Next Article in Journal
Acknowledgment to Reviewers of Crops in 2021
Previous Article in Journal
Constitutive Changes in Nutrients and Phytochemicals in Kernels of Aluminium-Tolerant Maize (Zea mays L.)
 
 
Font Type:
Arial Georgia Verdana
Font Size:
Aa Aa Aa
Line Spacing:
Column Width:
Background:
Article

Effect of Early Harvest and Variety Difference on Grain Yield and Pasting Properties of Brown Rice

School of Agriculture and Food Sciences, The University of Queensland, Brisbane, QLD 4072, Australia
*
Author to whom correspondence should be addressed.
Crops 2022, 2(1), 23-39; https://doi.org/10.3390/crops2010003
Submission received: 16 December 2021 / Revised: 12 January 2022 / Accepted: 20 January 2022 / Published: 7 February 2022

Abstract

:
Green grains that are harvested before maturity and dehulled have been reported to have higher nutritional value than fully matured brown rice. Two years of aerobic field experiments were conducted to determine the effect of variety, early harvest and their interaction, on grain yield and pasting properties of brown rice. Eight varieties were grown under well-watered or water deficit conditions and harvested between 15–35 days after flowering (DAF). The maximum yield of green rice was obtained when crops were harvested between 20–25 DAF for well-watered condition and 15–20 DAF for water deficit condition. The paddy yield on these early harvest dates was on average 66% of mature paddy rice yield. Varieties were consistent in paddy yield at early harvest 20–25 DAF with correlation coefficient being 0.897 ** between the two years. Rapid visco-analysis (RVA) showed that developing grains had lower pasting viscosities than mature grains. However, the variety difference had a greater effect on pasting viscosities than the harvest time. Varieties were consistent in pasting characteristics between early and mature harvests, and between growing seasons. Water deficit reduced grain yield but did not significantly affect the pasting characteristics of flour gel, amylose and protein content. The RVA showed that final viscosity and setback viscosity in brown rice flour harvested at 15 DAF were only 84% and 76% of those in mature brown rice, indicating that developing grains were likely to produce softer cooked rice than mature grain. The results on differences in pasting characteristics between developing and mature grains provide more options in developing food products with desired gel properties.

1. Introduction

Rice is a staple food for more than half of the world’s population. It is mainly consumed in cooked form as white rice, in which bran layers are removed and the grain is polished. White rice has been implicated in some chronic diseases including diabetes [1]. Brown rice, which retains embryo and bran, is reported to be rich in dietary fibre, minerals and bioactive compounds [2,3]. Although high intake of brown rice is reported to lower the risk of developing obesity, type 2 diabetes, cardiovascular disease and some cancers [4], the consumption of brown rice still faces major barriers including availability, cultural preferences, cooking characteristics, sensory attributes, shelf-life and storage [4]. The consumption of brown rice can be promoted by adopting different methods to improve the texture of cooked grain which include soaking, gamma radiation, ultrasonic enzyme treatment, high pressure cooking, freeze-thaw cycle treatment, and germination [5,6,7,8]. An alternative is through processed products with brown rice as a main ingredient, such as brown rice snack bars and brown rice baby cereal, and through agronomic practice change with early harvesting. The grains harvested before they fully mature are referred to here as “early harvest grains”. In east Asian countries, a certain type of early harvest grains called “green rice” are roasted and flattened as green rice flake. The flake is then consumed as a snack or used to produce different types of desserts including cake, candy and ice-cream [9]. The green rice (GR) is harvested between 14–30 days before the grain is fully ripe (standard mature colour of each rice variety). Glutinous varieties are commonly used for GR production, however there are limited reports on the harvesting practices and processing of GR products. Kim et al. [9,10] examined chemical and mineral properties of GR rice and the optimal harvest date for maximum yield of GR in two non-glutinous varieties of Jinbu and Chuchung.
Rice grains go through several stages during their development from flowering to maturity. Jiamyangyuen et al. [11] classified those stages into five periods in terms of number of days after flowering (DAF), i.e., 1. flowering (0–7 DAF), 2. milk grain (8–14 DAF), 3. dough grain (15–21 DAF), 4. mature (22–28 DAF) and 5. fully ripe (29–35 DAF). The earliest grain condition which is suitable for harvest and able to be dehulled is at stage three between 15–18 DAF [12]. Generally, rice is harvested at stage five to ensure the highest grain weight is achieved and preferred quality of milled rice [13].
The optimum harvest time for GR may vary among rice varieties. For japonica varieties, it was found to be within the range of 25–30 DAF. The grains of Chuchung and Jinbu reached maturity at 48 DAF and were found to be suitable for GR harvest at 25 to 27 DAF, respectively [10]. The GR yield was found to remain higher than 99% of dehulled brown rice until 22 DAF for Chuchung and 30 DAF for Jinbu. Meanwhile their weight of 1000 kernels increased significantly over the early-mid grain filling for both varieties and then slightly increased towards maturity.
Harvesting rice early before the grain reaches maturity may have advantages if compared with maturity harvest with a shorter time required for production and improved grain quality. The eating properties of cooked early harvest grains were better in terms of sweetness and deliciousness [14]. The early harvest grain was also found to possess higher preservability of taste after cooking as Arai and Itani [15] reported that the texture remained the same when kept at 25 °C for 24 h.
During the grain development, the mineral, vitamin and nutrient contents of rice grains gradually decrease towards maturity [16]. For instance, K, Ca and vitamin C were found abundant in developing grains compared with mature grains. Reducing sugar, vitamin B2, B3, and B6 were found in the highest level at 15 DAF. Vitamin C and β-carotene decreased from 15 to 25 DAF and they were not found in mature grains. Starch accumulated rapidly from 7 to 22 DAF and then the rate of increase declined [17]. As a component of starch, the amylose content also steadily increased during grain filling. Most studies reported a decrease in protein content during grain development [16,18], but Arai and Itani [14] reported a gradual increase in protein content towards maturity in varieties Koshihikari and Nakateshinsenbon.
Knowing the pasting properties of a material is important in grain quality and also food processing as it helps in optimizing the concentration of ingredients and the limits for temperature, pressure and shear during production [19]. The properties are commonly determined with a rapid visco-analyzer which records the changes in viscosity occurring during heating, holding and cooling of starch–water slurry [20]. The rapid visco-analysis (RVA) of rice flour is frequently used by rice breeders to determine the quality of rice [21]. Flour from different varieties can be distinguished by pasting viscosities such as peak, trough, final, breakdown and setback [22]. The viscosity curves generated from the analysis can be used to predict the freshness of rice grain during storage [23] and the sensory properties of rice samples or the processing properties of rice when used as an ingredient. However, RVA has its limitations with regard to sensory attributes of cooked grains of rice samples. In order to accurately measure the textural attributes of cooked rice, sensory descriptive analysis by a human panel and textural profile analysis by instruments are used [24]. RVA was used for pasting characteristics of milled rice of early harvest grains of variety M-202 in a study by Champagne et al. [25]. The harvest was performed at 32, 38, 45 and 48 DAF which was towards the later stages of grain development. The grain harvested at 32 DAF had higher setback and lower breakdown than the grain harvested at 48 DAF. A later study in brown rice of two Chinese varieties with similar amylose content by Cai et al. [26] found that grain harvested at 15 DAF had lower final viscosity, setback and pasting temperature but higher peak and breakdown viscosity than grain harvested at 40 DAF. Thus, there is a need to examine the effect of early harvesting on brown rice flour using more diverse varieties.
There is limited knowledge in brown rice pasting quality of developing grain compared with mature grain, and very little work has been performed in relation to quality of grain produced under aerobic conditions without permanent (flooded) water. Further, it is not known whether varieties with varying pasting properties in mature grains maintain their characteristics during grain development. Therefore, the main objective of this study was to investigate the effect of early harvest on grain yield and pasting properties of brown rice of several varieties cultivated under aerobic conditions.

2. Materials and Methods

2.1. Selection of Rice Varieties

Seeds of 8 contrasting varieties used for field experiments were provided by Yanco Agricultural Institute, NSW, Australia (Table 1). Varieties were selected based on established differences in grain type (short, medium, long), stickiness (glutinous and non-glutinous) and grain texture after cooking in milled rice (soft, medium, firm).

