kofun | 06. Sanyo |
| 53 | Azumamura | Kofun | 02. Kanto | 188 | Terayama | Kofun | 06. Sanyo |
| 54 | Karamatsu | Kofun | 04. Tokai | 189 | Chihara | Kofun | 06. Sanyo |
| 55 | Keramaki | Kofun | 03. Hokuriku | 190 | Otateyama | Kofun | 06. Sanyo |
| 56 | Yotsuya | Kofun | 04. Tokai | 191 | Shimadaike | Kofun | 07. Sanin |
| 57 | Tennogaya | Kofun | 04. Tokai | 192 | Matoba | Kofun | 07. Sanin |
| 58 | Uto | Kofun | 04. Tokai | 193 | Koikeoku | Kofun | 07. Sanin |
| 59 | Hinokiyama | Kofun | 04. Tokai | 194 | Takinotanijiri | Kofun | 07. Sanin |
| 60 | Ikawazu | Jomon | 04. Tokai | 195 | Miyanotawa | Kofun | 07. Sanin |
| 61 | Shinmido | Yayoi | 04. Tokai | 196 | Iwayaguchi | Kofun | 07. Sanin |
| 62 | Wakikata | Kofun | 03. Hokuriku | 197 | Kamibunnakayama | Kofun | 07. Sanin |
| 63 | Zugawajogahira | Kofun | 03. Hokuriku | 198 | Fukurojiri | Kofun | 07. Sanin |
| 64 | Kodo | Kofun | 03. Hokuriku | 199 | Genzobo | Kofun | 07. Sanin |
| 65 | Otakamachi | Kofun | 04. Tokai | 200 | Kofuke | Kofun | 07. Sanin |
| 66 | Hanaokayama | Kofun | 04. Tokai | 201 | Ninotani | Kofun | 08. Shikoku |
| 67 | Uchioroshi | Kofun | 05. Kinki | 202 | Noda | Kofun | 08. Shikoku |
| 68 | Usayama | Kofun | 05. Kinki | 203 | Kaimochiyama | Kofun | 06. Sanyo |
| 69 | Maezuka | Kofun | 05. Kinki | 204 | Iwaya | Kofun | 07. Sanin |
| 70 | Higashiyamashogunzuka | Kofun | 05. Kinki | 205 | Mitachi | Kofun | 06. Sanyo |
| 71 | Horikiri | Kofun | 05. Kinki | 206 | Nishimineue | Kofun | 08. Shikoku |
| 72 | Taishoike | Kofun | 05. Kinki | 207 | Nitachugakko | Kofun | 07. Sanin |
| 73 | Teraguchi | Kofun | 05. Kinki | 208 | Ainotani | Kofun | 08. Shikoku |
| 74 | Chayama | Kofun | 05. Kinki | 209 | Kawakohara | Kofun | 07. Sanin |
| 75 | Kannonzuka | Kofun | 05. Kinki | 210 | Fudenoo | Kofun | 07. Sanin |
| 76 | Houki | Kofun | 05. Kinki | 211 | Bikunibara | Kofun | 07. Sanin |
| 77 | Isoma | Kofun | 05. Kinki | 212 | Koujiroshimosako | Kofun | 07. Sanin |
| 78 | Shinjo | Yayoi | 05. Kinki | 213 | Sawahira | Kofun | 07. Sanin |
| 79 | Tachido | Kofun | 05. Kinki | 214 | Taninouchi | Kofun | 08. Shikoku |
| 80 | Ibemaeyama | Kofun | 05. Kinki | 215 | Hirano | Kofun | 07. Sanin |
| 81 | Inabayama | Kofun | 05. Kinki | 216 | Tanchiyama | Kofun | 08. Shikoku |
| 82 | Hidarisaka | Kofun | 05. Kinki | 217 | Hatadera | Kofun | 08. Shikoku |
| 83 | Chinoshima | Yayoi | 05. Kinki | 218 | Dondabara | Kofun | 08. Shikoku |
| 84 | Takiyama | Kofun | 06. Sanyo | 219 | Aoki | Yayoi | 07. Sanin |
| 85 | Maikohama | Kofun | 06. Sanyo | 220 | Setokazetoge | Kofun | 08. Shikoku |
| 86 | Yoroki | Kofun | 06. Sanyo | 221 | Yoshifuji | Kofun | 08. Shikoku |
