Eco-Efficient Intensification of Potato with Bacillus subtilis and Trichoderma viride Under NPK Fertilization
Abstract
1. Introduction
2. Materials and Methods
2.1. Study Site
2.2. Soil Physicochemical Properties
2.3. Plant Material
2.4. Experimental Design
2.5. Fertilization and Agronomic Management
2.6. Microbial Inoculation Procedure
2.7. Agronomic Measurements
2.8. Statistical Analysis
3. Results
3.1. Correlation Among Agronomic Variables
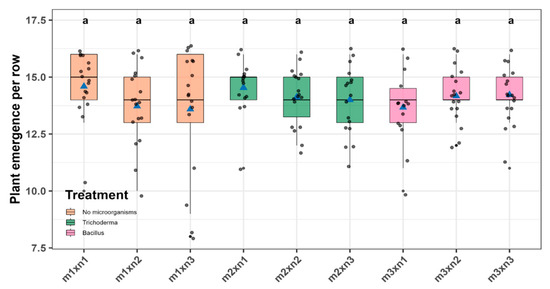
3.2. Plant Emergence per Block
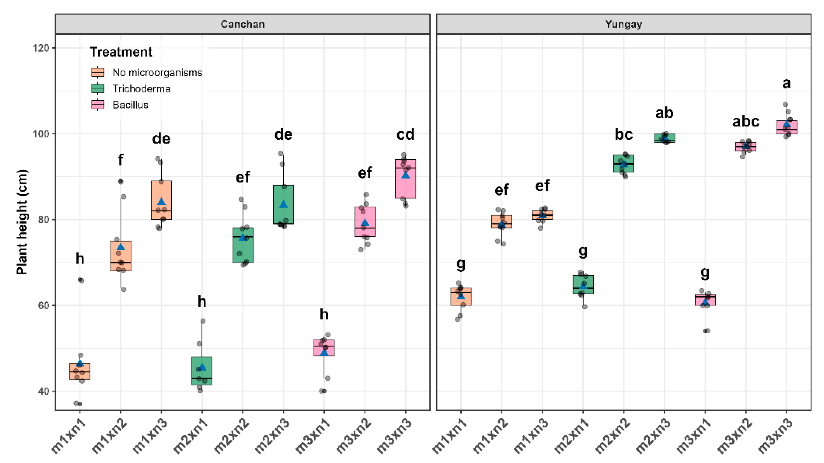
3.3. Plant Height (cm)
3.4. Root Dry Weight (RW)
3.5. Number of Stems per Plant (NSP)
3.6. Number of Tubers per Plant (NTP)
3.7. Vigor
3.8. Crop Yield
3.9. Principal Component Analysis (PCA)
4. Discussion
5. Conclusions
Supplementary Materials
Author Contributions
Funding
Institutional Review Board Statement
Data Availability Statement
Conflicts of Interest
Abbreviations
| INIA | Instituto Nacional de Innovación Agraria |
| RW | Root-biomass weight |
| PH | Plant height |
| NSP | Number of main stems per plant |
| NTP | Tubers per plant |
| YIELD | Crop yield |
| PCA | Principal component analysis |
References
- Camire, M.E.; Kubow, S.; Donnelly, D.J. Potatoes and human health. Crit. Rev. Food Sci. Nutr. 2009, 49, 823–840. [Google Scholar] [CrossRef]
- Campos, H.; Ortiz, O. (Eds.) The Potato Crop: Its Agricultural, Nutritional and Social Contribution to Humankind; Springer International Publishing: Cham, Switzerland, 2020. [Google Scholar] [CrossRef]
- Ahmadu, T.; Abdullahi, A.; Ahmad, K. The role of crop protection in sustainable potato (Solanum tuberosum L.) production to alleviate global starvation. In Solanum tuberosum—A Promising Crop for Starvation Problem; Yildiz, M., Ozgen, Y., Eds.; IntechOpen: London, UK, 2021; pp. 1–30. [Google Scholar] [CrossRef]
- Spooner, D.M.; McLean, K.; Ramsay, G.; Waugh, R.; Bryan, G.J. A single domestication for potato revealed by AFLP genotyping. Proc. Natl. Acad. Sci. USA 2005, 102, 14694–14699. [Google Scholar] [CrossRef]
- Adekanmbi, T.; Wang, X.; Basheer, S.; Liu, S.; Yang, A.; Cheng, H. Climate change impacts on global potato yields: A review. Environ. Res. Clim. 2024, 3, 012001. [Google Scholar] [CrossRef]
- Devaux, A.; Goffart, J.-P.; Kromann, P.; Andrade-Piedra, J.; Polar, V.; Hareau, G. The potato of the future: Opportunities and challenges in sustainable agri-food systems. Potato Res. 2021, 64, 681–720, Erratum in Potato Res. 2022, 65, 209–210. [Google Scholar] [CrossRef]
- INEI. Perú: Producción Nacional de los Principales Cultivos 2024; Instituto Nacional de Estadística e Informática: Lima, Perú, 2024. Available online: https://www.inei.gob.pe/ (accessed on 12 March 2025).
