Identifying Public Perceptions toward Emerging Transportation Trends through Social Media-Based Interactions
Abstract
:1. Introduction and Motivation
- Identify spatio-temporal characteristics of relevant social media interactions on shared mobility, vehicle technology, built environment, user fees, e-commerce, and telecommuting which can give an understanding about the spatial and temporal distribution of the relevant tweets describing the emerging transportation trends;
- Measure public sentiments and perceptions on emerging transportation trends through natural language processing such as sentiment analysis, which can allow the classification of tweets based on sentiment scores (highly positive, positive, neutral and negative, highly negative);
- Explore spatio-temporal differences of user sentiments by classifying sentiment scores on transportation and mobility indicators which can make sense about the spatial and temporal distribution of tweets concerning their sentiment direction;
- Extract emerging transportation topics and user concerns from social media interactions through Latent Dirichlet Allocation (LDA) which is a machine learning approach to identify the patterns of the filtered relevant tweets to recognize the emerging transportation trends.
2. Background and Related Work
3. Data Collection and Preparation
- Shared Mobility: shared, mobility, carpool, car, uber, lyft, etc.;
- Vehicle Technology: autonomous, automated, self-driving, connect, connected, etc.;
- Built Environment: walk, gym, cycle, activity, sidewalks, bypass, access, bus, station, etc.;
- User Fees: toll, express, lane, mileage, price, gas, gallon, fee, fare, tax, booth, etc.;
- Telecommuting: telecommute, job, flexible, hours, dollar, commute, telework, mobile, remote, etc.;
- Ecommerce: ecommerce, amazon, delivery, walmart, publix, ebay, fedex, ups, etc.
4. Methodology
4.1. Spatial and Temporal Analysis
4.2. Sentiment Ratings
- Task: Given a sentence s, two subtasks are performed:
- Subjectivity Classification: Determine whether w is a subjective sentence or an objective sentence,
- Sentence-level sentiment classification: If w is subjective, determine whether it expresses a positive or negative opinion.
- Assumption: The tweet w expresses a single opinion from a single opinion holder
- “thank you for creating vision for sustainability and leading the way not only electric cars but also solar autonomous software energy storage among other accomplishments im looking forward seeing what you and your team create”—Highly Positive (Score: 0.7992);
- “loves tesla though it’s the worst drive during holiday who knew”—Positive (Score: 0.3182);
- “bosch finally making lidar sensors for autonomous cars”—Neutral (Score: 0);
- “They’d stop fighting long enough maybe we’d all have autonomous self-driving cars the road now”—Negative (Score: −0.296);
- “autonomous cars are highly susceptible risk being commandeered visual spoofing attacks”—Highly Negative (Score: −0.6461).
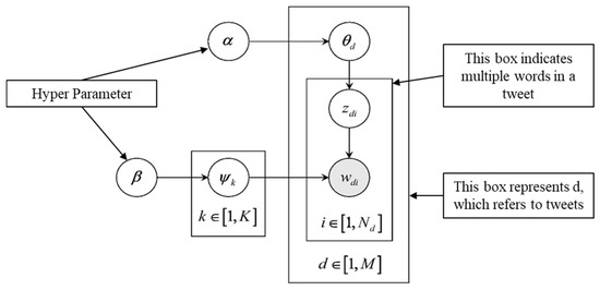
4.3. Topic Mining
5. Results and Discussion
- Profile Location is the location of residence of the person (set by the account holder) who posted the tweet;
- Tweet originating city (Tweet_location) is the boundary of the location from where the user posted the tweet. This feature is generated automatically with the tweet if the location of the user’s device remains enabled. The tweet containing this information is called a geotagged tweet which is the focus of this study;
- The exact tweet location is the exact point location from where the user posted the tweet. This feature is generated automatically with the tweet when the user does check-in or tag that place while posting the tweet.
5.1. Spatio-Temporal Heatmaps of Tweets
5.2. Temporal Heatmaps of Tweet Keywords
- Shared Mobility:
- ‘car’, ‘share’, and ‘ride’ showed strong presence, followed by ‘uber’, ‘bike’, ‘bird’, and ‘shared’;
- ‘Uber’ was more popular than ‘Lyft’;
- Emerging platforms such as ‘vanpool, ‘bikeshare, ‘escooter’, ‘uberpool’ were found less frequent on Twitter;
- ‘bike’ and ‘bicycle’ showed less prominence compared to ‘car’. This is indicative of the need to leverage social media for bike-sharing.