2.2. Field Experiments

Rice samples used in the present study were derived from two years of field experiments at Gatton campus, the University of Queensland, Australia. Soil at the experiment site was dark cracking clay. The rice was grown under aerobic conditions without standing (flood) water in the field in the summer of 2017–2018 and 2018–2019.

2.2.1. Year 1

Two experiments were planted using manual seed drill (Jang JP-1 Seeder, Mechanical Transplanter Company, Holland, MI, USA). In the first experiment, all 8 varieties were planted on 14 November 2017, and irrigation was applied 3 times per week (24 mm each time) using a solid set sprinkler system. For the second experiment, only four varieties were planted 10 days later and only irrigated 2 times per week. These experiments will be subsequently referred to as ‘well-watered’ for the wetter condition and ‘water deficit’ for the dryer condition. In both experiments, basal fertilizer was applied 3 days before sowing at a rate of 600 Kg/ha using Nitrophoska® (12–5.2–14.1, Incitec Pivot). Additional applications of urea at the rate of 80 Kg/ha were applied at 30 and 60 days after sowing. Pre- and post-emergent herbicides were applied to control weeds. During the seedling stage, hand weeding was performed where weed infestations occurred.
In both experiments, varieties were arranged as randomized complete block design with 3 replications and with a plot size of 10 m2 (5 × 2 m). Row spacing was 20 cm and the seed rate was 286–381 seeds/m2, the rate depending on the variety, with a higher seed rate adopted for short grain varieties.
All varieties were harvested from an area of 2 m2 from each plot on 5 occasions after 50% flowering (15, 20, 25, 30, and 35 days after flowering, DAF). The harvest areas were marked randomly, and the plants in the edge rows were not harvested. “Maturity harvest” subsequently used in this paper refers to the harvest conducted at 35 DAF, and “mature brown rice” refers to the fully ripe grain at this harvest date. Rice panicles from all harvest dates were threshed using a LD 350 laboratory thresher (Wintersteiger, Para Hill West, Australia) with drum speed 660 rpm. The samples harvested at 35 DAF were threshed immediately after harvest with wind speed set at number 6 and the threshed grains were dried in a ventilated oven at 35 °C to reduce the moisture content to 13.5–14% and stored at 4 °C for analysis. The fresh samples harvested at 15 to 30 DAF were not suitable for threshing and the panicles were dried in the oven before threshing at wind speed set at number 4.
The weight of grain at 14% moisture content was used for the calculation of paddy yield.

2.2.2. Year 2

The same 8 varieties were planted using a manual seed drill on 1 November 2018. Plots with size of 21 m2 (3 × 7 m) were arranged in randomized complete block design with 3 replications. Row spacing was 20 cm and the seed rate was 286–381 seeds/m2, the actual rate depending on the variety as in year 1. The plants were irrigated 3 times/week (24 mm each time). Fertilizer application and weed control followed the same protocol as in year 1. The samples were collected at 20–25 DAF, which was found to result in maximum yield for GR in year 1, and at maturity (35 DAF), dried in the oven at 35 °C to reduce the moisture content to 13.5–14% and stored at 4 °C for future analysis. At each sample collection time, half of the plot was harvested following similar processes of rice panicle threshing and yield determination as conducted in year 1.

2.3. Weather and Flowering Time

The seasonal pattern of temperature and rainfall for year 1 and year 2 is shown in Figure 1. The year 2 season was drier and hotter than year 1. The total rainfall for year 1 season was about 2.5 times higher than that of year 2 (480 mm vs. 187 mm). The mean minimum temperature was similar at about 17 °C but the mean maximum for year 1 was 31 °C compared with 33 °C in year 2. In the year 1 season, the temperature reached 40 °C and above only 4 times, while in year 2 it reached up to 8 times. The maximum temperature of 35 °C and above occurred 26 times in year 1, while the frequency rose to 57 times in year 2. Overall, the average heat sum with base temperature of 10 °C across all varieties for the year 1 cropping season was 1929 °Cd, which was lower than year 2 (2167 °Cd) (Table S1).
The 50% flowering date of each variety in year 1 and year 2 seasons is presented in Tables S2 and S3, respectively. For both years, the early varieties started flowering in the last week of December and the latest ones in the second week of March. Koshihikari, Reiziq and YRW4 were the earliest varieties to flower (67–73 days after sowing), and Doongara and TDK8 were the latest (93–122 days after sowing). Medium maturity varieties of Langi, Sherpa and Tachiminori flowered at 79–82 days after sowing. The sequence of harvest was dictated by the flowering date.

2.4. Preparation of Rice Samples

Brown rice was produced by dehulling a 150 g paddy using a rubber roll laboratory husker (Satake Corporation, Hiroshima, Japan). The flour was prepared by grinding 25–35 g brown rice using an electric grinder (Grain mill SY-2200, CGOLDENWALL, Shenzhen, China). The flour was then sieved using sieve mesh number 80, in which the particle size corresponded to 180 µm.
All rice samples were prepared and analysed in the laboratories at St Lucia campus, the University of Queensland, Australia.

2.5. Determination of Green Rice Yield

The yield of GR was determined for 5 sequential harvests in year 1. After samples had been passed through the dehuller, 10 g of grains were visually sorted into green kernels and mature grains as shown in Figure 2 and weighed separately. Based on these weights, the percentage of GR in total brown rice was calculated and then the GR yield was determined.

2.6. Determination of Amylose and Protein Contents

The amylose and protein contents were analysed for samples from all harvest dates of 2 non-glutinous varieties (Doongara and Reiziq), and 2 glutinous varieties (TDK8 and YRW4) in year 1. The chemical contents were only determined for harvest dates of maximum yield for GR, and at maturity for the rest of the varieties in year 1 and all varieties in year 2.
The amylose content was determined by an iodine method, and protein content was determined by a near infrared method used in Chao et al. [27]. The amylose content was calculated using a standard curve of a known rice sample (6, 12, 17, 23 and 32%) from absorption readings by a UV1800 Spectrophotometer (Shimadzu Corporation, Kyoto, Japan). The protein content was converted from nitrogen content which was measured by an MPA Multi-purpose FT-NIR Analyser (Bruker Corporation, Billerica, MA, USA).

2.7. Pasting Properties of Brown Rice Flour

The determination of pasting profiles of flour of brown rice sampled at different times after flowering followed the method in Chao et al. [27].
The results of pasting property analyses for early harvest and mature samples in year 2 were reported in Chao et al. [27] in comparison with germinated brown rice.

2.8. Statistical Analysis

All measurements were conducted in 3 biological replicates, and all results were analysed using GenStat 12th Edition (VSN International Ltd., Helmel Hempstead, UK). The results of sequential harvest were analysed by repeated measurements using mixed models (REML), and one-way ANOVA was used to analyse most traits. When varieties were compared between well-watered and water deficit conditions, two-way ANOVA in completely randomized block design was used to determine the effect of variety and environment and their interaction. Means were compared by Fisher’s least significant difference (LSD) range test for p = 0.05. The significance of relationships between measured variables was evaluated by Pearson’s correlation analysis, two-sided tests against zero at p = 0.05.

