Chiral Modulations in Non-Heisenberg Models of Non-Centrosymmetric Magnets Near the Ordering Temperatures
Abstract
1. Introduction
2. Phenomenological Theory and Equations
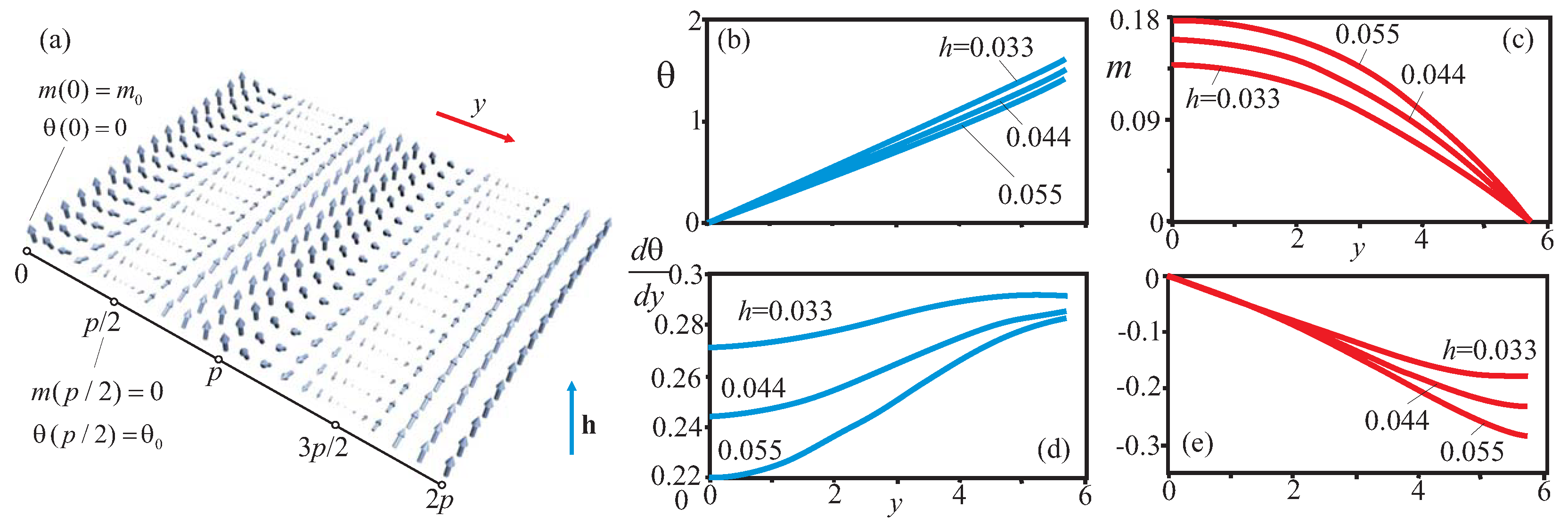
2.1. High-Temperature Isolated Skyrmions
2.2. Energy Minimization
- (i)
- The initial configuration of magnetization vectors in the grid knots for Monte Carlo annealing is chosen appropriately to ensure relaxation to a desired particle-like state.
- (ii)
- A point on a grid is chosen randomly. Then, the magnetization vector in that point is rotated without a change in its length. If the energy change associated with such a rotation is negative, the new orientation is kept.
- (iii)
- However, if the new state has an energy higher than the last one, it is accepted probabilistically. The probability P depends upon the energy and a kinetic cycle temperature :where is the Boltzmann constant. Together with probability P, a random number is generated. If , the new configuration is accepted and is otherwise discarded. Generally speaking, at high temperatures , many states will be accepted, while at low temperatures, the majority of these probabilistic moves will be rejected. Therefore, one has to choose an appropriate starting temperature for heating cycles.
- (iv)
- The characteristic spacings , , and are also adjusted to promote energy relaxation. The procedure is stopped when no further reduction in energy is observed.
