Abstract
The hybrid normal (HN) distribution is a new generalization of the normal distribution that we introduce and study in this article. Its mathematical foundation is based on the logarithmically transformed version of the famous hybrid log-normal (HLN) distribution, which is an unexplored direction in the literature. We emphasize the applicability of the HN distribution with the aim of fitting versatile data, such as, in this paper, fiber data on the strength of glass. In particular, the unknown parameters are estimated using both Bayesian and maximum likelihood estimation approaches, with Bayesian estimation carried out using the MCMC approach. A thorough simulation study is performed to determine the flexibility of the estimates’ performance. The glass fiber data are then analyzed, with an assessment of several existing distributions from the literature used to demonstrate how the HN distribution is relevant in this regard.
MSC:
60E05; 62E10; 62F10
1. Introduction
The majority of real-life datasets resulting from complex processes are infrequently characterized and predicted adequately by standard fundamental distributions in practice. The choice of a flexible distribution for data analysis is crucial, as the perfection of results from statistical analysis greatly relies on the model that is adopted. In order to obtain statistical outputs of higher quality and greater accuracy, it is essential to identify more connected distributions. Several continuous distributions are readily accessible in the statistical literature for modelling real data. Among them, the skewed distributions have more strategic significance, and are frequently used in many areas of applied research. For this reason, numerous families of skewed distributions have been proposed. Azzalini (1985) (see [1]) introduced a method for introducing skewness to the normal (N) distribution. It should be noted that while the majority of skewed distributions have the positive real values set as the support, the selected based distribution has the full real line as the support. Subsequently, many authors have continued to develop this concept; for example, see [2,3].
In the same respect, we cite Coles (2001) [4], Castillo et al., (2005) [5], and Ferrari and Pinheiro (2012) [6], all of whom emphasize the Gumbel distribution (defined on the real line) for analyzing real datasets. As a fair competitor, [7] developed the log-Dagum (LD) distribution, which is derived by transforming the Dagum distribution logarithmically. The LD distribution has the feature of having leptokurtic shapes.
In order to create vast classes of standard distributions and pertinent statistical procedures that can be used as models for a variety of real-world problems, much effort has been put forth throughout the years. Real-world phenomena need to be introduced to new statistical distributions that are defined on the entire real line and have bimodal behaviour for the probability density function (pdf). As a consequence, in this paper, we offer a novel distribution called the hybrid N (HN) distribution, which can be described as a generalized version of the well-known N distribution. It can additionally be represented as the logarithmically transformed version of the hybrid log-N (HLN) distribution, as defined by the cumulative distribution function (cdf) provided in Equation (1). It has the interesting feature of having a bimodal pdf. The leading motivations behind the introduction of this new distribution are:
- (i)
- to develop a new generalization for the well-known N distribution, which continues to pique the interest of statisticians across the board;
- (ii)
- as mentioned, to investigate the characteristics of the HLN distribution’s logarithmically transformed version, which has surprisingly not received much attention in the statistical literature.
The practical viewpoint is considered as well; we aim to demonstrate how the HN distribution can be concretely used as a model for dealing with the analysis of important data, and show that it outperforms comparable well-known models. We examine an experimental dataset of glass fiber strength from the National Physical Laboratory in England as an application in this research. Because the HN distribution is an extended version of the well-known N distribution, which has numerous applications in physics, including various dynamical systems (see [8,9]), it is quite conceivable to employ the HN distribution for further physical applications.
The remainder of the present article is divided into several sections, and is structured as follows. We introduce the HN distribution and discuss its special cases and moments in Section 2. The various functions and moments related to reliability measures are discussed in Section 3. In Section 4, the unknown parameters of the new model are estimated using efficient procedures, namely, the maximum likelihood (ML) and Bayesian estimation procedures. A simulation study is conducted in Section 5 to analyze the performance and flexibility of the ML estimates (MLEs). Additionally, Section 6 presents a parametric bootstrap simulation technique utilizing these estimates. Section 7 illustrates the application of the HN model based on a real-life dataset. The final concluding remarks are presented in Section 8.
