Two-Step Magnetic Ordering in Intercalated Niobium Dichalcogenide MnXNbS2
Abstract
:1. Introduction
2. Preparation of Samples and Experimental Methods of Study
3. Structural Studies
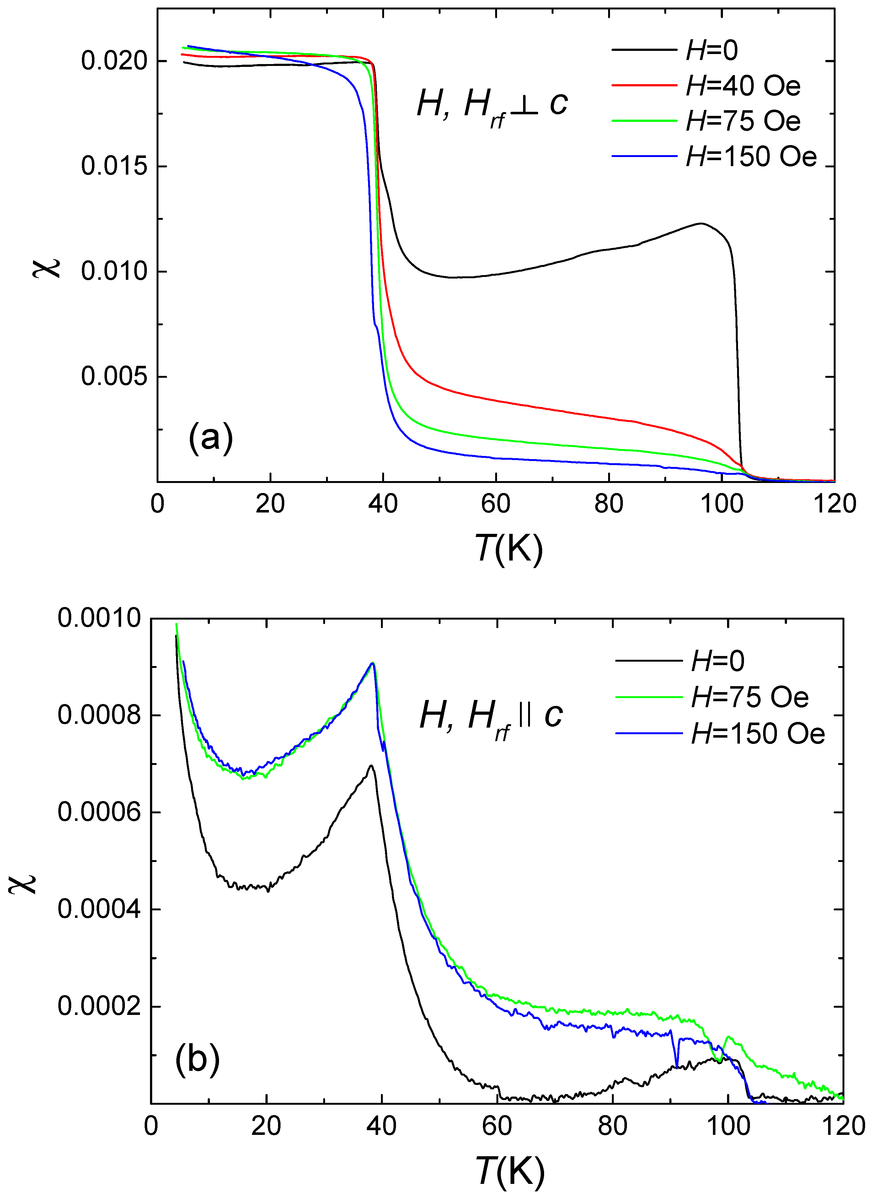
4. Magnetic Properties
- the magnetic field was in the basal plane ab (Hrf┴c);
- the magnetic field was oriented along the hexagonal axis c (Hrf║c).