2.3. Modulated Phases Stabilized within the Model (3)
2.4. A Generalized Gradient Energy for a Chiral Isotropic System
3. Phase Diagram of Solutions for
4. Field- and Temperature-Driven Transformation of Modulated States for
4.1. Transformation of the -Skyrmion Lattice in Applied Magnetic Field
4.2. Transformation of the -Skyrmion Lattice in Applied Magnetic Field
4.3. Transformations of the Half-Skyrmion Lattice
4.4. Transformation of Helicoids in the Applied Magnetic Field
5. Conclusions
Funding
Institutional Review Board Statement
Informed Consent Statement
Data Availability Statement
Acknowledgments
Conflicts of Interest
References
- Dzyaloshinskii, I.E. Theory of helicoidal structures in antiferromagnets. I. nonmetals. Sov. Phys. JETP 1964, 19, 960. [Google Scholar]
- Moriya, T. Anisotropic Superexchange Interaction and Weak Ferromagnetism. Phys. Rev. 1960, 120, 91. [Google Scholar] [CrossRef]
- Bogdanov, A.N.; Yablonsky, D.A. Thermodynamically stable vortices in magnetically ordered crystals. Mixed state of magnetics. Zh. Eksp. Teor. Fiz. 1989, 95, 178. [Google Scholar]
- Nagaosa, N.; Tokura, Y. Topological properties and dynamics of magnetic skyrmions. Nat. Nanotechnol. 2013, 8, 899. [Google Scholar] [CrossRef] [PubMed]
- Roessler, U.K.; Leonov, A.A.; Bogdanov, A.N. Skyrmionic textures in chiral magnets. J. Phys. 2010, 200, 022029. [Google Scholar]
- Bogdanov, A.; Hubert, A. Thermodynamically stable magnetic vortex states in magnetic crystals. J. Magn. Magn. Mater. 1994, 138, 255. [Google Scholar] [CrossRef]
- Wiesendanger, R. Nanoscale magnetic skyrmions in metallic films and multilayers: A new twist for spintronics. Nat. Rev. Mater. 2016, 1, 16044. [Google Scholar] [CrossRef]
- Bogdanov, A.; Hubert, A. The stability of vortex-like structures in uniaxial ferromagnets. J. Magn. Magn. Mater. 1999, 195, 182. [Google Scholar] [CrossRef]
- Leonov, A.O.; Monchesky, T.L.; Romming, N.; Kubetzka, A.; Bogdanov, A.N.; Wiesendanger, R. The properties of isolated chiral skyrmions in thin magnetic films. New J. Phys. 2016, 18, 065003. [Google Scholar] [CrossRef]
- McGrouther, D.; Binz, B.; Lamb, R.J.; Krajnak, M.; McFadzean, S.; McVitie, S.; Stamps, R.L.; Leonov, A.O.; Bogdanov, A.N.; Togawa, Y. Internal structure of hexagonal skyrmion lattices in cubic helimagnets. New J. Phys. 2016, 18, 095004. [Google Scholar] [CrossRef]
- Roessler, U.K.R.; Bogdanov, A.N.; Pfleiderer, C. Spontaneous skyrmion ground states in magnetic metals. Nature 2006, 442, 797. [Google Scholar] [CrossRef] [PubMed]
- Bak, P.; Jensen, M.H. Theory of helical magnetic structures and phase transitions in MnSi and FeGe. J. Phys. C Solid State Phys. 1980, 13, L881. [Google Scholar] [CrossRef]
- Lebech, B.; Harris, P.; Skiv Pedersen, J.; Mortensen, K.; Gregory, C.I.; Bernhoeft, N.R.; Jermy, M.; Brown, S.A. Magnetic phase-diagram of MnSi. J. Magn. Magn. Mater. 1995, 140, 119. [Google Scholar]
- Ishikawa, Y.; Arai, M. Magnetic phase diagram of MnSi near critical temperature studied by neutron small angle scattering. J. Phys. Soc. Jpn. 1984, 53, 2726. [Google Scholar] [CrossRef]