2. The Hybrid Normal Distribution
For fitting data on occupational radiation exposure, Kumazawa and Numakunai [10] introduced a new distribution in 1981 called the HLN distribution. An absolutely continuous random variable (acrv) Y is said to follow an HLN distribution if its cdf is indicated as
and the pdf is provided by
where , , , , and . For , the pdf in Equation (2) reduces to the well-known two-parameter log-N distribution denoted as LN. Although the HLN distribution might seem simple, there do not seem to be many references to it in the statistical literature. A scalar function was defined in [11], showing a hybrid pdf made up of p N and q log-N variants. The hybrid multivariate stochastic differential equation for stand basal area and volume models in a forest stand is presented in [12].
Here, the proposed three-parameter distribution is referred to as the hybrid N distribution, denoted as HN or simply HN.
Definition 1.
If an acrv Y follows the HLN distribution as provided by its cdf and pdf in Equations (1) and (2), respectively, then the acrv is said to follow the HN distribution. The cdf of X is specified by
which can be written as
where is the cdf of the standard N (SN) distribution, conventionally denoted as N. Then, the pdf of the acrv X is provided by
where , , , and .
Two extremely alluring characteristics instantly follow from Definition 1, which are as follows:
- Property A: When , the pdf in Equation (4) reduces to the pdf of the N distribution with parameters and , i.e., N, where is not the typical location parameter of the N distribution.
- Property B: If the acrv X follows the HN distribution, then has the HLN distribution.
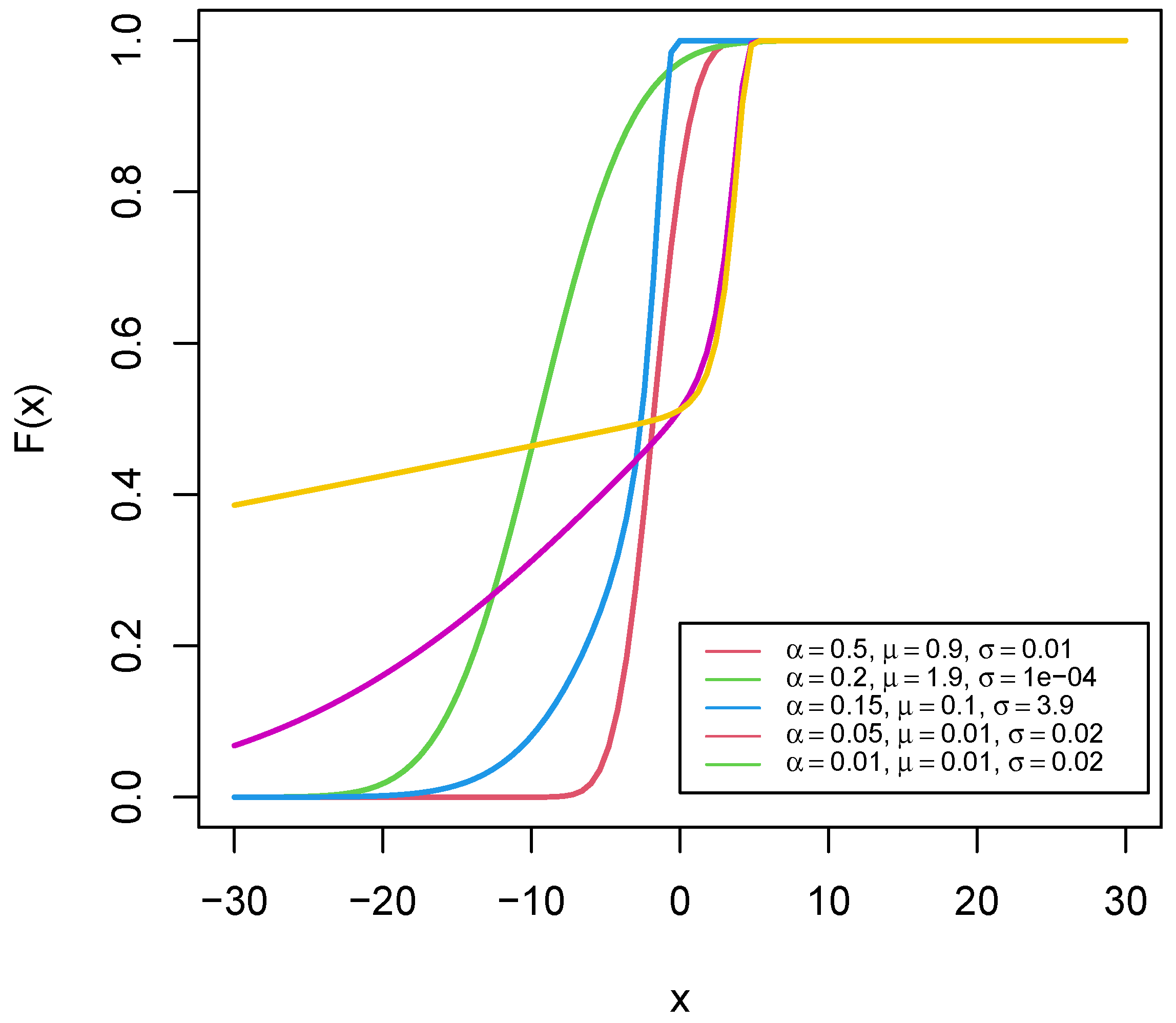
Plots of the corresponding cdf and pdf of the HN distribution are shown in Figure 1 and Figure 2. It is possible to see from Figure 2 that the pdf is bimodal in nature, with a possible spike, which is an intriguing feature of this distribution.
Figure 1.
Cdf plots of the HN distribution.
Figure 2.
Pdf plots of the HN distribution: (a) bimodal with a dominant bell shape, (b) bimodal with a bell-shape and a spike shape, and (c) original skewness shapes.
Now, the moment generating function of the HN distribution is indicated as
where
which is well-defined for all .
Theorem 1.