3. Results

3.1. Grain Gield at Different Harvesting Times

3.1.1. Yield of Green Rice and Brown Rice in Year 1

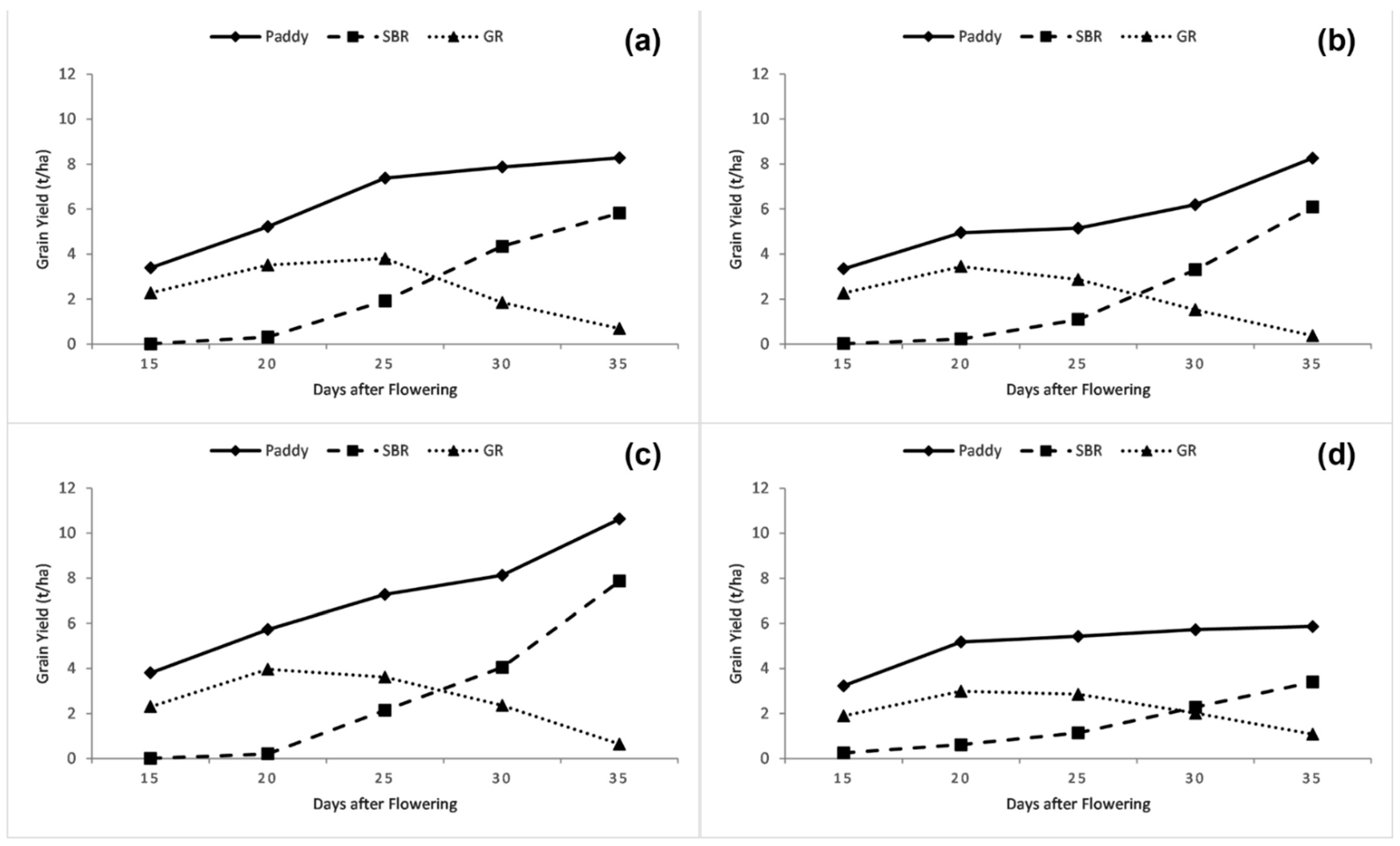
The trend of changes during the grain filling period of dehulled GR, standard brown rice with no green colour, and paddy yield was similar in all varieties and water conditions (well-watered and water deficit), and the results of four selected varieties (Doongara, Reiziq, Sherpa and TDK8) in well-watered condition are shown in Figure 3. The yield of GR increased to a maximum at 20–25 days after flowering (DAF) and decreased towards 35 DAF except for TDK8 in water deficit conditions which only produced a decreasing trend from 15 DAF (not shown). In comparison with maximum GR yield obtained at 20–25 DAF, the mean GR yield at 15 DAF was about 63% and 66%, and at 35 DAF was about 27% and 25% for rice grown in well-watered and water deficit conditions, respectively. On the other hand, standard brown rice yield was negligible at 15 DAF but increased to reach a maximum at 35 DAF. Thus, the GR yield as a percentage of total brown rice (GR and standard brown rice) yield, decreased during the grain filling period for all varieties in well-watered and water deficit conditions.
There was a significant difference for GR yield between varieties and harvest dates (Table S4). On average, the yield of GR harvested at 15 DAF was about 65% of paddy yield harvested at the same date and the proportion decreased to about 12% at 35 DAF.
The earliest harvest date in which GR yield was the highest or not significantly different from the maximum was determined as the optimal date for harvesting GR (also referred to as “optimal early harvest”). For most of the varieties in well-watered condition, the highest GR yield was obtained at 20 DAF but the optimal harvest date for Langi and YRW4 was 25 DAF (Table 2). Meanwhile, when a water deficit condition was imposed, the highest GR yield was obtained when harvested at 20 DAF, except TDK8 (15 DAF). The average GR yield at the optimal early harvest was 3.8 and 2.7 t/ha (52 and 43% of mature paddy) for well-watered and water deficit conditions, respectively. While there was no significant varietal difference in GR yield at optimal harvest date among the eight varieties in the well-watered condition, there was a significant difference in four varieties in the water deficit condition. Sherpa achieved the highest GR yield (4 t/ha) while TDK8 had the lowest (1.2 t/ha). The maximum GR yield was not significantly different between well-watered and water deficit for Sherpa and Tachiminori. For Doongara and TDK8, the yield of GR was significantly higher in the well-watered condition.
The percentage of GR yield in relation to paddy yield at the same harvest date and at maturity in year 1 is shown in Table S4. In the well-watered condition, the average GR yield obtained at optimal early harvest was 52% of mature paddy yield (58% of dehulled mature brown rice), in which YRW4 obtained the highest (56%) and Koshihikari the lowest (36%). In the water deficit condition, the proportion of GR yield in the mature paddy was only 43% on average, ranging from 30% in Doongara to 49% in TDK8.
The proportion of GR in total brown rice at the optimal early harvest was 83% and 85%, on average, for rice grown in well-watered and water deficit conditions, respectively (data not shown).

3.1.2. Paddy Yield in Year 1 and Year 2

The paddy yield at optimal early harvest and at maturity for year 1 and year 2 is presented in Table 2. There were varietal differences in paddy yield across the two growing seasons in both optimal early harvest and maturity harvest. The average paddy yield at early harvest and maturity was 5.6 and 8.5 t/ha in year 1 which was significantly higher than year 2 (3.7 and 5.9 t/ha). However, the proportion of early harvest yield in mature paddy yield in the two years was not significantly different (68% vs. 63%). The proportion varied from 50% to 88% depending on variety and year. Varieties which had high percentages were those that were harvested at 25 DAF for optimal harvest day (Langi and YRW4), although TDK8 with an optimal date at 20 DAF also showed high percentages. There was a significant relationship in paddy yield between early and mature harvests in year 2 (r = 0.849 **) and between early harvests of the two growing seasons (r = 0.897 **), but there was no significant relationship between early and mature harvests in year 1 (r = 0.079 ns) and between mature harvests of the two seasons (r = 0.471 ns).
Paddy yield at different dates after flowering for each variety in both water conditions in year 1 is shown in Table S5. There were significant varietal and harvest date differences in paddy yield. In comparison to paddy yield harvested at maturity (35 DAF), the yield harvested at 15 DAF was about 43% and 45%, and increased to about 86% and 83% at 30 DAF for rice grown in well-watered and water deficit conditions, respectively. For the four varieties grown in well-watered and water deficit conditions, the paddy yield was 1.7 t/ha, on average, higher in well-watered than water deficit condition. Varieties with higher paddy yield in well-watered condition tended to remain higher in yield in water deficit condition (r = 0.99 **). Sherpa had the highest yield while TDK8 had the lowest. However, there was no significant difference in early-mature yield ratio between the two water conditions.