- Wilhelm, H.; Baenitz, M.; Schmidt, M.; Roessler, U.K.; Leonov, A.A.; Bogdanov, A.N. Precursor phenomena at the magnetic ordering of the cubic helimagnet FeGe. Phys. Rev. Lett. 2011, 107, 127203. [Google Scholar] [CrossRef] [PubMed]
- Müehlbauer, S.; Binz, B.; Jonietz, F.; Pfleiderer, C.; Rosch, A.; Neubauer, A.; Georgii, R.; Böni, P. Skyrmion lattice in a chiral magnet. Science 2009, 323, 915. [Google Scholar] [CrossRef] [PubMed]
- Seki, S.; Yu, X.Z.; Ishiwata, S.; Tokura, Y.; Bogdanov, A.N. Observation of Skyrmions in a Multiferroic Material. Science 2012, 336, 198. [Google Scholar] [CrossRef] [PubMed]
- Buhrandt, S.; Fritz, L. Skyrmion lattice phase in three-dimensional chiral magnets from Monte Carlo simulations. Phys. Rev. B 2013, 88, 195137. [Google Scholar] [CrossRef]
- Levatic, I.; Popcevic, P.; Surija, V.; Kruchkov, A.; Berger, H.; Magrez, A.; White, J.S.; Ronnow, H.M.; Zivkovic, I. Dramatic pressure-driven enhancement of bulk skyrmion stability. Sci. Rep. 2016, 6, 21347. [Google Scholar] [CrossRef] [PubMed]
- Okamura, Y.; Kagawa, F.; Seki, S.; Tokura, Y. Transition to and from the skyrmion lattice phase by electric fields in a magnetoelectric compound. Nat. Commun. 2016, 7, 12669. [Google Scholar] [CrossRef] [PubMed]
- Kruchkov, A.J.; White, J.S.; Bartkowiak, M.; Zivkovic, I.; Magrez, A.; Ronnow, H.M. Direct electric field control of the skyrmion phase in a magnetoelectric insulator. Sci. Rep. 2018, 8, 10466. [Google Scholar] [CrossRef] [PubMed]
- White, J.S.; Zivkovic, I.; Kruchkov, A.J.; Bartkowiak, M.; Magrez, A.; Ronnow, H.M. Electric-Field-Driven Topological Phase Switching and Skyrmion-Lattice Metastability in Magnetoelectric Cu2OSeO3. Phys. Rev. Appl. 2018, 10, 014021. [Google Scholar] [CrossRef]
- Wu, H.C.; Wei, T.Y.; Chandrasekhar, K.D.; Chen, T.Y.; Berger, H.; Yang, H.D. Unexpected observation of splitting of skyrmion phase in Zn doped Cu2OSeO3. Sci. Rep. 2015, 5, 13579. [Google Scholar] [CrossRef]
- Seki, S.; Okamura, Y.; Shibata, K.; Takagi, R.; Khanh, N.D.; Kagawa, F.; Arima, T.; Tokura, Y. Stabilization of magnetic skyrmions by uniaxial tensile strain. Phys. Rev. B 2017, 96, 220404. [Google Scholar] [CrossRef]
- Nakajima, T.; Ukleev, V.; Ohishi, K.; Oike, H.; Kagawa, F.; Seki, S.-i.; Kakurai, K.; Tokura, Y.; Arima, T. Uniaxial-stress effects on helimagnetic orders and skyrmion lattice in Cu2OSeO3. J. Phys. Soc. Jpn. 2018, 87, 094709. [Google Scholar] [CrossRef]
- Leonov, A.O.; Pappas, C.; Kezsmarki, I. Field and anisotropy driven transformations of spin spirals in cubic skyrmion hosts. Phys. Rev. Res. 2020, 2, 043386. [Google Scholar] [CrossRef]
- Leonov, A.O.; Pappas, C. Topological boundaries between helical domains as a nucleation source of skyrmions in a bulk cubic helimagnet Cu2OSeO3. Phys. Rev. Res. 2022, 4, 043137. [Google Scholar] [CrossRef]
- Pappas, C.; Lelievre-Berna, E.; Falus, P.; Bentley, P.M.; Moskvin, E.; Grigoriev, S.; Fouquet, P.; Farago, B. Chiral paramagnetic skyrmion-like phase in MnSi. Phys. Rev. Lett. 2009, 102, 197202. [Google Scholar] [CrossRef] [PubMed]
- Leonov, A.O.; Roessler, U.K. Mechanism of Skyrmion Attraction in Chiral Magnets near the Ordering Temperatures. Nanomaterials 2023, 13, 891. [Google Scholar] [CrossRef] [PubMed]