If X has the HN distribution, then follows the half-HN distribution (HHN) with parameters and σ, with the cdf and pdf provided by
and
respectively, where and is the pdf of the SN distribution.
Proof.
For any , the cdf of Y is specified by
The pdf of the HHN distribution is provided by
which ends the proof. □
It is significant to mention that the HHN distribution is not addressed in the current statistical literature. In a subsequent publication, we intend to investigate the various mathematical properties of this distribution.
3. Reliability Measures
Identification of a system’s important components and estimation of the effects of component failures are the fundamental goals of systems reliability analysis. Therefore, it is essential to derive the functions of the HN distribution’s reliability measures.
Assume that X is an acrv with pdf and cdf . Then, the general formulas for the survival, hazard rate, cumulative hazard rate and reversed hazard rate functions are , , , and , respectively.
3.1. Survival, Hazard Rate, Cumulative Hazard Rate, and Reversed Hazard Rate Functions
The survival function of the HN distribution is indicated as
where (as hereinafter).
Thus, the hazard rate function of the HN distribution is provided as
The plots in Figure 3 portray the increasing nature of the hazard rate function.
Figure 3.
Hazard rate function plots of the HN distribution: (a) moving and (b) combined action of and .
The cumulative hazard rate function of the HN distribution is specified by
while the reversed hazard rate function of the HN distribution is expressed as
3.2. Conditional Moments
For studying the reliability of a system, it is of great interest to know the conditional moments that are important tools for prediction purposes. If X is an acrv that follows the HN distribution, then its nth conditional moment is provided by
where
A direct application is discussed below. In reliability engineering, biomedical research, and survival analysis, the vitality function is crucial. A component must have low relative vitality to age quickly, whereas high vitality implies comparatively gradual aging over the course of the given period. The vitality function of an acrv X that follows the HN distribution is expressed by the conditional moments provided in Equation (14) for , that is,
where is presented in Equation (15). For more details on the vitality function, see [13].