- Pérez, C.R.S. Boletín Estadístico Mensual: Valor Bruto de la Producción Agropecuaria; Ministerio de Desarrollo Agrario y Riego: Lima, Peru, 2024; pp. 1–7.
- Tripathi, S.; Srivastava, P.; Devi, R.S.; Bhadouria, R. Influence of synthetic fertilizers and pesticides on soil health. In Agrochemicals Detection, Treatment and Remediation; Gurusamy, A., Ed.; Elsevier: Amsterdam, The Netherlands, 2020; pp. 25–54. [Google Scholar] [CrossRef]
- Ashitha, R.; Mathew, J. Fate of conventional fertilizers in the environment. In Controlled Release Fertilizers for Sustainable Agriculture; Elsevier: Amsterdam, The Netherlands, 2021; pp. 25–39. [Google Scholar] [CrossRef]
- Maaz, T.M.; Dobermann, A.; Lyons, S.E.; Thomson, A.M. Research and innovation on novel fertilizers for crop nutrition. NPJ Sustain. Agric. 2025, 3, 25. [Google Scholar] [CrossRef]
- Singh, B. Are nitrogen fertilizers deleterious to soil health? Agronomy 2018, 8, 48. [Google Scholar] [CrossRef]
- Bisht, N.; Singh Chauhan, P. Excessive and disproportionate use of chemicals causes soil contamination and nutritional stress. In Soil Contamination—Threats and Sustainable Solutions; Larramendy, M.L., Soloneski, S., Eds.; IntechOpen: London, UK, 2021. [Google Scholar] [CrossRef]
- Yeni, O.; Teoman, Ö. The Agriculture–Environment Relationship and Environment-based Agricultural Support Instruments in Turkey. Eur. Rev. 2022, 30, 194–218. [Google Scholar] [CrossRef]
- Abebe, T.G.; Tamtam, M.R.; Abebe, A.A.; Abtemariam, K.A.; Shigut, T.G.; Dejen, Y.A.; Haile, E.G. Growing use and impacts of chemical fertilizers and assessing alternative organic fertilizer sources in Ethiopia. Appl. Environ. Soil Sci. 2022, 2022, 4738416. [Google Scholar] [CrossRef]
- Al Raish, S.M.; Sourani, O.M.; Abu-Elsaoud, A.M. Plant growth-promoting microorganisms as biocontrol agents: Mechanisms, challenges, and future prospects. Appl. Microbiol. 2025, 5, 44. [Google Scholar] [CrossRef]
- Neuhoff, D.; Neumann, G.; Weinmann, M. Testing plant growth promoting microorganisms in the field—A proposal for standards. Front. Plant Sci. 2024, 14, 1324665. [Google Scholar] [CrossRef] [PubMed]
- Chabbi, N.; Chafiki, S.; Telmoudi, M.; Labbassi, S.; Bouharroud, R.; Tahiri, A.; Mentag, R.; El Amri, M.; Bendiab, K.; Hsissou, D.; et al. Plant-growth-promoting rhizobacteria improve seeds germination and growth of Argania spinosa. Plants 2024, 13, 2025. [Google Scholar] [CrossRef]
- El-Daim, I.A.A.; Meijer, J. Bacillus velezensis 5113 induces metabolic reprogramming during abiotic-stress tolerance in wheat. Sci. Rep. 2019, 9, 52567. [Google Scholar] [CrossRef]
- Khan, A.R.; Ali, Q.; Ayaz, M.; Bilal, M.S.; Sheikh, T.M.M.; Gu, Q.; Wu, H.; Gao, X. Plant–Microbes Interaction: Exploring the Impact of Cold-Tolerant Bacillus Strains RJGP41 and GBAC46 Volatiles on Tomato Growth Promotion through Different Mechanisms. Biology 2023, 12, 940. [Google Scholar] [CrossRef] [PubMed]