- Leonov, A.O. Precursor skyrmion states near the ordering temperatures of chiral magnets. Phys. Chem. Chem. Phys. 2023, 25, 28691. [Google Scholar] [CrossRef] [PubMed]
- Yu, X.Z.; Kanazawa, N.; Onose, Y.; Kimoto, K.; Zhang, W.Z.; Ishiwata, S.; Matsui, Y.; Tokura, Y. Near room-temperature formation of a skyrmion crystal in thin-films of the helimagnet FeGe. Nat. Mater. 2011, 10, 106. [Google Scholar] [CrossRef] [PubMed]
- Yu, X.Z.; Onose, Y.; Kanazawa, N.; Park, J.H.; Han, J.H.; Matsui, Y.; Nagaosa, N.; Tokura, Y. Real-space observation of a two-dimensional skyrmion crystal. Nature 2010, 465, 901. [Google Scholar] [CrossRef] [PubMed]
- Wright, D.C.; Mermin, N.D. Crystalline liquids: The blue phases. Rev. Mod. Phys. 1989, 61, 385. [Google Scholar] [CrossRef]
- Leonov, A.O.; Pappas, C.; Smalyukh, I.I. Field-driven metamorphoses of isolated skyrmions within the conical state of cubic helimagnets. Phys. Rev. B 2021, 104, 064432. [Google Scholar] [CrossRef]
- Crisanti, M.; Leonov, A.O.; Cubitt, R.; Labh, A.; Wilhelm, H.; Schmidt, M.P.; Pappas, C. Tilted spirals and low-temperature skyrmions in Cu2OSeO3. Phys. Rev. Res. 2023, 5, 033033. [Google Scholar] [CrossRef]
- Ackerman, P.J.; Smalyukh, I.I. Static three-dimensional topological solitons in fluid chiral ferromagnets and colloids. Nat. Mater. 2016, 16, 426. [Google Scholar] [CrossRef] [PubMed]
- Rößler, U.K.; Bogdanov, A.N. The structure of supercooled liquids and glasses as Skyrmionic texture. J. Non-Crys. Sol. 2008, 354, 4198. [Google Scholar] [CrossRef]
- Skyrme, T.H.R. A Nonlinear field theory. Proc. R. Soc. Lond. 1961, 260, 127. [Google Scholar]





Disclaimer/Publisher’s Note: The statements, opinions and data contained in all publications are solely those of the individual author(s) and contributor(s) and not of MDPI and/or the editor(s). MDPI and/or the editor(s) disclaim responsibility for any injury to people or property resulting from any ideas, methods, instructions or products referred to in the content. |
© 2024 by the author. Licensee MDPI, Basel, Switzerland. This article is an open access article distributed under the terms and conditions of the Creative Commons Attribution (CC BY) license (https://creativecommons.org/licenses/by/4.0/).
Share and Cite
Leonov, A.O. Chiral Modulations in Non-Heisenberg Models of Non-Centrosymmetric Magnets Near the Ordering Temperatures. Magnetism 2024, 4, 91-103. https://doi.org/10.3390/magnetism4020007
Leonov AO. Chiral Modulations in Non-Heisenberg Models of Non-Centrosymmetric Magnets Near the Ordering Temperatures. Magnetism. 2024; 4(2):91-103. https://doi.org/10.3390/magnetism4020007
Chicago/Turabian StyleLeonov, Andrey O. 2024. "Chiral Modulations in Non-Heisenberg Models of Non-Centrosymmetric Magnets Near the Ordering Temperatures" Magnetism 4, no. 2: 91-103. https://doi.org/10.3390/magnetism4020007
APA StyleLeonov, A. O. (2024). Chiral Modulations in Non-Heisenberg Models of Non-Centrosymmetric Magnets Near the Ordering Temperatures. Magnetism, 4(2), 91-103. https://doi.org/10.3390/magnetism4020007