| 87 | Toitsume | Kofun | 06. Sanyo | 222 | Egedani | Kofun | 07. Sanin |
| 88 | Saijo | Kofun | 06. Sanyo | 223 | Koshiinoue | Kofun | 07. Sanin |
| 89 | Kakitsubo | Kofun | 06. Sanyo | 224 | Tsudayama | Kofun | 08. Shikoku |
| 90 | Horiyama | Kofun | 06. Sanyo | 225 | Asagara | Kofun | 07. Sanin |
| 91 | Shuhenjiyama | Kofun | 06. Sanyo | 226 | Wakesakanami | Kofun | 08. Shikoku |
| 92 | Kayaga | Kofun | 07. Sanin | 227 | Omaruyama | Kofun | 08. Shikoku |
| 93 | Hanayama | Kofun | 07. Sanin | 228 | Inome | Kofun | 07. Sanin |
| 94 | Tsuboi | Kofun | 07. Sanin | 229 | Ujigamishoda | Kofun | 06. Sanyo |
| 95 | Tsutsue | Kofun | 07. Sanin | 230 | Jogadani | Kofun | 06. Sanyo |
| 96 | Tadachi | Kofun | 07. Sanin | 231 | Bishamondai | Yayoi | 06. Sanyo |
| 97 | Umeda | Kofun | 07. Sanin | 232 | Nimasakanada | Kofun | 07. Sanin |
| 98 | Mukaiyama | Kofun | 07. Sanin | 233 | Ikadayama | Kofun | 06. Sanyo |
| 99 | Muraiyama | Kofun | 07. Sanin | 234 | Akimachi | Kofun | 09. N_Kyushu |
| 100 | Haneyama | Kofun | 07. Sanin | 235 | Sakamotonoue | Kofun | 10. S_Kyushu |
| 101 | Komaruyama | Kofun | 07. Sanin | 236 | Atoe | Kofun | 10. S_Kyushu |
| 102 | Nishiienoue | Kofun | 07. Sanin | 237 | Osuga | Kofun | 06. Sanyo |
| 103 | Himeji | Kofun | 06. Sanyo | 238 | Rokunohara | Kofun | 10. S_Kyushu |
| 104 | Takeshimaontakejinja | Kofun | 08. Shikoku | 239 | Joshinbaru | Kofun | 10. S_Kyushu |
| 105 | Toboyama | Kofun | 06. Sanyo | 240 | Motochibaru | Kofun | 10. S_Kyushu |
| 106 | Tenkojiyama | Kofun | 06. Sanyo | 241 | Ozaki | Kofun | 06. Sanyo |
| 107 | Myojinyama | Kofun | 06. Sanyo | 242 | Sainoki | Kofun | 07. Sanin |
| 108 | Shirasagiyama | Kofun | 06. Sanyo | 243 | Sukumozuka | Kofun | 07. Sanin |
| 109 | TasunoTaiikukan | Kofun | 06. Sanyo | 244 | Morigasuwa | Kofun | 07. Sanin |
| 110 | Egeyama | Kofun | 08. Shikoku | 245 | Shimokawahigashimakinobaru | Kofun | 10. S_Kyushu |
| 111 | Tossaka | Kofun | 06. Sanyo | 246 | Dera | Kofun | 10. S_Kyushu |
| 112 | Shinguhigashiyama | Kofun | 06. Sanyo | 247 | Kashino | Kofun | 10. S_Kyushu |
| 113 | Sekkuyama | Kofun | 08. Shikoku | 248 | Ohagi | Kofun | 10. S_Kyushu |
| 114 | Shimodanishiyama | Kofun | 06. Sanyo | 249 | Asahidai | Kofun | 10. S_Kyushu |
| 115 | Nishinoyama | Kofun | 06. Sanyo | 250 | Kitaushiroda | Kofun | 10. S_Kyushu |
| 116 | Yokosakakyuryo | Kofun | 06. Sanyo | 251 | Nakao | Kofun | 10. S_Kyushu |
| 117 | Maruo | Kofun | 06. Sanyo | 252 | Doigahama | Yayoi | 07. Sanin |
| 118 | Uratomi | Kofun | 07. Sanin | 253 | Ebino | Kofun | 10. S_Kyushu |
| 119 | Itodani | Kofun | 07. Sanin | 254 | Hirohata | Kofun | 10. S_Kyushu |