- Akhtyamova, Z.; Arkhipova, T.; Martynenko, E.; Nuzhnaya, T.; Kuzmina, L.; Kudoyarova, G.; Veselov, D. Growth-promoting effect of Rhizobacterium (Bacillus subtilis IB22) in salt-stressed barley depends on abscisic acid accumulation in the roots. Int. J. Mol. Sci. 2021, 22, 10680. [Google Scholar] [CrossRef] [PubMed]
- Mehmood, S.; Muneer, M.A.; Tahir, M.; Javed, M.T.; Mahmood, T.; Afridi, M.S.; Pakar, N.P.; Abbasi, H.A.; Munis, M.F.H.; Chaudhary, H.J. Deciphering distinct biological control and growth promoting potential of multi-stress tolerant Bacillus subtilis PM32 for potato stem canker. Physiol. Mol. Biol. Plants 2021, 27, 2101–2114. [Google Scholar] [CrossRef]
- Saini, I.; Kaushik, P.; Al-Huqail, A.A.; Khan, F.; Siddiqui, M.H. Effect of the diverse combinations of useful microbes and chemical fertilizers on important traits of potato. Saudi J. Biol. Sci. 2021, 28, 2641–2648. [Google Scholar] [CrossRef] [PubMed]
- Amin, H.A.; El Kammar, H.F.; Saied, S.M.; Soliman, A.M. Effect of Bacillus subtilis on Potato virus Y resistance and growth promotion in potato. Eur. J. Plant Pathol. 2023, 167, 743–758. [Google Scholar] [CrossRef]
- Heflish, A.A.; Abdelkhalek, A.; Al-Askar, A.A.; Behiry, S.I. Protective and curative effects of Trichoderma asperelloides on tomato root-rot. Agronomy 2021, 11, 1162. [Google Scholar] [CrossRef]
- Rakibuzzaman, M.; Akand, M.H.; Siddika, M.; Uddin, A.F.M.J. Impact of Trichoderma application as bio-stimulator on disease suppression, growth and yield of potato. J. Biosci. Agric. Res. 2021, 27, 2252–2257. [Google Scholar] [CrossRef]
- Woo, S.L.; Hermosa, R.; Lorito, M.; Monte, E. Trichoderma: A multipurpose, plant-beneficial microorganism for eco-sustainable agriculture. Nat. Rev. Microbiol. 2023, 21, 312–326. [Google Scholar] [CrossRef]
- Iqbal, S.; Ashfaq, M.; Rao, M.J.; Khan, K.S.; Malik, A.H.; Mehmood, M.A.; Fawaz, M.S.; Abbas, A.; Shakeel, M.T.; Naqvi, S.A.H.; et al. Trichoderma viride: An eco-friendly biocontrol solution against soil-borne pathogens in vegetables. Horticulturae 2024, 10, 1277. [Google Scholar] [CrossRef]
- Aseel, D.G.; Soliman, S.A.; Al-Askar, A.A.; Elkelish, A.; Elbeaino, T.; Abdelkhalek, A. Trichoderma viride isolate Tvd44 enhances potato growth and stimulates defence against Potato virus Y. Horticulturae 2023, 9, 716. [Google Scholar] [CrossRef]
- Nadeem, A.; Hussain, S.; Saeedullah, S.; Akbar, A.; Ahmad, Z.; Tariq, M.; Karim, R.; Huzaifa, M. Soil moisture levels and Trichoderma viride for controlling black scurf of potato. Sarhad J. Agric. 2021, 38, 40–45. [Google Scholar] [CrossRef]
- Purwantisari, S.; Ferniah, R.S.; Nurchayati, Y.; Jannah, S.N. Effects of Plant Growth-Promoting Rhizobacteria and Trichoderma sp. On Potato Growth on Medium Plains. KnE Life Sci. 2022, 7, 513–520. [Google Scholar] [CrossRef]