3.2. Amylose and Protein Contents

The change in amylose content of brown rice in well-watered and water deficit condition in year 1 is shown in Table 3. Four varieties in well-watered, and two varieties in water deficit condition shown, are those in which amylose content was determined throughout the grain filling period. Amylose content increased slightly after flowering with an increase of 1.4 % on average from 15 to 35 DAF. Doongara had the highest increase of about 2% while TDK8 the smallest at 0.6%. The increase in amylose content for the other four varieties (Koshihikari, Langi, Sherpa and Tachiminori), in which amylose content was determined only twice during grain filling, from 20–25 to 35 DAF was also small with 1.2% increase on average. The varieties with high and low amylose content remained higher and lower at all harvest dates.
There was a significant variety effect on amylose content (Table 3). The glutinous group had lower amylose content than those of non-glutinous varieties. In the glutinous varieties, TDK8 had a lower amylose content than YRW4 while Doongara and Reiziq had the highest and lowest amylose content respectively within the non-glutinous group. The grains grown in well-watered condition contained significantly and marginally higher amylose content 0.2% on average compared with those grown under water deficit condition at all harvest dates.
The amylose content was similar over the 2 years with mean content at optimal early harvest of 13.4% and 12.9%, and at maturity of 14.4% and 13.8%, in year 1 and year 2, respectively. Thus, there was high correlation between amylose content in year 1 and year 2 samples with the correlation coefficient of 0.996 *** for early harvest and 0.995 *** for mature brown rice.
The changes in protein content during grain filling of four varieties in well-watered condition and 2 varieties in water deficit condition in year 1 are presented in Table 4. In contrast to amylose content, the protein content decreased slightly during grain filling. A significant decrease in mean content of 0.8% was observed for samples harvested at 15 DAF and 35 DAF. Reiziq had the largest decrease of 1.5%. The decrease in protein content for the other four varieties, in which measurements were made only twice, from 20–25 to 35 DAF, was 0.5%. The varieties with high and low protein content remained higher and lower at all harvest dates. The protein content ranged from 8 to 11% depending on variety and harvest date. There was no significant difference in protein content between grains grown under well-watered and water deficit conditions.
The protein content was similar over the 2 years with mean content at optimal early harvest at 9.4% and 9.0%, and maturity at 8.66% and 8.68%, in year 1 and year 2, respectively. The correlation coefficient between early harvest and mature brown rice samples in year 1 and year 2 was 0.781 * and 0.708 *, respectively.

3.3. Pasting Properties

Among the eight varieties, the pasting properties varied slightly with the level of grain maturity. A similar pattern was observed for both water conditions. Figure 4 shows the pasting profile of brown rice flour of grain sampled at different days after flowering in well-watered condition for four selected varieties of Doongara, Reiziq, Sherpa and TDK8 in year 1. The harvest dates had small but significant effect on all pasting characteristics of all varieties. Peak, breakdown, trough, setback and final viscosity tended to increase, while peak time and pasting temperature decreased during the grain filling period. There was a clear distinction between the flour harvested at 15 DAF and 35 DAF with samples in between varying in significance. For the four varieties grown in both water conditions, there was no significant difference in pasting characteristics between grains harvested from well-watered and water deficit conditions.
The selected pasting characteristics of early harvest brown rice (optimal DAF for maximum GR) and mature brown rice for the eight varieties grown in year 1 are shown in Table 5. There were significant variety differences in final viscosity, pasting temperature, peak viscosity, and setback viscosity for grains grown in both well-watered and water deficit conditions. Non-glutinous varieties had higher pasting viscosities than glutinous varieties regardless of grain maturity level.
Among eight varieties grown in the well-watered condition, the mean final viscosity of early harvest brown rice flour was 1872 RVU, which was 209 RVU lower than that of mature brown rice. The early harvest grains also had 168 RVU lower setback viscosity than the mature grain. There was a significant relationship for final viscosity and setback viscosity between early harvest grain and mature brown rice with a correlation coefficient of 0.994 *** for final viscosity and 0.995 *** for setback viscosity. Doongara had the highest final and setback viscosities while Reiziq had the lowest final and setback viscosities among non-glutinous varieties. In the glutinous group, TDK8 had higher final viscosity than YRW4 but both varieties had similar setback viscosity.
The mean pasting temperature of early harvest grain was 70 °C which was marginally but significantly higher than that of mature grain. The pasting temperature ranged from 64 to 77 °C and from 63 to 77 °C among varieties in early harvest and mature grain, respectively. The non-glutinous varieties tended to have a higher pasting temperature than glutinous varieties.
On average, the mature grain had 177 RVU higher peak viscosity than early harvest grain. The correlation coefficient between peak viscosity of early harvest and mature grain was 0.910 ***. Koshihikari had the highest peak viscosity while YRW4 had the lowest.
Of the four varieties grown under water deficit condition, early harvest grain had lower mean final viscosity, peak viscosity and setback, but higher pasting temperature, than mature grain. There were significant variety differences in pasting characteristics. There was also significant variety by harvest time interaction in final viscosity, peak viscosity, setback and pasting temperature, but varieties tended to maintain these properties, in which the correlation coefficient between early harvest and mature grain ranged from 0.97 **–0.99 ***.
Variety had greater effect than harvest date on pasting viscosities. There was large variation in final viscosity (584–2776 RVU) and setback (173–1738 RVU) among varieties, while there was only 324 and 273 RVU lower in final viscosity and setback in early harvest compared with maturity harvest. Although there were small differences due to the harvesting time and growing condition, the correlation coefficient between 15 DAF to 35 DAF for any pasting characteristic among varieties ranged from 0.892 ** to 0.999 *** (except for breakdown 0.660 *–0.960 ***). Thus, variety differences in any of the pasting characteristics were large at different times of harvest and the performance of each variety was consistent whether the crops were grown in well-watered or water deficit conditions.
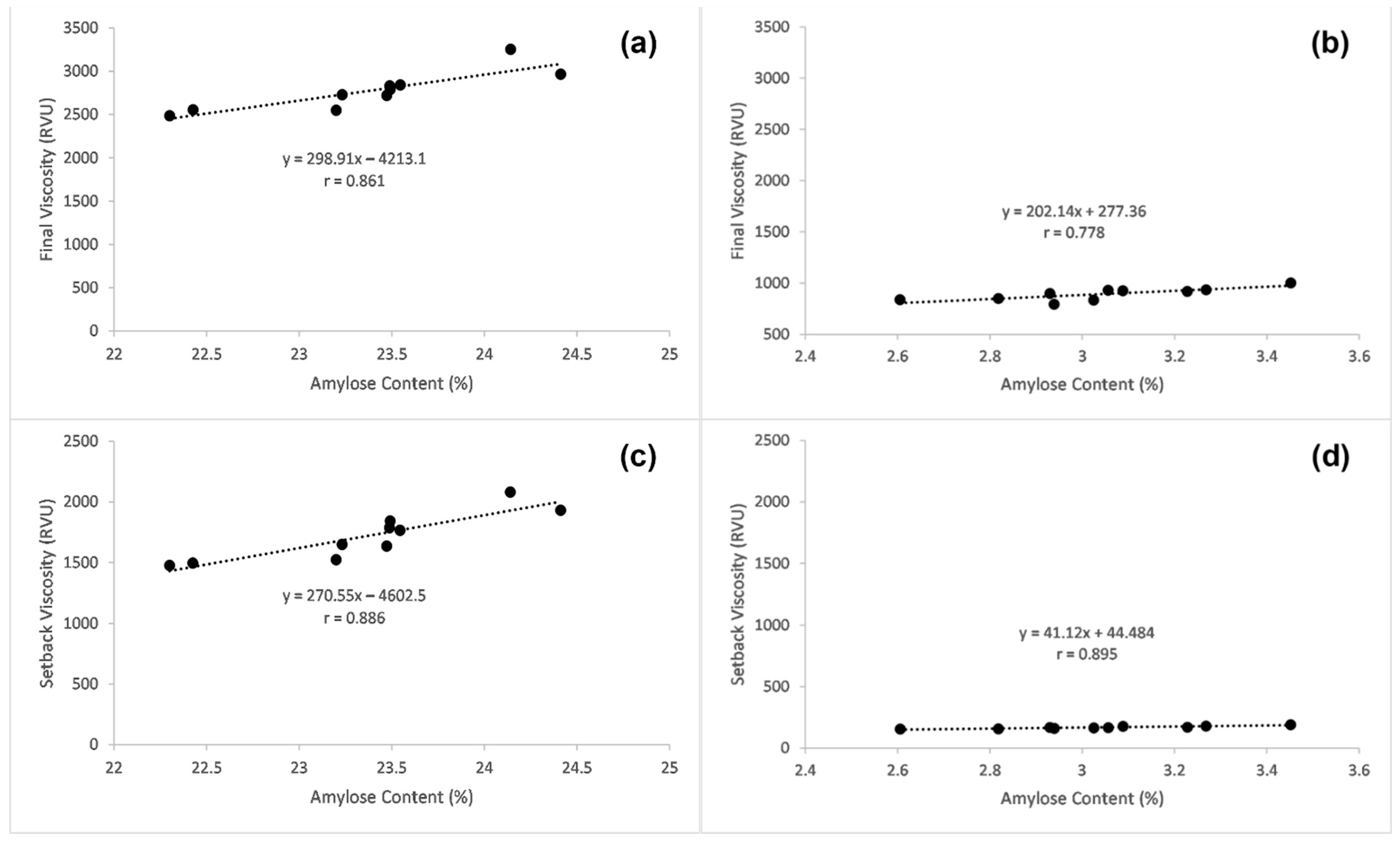
The relationship between amylose content and final viscosity and setback during grain development of selected varieties is presented in Figure 5. Amylose content and final viscosity have a positive correlation with sequential harvests from 15 to 35 DAF (r = 0.861 *** for Doongara, r = 0.778 * for TDK8). The correlation coefficient for amylose content and setback viscosity was 0.886 *** and 0.895 *** for Doongara and TDK8, respectively. The significant relationship between amylose content and final and setback viscosities was also observed in other varieties in both water conditions. The protein content had no significant relationship with pasting characteristics during grain development among varieties used in the present study.
Figure 6 shows the significant relationship between amylose content and final viscosity and setback viscosity among eight varieties in well-watered and water deficit conditions at both early and maturity harvest. The relationships in early harvest grain were similar to those in mature grain. The correlation coefficient for amylose and final viscosity was 0.96 *** and 0.97 ***, and for amylose and setback viscosity was 0.98 *** and 0.99 ***, for early harvest and mature grains, respectively. The amylose content also had significant relationship with pasting temperature (r = 0.79 ** for early harvest and r = 0.74 ** for mature grain). The amylose content of early harvest and mature grains had no significant relationship with peak viscosity (rEH = 0.38 ns; rMH = 0.31 ns) and breakdown viscosity (rEH = −0.50 ns; rMH = −0.52 ns). The protein content had no significant relationship with final viscosity, setback viscosity, peak viscosity, breakdown and pasting temperature in both early harvest and mature grains, with correlation coefficient ranging from −0.29 ns to 0.50 ns.
There was a significant difference in pasting viscosities of brown rice grown in year 1 and year 2, but there was significant correlation for final viscosity, pasting temperature, peak viscosity and setback viscosity among eight varieties in both early harvest brown rice and mature brown rice between these years, with the correlation coefficient ranging from 0.75 * to 0.975 *** in early harvest and from 0.708 * to 0.977 *** in mature brown rice, respectively.