3.3. Geometric Vitality Function
The geometric mean of the residual lifetime serves as the foundation for the geometric vitality function. If X is an acrv which represents the lifetime of a component, then the geometric mean of the component that lives up to time t is represented by , provided that exists. Hence, the geometric vitality function for a non-negative acrv X with pdf is defined as
where represents the survival function. For more information on the geometric vitality function, see [14]. Now, the geometric vitality function of an acrv X that follows the HN distribution is provided by
where
3.4. Moments of Residual Life
The rth order moment of the residual life of an acrv X that follows the HN distribution is obtained as follows:
where is provided in Equation (15).
As a special case, the mean residual life (MRL) function is expressed as
Similarly, the second moment of the residual life time is provided by
Using and , it is possible to calculate the variance of the residual life function.
4. Estimation of the Parameters
In this section, we go over how to estimate the HN distribution’s parameters using the ML and Bayesian approaches, the two most widely used techniques.
4.1. Maximum Likelihood Estimation
Let represent the observed values of a random sample formed of acrvs, say, , taken from the HN distribution. The log-likelihood function for the parameter vector is provided by
By maximising Equation (23) with regard to the parameters, the MLEs can be obtained more quickly in practice. Hereafter, we denote by , , and the MLEs of , , and , respectively. From a computational viewpoint, the score vector function is
where
and
By computationally solving the nonlinear system of equations , it is possible to derive the MLEs. In this study, we obtain the MLEs numerically using the fitdistrplus package in R software (see [15]). The following link provides more information about this package: (https://CRAN.R-project.org/package=fitdistrplus).
We now depict the asymptotic confidence intervals (CIs) for the parameters. On taking the second partial derivatives of Equations (25)–(27) at the MLEs, the observed Hessian matrix of the HN distribution can be obtained, and is specified by
Based on the above, the observed Fisher’s information matrix is , from which we can derive the estimated dispersion matrix as
and for . The asymptotic N distribution of the random versions of the MLEs is guaranteed by the current general theory, with technical regular assumptions. More precisely, the random version of follows the multivariate N distribution . Thus, we obtain asymptotic CIs of the parameters using the following formulas:
where is the upper th percentile of the SN distribution.
4.2. MCMC Estimation Using Bayesian Approach
In this subsection, we implement the MCMC estimation using the Bayesian estimation procedure on the HN distribution parameters. Each parameter demands a prior pdf to accomplish this. For this, we use two different variants of the almost improper uniform priors, as when using the almost improper uniform priors the comparison with MLEs is not confounded by the choice of proper prior distributions. Thus, we choose Uniform (−1000, 1000) () for the parameter , and for the other two parameters. With this configuration, the joint posterior pdf is described by
where is the likelihood function of the HN distribution, where , and are the almost improper prior pdfs of the corresponding parameters. From Equation (28), there is obviously no analytical way to determine the MCMC Bayesian estimates. To perform numerical computations for MCMC Bayesian estimation, the LaplacesDemon package of the R software, which provides a comprehensive environment for Bayesian inference, is used. For more information and examples about this package, the following link is recommended: https://cran.r-project.org/package=LaplacesDemon (accessed on 14 September 2022).
5. Simulation Study
In this section, we execute simulation tests to evaluate the long-term performance of the MLEs of the HN distribution parameters. Several finite sample sizes are considered. More precisely, we generate samples of sizes and 500 from the HN distribution for two sets of parameter values.