- Kumar, S.; Chandra, R.; Behera, L.; Chetan, K.; Estibaliz, S. Elevation of systemic defence in potato against Alternaria solani by a consortium of Trichoderma spp. In Review, 2021; submitted. [Google Scholar] [CrossRef]
- Neina, D. Role of soil pH in plant nutrition and soil remediation. Appl. Environ. Soil Sci. 2019, 2019, 5794869. [Google Scholar] [CrossRef]
- Molua, C.O. Investigating the Influence of Soil Electrical Conductivity on Crop Yield for Precision Agriculture Advancements. Int. J. Agric. Anim. Prod. 2021, 12, 23–34. [Google Scholar] [CrossRef]
- King, A.E.; Ali, G.A.; Gillespie, A.W.; Wagner-Riddle, C. Soil organic matter as catalyst of crop resource capture. Front. Environ. Sci. 2020, 8, 50. [Google Scholar] [CrossRef]
- Ali, A.; Jabeen, N.; Farruhbek, R.; Chachar, Z.; Laghari, A.A.; Chachar, S.; Ahmed, N.; Ahmed, S.; Yang, Z. Enhancing Nitrogen Use Efficiency in Agriculture by Integrating Agronomic Practices and Genetic Advances. Front. Plant Sci. 2025, 16, 1543714. [Google Scholar] [CrossRef]
- Muindi, E.M. Understanding soil phosphorus. Int. J. Plant Soil Sci. 2019, 31, 1–18. [Google Scholar] [CrossRef]
- Xu, X.; Du, X.; Wang, F.; Sha, J.; Chen, Q.; Tian, G.; Zhu, Z.; Ge, S.; Jiang, Y. Effects of Potassium Levels on Plant Growth, Accumulation and Distribution of Carbon, and Nitrate Metabolism in Apple Dwarf Rootstock Seedlings. Front. Plant Sci. 2020, 11, 904. [Google Scholar] [CrossRef]
- Reyes, J.; Alania, D.; Ninalaya, E.N.; Gastelo, M.; Bastos, C. Nuevos cultivares de papa con resistencia a la rancha [Phytophthora infestans (Mont.) De Bary] y adaptación al cambio climático. Rev. Latinoam. Papa 2019, 22, 66–82. [Google Scholar] [CrossRef]
- Çakır, E.; Ertek, T.S.; Katırcıoğlu, Y.Z.; Maden, S. Occurrence of potato pink rot caused by Phytophthora erythroseptica in Turkey. Australas. Plant Dis. Notes 2020, 15, 14. [Google Scholar] [CrossRef]
- Karagöz, K.; Dadasoğlu, F.; Alaylar, B.; Kotan, R. Evaluation of molecular typing methods for some scab-causing Streptomyces strains from Turkey. World J. Microbiol. Biotechnol. 2024, 40, 122. [Google Scholar] [CrossRef] [PubMed]
- Gartner, U.; Armstrong, M.R.; Sharma, S.K.; Jones, J.T.; Blok, V.C.; Hein, I.; Bryan, G.J. Characterisation and mapping of a Globodera pallida resistance derived from the wild potato species Solanum spegazzinii. Theor. Appl. Genet. 2024, 137, 106. [Google Scholar] [CrossRef] [PubMed]
- Yobo, K.S.; Laing, M.D.; Hunter, C.H. Effects of single and combined inoculations of selected Trichoderma and Bacillus isolates on growth of dry bean and biological control of Rhizoctonia solani damping-off. Afr. J. Biotechnol. 2011, 10, 8746–8756. [Google Scholar] [CrossRef]
