Modelling and Prediction of the Spread of COVID-19 in Cameroon and Assessing the Governmental Measures (March–September 2020)
Abstract
:1. Introduction
1.1. Sources Data
1.2. Foreword
2. Epidemiological Situation in May, Two Months after the Beginning of Outbreak
2.1. Evolution of COVID-19 Total Cases in Cameroon from February to May 2020
2.2. Geographical Distribution of COVID-19
3. Model Formulation
4. Disease-Free Equilibrium and Basic Reproduction Number
5. Model Calibration
5.1. Calibration
5.2. Total Cases Predicted Two Weeks Earlier
6. The Three Key Periods of Outbreak in Cameroon (Phase 1, Phase 2, and Phase 3)
- Phase 1: From 18 March 2020 to the first week of May.Phase 1 is defined here as the period when the 13 barrier measures (closure of borders, schools and universities, churches, bars, etc.) see Appendix A, decrees by the Cameroonian government were in full effect. Phase 1 took place between 18 March and early May.
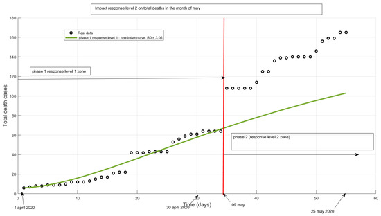
- Phase 2: First week of May to first week of June 2020. Phase 2 is the period when the original measures were being eased by the gradual reopening of borders, drinking establishments, churches, mosques, etc. On 30 April 2020, the government of Cameroon established 19 other measures to relax the first 13 measures and support the national economy; measures were applied from 1 May 2020. The influence zone of its new measures began after the first week of May 2020. Phase 2 runs from the second week of May to early June.
- Phase 3: Third week of June to September. In Cameroon, on 1 June 2020 rang with the reopening of schools and universities that had closed in March.
7. Evaluation of Different Response Strategies (Level) on the Spread of Infection
- Application of the 13 barrier measures = response level 1;
- Relaxation of the 13 measures = response level 2;
- Reopening of schools and universities = response level 3.
7.1. Potential Impact of Original Measures and Effective Impact of Relaxing Measures in the Behaviour of Outbreak during the Month of May
Impact on Total Cases
7.2. Potential Impact of Relaxing Measures and Effective Impact of Reopening Schools and Universities in the Behaviour of Outbreak during the Month of June
7.2.1. Potential Impact of Relaxing Measures
7.2.2. Effective Impact of the Reopening of Schools, Universities and Mass Screening on the Spread of Infection in the Month of June
7.2.3. The End Prediction of the First Epidemic Season
7.3. Impact of the Traditional Pharmacopoeia on the Evolution of Active Cases
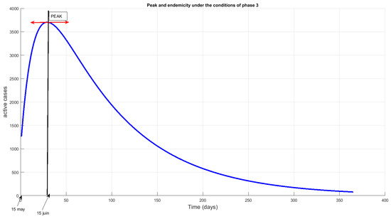
8. General Spread of Infection and Prediction of Peaks
Predicted Peak in June Confirmed
9. Evolution of from March to September
- Period 1: 15 March to 30 April 2020 (15 March to 30 March; 1 April to 30 April).
- Period 2: 1 May to 31 May 2020 (1 May to 15 May; 16 May to 30 May).
- Period 3: 1 June to 30 June 2020.
- Period 4: 1 July to 30 September (July, August, September).
10. Discussion and Conclusions
10.1. Discussion
10.1.1. Impact of Management and Application of Barrier Measures on the Spread of Infection
10.1.2. Projections of COVID-19 Outbreak under the Conditions of Phase 2 and Recommendations
10.1.3. Projections of COVID-19 Outbreak under the Conditions of Phase 3
10.2. Conclusions
Author Contributions
Funding
Institutional Review Board Statement
Informed Consent Statement
Data Availability Statement
Acknowledgments
Conflicts of Interest
Appendix A
Appendix A.1. 13 Barrier Measures
- 1
- Cameroon’s land, air, and sea borders will be closed; consequently, all passenger flights from abroad will be suspended, with the exception of cargo flights and vessels transporting consumer products and essential goods and materials, whose stopover times will be limited and supervised. Cameroonians who wish to come back home should contact our diplomatic representatives.
- 2
- The issuance of entry visas to Cameroon at the various airports shall be suspended.
- 3
- All public and private training establishments of the various levels of education, from nursery school to higher education, including vocational training centres and professional schools, will be closed.
- 4
- Gatherings of more than fifty (50) persons are prohibited throughout the national territory.