5.1. Simulation Study for the MLEs
Here, the iteration is conducted 500 times, and the mean values of the biases, root mean squared errors (RMSEs), (asymptotic) coverage probabilities (CPs), and ALs of the (asymptotic) CIs corresponding to each of the parameter estimates for every replication are calculated with respect to the corresponding sample sizes. The results corresponding to each of the parameter sets are reported in Table 1 and Table 2.
Table 1.
The simulation results of the MLEs for the set (, , ).
Table 2.
The simulation results of the MLEs for the set (, , ).
It can be seen that the RMSEs and ALs corresponding to each estimate decrease as the sample size increases. Additionally, for each parameter the CPs are relatively close to expected value of . This attests to the MLEs of the HN distribution perform consistently.
5.2. Simulation Study for MCMC Bayesian Estimates
Here, we consider the prior distributions for the HN distribution parameters provided in SubSection 4.2. Iteration is conducted 10,001 times. For each parameter set of the respective sample sizes, the posterior summary results, such as mean, standard deviation (SD), Monte Carlo error (MCE), ALs of the (asymptotic) CIs, and median, are presented in Table 3 and Table 4.
Table 3.
Posterior summary results for (, , ).
Table 4.
Posterior summary results for (, , ).
It can be seen that the SD, MCE, and AL decline as the sample size rises, which indicates that the MCMC Bayesian estimates of the HN distribution parameters perform consistently.
6. Bootstrap CIs
In this section, we approximate the distribution of the MLEs of the HN model parameters using the parametric bootstrap method. Then, we can estimate CIs for each parameter for the fitted HN distribution using the bootstrap distribution. Using the dataset comprised of , let the MLE of be . In our setting, the bootstrap stands for a method for estimating the distribution of by drawing a random sample for based on B random samples that are drawn with replacement from . The sample of bootstrapping, i.e., , can be used to construct bootstrap CIs for each HN distribution parameter.
Thus, using the following formulas, we calculate the bootstrap CIs for the parameters as
where represents the th percentile of the bootstrap sample; for ,
7. Applications and Empirical Study
The purpose of this section is to illustrate the empirical significance of the HN distribution. We consider a real dataset from the area of subject physics. The data consist of a sample from an experimental dataset of the strength of glass fibers with a length 15 cm from the National Physical Laboratory in England. This dataset, usually called the glass fiber (GF) dataset, can be found in [16]. The summary statistics of the data are provided in Table 5. We use the R software for numerical evaluations.
Table 5.
Descriptive statistics of the strength of the GF dataset.
We study the empirical hazard rate function of the dataset using the concept of total time on test (TTT) plot. The TTT plot is a graph that is primarily used to distinguish between various ageing types indicated by hazard rate shapes. For more details, see [17]. Figure 4 indicates that the dataset has an increasing hazard rate shape for its empirical hazard rate function. Therefore, the HN distribution represents a credible choice for this dataset.
Figure 4.
The TTT plot of the strength of the GF dataset.
We demonstrate the potentiality of the HN distribution by comparing it with the Laplace, logistic, Gumbel, and N distributions, all of which are defined on the entire real line. Using the statistical tools of the negative log-likelihood (), Kolmogorov–Smirnov statistics (KS), Cramér–von Mises (), Anderson–Darling (), the values of the Akaike information criterion (AIC), and Bayesian information criterion (BIC), we compare the competing models with the suggested model. The corresponding MLEs and goodness-of-fit (GOF) statistics are presented in Table 6.
Table 6.
MLEs and GOF statistics results of the strength of the GF dataset.
From this table, it can be seen that the GOF statistics values of the HN distribution are lower than those of the examined distributions. In light of this, we can draw the conclusion that the suggested HN model provides a better fit than those from the compared distributions.
The plots of the empirical cdfs, empirical pdfs, and the theoretical probabilities against empirical ones (P–P plot) for the real dataset (for the HN model only for the P–P plot) are displayed in Figure 5.
Figure 5.