5. Conclusions
Author Contributions
Funding
Institutional Review Board Statement
Informed Consent Statement
Data Availability Statement
Conflicts of Interest
References
- Radisavljevic, B.; Radenovic, A.; Brivio, J.; Giacometti, V.; Kis, A. Single-layer MoS2 transistors. Nat. Nanotechnol. 2011, 6, 147–150. [Google Scholar] [CrossRef]
- Choi, W.; Kim, S. Thin-Film Transistors Based on Transition Metal Dichalcogenides. In Nanomaterials, Polymers, and Devices: Materials Functionalization and Device Fabrication; Kong, E.S.W., Ed.; John Wiley & Sons, Inc.: Hoboken, NJ, USA, 2015. [Google Scholar]
- Lan, Y.-W.; Torres, C.; Tsai, S.-H.; Zhu, X.; Shi, Y.; Li, Y.; Ming, Y.; Li, L.-J.; Yeh, W.-K.; Wang, K. Atomic-monolayer MoS2 band-to-band tunneling field-effect transistor. Small 2016, 12, 5676–5683. [Google Scholar] [CrossRef]
- Tang, L.; Xu, R.; Tan, J.; Yuting, L.; Zou, J.; Zongteng, Z.; Zhang, R.; Zhao, Y.; Lin, J.; Zou, X.; et al. Modulating Electronic Structure of Monolayer Transition Metal Dichalcogenides by Substitutional Nb-Doping. Adv. Func. Mater. 2020, 31, 2006941. [Google Scholar] [CrossRef]
- Szczęśniak, D.; Hoehn, R.D.; Kais, S. Canonical Schottky barrier heights of transition metal dichalcogenide monolayers in contact with a metal. Phys. Rev. B 2018, 97, 195315. [Google Scholar] [CrossRef]
- Pak, J.; Lee, I.; Cho, K.; Kim, J.-K.; Jeong, H.; Hwang, W.-T.; Ahn, G.; Kang, K.; Yu, W.; Javey, A.; et al. Intrinsic optoelectronic characteristics of MoS2 phototransistors via a fully transparent van der Waals heterostructure. ACS Nano 2019, 13, 9638–9646. [Google Scholar] [CrossRef]
- Szczęśniak, D.; Kais, S. Gap states and valley-spin filtering in transition metal dichalcogenide monolayers. Phys. Rev. B 2020, 101, 115423. [Google Scholar] [CrossRef]
- Zhang, J.; Du, C.; Dai, Z.; Chen, W.; Zheng, Y.; Li, B.; Zong, Y.; Wang, X.; Zhu, J.; Yan, Q. NbS2 nanosheets with M/Se (M = Fe, Co, Ni) codopants for Li+ and Na+ storage. ACS Nano 2017, 11, 10599–10607. [Google Scholar] [CrossRef]
- Zhou, J.; Shen, Y.; Lv, F.; Zhang, W.; Lin, F.; Zhang, W.; Wang, K.; Luo, H.; Wang, Q.; Yang, H.; et al. Ultrathin Metallic NbS2 Nanosheets with Unusual Intercalation Mechanism for Ultra-Stable Potassium-Ion Storage. Adv. Funct. Mater. 2022, 32, 2204495. [Google Scholar] [CrossRef]
- Splendiani, A.; Sun, L.; Zhang, Y.; Li, T.; Kim, J.; Chim, C.-Y.; Galli, G.; Wang, F. Emerging photoluminescence in monolayer MoS2. Nano Lett. 2010, 10, 1271–1275. [Google Scholar] [CrossRef]
- Chernenko, A.; Brichkin, A.; Golyshkov, G.; Shevchun, A. Effect of the Quality of Interfaces on the Photoluminescence of Encapsulated MoSe2 Monolayers. Bull. Russ. Acad. Sci. Phys. 2023, 87, 161–164. [Google Scholar] [CrossRef]