- 5
- School and university competitions, such as the FENASSCO and University games, are postponed.
- 6
- Under the supervision of administrative authorities, bars, restaurants, and entertainment spots will be systematically closed from 6 p.m.
- 7
- A system for regulating consumer flows will be set up in markets and shopping centres.
- 8
- Urban and interurban travel should only be undertaken in cases of extreme necessity.
- 9
- Drivers of buses, taxis, and motorbikes are urged to avoid overloading—law enforcement officers will ensure they comply.
- 10
- Private health facilities, hotels, and other lodging facilities; vehicles; and specific equipment necessary for the implementation of the COVID-19 pandemic response plan in Cameroon may be requisitioned as required by competent authorities.
- 11
- Public administrations shall give preference to electronic communications and digital tools for meetings likely to bring together more than ten (10) people.
- 12
- Missions abroad of members of Government and public and para-public sector employees are hereby suspended.
- 13
- The public is urged to strictly observe the hygiene measures recommended by the World Health Organization, including regular hand washing with soap, avoiding close contact such as shaking hands or hugging, and covering the mouth when sneezing.
Appendix A.2. Synoptic Table of Daily Cumulative Confirmed Cases from March to September 2020

Appendix A.3. Synoptic Table of Daily Cumulative Death Cases from March to September 2020

References
- Diekmann, O.; Heesterbeek, J.A.P. Mathematical Epidemiology of Infectious Diseases: Model Building, Analysis and Interpretation; John Wiley & Sons: Hoboken, NJ, USA, 2000; Volume 5. [Google Scholar]
- Kirschner, D.; Lenhart, S.; Serbin, S. Optimal control of the chemotherapy of hiv. J. Math. Biol. 1997, 35, 775–792. [Google Scholar] [CrossRef] [PubMed] [Green Version]
- World Health Organization. Coronavirus Disease 2019 (COVID-19): Situation Report; World Health Organization: Geneva, Switzerland, 2020; Volume 72. [Google Scholar]
- Remuzzi, A.; Remuzzi, G. COVID-19 and italy: What next? Lancet 2020, 395, 1225–1228. [Google Scholar] [CrossRef]
- Shereen, M.A.; Khan, S.; Kazmi, A.; Bashir, N.; Siddique, R. COVID-19 infection: Origin, transmission, and characteristics of human coronaviruses. J. Adv. Res. 2020, 24, 91. [Google Scholar] [CrossRef] [PubMed]
- Liu, Y.; Gayle, A.A.; Wilder-Smith, A.; Rocklöv, J. The reproductive number of COVID-19 is higher compared to sars coronavirus. J. Travel Med. 2020, 20. [Google Scholar] [CrossRef] [PubMed] [Green Version]
- Zhang, S.; Diao, M.; Yu, W.; Pei, L.; Lin, Z.; Chen, D. Estimation of the reproductive number of novel coronavirus (COVID-19) and the probable outbreak size on the diamond princess cruise ship: A data-driven analysis. Int. J. Infect. Dis. 2020, 93, 201–204. [Google Scholar] [CrossRef] [PubMed]
- Biswas, K.; Khaleque, A.; Sen, P. COVID-19 spread: Reproduction of data and prediction using a sir model on euclidean network. arXiv 2020, arXiv:2003.07063. [Google Scholar]
- Dashraath, P.; Jeslyn, W.J.L.; Karen, L.M.X.; Min, L.L.; Sarah, L.; Biswas, A.; Choolani, M.A.; Mattar, C.; Lin, S.L. Coronavirus disease 2019 (COVID-19) pandemic and pregnancy. Am. J. Obstet. Gynecol. 2020, 222, 521–531. [Google Scholar] [CrossRef] [PubMed]
- Solym MANOU-ABI and Julien BALICCHI. Analysis of the COVID-19 Epidemic in French Overseas Department Mayotte Based on a Modified Deterministic and Stochastic Seir Model. medRxiv. 2020. Available online: https://www.medrxiv.org/content/10.1101/2020.04.15.20062752v2 (accessed on 1 June 2021).