4. Discussion

Grain yield has been known to increase during grain development [28,29], and the increase was due to the accumulation of starch and storage protein [18]. The results of the present study showed that grain yield of paddy (also brown rice) increased during grain development from 15 to 35 DAF, and by 20–25 DAF when GR yield was maximum, 66% of final paddy grain yield was achieved. The ratio of GR to total brown rice at 20–25 DAF was 83%. The results were in line with those reported by Kim et al. [10], in which the optimal harvest dates of GR for Jinbu and Chuchung varieties were 25–27 and 27–20 DAF, and the ratios of green to total brown rice were about 83 and 80%, respectively. The paddy yield in year 2 was lower than that of year 1 but the proportion of early harvest grains (20–25 DAF) in relation to yield in mature grain was similar at 63–68% with no significant difference between the two years (Table 2). Glutinous varieties tended to have a higher percentage (above 70% in both years) in paddy yield compared with non-glutinous varieties when harvested early. Apart from their waxy characteristic, this high yield proportion in glutinous varieties could be a reason for their selection in GR production as practiced in Asian countries, especially in Vietnam where GR flake is used to make popular GR cake (available online: Bánh cốm (accessed on 26 October 2021)). In addition, slow retrogradation as a result of low setback in flour paste of early harvest grain (discussed below) is desired for making cakes. The results of the present study show that the eight varieties were suitable for early harvest to produce GR in terms of maximum yield and high proportion in relation to grain yield at maturity harvest.
Developing grains had lower pasting viscosities and higher pasting temperature when compared with mature grains. In brown rice of two Chinese varieties, Wuyujing3 and 30you917, Cai et al. [26] found that grain harvested at 15 DAF had lower final viscosity, setback and pasting temperature, but higher peak and breakdown viscosity, than grain harvested at 40 DAF. In milled rice, Champagne et al. [25] reported no significant difference in final viscosity, peak viscosity and pasting temperature in medium grain variety M-202 harvested at 32, 38, 45 and 48 DAF. However, setback viscosity was 35 RVU lower when harvested at 32 DAF compared with 48 DAF. Thus, these results also indicated that pasting viscosities, particularly setback viscosity, increased with time. Higher pasting temperature found in developing grain in the present study was different from the result of Cai et al. [26], but was in line with the results reported by Chi and Shu [30]. They found that the gelatinization temperature in two varieties (Huangyu B and II32) decreased from five DAF to maturity. The lower setback and final viscosity in developing grains in the present study is likely due to its lower content of amylose as there was a significant relationship between these properties among different harvest dates (Figure 5). The varieties with high amylose content tended to result in high pasting viscosities (Figure 6). Amylose content variation due to variety or due to harvesting time similarly contributed to the variation in key pasting properties such as final and setback viscosity, indicating the importance of amylose content determining the pasting properties in brown rice. The significant relationship between amylose content and pasting characteristics especially retrogradation has been well established in mature milled rice [31] and was also reported in mature brown rice and germinated brown rice [32]. The lower peak viscosity in developing rice grain may be explained by its higher protein content than the mature brown rice. Protein was known to restrict starch from swelling, which resulted in lower peak viscosity and could lead to higher pasting temperature [13,33]. The results of the current study show that flour of developing brown rice results in a softer paste compared with mature brown rice, which suggests that cooked developing grains will also be softer than cooked mature brown rice. However, as flour and whole grain of varieties may behave differently, further study is needed to explore the effect of early harvesting on the textural properties of developing grains. The results on differences in pasting characteristics between developing and mature grains also provide more options in developing food products with desired gel properties from the same variety but with a slight variation in chemical and mineral composition.
The variation in pasting characteristics was larger among varieties than harvest dates. This may be due to the small effect of harvest date on amylose content (discussed below), while the amylose content varied greatly among varieties. In the present study, varieties maintained their pasting characteristics regardless of harvest times. Thus, selection of a suitable variety for desired gel properties in GR can be based on their characteristics in mature grains, and slight reductions are expected by using grain harvested before maturity.
Growing rice in water deficit condition reduced the grain yield on average by 1.7 t/ha but did not significantly change the percentage of grain yield at each harvest time in relation to mature grain yield, chemical composition (amylose and protein), or pasting properties of brown rice. Water deficit could affect plant growth and development and ultimately reduce grain yield in rice [34]. The intermittent stress developed in water deficit conditions where irrigation was 24 mm/week less than the well-watered condition in the present study appeared to reduce grain yield but have had little effect on other properties. Graham-Acquaah et al. [35] found similar peak and breakdown viscosities for grains grown under continuous flooded conditions and under alternate wetting and drying irrigation, but water stress lowered the setback viscosity of hybrid rice XL753. Varieties were consistent in pasting characteristics in the current study. This may be due in part to consistency in chemical composition (amylose and protein) and is significant for raw material selection from different varieties and across growing seasons for desired properties in food products. It is also significant in field management in the event of water shortage; thus, water usage can be optimized without compromising the grain quality.
The amylose content increased slightly, while the protein content decreased slightly toward maturity, in the current study. The amylose content increased 1.3% on average from 15 to 35 DAF from 10.5% to 11.8%. Similar results were reported by Shu et al. [36], in which brown rice of three indicated varieties had about 0.8 to 1.6% higher amylose content in grain harvested at 30 DAF compared with 15 DAF. The current study shows that protein content decreased from 9.9% to 9.1% between 15 and 35 DAF. The decrease in protein content was also observed by Dong et al. [18]. The results of the current study reveal that varieties with high contents of amylose and protein in mature brown rice remained high in these contents throughout the grain filling stage. Thus, the chemical composition found in mature grain of a particular variety largely determines the chemical component during grain development, while minor adjustment can be achieved by harvesting at different times during grain growth.