- Miyadai, T.; Kikuchi, K.; Kondo, H.; Sakka, S.; Arai, M.; Ishikawa, Y.J. Magnetic properties of Cr1/3NbS2. Phys. Soc. Jpn. 1983, 52, 1394–1401. [Google Scholar] [CrossRef]
- Koyama, T.; Takayanagi, K.; Mori, S.; Kousaka, Y.; Akimitsu, J.; Nishihara, S.; Inoue, K.; Ovchinnikov, A.S.; Kishine, J. Chiral magnetic soliton lattice on a chiral helimagnet. Phys. Rev. Lett. 2012, 108, 107202. [Google Scholar]
- Ghimire, N.J.; McGuire, M.A.; Parker, D.S.; Sipos, B.; Tang, S.; Yan, J.-Q.; Sales, B.C.; Mandrus, D. Magnetic phase transition in single crystals of the chiral helimagnet Cr1/3NbS2. Phys. Rev. B 2013, 87, 104403. [Google Scholar] [CrossRef]
- Braam, D.; Tezok, S.; de Mello, E.V.L.; Li, L.; Mandrus, D.; Kee, H.-Y.; Sonier, J.E. Magnetic properties of the helimagnet Cr1/3NbS2 observed by μSR. Phys. Rev. B 2015, 91, 144407. [Google Scholar] [CrossRef]
- Sirica, N.; Vilmercati, P.; Bondino, F.; Pis, I.; Nappini, S.; Mo, S.-K.; Fedorov, A.V.; Das, P.K.; Vobornik, I.; Fujii, J.; et al. The nature of ferromagnetism in the chiral helimagnet Cr1/3NbS2. Commun. Phys. 2020, 3, 65. [Google Scholar] [CrossRef]
- Kousaka, Y.; Nakao, Y.; Kishine, J.; Akita, M.; Inoue, K.; Akimitsu, J. Chiral helimagnetism in T1/3NbS2 (T= Cr and Mn). Nucl. Instrum. Methods Phys. Res. A 2009, 600, 250–253. [Google Scholar] [CrossRef]
- Karna, S.K.; Womack, F.N.; Chapai, R.; Young, D.P.; Marshall, M.; Xie, W.; Graf, D.; Wu, Y.; Cao, H.; DeBeer-Schmitt, L.; et al. Consequences of magnetic ordering in chiral Mn1/3NbS2. Phys. Rev. B 2019, 100, 184413. [Google Scholar] [CrossRef]
- Dai, Y.; Liu, W.; Wang, Y.; Pi, L.; Zhang, L.; Zhang, Y.; Fan, J. Critical phenomenon and phase diagram of Mn-intercalated layered MnNb3S6. J. Phys. Condens. Matter 2019, 31, 195803. [Google Scholar] [CrossRef]
- Dyadkin, V.; Mushenok, F.; Bosak, A.; Menzel, D.; Grigoriev, S.; Pattison, P.; Chernyshov, D. Structural disorder versus chiral magnetism in Cr1/3NbS2. Phys. Rev. B 2015, 91, 184205. [Google Scholar] [CrossRef]
- Chen, C.-W.; Chikara, S.; Zapf, V.S.; Morosan, E. Correlations of crystallographic defects and anisotropy with magnetotransport properties in FexTaS2 single crystals (0.23 ≤ x ≤ 0.35). Phys. Rev. B 2016, 94, 054406. [Google Scholar] [CrossRef]
- Mao, Q.; Xu, Y.; Li, R.; Wang, Y.; Li, H.; Xue, L.; Hao, H.; Khan, R.; Chen, B.; Yang, J. Localized magnetism, magnetic entropy change and critical properties of Mn1/4+δNbS2 single crystals. Phys. B Condens. 2023, 649, 414469. [Google Scholar] [CrossRef]
- Anohin, V.Z.; Goncharov, E.G.; Kostrjukova, E.P.; Pshestanchik, V.R.; Marshakova, T.A. Praktikum po Himii i Tehnologii Poluprovodnikov; M.:Vysshaya shkola: Minsk, Belarus, 1978; p. 191. [Google Scholar]
- Inorganic Material Database (AtomWork), National Institute for Materials Science (Japan). Available online: http://crystdb.nims.go.jp (accessed on 1 January 2023).