- Weber, T.P.; Stilianakis, N.I. Inactivation of influenza a viruses in the environment and modes of transmission: A critical review. J. Infect. 2008, 57, 361–373. [Google Scholar] [CrossRef] [PubMed]
- Yang, C.; Wang, J. A mathematical model for the novel coronavirus epidemic in wuhan, china. Math. Biosci. Eng. 2020, 17, 2708–2724. [Google Scholar] [CrossRef] [PubMed]
- Singhal, T. A review of coronavirus disease-2019 (COVID-19). Indian J. Pediatr. 2020, 4, 1–6. [Google Scholar] [CrossRef] [PubMed] [Green Version]
- Wang, J.; Tang, K.; Feng, K.; Lv, W. High Temperature and High Humidity Reduce the Transmission of COVID-19. Available at SSRN 3551767,. 2020. Available online: https://www.cebm.net/study/covid-19-high-temperature-and-high-humidity-reduce-the-transmission-of-covid-19/ (accessed on 1 June 2021).
- Luo, W.; Majumder, M.; Liu, D.; Poirier, C.; Mandl, K.; Lipsitch, M.; Santillana, M. The Role of Absolute Humidity on Transmission Rates of the COVID-19 Outbreak. 2020. Available online: https://www.medrxiv.org/content/10.1101/2020.02.12.20022467v1 (accessed on 1 June 2021).
- Baud, D.; Qi, X.; Nielsen-Saines, K.; Musso, D.; Pomar, L.; Favre, G. Real estimates of mortality following COVID-19 infection. Lancet Infect. Dis. 2020, 50, 448–456. [Google Scholar] [CrossRef] [Green Version]
- Den Driessche, P.V.; Watmough, J. Reproduction numbers and sub-threshold endemic equilibria for compartmental models of disease transmission. Math. Biosci. 2002, 180, 29–48. [Google Scholar] [CrossRef]
- Nkamba, L.N.; Manyombe, M.M.; Manga, T.T.; Mbang, J. Modeling Analysis of a Seiqr Epidemic Model to Assess the Impact of Undetected Cases, and Predict the Early Peack of the COVID-19 Outbreak in Cameroon. 2002. Available online: https://www.researchsquare.com/article/rs-64201/v1 (accessed on 1 June 2021).
- Coronavirus dans le Monde et par Pays. Available online: http://coronavirus.politologue.com/coronavirus-Cameroun.cm (accessed on 1 May 2020).
- Chang, S.L.; Harding, N.; Zachreson, C.; Cliff, O.M.; Prokopenko, M. Modelling transmission and control of the COVID-19 pandemic in australia. arXiv 2020, arXiv:2003.10218. [Google Scholar] [CrossRef] [PubMed]
- Hellewell, J.; Abbott, S.; Gimma, A.; Bosse, N.I.; Jarvis, C.I.; Russell, T.W.; Munday, J.D.; Kucharski, A.J.; Edmunds, W.J.; Sun, F.; et al. Feasibility of controlling COVID-19 outbreaks by isolation of cases and contacts. Lancet Glob. Health 2020, 8, e488–e496. [Google Scholar] [CrossRef] [Green Version]
- Kim, H. Outbreak of Novel Coronavirus (COVID-19): What Is the Role of Radiologists? Eur. Radiol. 2020, 18, 1–2. [Google Scholar] [CrossRef] [PubMed] [Green Version]
- Kermack, W.O.; McKendrick, A.G. A contribution to the mathematical theory of epidemics. Proc. R. Soc. Lond. Ser. A Contain. Pap. Math. Phys. Characte 1927, 115, 700–721. [Google Scholar]
- Nkamba, L.N.; Ntaganda, J.M.; Abboubakar, H.; Kamgang, J.C.; Castelli, L. Global stability of a sveir epidemic model: Application to poliomyelitis transmission dynamics. Open J. Model. Simul. 2017. [Google Scholar] [CrossRef] [Green Version]
- Pasco, R.; Wang, X.; Petty, M.; Du, Z.; Fox, S.J.; Pignone, M.; Johnston, C.; Meyers, L.A. COVID-19 Healthcare Demand Projections: Austin. PLoS ONE 2020, 15, e0242588. [Google Scholar] [CrossRef]
- Gohin, A.; Chantreuil, F. La programmation mathématique positive dans les modèles d’exploitation agricole: Principes et importance du calibrage. Cah. D’Economie et de Sociol. Rural. (CESR) 1999, 52, 59–78. [Google Scholar]
















| Regions | Cases/Cumul | Dead/Cumul | Recovered/Cumul | Type of Transmission |
|---|---|---|---|---|
| Adamoua | 7 | 0 | 2 | cluster |
| Centre | 1787 | 73 | 960 | community |
| East | 179 | 3 | 10 | community |
| Far North | 36 | 1 | 0 | cluster |
| Littoral | 1101 | 61 | 675 | community |
| North | 54 | 1 | 2 | community |
| Northwest | 44 | 4 | 10 | community |
| West | 177 | 11 | 94 | community |
| South | 68 | 0 | 9 | community |
| Southwest | 63 | 2 | 20 | community |