Empirical plots on the strength of the GF dataset: (a) empirical versus theoretical cdfs, (b) histogram and fitted pdfs, and (c) P–P plot.
This graphic displays attractive curves for the fitted and empirical functions. In light of this, we can draw the conclusion that the HN distribution is the most appropriate for this dataset among the alternative distributions.
Now, the empirical Hessian matrix is obtained as follows:
and the associated estimated dispersion matrix is
In order to complete the above analysis, Table 7 provides the (asymptotic) CIs for the HN distribution parameters.
Table 7.
The 95% (asymptotic) CIs of the HN distribution parameters based on the strength of the GF dataset.
On the basis of the GF dataset outlined above, we now concentrate on estimating the HN distribution parameters using the MCMC Bayesian technique. The investigation was carried out using the MH algorithm of the MCMC method with respect to 1000 iterations in the perspective of Bayesian estimation. All three MCMC Bayesian estimates of the HN distribution parameters are included in Table 8 for comparison with the MLEs. Numerical computations for MCMC Bayesian estimation were performed using R software.
Table 8.
ML and MCMC Bayesian estimates of the HN distribution parameters on the strength of the GF dataset.
We now focus on the bootstrap CIs for the HN distribution parameters using the computed MLEs. To this end, we generate 1001 samples of the same size as the GF dataset using the HN distribution, with the true values of parameters chosen as the corresponding MLEs. For each obtained sample, we calculate the MLEs , , and for . Thus, for the parameters , , and , Table 9 shows the median and bootstrap CIs.
Table 9.
The median and 95% bootstrap CIs for the HN distribution parameters on the strength of the GF dataset.
In order to identify any potential structural correlation between the parameters, it is noteworthy to examine the joint distribution of the bootstrapped values in the matrix of scatter plots. Figure 6 demonstrates the matrix scatterplots of the bootstrapped HN parameter values, which reflect the joint uncertainty distribution with respect to the fitted parameters.
Figure 6.
Matrix scatterplots of the bootstrapped HN parameter values due to strength of the GF dataset.
8. Concluding Remarks
In this study, we suggest a new distribution that generalizes the well-known normal distribution and is defined on the entire real line. We investigate the mathematical and statistical features of the new model, which we refer to as the hybrid normal (HN) distribution. With regard to the HN distribution, we present explicit expressions for several reliability metrics. The hazard rate function of the HN distribution possesses increasing shaped graphical representation. In terms of inference, the observed information matrix is presented together with the estimation of the model parameters using the maximum likelihood and Bayesian estimation methods, with Bayesian estimation performed using the MCMC approach. In addition, we use the parametric bootstrap method to obtain the model parameter confidence intervals. Goodness-of-fit tests are applied to a real dataset concerning the strength of glass fibers with a length of 15 cm from the National Physical Laboratory in England in order to demonstrate the new model’s real-world applicability. In comparison to the other analyzed models, the new model consistently offers a superior fit. We expect that the proposed model can be used more frequently to represent actual datasets in a variety of fields, including physics, engineering, economics, hydrology, survival analysis, and others.
Author Contributions
Conceptualization, D.S.S., S.L.N., C.C., M.R.I., S.P.S. and R.M.; methodology, D.S.S., S.L.N., C.C., M.R.I., S.P.S. and R.M.; validation, D.S.S., S.L.N., C.C., M.R.I., S.P.S. and R.M.; formal analysis, D.S.S., S.L.N., C.C., M.R.I., S.P.S. and R.M.; investigation, D.S.S., S.L.N., C.C., M.R.I., S.P.S. and R.M.; writing—original draft preparation, D.S.S., S.L.N., C.C., M.R.I., S.P.S. and R.M.; writing—review and editing, D.S.S., S.L.N., C.C., M.R.I., S.P.S. and R.M. All authors have read and agreed to the published version of the manuscript.
Funding
This research received no external funding.