5. Conclusions

The current study has demonstrated the effect of early harvest on grain yield, pasting characteristics and chemical composition. The maximum yield of green rice was obtained when crops were harvested between 20–25 DAF for well-watered condition, and 15–20 DAF for water deficit condition. Developing grains had lower pasting viscosities than mature brown rice, suggesting that cooked rice from developing grains will also be softer than those from mature brown rice. The pasting characteristics among different varieties varied greatly and was consistent over the two growing seasons. Compared with well-watered condition, water deficit condition reduced grain yield but did not significantly alter amylose and protein contents and the pasting properties of brown rice. The results on differences in pasting characteristics between developing and mature grains and among varieties provide more options in developing food products with desired gel properties.

Supplementary Materials

The following are available online at https://www.mdpi.com/article/10.3390/crops2010003/s1, Table S1: Thermal time from sowing to harvest for rice grown in year 1 and year 2 (base temperature = 10 °C); Table S2: Dates of flowering and maturity harvests in year 1 environments; Table S3: Dates of flowering and maturity harvests in year 2 season; Table S4: Yield of green rice (GR) by days after flowering (DAF), percentage of GR in paddy at respective DAF and percentage of GR in mature paddy (Year 1); Table S5: Yield of paddy harvested at different days after flowering (DAF) and percentage of yield in mature paddy (Year 1).

Author Contributions

Conceptualization, S.C. and S.F.; methodology, S.C.; validation, S.F. and B.B.; formal analysis, S.C.; investigation, S.C.; resources, J.M.; data curation, S.C.; writing—original draft preparation, S.C.; writing—review and editing, S.F., B.B., J.M. and S.P.; supervision, S.F., B.B., J.M. and S.P. All authors have read and agreed to the published version of the manuscript.

Funding

Sinh Chao gratefully acknowledges the financial support of the Australian Centre for International Agricultural Research (ACIAR) through the John Allwright Fellowship. Operational support was partially funded through ACIAR project CSE-2012-077, and partially funded by AgriFutures project PRJ-011067.

Institutional Review Board Statement

Not applicable.

Informed Consent Statement

Not applicable.

Conflicts of Interest

The authors declare no conflict of interest. The funders had no role in the design of the study; in the collection, analyses, or interpretation of data; in the writing of the manuscript, or in the decision to publish the results.