- Neminsky, A.M.; Nikolaev, P.N.; Shovkun, D.V.; Laukhina, E.E.; Yagubskii, E.B. Temperature dependence of the magnetic field penetration depth in Rb3C60 measured by ac susceptibility. Phys. Rev. Lett. 1994, 72, 3092. [Google Scholar] [CrossRef]
- Anzenhofer, K.; Van Den Berg, J.M.; Cossee, P.; Helle, J.N. The crystal structure and magnetic susceptibilities of MnNb3S6, FeNb3S6, CoNb3S6 and NiNb3S6. J. Phys. Chem. Solids 1970, 31, 1057–1067. [Google Scholar] [CrossRef]
- Blanc-Soreau, A.L.; Rouxel, J.; Gardette, M.; Gorochov, O. Proprietes electriques et magnetiques de Mn0.25NbS2 et Mn0.33NbS2. Mater. Res. Bull. 1976, 11, 1061–1071. [Google Scholar] [CrossRef]
- Rahman, A.; Rehman, M.; Yousaf, M.; Kiani, M.; Zhao, H.; Wang, J.; Lu, Y.; Ruan, K.; Dai, R.; Wang, Z.; et al. RKKY-type in-plane ferromagnetism in layered Mn1/4NbS2 single crystals. Phys. Rev. B 2022, 105, 214410. [Google Scholar] [CrossRef]
- Hulliger, F.; Pobitschka, E. On the magnetic behavior of new 2H NbS2-type derivatives. J. Solid State Chem. 1970, 1, 117–119. [Google Scholar] [CrossRef]
- Voorhoeve, J.M.; Berg, V.D.; Robbins, M. Intercalation of the niobium-diselenide layer structure by first-row transition metals. J. Solid State Chem. 1970, 1, 134–137. [Google Scholar] [CrossRef]
- Anzenhofer, K.; de Boer, J.J. The crystal structure of MnNb4S8. Recl. Trav. Chim. Pays-Bas 1971, 90, 56–64. [Google Scholar] [CrossRef]
- Onuki, Y.; Ina, K.; Hirai, T.; Komatsubara, T. Magnetic properties of intercalation compound: Mn1/4MX2. J. Phys. Soc. Jpn. 1986, 55, 347–356. [Google Scholar] [CrossRef]
- Miwa, K.; Ikuta, H.; Hinode, H.; Uchida, T.; Wakihara, M. Synthesis and physical properties of MnxNbS2. J. Solid State Chem. 1996, 125, 178–181. [Google Scholar] [CrossRef]
- Ichikawa, T.; Cho, K. Structural Study of Si (111)(2√3 × 2√3) R30°–Sn Surfaces. Jpn. J. Appl. Phys. 2003, 42, 5239. [Google Scholar] [CrossRef]
- Borich, M.A.; Smagin, V.V.; Tankeev, A.P. Thermodynamics of a helicoidal magnetic structure in a spin-wave approximation. Phys. Met. Metallogr. 2014, 115, 737–743. [Google Scholar] [CrossRef]
- Kuznietz, M.; Takeya, H. Two-step magnetic ordering in as-cast and annealed DyNi2B2C samples. J. Phys. Condens. Matter. 1999, 11, 6561. [Google Scholar] [CrossRef]


| x | a, b (Å) | c (Å) | Space Group | Type of the Superstructure | TC, K |
|---|---|---|---|---|---|
| 0.25 | 6.64–6.92 | 12.46–12.90 | P63/m | 2a0·2a0 | 100 |
| 0.30 | 11.53 | 12.50 | P-3m1 | 2a0·2a0 | 100; 40 |
| 0.33 | 5.78–5.81 | 12.55–12.64 | P6322 | a0·a0 | 40 |
Disclaimer/Publisher’s Note: The statements, opinions and data contained in all publications are solely those of the individual author(s) and contributor(s) and not of MDPI and/or the editor(s). MDPI and/or the editor(s) disclaim responsibility for any injury to people or property resulting from any ideas, methods, instructions or products referred to in the content. |
© 2023 by the authors. Licensee MDPI, Basel, Switzerland. This article is an open access article distributed under the terms and conditions of the Creative Commons Attribution (CC BY) license (https://creativecommons.org/licenses/by/4.0/).
Share and Cite
Mushenok, F.; Shevchun, A.; Shovkun, D.; Prokudina, M. Two-Step Magnetic Ordering in Intercalated Niobium Dichalcogenide MnXNbS2. Magnetism 2023, 3, 259-266. https://doi.org/10.3390/magnetism3030020
Mushenok F, Shevchun A, Shovkun D, Prokudina M. Two-Step Magnetic Ordering in Intercalated Niobium Dichalcogenide MnXNbS2. Magnetism. 2023; 3(3):259-266. https://doi.org/10.3390/magnetism3030020
Chicago/Turabian StyleMushenok, Fedor, Artem Shevchun, Dmitriy Shovkun, and Maria Prokudina. 2023. "Two-Step Magnetic Ordering in Intercalated Niobium Dichalcogenide MnXNbS2" Magnetism 3, no. 3: 259-266. https://doi.org/10.3390/magnetism3030020
APA StyleMushenok, F., Shevchun, A., Shovkun, D., & Prokudina, M. (2023). Two-Step Magnetic Ordering in Intercalated Niobium Dichalcogenide MnXNbS2. Magnetism, 3(3), 259-266. https://doi.org/10.3390/magnetism3030020