Institutional Review Board Statement
Not applicable.
Informed Consent Statement
Not applicable.
Data Availability Statement
The data are contained within the article.
Conflicts of Interest
The authors declare no conflict of interest.
References
- Azzalini, A. A class of distributions which includes the normal ones. Scand. J. Stat. 1985, 12, 171–178. [Google Scholar]
- Wahed, A.; Ali, M. The skew-logistic distribution. J. Statist. Res. 2001, 35, 71–80. [Google Scholar]
- Genton, M. Skew-Elliptical Distributions and Their Applications: A Journey Beyond Normality; CRC Press: Boca Raton, FL, USA, 2004; pp. 1–396. [Google Scholar]
- Coles, S. An Introduction to Statistical Modeling of Extreme Values; Springer: Berlin/Heidelberg, Germany, 2001; Volume 208. [Google Scholar] [CrossRef]
- Castillo, E.; Hadi, A.; Balakrishnan, N.; Sarabia, J. Extreme Value and Related Models with Applications in Engineering and Science; Wiley: Hoboken, NJ, USA, 2005. [Google Scholar]
- Ferrari, S.; Pinheiro, E.C. Small-sample likelihood inference in extreme-value regression models. J. Stat. Comput. Simul. 2012, 84, 582–595. [Google Scholar] [CrossRef]
- Domma, F.; Perri, P.F. Some developments on the log-Dagum distribution. Stat. Methods Appl. 2009, 18, 205–220. [Google Scholar] [CrossRef]
- Landauer, R. The physical nature of information. Phys. Lett. A 1996, 217, 188–193. [Google Scholar] [CrossRef]
- Wang, X.; Wang, B.; Zhang, Y.; Suo, Y.; Jia, P.; Huang, F. Dispersion of mechanical properties of high-strength glass fibre composites in hygrothermal environment. Polymers 2022, 14, 3514. [Google Scholar] [CrossRef]
- Kumazawa, S.; Numakunai, T. A New Theoretical analysis of occupational dose distributions Indicating the Effect of Dose Limits. Health Phys. 1981, 41, 465–475. [Google Scholar] [CrossRef]
- Fletcher, S.J.; Zupanski, M. A hybrid multivariate normal and lognormal distribution for data assimilation. Atmos. Sci. Lett. 2006, 7, 43–46. [Google Scholar] [CrossRef]
- Rupšys, P.; Narmontas, M.; Petrauskas, E. A multivariate hybrid stochastic differential equation model for whole-stand dynamics. Mathematics 2020, 8, 2230. [Google Scholar] [CrossRef]
- Kupka, J.; Loo, S. The hazard and vitality measures of ageing. J. Appl. Probab. 1989, 26, 532–542. [Google Scholar] [CrossRef]
- Nair, K.; Rajesh, G. Geometric vitality function and its applications to reliability. IAPQR Trans. 2000, 25, 1–8. [Google Scholar]
- R Core Team. R: A Language and Environment for Statistical Computing; R Foundation for Statistical Computing: Vienna, Austria, 2022; Available online: https://www.R-project.org/ (accessed on 14 September 2022).
- Smith, R.L.; Naylor, J.C. A comparison of maximum likelihood and Bayesian estimators for the three-parameter Weibull distribution. J. R. Stat. Soc. Ser. (Appl. Stat.) 1987, 36, 358–369. [Google Scholar] [CrossRef]
- Aarset, M.V. How to identify a bathtub hazard rate. IEEE Trans. Reliab. 1987, R-36, 106–108. [Google Scholar] [CrossRef]
Publisher’s Note: MDPI stays neutral with regard to jurisdictional claims in published maps and institutional affiliations. |
© 2022 by the authors. Licensee MDPI, Basel, Switzerland. This article is an open access article distributed under the terms and conditions of the Creative Commons Attribution (CC BY) license (https://creativecommons.org/licenses/by/4.0/).