References

  1. Hu, E.; Pan, A.; Malik, V.; Sun, Q. White rice consumption and risk of type 2 diabetes: Meta-analysis and systematic review. Br. Med. J. 2012, 344, e1454. [Google Scholar] [CrossRef] [PubMed] [Green Version]
  2. Babu, P.D.; Subhasree, R.S.; Bhakyaraj, R.; Vidhyalakshmi, R. Brown rice-beyond the color reviving a lost health food—A review. Am.-Eurasian J. Agron. 2009, 2, 67–72. [Google Scholar]
  3. Juliano, B.O. Rice in Human Nutrition; Food and Agriculture Organization of the United Nations: Rome, Italy, 1993. [Google Scholar]
  4. Mohan, V.; Ruchi, V.; Gayathri, R.; Ramya Bai, M.; Shobana, S.; Anjana, R.M.; Unnikrishnan, R.; Sudha, V. Hurdles in brown rice consumption. In Brown Rice; Manickavasagan, A., Santhakumar, C., Venkatachalapathy, N., Eds.; Springer International Publishing: Cham, Switzerland, 2017; pp. 255–269. [Google Scholar]
  5. Sabularse, V.; Liuzzo, J.; Rao, R.; Grodner, R. Cooking quality of brown rice as influenced by gamma irradiation, variety and storage. J. Food Sci. 1991, 56, 96–98. [Google Scholar] [CrossRef]
  6. Wang, H.; Zhu, S.; Ramaswamy, H.S.; Du, Y.; Yu, Y.; Wu, J. Dynamics of texture change and in vitro starch digestibility with high-pressure, freeze-thaw cycle, and germination-parboiling treatments of brown rice. Trans. ASABE 2021, 64, 103–115. [Google Scholar] [CrossRef]
  7. Yu, Y.; Pan, F.; Ramaswamy, H.S.; Zhu, S.; Yu, L.; Zhang, Q. Effect of soaking and single/two cycle high pressure treatment on water absorption, color, morphology and cooked texture of brown rice. J. Food Sci. Technol. 2017, 54, 1655–1664. [Google Scholar] [CrossRef] [PubMed] [Green Version]
  8. Zhang, X.; Wang, L.; Cheng, M.; Wang, R.; Luo, X.; Li, Y.; Chen, Z. Influence of ultrasonic enzyme treatment on the cooking and eating quality of brown rice. J. Cereal Sci. 2015, 63, 140–146. [Google Scholar] [CrossRef]
  9. Kim, H.; Lee, S.E.; Kim, D.C.; Keum, D.H.; Park, S.J. Effect of harvesting time on the yield, color, and proximate compositions of Jinbu variety Green Rice®. Prev. Nutr. Food Sci. 2011, 16, 381–385. [Google Scholar] [CrossRef] [Green Version]
  10. Kim, H.; Kim, O.W.; Ha, A.W.; Park, S. Determination of optimal harvest time of Chuchung variety green rice®(Oryza sativa L.) with high contents of GABA, γ-oryzanol, and α-tocopherol. Prev. Nutr. Food Sci. 2016, 21, 97–103. [Google Scholar] [CrossRef] [PubMed] [Green Version]
  11. Jiamyangyuen, S.; Nuengchamnong, N.; Ngamdee, P. Bioactivity and chemical components of Thai rice in five stages of grain development. J. Cereal Sci. 2017, 74, 136–144. [Google Scholar] [CrossRef]
  12. Lin, P.Y.; Lai, H.M. Bioactive compounds in rice during grain development. Food Chem. 2011, 127, 86–93. [Google Scholar] [CrossRef]
  13. Hossain, M.; Bhuiya, M.; Ahmed, M.; Mian, M. Effect of harvesting time on the milling and physicochemical properties of aromatic rice. Thai J. Agric. Sci. 2009, 42, 91–96. [Google Scholar]
  14. Arai, E.; Itani, T. Effects of harvesting time on sweetness of cooked rice and activity of starch-degradation enzymes of rice grains. Food Sci. Technol. Res. 2004, 10, 282–289. [Google Scholar] [CrossRef] [Green Version]
  15. Arai, E.; Itani, T. Effects of early harvesting of grains on taste characteristics of cooked rice. Food Sci. Technol. Res. 2000, 6, 252–256. [Google Scholar] [CrossRef] [Green Version]
  16. Ji, C.M.; Shin, J.A.; Cho, J.W.; Lee, K.T. Nutritional evaluation of immature grains in two Korean rice cultivars during maturation. Food Sci. Biotechnol. 2013, 22, 903–908. [Google Scholar] [CrossRef]
  17. Wei, X.; Jiao, G.; Lin, H.; Sheng, Z.; Shao, G.; Xie, L.; Tang, S.; Xu, Q.; Hu, P. Grain incomplete filling 2 regulates grain filling and starch synthesis during rice caryopsis development. J. Integr. Plant Biol. 2017, 59, 134–153. [Google Scholar] [CrossRef] [PubMed] [Green Version]
  18. Dong, M.H.; Chen, P.F.; Xie, Y.L.; Qiao, Z.Y.; Yang, J.C. Variations in carbohydrate and protein accumulation among spikelets at different positions within a panicle during rice grain filling. Rice Sci. 2012, 19, 223–232. [Google Scholar] [CrossRef]
  19. Dang, J.M.C.; Copeland, L. Genotype and environmental influences on pasting properties of rice flour. Cereal Chem. 2004, 81, 486–489. [Google Scholar] [CrossRef]
  20. Bergman, C.J. Rice end-use quality analysis. In Rice, 4th ed.; Bao, J., Ed.; AACC International Press: Cambridge, MA, USA, 2019; pp. 273–337. [Google Scholar]
  21. Fitzgerald, M.A.; Martin, M.; Ward, R.M.; Park, W.D.; Shead, H.J. Viscosity of rice flour: A rheological and biological study. J. Agric. Food Chem. 2003, 51, 2295–2299. [Google Scholar] [CrossRef]
  22. Defenbaugh, L.; Walker, C. Comparison of starch pasting properties in the brabender viso-amylograph and the rapid visco-analyzer. Cereal Chem. 1989, 66, 493–499. [Google Scholar]
  23. Wongsaipun, S.; Krongchai, C.; Jakmunee, J.; Kittiwachana, S. Rice grain freshness measurement using rapid visco analyzer and chemometrics. Food Anal. Methods 2018, 11, 613–623. [Google Scholar] [CrossRef]
  24. Champagne, E.T.; Bett, K.L.; Vinyard, B.T.; McClung, A.M.; Barton, F.E.; Moldenhauer, K.; Linscombe, S.; McKenzie, K. Correlation between cooked rice texture and rapid visco-analyser measurements. Cereal Chem. 1999, 76, 764–771. [Google Scholar] [CrossRef]
  25. Champagne, E.T.; Bett-Garber, K.L.; Thompson, J.; Mutters, R.; Grimm, C.C.; McClung, A.M. Effects of drain and harvest dates on rice sensory and physicochemical properties. Cereal Chem. 2005, 82, 369–374. [Google Scholar] [CrossRef]
  26. Cai, Y.; Liu, C.; Wang, W.; Cai, K. Differences in physicochemical properties of kernels of two rice cultivars during grain formation. J. Sci. Food Agric. 2011, 91, 1977–1983. [Google Scholar] [CrossRef] [PubMed]
  27. Chao, S.; Mitchell, J.; Prakash, S.; Bhandari, B.; Fukai, S. Effects of variety, early harvest and germination on pasting properties and cooked grain texture of brown rice. J. Texture Stud. 2022; Under Revision. [Google Scholar]
  28. Ishimaru, T.; Horigane, A.K.; Ida, M.; Iwasawa, N.; San-oh, Y.A.; Nakazono, M.; Nishizawa, N.K.; Masumura, T.; Kondo, M.; Yoshida, M. Formation of grain chalkiness and changes in water distribution in developing rice caryopses grown under high-temperature stress. J. Cereal Sci. 2009, 50, 166–174. [Google Scholar] [CrossRef]
  29. Zhang, H.; Chen, T.; Wang, Z.; Yang, J.; Zhang, J. Involvement of cytokinins in the grain filling of rice under alternate wetting and drying irrigation. J. Exp. Bot. 2010, 61, 3719–3733. [Google Scholar] [CrossRef] [PubMed] [Green Version]
  30. Chi, X.F.; Shu, Q.Y. A study on the formation in the character of gelatinization temperature of rice grains. Chin. J. Rice Sci. 2008, 22, 548–550. [Google Scholar]
  31. Varavinit, S.; Shobsngob, S.; Varanyanond, W.; Chinachoti, P.; Naivikul, O. Effect of amylose content on gelatinization, retrogradation and pasting properties of flours from different cultivars of Thai rice. Starch-Stärke 2003, 55, 410–415. [Google Scholar] [CrossRef]
  32. Chao, S.; Mitchell, J.; Prakash, S.; Bhandari, B.; Fukai, S. Effect of germination level on properties of flour paste and cooked brown rice texture of diverse varieties. J. Cereal Sci. 2021, 102, 103345. [Google Scholar] [CrossRef]
  33. Martin, M.; Fitzgerald, M.A. Proteins in rice grains influence cooking properties. J. Cereal Sci. 2002, 36, 285–294. [Google Scholar] [CrossRef]
  34. Pandey, A.; Kumar, A.; Pandey, D.; Thongbam, P. Rice quality under water stress. Indian J. Plant Sci. 2014, 1, 23–26. [Google Scholar]
  35. Graham-Acquaah, S.; Siebenmorgen, T.J.; Reba, M.L.; Massey, J.H.; Mauromoustakos, A.; Adviento-Borbe, A.; January, R.; Burgos, R.; Baltz-Gray, J. Impact of alternative irrigation practices on rice quality. Cereal Chem. 2019, 96, 815–823. [Google Scholar] [CrossRef]
  36. Shu, X.; Sun, J.; Wu, D. Effects of grain development on formation of resistant starch in rice. Food Chem. 2014, 164, 89–97. [Google Scholar] [CrossRef] [PubMed]
Figure 1. Daily maximum and minimum temperature and rainfall during a growing season: (a) year 1 and (b) year 2.
Figure 1. Daily maximum and minimum temperature and rainfall during a growing season: (a) year 1 and (b) year 2.
Crops 02 00003 g001
Figure 2. Separation of green kernels from mature kernels at each harvest time, based on days after flowering (DAF): (a) 15 DAF, (b) 20 DAF, (c) 25 DAF, (d) 30 DAF and (e) 35 DAF, for Doongara (maximum GR yield was obtained at 20 DAF in this example).
Figure 2. Separation of green kernels from mature kernels at each harvest time, based on days after flowering (DAF): (a) 15 DAF, (b) 20 DAF, (c) 25 DAF, (d) 30 DAF and (e) 35 DAF, for Doongara (maximum GR yield was obtained at 20 DAF in this example).
Crops 02 00003 g002aCrops 02 00003 g002b
Figure 3. Changes in paddy yield, dehulled green rice (GR) and standard brown rice (SBR) during grain development in year 1: (a) Doongara; (b) Reiziq; (c) Sherpa; and (d) TDK8.
Figure 3. Changes in paddy yield, dehulled green rice (GR) and standard brown rice (SBR) during grain development in year 1: (a) Doongara; (b) Reiziq; (c) Sherpa; and (d) TDK8.
Crops 02 00003 g003
Figure 4. Pasting profiles of brown rice harvested at different days after flowering (DAF) in year 1: (a) Doongara; (b) Reiziq; (c) Sherpa; and (d) TDK8, representing the general trends for non-glutinous and glutinous varieties examined in the study. Harvest dates with identical small letters (ac) have no significant difference in final viscosity (p < 0.05).
Figure 4. Pasting profiles of brown rice harvested at different days after flowering (DAF) in year 1: (a) Doongara; (b) Reiziq; (c) Sherpa; and (d) TDK8, representing the general trends for non-glutinous and glutinous varieties examined in the study. Harvest dates with identical small letters (ac) have no significant difference in final viscosity (p < 0.05).
Crops 02 00003 g004
Figure 5. Correlation between amylose content and (a,b) final viscosity, and (c,d) setback viscosity, during grain development for (a,c) Doongara; and (b,d) TDK8 grown in well-watered and water deficit conditions (n = 10).
Figure 5. Correlation between amylose content and (a,b) final viscosity, and (c,d) setback viscosity, during grain development for (a,c) Doongara; and (b,d) TDK8 grown in well-watered and water deficit conditions (n = 10).
Crops 02 00003 g005
Figure 6. Relationship between amylose content and (a) final viscosity and (b) setback viscosity of early harvest grain at optimal days after flowering (EH) and mature brown rice (MH) for varieties grown in well-watered and water deficit conditions (n = 12).
Figure 6. Relationship between amylose content and (a) final viscosity and (b) setback viscosity of early harvest grain at optimal days after flowering (EH) and mature brown rice (MH) for varieties grown in well-watered and water deficit conditions (n = 12).
Crops 02 00003 g006
Table 1. Characteristics of selected rice varieties used in this research.
Table 1. Characteristics of selected rice varieties used in this research.
No.Variety NameVariety TypeGrain TypeStickinessTexture 1
1DoongaraIndica/JaponicaLongNon-glutinousFirm
2KoshihikariJaponicaShortNon-glutinousSoft, sticky
3LangiJaponicaLongNon-glutinousSoft
4ReiziqJaponicaMediumNon-glutinousMedium
5SherpaJaponicaMediumNon-glutinousMedium
6TachiminoriJaponicaMediumNon-glutinousSoft
7TDK8IndicaLongGlutinousSoft
8YRW4JaponicaShortGlutinousSoft
1 Texture classification in milled rice.
Table 2. Optimal harvest time (days after flowering, DAF) for maximum green rice (GR) yield in well-watered (WW) and water deficit (WD) conditions in year 1, and paddy yield in well-watered at optimal early harvest (EH) and maturity, and percentage of EH grain yield in mature paddy yield in year 1 and year 2.
Table 2. Optimal harvest time (days after flowering, DAF) for maximum green rice (GR) yield in well-watered (WW) and water deficit (WD) conditions in year 1, and paddy yield in well-watered at optimal early harvest (EH) and maturity, and percentage of EH grain yield in mature paddy yield in year 1 and year 2.
VarietyOptimal DAF GR Yield in Year 1Paddy Yield in Well-Watered
Optimal DAFGR Yield (t/ha)Optimal EH (t/ha)Maturity (t/ha)Optimal EH/Maturity (%)
WWWDWWWDYear 1Year 2Year 1Year 2Year 1Year 2
Doongara20203.5 a2.2 a,b5.2 a,b3.6 b,c8.3 b6.4 c63.1 a,b56.0 a,b,c
Koshihikari20-3.3 a-4.6 a2.2 a9.2 b,c3.6 a49.7 a59.6 a,b,c
Langi25-4.6 a-7.2 b6.4 d8.8 b8.0 e83.1 b,c79.1 d
Reiziq20-3.4 a-5.0 a,b3.3 a,b,c8.3 b5.3 b61.7 a,b66.8 b,c,d
Sherpa20204.0 a4.0 c5.7 a,b4.1 c10.6 c6.5 c,d53.9 a49.5 a
Tachiminori20203.9 a3.4 b,c5.3 a,b2.4 a,b9.1 b,c7.5 d,e59.0 a,b53.7 a,b
TDK820153.0 a1.2 a5.2 a,b4.3 c5.9 a3.4 a89.6 c69.7 c,d
YRW425 4.3 a -6.3 a,b3.6 b,c7.7 b6.1 b,c82.2 b,c70.5 c,d
Mean 3.82.75.63.78.55.967.663.1
Values in column with identical small letters (a, b, c, …) are not significantly different at p < 0.05.
Table 3. Changes in amylose content (%) at different days after flowering (DAF) in 4 varieties in well-watered and 2 varieties in water deficit conditions in year 1.
Table 3. Changes in amylose content (%) at different days after flowering (DAF) in 4 varieties in well-watered and 2 varieties in water deficit conditions in year 1.
Variety15 DAF20 DAF25 DAF30 DAF35 DAFMean
(a) Well-watered
Doongara22.4 j23.2 k23.5 k23.5 k24.4 l23.4 D
Reiziq12.5 f13 g13.3 g,h13.4 h14.3 i13.3 C
TDK82.9 a3 a3.1 a,b3.2 a,b3.5 b3.2 A
YRW44.1 c4.5 d4.9 e4.9 e5.2 e4.7 B
Mean10.5 A10.9 B11.2 C11.3 C11.8 D
(b) Water deficit
Doongara22.323.223.523.524.123.3 B
TDK82.62.82.93.13.32.9 A
Mean12.5 A13.0 B13.2 B13.3 B13.7 C
Mean values with identical capital letters (A, B, C, …) are not significantly different for main effects of variety and harvesting date at p < 0.05 by Fisher’s protected LSD. Values with identical small letters (a, b, c, …) are not significantly different for interaction effect at p < 0.05 by Fisher’s protected LSD. Where interaction effect was not significant (p > 0.05), no letters are shown following values.
Table 4. Changes in protein content (%) at different days after flowering (DAF) in 4 varieties in well-watered and 2 varieties in water deficit conditions in year 1.
Table 4. Changes in protein content (%) at different days after flowering (DAF) in 4 varieties in well-watered and 2 varieties in water deficit conditions in year 1.
Variety15 DAF20 DAF25 DAF30 DAF35 DAFMean
(a) Well-watered
Doongara9.69.49.39.08.99.2 B
Reiziq10.810.39.89.69.310.0 C
TDK810.810.710.610.410.210.5 D
YRW48.68.48.28.28.18.3 A
Mean9.9 D9.7 C9.5 B9.3 A9.1 A
(b) Water deficit
Doongara10.710.510.410.09.610.2 B
TDK89.89.59.59.28.79.4 A
Mean10.3 C10.0 B,C9.9 B,C9.6 B9.2 A
Mean values with identical capital letters (A, B, C, …) are not significantly different for main effects of variety and harvesting date at p < 0.05 by Fisher’s protected LSD. Where interaction effect was not significant (p > 0.05), no letters are shown following values.
Table 5. Pasting characteristics of brown rice harvested at optimal date for early harvest (EH) to achieve maximum green rice yield and at maturity (MH).
Table 5. Pasting characteristics of brown rice harvested at optimal date for early harvest (EH) to achieve maximum green rice yield and at maturity (MH).
VarietyFinal Viscosity (RVU)Pasting Temp (°C)Peak Viscosity (RVU)Setback Viscosity (RVU)
EHMHMeanEHMHMeanEHMHMeanEHMHMean
(a) Well-watered
Doongara272829672848 G75.9 j74.3 i75.1 G177517711773 B1651 g1933 h1792 E
Koshihikari212224402281 D,E67.5 e65.6 d66.5 C195620842020 C1061 b,c1351 e,f1206 C
Langi210523642235 D77.4 l76.7 k77.1 H175019131832 B1248 d,e1396 f1322 D
Reiziq197221372055 C70.4 h69.6 g70.0 F179919131856 B1027 b1129 b–d1078 B
Sherpa223725842410 E,F70.5 h68 f69.2 E162619961811 B1181 c,d1465 f1323 D
Tachiminori239624922444 F68.1 f67.3 e67.7 D183319401886 B1207 d1407 f1307 D
TDK88331002918 B64.1 b63.3 a63.7 A157219701771 B164 a192 a178 A
YRW4583659621 A65.9 d64.9 c65.4 B9181061990 A194 a204 a199 A
Mean1872 A2081 B 70 B69 A 1654 A1831 B 967 A1135 B
(b) Water deficit
Doongara2549 b,c3255 d2902 C75.9 h74.4 g75.1 D1500 a1832 c1666 A1525 c2083 d1804 C
Sherpa2307 b2766 c2536 B70.4 f68 d69.2 C1667 b2036 d1851 B1187 b1487 c1337 B
Tachiminori2334 b2414 b2374 B68.8 e67.2 c68.0 B1763 b,c1831 c1797 B1234 b1332 b,c1283 B
TDK8839 a935 a887 A64.9 b63.3 a64.1 A1731 b,c1872 c1801 B156 a180 a168 A
Mean2007 A2342 B 70 B68 A 1665 A1893 B 1026 A1270 B
Mean values with identical capital letters (A, B, C, …) are not significantly different for main effects of variety and harvesting date at p < 0.05 by Fisher’s protected LSD. Values with identical small letters (a, b, c, …) are not significantly different for interaction effect at p < 0.05 by Fisher’s protected LSD. Where interaction effect was not significant (p > 0.05), no letters are shown following values.
Publisher’s Note: MDPI stays neutral with regard to jurisdictional claims in published maps and institutional affiliations.