- Naqqash, T.; Malik, K.A.; Imran, A.; Hameed, S.; Shahid, M.; Hanif, M.K.; Majeed, A.; Iqbal, M.J.; Qaisrani, M.M.; van Elsas, J.D. Inoculation with Azospirillum spp. Acts as the Liming Source for Improving Growth and Nitrogen Use Efficiency of Potato. Front. Plant Sci. 2022, 13, 929114. [Google Scholar] [CrossRef]
- Overbeek, W.; Jeanne, T.; Hogue, R.; Smith, D.L. Effects of Microbial Consortia, Applied as Fertilizer Coating, on Soil and Rhizosphere Microbial Communities and Potato Yield. Front. Agron. 2021, 3, 714700. [Google Scholar] [CrossRef]
- Shrestha, B.; Stringam, B.L.; Darapuneni, M.K.; Lombard, K.A.; Sanogo, S.; Higgins, C.; Djaman, K. Effect of irrigation and nitrogen management on potato growth, yield, and water and nitrogen use efficiencies. Agronomy 2024, 14, 560. [Google Scholar] [CrossRef]
- Hao, J.; Wang, Z.; Zhao, Y.; Feng, S.; Cui, Z.; Zhang, Y.; Wang, D.; Zhou, H. Inhibition of potato Fusarium wilt by Bacillus subtilis ZWZ-19 and Trichoderma asperellum PT-29. Plants. 2024, 13, 925. [Google Scholar] [CrossRef]
- Attia, M.S.; El-Wakil, D.A.; Hashem, A.H.; Al-Askar, A.A.; AbdElgawad, H.; Alotaibi, R.S.; Abdel-Kader, S.A.; Abdelaziz, A.M. Investigating the activity of Bacillus subtilis and Trichoderma harzianum to mitigate Fusarium wilt disease of diverse cultivars of Vicia faba. Sci. Rep. 2025, 15, 16093. [Google Scholar] [CrossRef]
- Naawe, E.K.; Köken, I.; Aytekin, R.I.; Gleku, O.D.; Çalişkan, S.; Çalişkan, M.E. Effects of Elevated Temperature on Agronomic, Morphological, Physiological and Biochemical Characteristics of Potato Genotypes: 1. Agronomic and Morphological traits. Potato Res. 2024, 68, 2167–2204. [Google Scholar] [CrossRef]
- Rozentsvet, O.; Bogdanova, E.; Nesterov, V.; Bakunov, A.; Milekhin, A.; Rubtsov, S.; Rozentsvet, V. Phenotyping of Potato Plants Using Morphological and Physiological Tools. Plants 2024, 13, 647. [Google Scholar] [CrossRef] [PubMed]
- Chang, D.; Dong, H.; Bai, S.; Wu, Y. Mapping QTLs for Spring Green-Up, Plant Vigor, and Plant Biomass in Two Lowland Switchgrass Populations. Mol. Breed. 2022, 42, 27. [Google Scholar] [CrossRef]
- Wickham, H.; Francois, R.; Henry, L.; Müller, K. dplyr: A Grammar of Data Manipulation, R Package, version 1.1.4; R Foundation for Statistical Computing: Vienna, Austria, 2023.
- Mair, P.; Wilcox, R. WRS2: Robust Statistical Methods, R Package, version 1.14; R Foundation for Statistical Computing: Vienna, Austria, 2023.
- Zhicheng, D.; Feng, H. RHSD: Ryan-Hom Step-Down Banferroni or Sidak, R Package, version 0.2.0; R Foundation for Statistical Computing: Vienna, Austria, 2022.
- Lenth, R. emmeans: Estimated Marginal Means, Aka Least-Squares Means, R Package, version 1.8.6; R Foundation for Statistical Computing: Vienna, Austria, 2023.
- Hothorn, T.; Bretz, F.; Westfall, P. multcomp: Simultaneous Inference in General Parametric Models, R Package, version 1.4.25; R Foundation for Statistical Computing: Vienna, Austria, 2008.