| 120 | Midoriyama | Kofun | 07. Sanin | 255 | Hisamizako | Kofun | 10. S_Kyushu |
| 121 | Kaichidani | Kofun | 07. Sanin | 256 | Toyookamiyamoto | Kofun | 09. N_Kyushu |
| 122 | Takatsubo | Kofun | 08. Shikoku | 257 | Shimauchi | Kofun | 10. S_Kyushu |
| 123 | Ochiyama | Kofun | 06. Sanyo | 258 | Nagamine | Yayoi | 09. N_Kyushu |
| 124 | Katayama | Kofun | 06. Sanyo | 259 | Annomae | Yayoi | 09. N_Kyushu |
| 125 | Kitayama | Kofun | 06. Sanyo | 260 | Daifukumura | Yayoi | 09. N_Kyushu |
| 126 | Nakajima | Kofun | 06. Sanyo | 261 | Tateiwa | Yayoi | 09. N_Kyushu |
| 127 | Numa | Kofun | 06. Sanyo | 262 | Minaminomae | Kofun | 09. N_Kyushu |
| 128 | Nishikarube | Kofun | 06. Sanyo | 263 | Yamaemura | Yayoi | 09. N_Kyushu |
| 129 | Tagajinja | Kofun | 06. Sanyo | 264 | Kuma-Nishioda | Yayoi | 09. N_Kyushu |
| 130 | Aoyakamijichi | Yayoi | 07. Sanin | 265 | Yunoki | Kofun | 09. N_Kyushu |
| 131 | Gedoyamaminami | Kofun | 06. Sanyo | 266 | Kanenokuma | Yayoi | 09. N_Kyushu |
| 132 | Sasai | Kofun | 06. Sanyo | 267 | Unaijaku | Kofun | 09. N_Kyushu |
| 133 | Bessho | Kofun | 07. Sanin | 268 | Katanawa | Kofun | 09. N_Kyushu |
| 134 | Matsuyama | Kofun | 08. Shikoku | 269 | Senri-okubo | Kofun | 09. N_Kyushu |
| 135 | Kumesannari | Kofun | 06. Sanyo | 270 | Ohama | Yayoi | 09. N_Kyushu |
| Phase/Sample Sizes | Female | Male | Unknown | Total |
|---|---|---|---|---|
| Jomon | 33 | 49 | 82 | |
| Yayoi | 25 | 55 | 1 | 81 |
| Early Kofun | 26 | 33 | 1 | 60 |
| Middle Kofun | 59 | 91 | 2 | 152 |
| Late Kofun | 120 | 186 | 4 | 310 |
| Unknown Kofun | 1 | 7 | 8 | |
| Total | 264 | 421 | 8 | 693 |
| No. | Selected Metrical Points | No. | Selected Metrical Points | No. | Selected Metrical Points |
|---|---|---|---|---|---|
| 1 | Nasion | 12 | left Frontomalare orbitale | 22 | left Asterion |
| 2 | Nasospinale | 13 | left Ectokonchion | 23 | left Entomion |
| 3 | Prosthion | 14 | left Orbitale | 24 | Orale |
| 4 | right Maxillofrontale | 15 | left Frontotemporale | 25 | Staphylion |
| 5 | right Frontomalare orbitale | 16 | left Jugale | 26 | Basion |
| 6 | right Ectokonchion | 17 | left Zygomaxillare | 27 | Bregma |
| 7 | right Orbitale | 18 | Lambda | 28 | right Krotaphion |
| 8 | right Frontotemporale | 19 | Opisthocranion | 29 | right Sphenion |
| 9 | right Jugale | 20 | right Asterion | 30 | left Krotaphion |
| 10 | right Zygomaxillare | 21 | right Entomion | 31 | left Sphenion |
| 11 | left Maxillofrontale |
| Study 1 | PC1 | PC2 | PC3 | PC4 | PC5 | PC6 | PC7 | PC8 | PC9 | PC10 |
| Contribution rate | 11% | 9% | 8% | 6% | 6% | 5% | 3% | 3% | 3% | 2% |
| Cumulative contribution rate | 11% | 19% | 27% | 34% | 40% | 45% | 48% | 51% | 54% | 57% |