| Total | 3516 | 156 | 1782 |
| Variables | Description | ||
|---|---|---|---|
| S | Susceptible individuals | ||
| Susceptible individuals | |||
| respecting barrier measures | |||
| P | Carrier—infected person is | ||
| in period of incubation | |||
| Confirmed cases in the community | |||
| Confirmed cases hospitalised | |||
| COVID-19 death in the community | |||
| COVID-19 death after hospitalisation | |||
| Recovered individuals | |||
| from the community | |||
| Recovered individuals | |||
| after hospitalisation | |||
| Parameters | Description | Values (Range) | Source |
| Recruitment of susceptible individuals | 5000 (2500, 10,000) | Assumed | |
| Transmission rate of undetected | Estimated | ||
| , where is the | Estimated | ||
| effectiveness of containment | |||
| Incubation rate | [25] | ||
| p | Fraction of carriers who become | Estimated | |
| confirmed cases hospitalised | |||
| Community infectious case fatality rate | [19] | ||
| Inpatient infectious case fatality rate | [19] | ||
| Confirmed infectious case imported | 5 per day | Assumed | |
| Proportion of effective susceptible population | Assumed | ||
| Time to be recovered or to death per day | [25] | ||
| Proportion of patients who leave | [19] | ||
| the community for the hospital | |||
| Specific death rate in population J | 0.0098 | Cameroon | |
| Recovery rate in the community | [25] | ||
| infectious individuals | |||
| Recovery rate in the hospital | [25] |
| Months | New Confirmed Cases |
|---|---|
| March | 193 |
| April | 1639 |
| May | 4753 |
| June | 6007 |
| July | 4663 |
| August | 1857 |
| September | 1593 |
| Parameters | Description | Values (Range) | Source |
|---|---|---|---|
| Recruitment of susceptible individuals | Assumed | ||
| Transmission rate | Estimated | ||
| , where is the | Estimated | ||
| effectiveness of containment | |||
| Incubation rate | Estimated | ||
| p | Fraction of carrier who become | Estimated | |
| confirmed cases hospitalised | |||
| Community infectious case–fatality rate | [19] | ||
| Inpatient infectious case–fatality rate | [19] | ||
| Confirmed infectious case imported | 5 per day | Assumed | |
| Proportion of effective susceptible population | Assumed | ||
| time to be recovered or to be died per day | Estimated | ||
| Specific death rate in population J | 0.0098 | Cameroon | |
| Recovery rate in the community | Estimated | ||
| infectious individuals | |||
| Recovery rate in the hospital | Estimated |
| Period | Value of R0 |
|---|---|
| 15 March to 30 March | 0.43 |
| April | 2.34 |
| 1 May to 15 May | 2.65 |
| June | 4.22 |
| July | 2.87 |
| August | 0.48 |
| September | 0.42 |
Publisher’s Note: MDPI stays neutral with regard to jurisdictional claims in published maps and institutional affiliations. |
© 2021 by the authors. Licensee MDPI, Basel, Switzerland. This article is an open access article distributed under the terms and conditions of the Creative Commons Attribution (CC BY) license (https://creativecommons.org/licenses/by/4.0/).
Share and Cite
Nkague Nkamba, L.; Manga, T.T. Modelling and Prediction of the Spread of COVID-19 in Cameroon and Assessing the Governmental Measures (March–September 2020). COVID 2021, 1, 622-644. https://doi.org/10.3390/covid1030052
Nkague Nkamba L, Manga TT. Modelling and Prediction of the Spread of COVID-19 in Cameroon and Assessing the Governmental Measures (March–September 2020). COVID. 2021; 1(3):622-644. https://doi.org/10.3390/covid1030052
Chicago/Turabian StyleNkague Nkamba, Leontine, and Thomas Timothee Manga. 2021. "Modelling and Prediction of the Spread of COVID-19 in Cameroon and Assessing the Governmental Measures (March–September 2020)" COVID 1, no. 3: 622-644. https://doi.org/10.3390/covid1030052
APA StyleNkague Nkamba, L., & Manga, T. T. (2021). Modelling and Prediction of the Spread of COVID-19 in Cameroon and Assessing the Governmental Measures (March–September 2020). COVID, 1(3), 622-644. https://doi.org/10.3390/covid1030052