- De Lima Gonilha, D.B.; Santos, C.H.B.; Frezarin, E.T.; Siqueira, J.S.; Rigobelo, E.C. Biological Strategies to Minimize Fertilizer Use in Maize: Efficacy of Trichoderma harzianum and Bacillus subtilis. Microbiol. Res. 2024, 15, 2261–2273. [Google Scholar] [CrossRef]
- Silva, P.H.V.; Souza, A.G.V.; De Araujo, L.D.; Frezarin, E.T.; De Souza, G.V.L.; Da Silveira, C.M.; Rigobelo, E.C. Trichoderma harzianum and Bacillus subtilis in Association with Rock Powder for the Initial Development of Maize Plants. Agronomy 2023, 13, 872. [Google Scholar] [CrossRef]
- Moroz, N.; Colvin, B.; Jayasinghe, S.; Gleason, C.; Tanaka, K. Phytocytokine StPep1-secreting bacteria suppress potato powdery scab disease. Phytopathology® 2024, 114, 2055–2063. [Google Scholar] [CrossRef]
- Kantar, F.; Uysal, A. Effect of Bacillus subtilis and Bacillus amyloliquefaciens culture on the growth and yield of off-season potato (Solanum tuberosum L.). Acta Agron. 2020, 69, 26–31. [Google Scholar] [CrossRef]
- Tirado-Malaver, R.H.; Tirado-Lara, R. Biofertilization with beneficial microorganisms and low rates of chemical fertilization in potatoes (Solanum tuberosum L.) management for sustainable agriculture. Braz. J. Biol. 2025, 85, e286059. [Google Scholar] [CrossRef]
- López-Montañez, R.; Calero-Rios, E.; Quispe, K.; Huasasquiche, L.; Lastra, S.; La Torre, B.; Solórzano, R. Synergy Between Microbial Inoculants and Mineral Fertilization to Enhance the Yield and Nutritional Quality of Maize on the Peruvian Coast. Appl. Microbiol. 2024, 4, 1757–1775. [Google Scholar] [CrossRef]
- Angelina, E.; Papatheodorou, E.M.; Demirtzoglou, T.; Monokrousos, N. Effects of Bacillus subtilis and Pseudomonas fluorescens Inoculation on Attributes of the Lettuce (Lactuca sativa L.) Soil Rhizosphere Microbial Community: The Role of the Management System. Agronomy 2020, 10, 1428. [Google Scholar] [CrossRef]
- Rashid, M.I.; Mujawar, L.H.; Shahzad, T.; Almeelbi, T.; Ismail, I.M.I.; Oves, M. Bacteria and fungi can contribute to nutrients bioavailability and aggregate formation in degraded soils. Microbiol. Res. 2016, 183, 26–41. [Google Scholar] [CrossRef]
- Aishwarya, K.R.; Singh, D.; Pradeep, S.D.; Mehta, T.; Singh, K.; Fandan, R.; Nitwal, R.; Singh, J.P. Correlation and Path Coefficient Analysis among Yield and Yield Associated Traits in Potato (Solanum tuberosum L.) Accessions in the ‘Terai’ Region of Uttarakhand. J. Sci. Res. Rep. 2024, 30, 975–983. [Google Scholar] [CrossRef]
- Tatsumi, K.; Usami, T. Plant-level prediction of potato yield using machine learning and unmanned aerial vehicle (UAV) multispectral imagery. Discov. Appl. Sci. 2024, 6, 649. [Google Scholar] [CrossRef]
- Knowles, N.R.; Knowles, L.O. Manipulating Stem Number, Tuber Set, and Yield Relationships for Northern- and Southern-Grown Potato Seed Lots. Crop Sci. 2006, 46, 284–296. [Google Scholar] [CrossRef]
- Shayanowako, A.; Mangani, R.; Mtaita, T.; Mazarura, U. Influence of Main Stem Density on Irish Potato Growth and Yield: A Review. Annu. Res. Rev. Biol. 2015, 5, 229–237. [Google Scholar] [CrossRef]
- Bussan, A.J.; Mitchell, P.D.; Copas, M.E.; Drilias, M.J. Evaluation of the Effect of Density on Potato Yield and Tuber Size Distribution. Crop Sci. 2007, 47, 2462–2472. [Google Scholar] [CrossRef]