Share and Cite

MDPI and ACS Style

Chao, S.; Mitchell, J.; Prakash, S.; Bhandari, B.; Fukai, S. Effect of Early Harvest and Variety Difference on Grain Yield and Pasting Properties of Brown Rice. Crops 2022, 2, 23-39. https://doi.org/10.3390/crops2010003

AMA Style

Chao S, Mitchell J, Prakash S, Bhandari B, Fukai S. Effect of Early Harvest and Variety Difference on Grain Yield and Pasting Properties of Brown Rice. Crops. 2022; 2(1):23-39. https://doi.org/10.3390/crops2010003

Chicago/Turabian Style

Chao, Sinh, Jaquie Mitchell, Sangeeta Prakash, Bhesh Bhandari, and Shu Fukai. 2022. "Effect of Early Harvest and Variety Difference on Grain Yield and Pasting Properties of Brown Rice" Crops 2, no. 1: 23-39. https://doi.org/10.3390/crops2010003

APA Style

Chao, S., Mitchell, J., Prakash, S., Bhandari, B., & Fukai, S. (2022). Effect of Early Harvest and Variety Difference on Grain Yield and Pasting Properties of Brown Rice. Crops, 2(1), 23-39. https://doi.org/10.3390/crops2010003

Article Metrics

Back to TopTop