| PCs | PC11 | PC12 | PC13 | PC14 | PC15 | PC16 | PC17 | PC18 | PC19 | PC20 |
| Contribution rate | 2% | 2% | 2% | 2% | 2% | 2% | 2% | 2% | 2% | 1% |
| Cumulative contribution rate | 59% | 62% | 64% | 66% | 68% | 70% | 71% | 73% | 74% | 76% |
| Study 2 | PC1 | PC2 | PC3 | PC4 | PC5 | PC6 | PC7 | PC8 | PC9 | PC10 |
| Contribution rate | 10% | 9% | 8% | 6% | 6% | 5% | 4% | 3% | 3% | 3% |
| Cumulative contribution rate | 10% | 19% | 27% | 33% | 39% | 44% | 48% | 51% | 55% | 57% |
| PCs | PC11 | PC12 | PC13 | PC14 | PC15 | PC16 | PC17 | PC18 | PC19 | |
| Contribution rate | 2% | 2% | 2% | 2% | 2% | 2% | 2% | 2% | 1% | |
| Cumulative contribution rate | 59% | 62% | 64% | 66% | 68% | 70% | 72% | 73% | 75% |
Disclaimer/Publisher’s Note: The statements, opinions and data contained in all publications are solely those of the individual author(s) and contributor(s) and not of MDPI and/or the editor(s). MDPI and/or the editor(s) disclaim responsibility for any injury to people or property resulting from any ideas, methods, instructions or products referred to in the content. |
© 2024 by the authors. Licensee MDPI, Basel, Switzerland. This article is an open access article distributed under the terms and conditions of the Creative Commons Attribution (CC BY) license (https://creativecommons.org/licenses/by/4.0/).
Share and Cite
Nakao, H.; Kaneda, A.; Tamura, K.; Noshita, K.; Nakagawa, T. Macro-Scale Population Patterns in the Kofun Period of the Japanese Archipelago: Quantitative Analysis of a Larger Sample of Three-Dimensional Data from Ancient Human Crania. Humans 2024, 4, 131-147. https://doi.org/10.3390/humans4020008
Nakao H, Kaneda A, Tamura K, Noshita K, Nakagawa T. Macro-Scale Population Patterns in the Kofun Period of the Japanese Archipelago: Quantitative Analysis of a Larger Sample of Three-Dimensional Data from Ancient Human Crania. Humans. 2024; 4(2):131-147. https://doi.org/10.3390/humans4020008
Chicago/Turabian StyleNakao, Hisashi, Akihiro Kaneda, Kohei Tamura, Koji Noshita, and Tomomi Nakagawa. 2024. "Macro-Scale Population Patterns in the Kofun Period of the Japanese Archipelago: Quantitative Analysis of a Larger Sample of Three-Dimensional Data from Ancient Human Crania" Humans 4, no. 2: 131-147. https://doi.org/10.3390/humans4020008
APA StyleNakao, H., Kaneda, A., Tamura, K., Noshita, K., & Nakagawa, T. (2024). Macro-Scale Population Patterns in the Kofun Period of the Japanese Archipelago: Quantitative Analysis of a Larger Sample of Three-Dimensional Data from Ancient Human Crania. Humans, 4(2), 131-147. https://doi.org/10.3390/humans4020008