- Marjanović, J.; Zubairu, A.M.; Varga, S.; Turdalieva, S.; Ramos-Diaz, F.; Ujj, A. Demonstrating agroecological practices in potato production with conservation tillage and Pseudomonas spp., Azotobacter spp., Bacillus spp. bacterial inoculants—Evidence from Hungary. Agronomy 2024, 14, 2979. [Google Scholar] [CrossRef]
- Blake, C.; Christensen, M.N.; Kovács, Á.T. Molecular Aspects of Plant Growth Promotion and Protection by Bacillus subtilis. Mol. Plant-Microbe Interact. 2021, 34, 15–25. [Google Scholar] [CrossRef]
- Jensen, C.N.G.; Pang, J.K.Y.; Gottardi, M.; Kračun, S.K.; Svendsen, B.A.; Nielsen, K.F.; Kovács, Á.T.; Moelbak, L.; Fimognari, L.; Husted, S.; et al. Bacillus subtilis promotes plant phosphorus (P) acquisition through P solubilization and stimulation of root and root hair growth. Physiol. Plant. 2024, 176, e14338. [Google Scholar] [CrossRef]
- Bueno, C.B.; Dos Santos, R.M.; De Souza Buzo, F.; De Andrade Da Silva, M.S.R.; Rigobelo, E.C. Effects of Chemical Fertilization and Microbial Inoculum on Bacillus subtilis Colonization in Soybean and Maize Plants. Front. Microbiol. 2022, 13, 901157. [Google Scholar] [CrossRef]
- Wang, Z.; Li, Y.; Zhao, Y.; Zhuang, L.; Yu, Y.; Wang, M.; Liu, J.; Wang, Q. A microbial consortium-based product promotes potato yield by recruiting rhizosphere bacteria involved in nitrogen and carbon metabolisms. Microb. Biotechnol. 2021, 14, 1961–1975. [Google Scholar] [CrossRef]
- Song, M.; Lin, X.; Wei, X.; Zeng, Q.; Mu, C.; Zhou, X. Trichoderma viride improves phosphorus uptake and the growth of Chloris virgata under phosphorus-deficient conditions. Front. Microbiol. 2024, 15, 1425034. [Google Scholar] [CrossRef]
- Pelagio-Flores, R.; Esparza-Reynoso, S.; Garnica-Vergara, A.; López-Bucio, J.; Herrera-Estrella, A. Trichoderma-induced acidification is an early trigger for changes in Arabidopsis root growth and determines fungal phytostimulation. Front. Plant Sci. 2017, 8, 822. [Google Scholar] [CrossRef]
- Contreras-Cornejo, H.A.; Macías-Rodríguez, L.; del-Val, E.; Larsen, J. Ecological Functions of Trichoderma spp. and Their Secondary Metabolites in the Rhizosphere: Interactions with Plants. FEMS Microbiol. Ecol. 2016, 92, fiw036. [Google Scholar] [CrossRef] [PubMed]
- Abbas, A.; Mubeen, M.; Zheng, H.; Sohail, M.A.; Shakeel, Q.; Solanki, M.K.; Iftikhar, Y.; Sharma, S.; Kashyap, B.K.; Hussain, S.; et al. Trichoderma spp. Genes Involved in the Biocontrol Activity Against Rhizoctonia solani. Front. Microbiol. 2022, 13, 884469. [Google Scholar] [CrossRef] [PubMed]
- Bhandari, S.; Pandey, K.R.; Joshi, Y.R.; Lamichhane, S.K. An overview of multifaceted role of Trichoderma spp. for sustainable agriculture. Arch. Agric. Environ. Sci. 2021, 6, 72–79. [Google Scholar] [CrossRef]
- Andreote, F.D.; Rocha, U.N.D.; Araújo, W.L.; Azevedo, J.L.; Van Overbeek, L.S. Effect of bacterial inoculation, plant genotype and developmental stage on root-associated and endophytic bacterial communities in potato (Solanum tuberosum). Antonie Van Leeuwenhoek 2010, 97, 389–399. [Google Scholar] [CrossRef] [PubMed]
- Cortiello, M.; Milc, J.; Sanfelici, A.; Martini, S.; Tagliazucchi, D.; Caccialupi, G.; Ben Hassine, M.; Giovanardi, D.; Francia, E.; Caradonia, F. Genotype and Plant Biostimulant Treatments Influence Tuber Size and Quality of Potato Grown in the Pedoclimatic Conditions in Northern Apennines in Italy. Int. J. Plant Prod. 2024, 18, 579–599. [Google Scholar] [CrossRef]
- Poveda, J.; Eugui, D. Combined use of Trichoderma and beneficial bacteria (mainly Bacillus and Pseudomonas): Development of microbial synergistic bio-inoculants in sustainable agriculture. Biol. Control 2022, 176, 105100. [Google Scholar] [CrossRef]
- Costa, S.D.A.D.; Cardoso, A.F.; Castro, G.L.S.D.; Júnior, D.D.D.S.; Silva, T.C.D.; Silva, G.B.D. Co-Inoculation of Trichoderma asperellum with Bacillus subtilis to Promote Growth and Nutrient Absorption in Marandu Grass. Appl. Environ. Soil Sci. 2022, 2022, 3228594. [Google Scholar] [CrossRef]













| Parameter | Result |
|---|---|
| Sand (%) | 27.77 |
| Silt (%) | 43.67 |
| Clay (%) | 29.55 |
| Texture | Clay loam soal |
| pH | 7.2 |
| Electrical conductivity S·m−1 | 17.3 |
| Organic matter (%) | 2.2 |
| N (%) | 0.11 |
| P (ppm) | 29.5 |
| K (ppm) | 422.5 |
| Ca (cmol(+) kg−1) | 48.5 |
| Mg (cmol(+) kg−1) | 10.75 |
| K (cmol(+) kg−1) | 2.64 |
| Na (cmol(+) kg−1) | 0.51 |
| CEC (cmol(+) kg−1) | 62.41 |
| Factors | Treatment Combination | |
|---|---|---|
| Microorganism | Mineral Fertilizer | |
| Uninoculated (control) | 0% | (m1 × n1) |
| Uninoculated (control) | 50% | (m1 × n2) |
| Uninoculated (control) | 100% | (m1 × n3) |
| Trichoderma viride | 0% | (m2 × n1) |
| Trichoderma viride | 50% | (m2 × n2) |
| Trichoderma viride | 100% | (m2 × n3) |
| Bacillus subtilis | 0% | (m3 × n1) |
| Bacillus subtilis | 50% | (m3 × n2) |
| Bacillus subtilis | 100% | (m3 × n3) |
Disclaimer/Publisher’s Note: The statements, opinions and data contained in all publications are solely those of the individual author(s) and contributor(s) and not of MDPI and/or the editor(s). MDPI and/or the editor(s) disclaim responsibility for any injury to people or property resulting from any ideas, methods, instructions or products referred to in the content. |
© 2025 by the authors. Licensee MDPI, Basel, Switzerland. This article is an open access article distributed under the terms and conditions of the Creative Commons Attribution (CC BY) license (https://creativecommons.org/licenses/by/4.0/).
Share and Cite
Tueros, M.; Vilcapoma, M.; Pillaca, G.; Velásquez, J.; Campos, H.; Cántaro-Segura, H.; Paitamala, O.; Matsusaka, D. Eco-Efficient Intensification of Potato with Bacillus subtilis and Trichoderma viride Under NPK Fertilization. Appl. Microbiol. 2025, 5, 112. https://doi.org/10.3390/applmicrobiol5040112
Tueros M, Vilcapoma M, Pillaca G, Velásquez J, Campos H, Cántaro-Segura H, Paitamala O, Matsusaka D. Eco-Efficient Intensification of Potato with Bacillus subtilis and Trichoderma viride Under NPK Fertilization. Applied Microbiology. 2025; 5(4):112. https://doi.org/10.3390/applmicrobiol5040112
Chicago/Turabian StyleTueros, Miguel, Melina Vilcapoma, Guido Pillaca, José Velásquez, Henry Campos, Hector Cántaro-Segura, Omar Paitamala, and Daniel Matsusaka. 2025. "Eco-Efficient Intensification of Potato with Bacillus subtilis and Trichoderma viride Under NPK Fertilization" Applied Microbiology 5, no. 4: 112. https://doi.org/10.3390/applmicrobiol5040112
APA StyleTueros, M., Vilcapoma, M., Pillaca, G., Velásquez, J., Campos, H., Cántaro-Segura, H., Paitamala, O., & Matsusaka, D. (2025). Eco-Efficient Intensification of Potato with Bacillus subtilis and Trichoderma viride Under NPK Fertilization. Applied Microbiology, 5(4), 112. https://doi.org/10.3390/applmicrobiol5040112