- Vehicle Technology:
- ‘energy’ was highly prominent. This is a commonly used word, also a fuel-efficient transportation platform;
- ‘drive’, ‘google’, ‘intelligence’, ‘connect’ also showed strong presence, followed by ‘tesla’, ‘electric’, ‘map’, ‘connected’, and ‘hybrid;’
- ‘electric’ was more popular than ‘hybrid;’
- emerging platforms such as ‘automation’, ‘artificial’, ‘automated’, ‘autonomous’ were found less frequent on Twitter.
- Built Environment:
- ‘work’ was highly prominent;
- ‘stop’, ‘office’, ‘bar’ also showed strong presence, followed by ‘station’, ‘shop’, ‘land’;
- ‘bus’ was more popular than ‘rail’;
- ‘dropoff’ showed less prominence. This is indicative of the need to leverage social media for online shopping.
- User Fees:
- ‘tax’ was highly prominent;
- ‘market’, ‘gas’, ‘price’, ‘charge’ also showed strong presence, followed by ‘lane’, ‘express’, ‘duty’, and ‘booth;’
- Financial activities such as ‘levy’, ‘liter’, ‘tariff’ were found less frequent on Twitter;
- ‘toll’ and ‘tariff’ showed less prominence relative to ‘tax’. This is indicative of the need to leverage social media for the charge on using bridges or roads and the duty on imports and exports.
- Telecommuting:
- ‘job’ is highly prominent. This is also an important telecommuting platform;
- ‘video’, ‘hours’, ‘phone’, ‘voice’ also showed strong presence, followed by ‘dollar’, ‘mobile’, ‘screen’, and ‘technology;’
- emerging platforms such as ‘freelance’, ‘outwork’, ‘telework’, ‘yammer’ was found less frequent on Twitter;
- ‘zoom’ showed less prominence relative to ‘phone’. This is indicative of the need to leverage social media for zoom meetings.
- Ecommerce
- ‘wish’ was highly prominent. This is a popular e-commerce platform;
- ‘sale’, ‘online’, ‘trade’, ‘internet’ also showed strong presence, followed by ‘retail’, ‘amazon’, ‘delivery’, ‘target’;
- ‘Walmart’ was more popular than ‘Publix;’
- platforms such as ‘home depot’, ‘BestBuy’, ‘paperless’ were found less frequent on Twitter;
- ‘Walmart’ was less frequent relative to ‘amazon’. This is indicative of the popularity of ‘amazon’ over ‘Walmart’ as an e-commerce platform.
5.3. Sentiment Analysis
- Overall, around one-third of the relevant tweets are positive, and about one-fifth expressed highly positive views. Around 24% of tweets showed a negative view (negative and highly negative);
- At the individual category level, most of the tweets are positive, and the least of the tweets are highly negative which reflects people’s positive attitude towards the studied emerging transportation trends;
- While shared mobility, vehicle technology, telecommuting, and ecommerce have a higher proportion of positive tweets than negative tweets, built environment and user fees showed opposite scenarios. This indicates the necessity of taking appropriate steps to improve facilities in the areas of built environment and user fees;
- Vehicle technology and ecommerce have the highest proportion of positive tweets among all the categories which represents people’s higher satisfaction with these emerging mobility trends. Rapid advancements in available facilities in these sectors are probably the reasons behind this higher public satisfaction;
- User fees have the least proportion of positive tweets and the highest proportion of negative and highly negative tweets among all the categories which represents people’s unsatisfactory attitude towards this sector of emerging mobility trend. Authorities should take steps to improve the facilities of this sector to gain people’s satisfaction.
- Most of the tweets on shared mobility showed positive and highly positive views in almost all the places. However, places such as Arkansas, Clarendon, Georgia, Louisiana, and Mississippi showed some exceptions, generating a relatively higher proportion of neutral and negative tweets which reflects the people’s less positive attitude towards shared mobility in these places. Necessary steps should be taken to improve the facilities in this sector of emerging mobility trends at these places;
- Though tweets on vehicle technology also showed an almost similar trend such as shared mobility at different places, places such as Alabama, Connecticut, Delaware, Rhode Island, and West Virginia generated a relatively higher proportion of neutral and negative tweets. Authorities in these places should plan accordingly to introduce facilities of this sector of emerging mobility trends to attain people’s positive attitudes;
- In the case of the built environment, though most of the tweets are positive over different places, there is also a higher proportion of neutral and negative tweets in many places concerning other categories (except user fees);
- In most places, tweets are more likely positive, neutral, and negative on user fees. Even places such as Rhode Island, Washington, Colorado generated a higher proportion of negative tweets than other sentiment types. Necessary steps should be taken to improve the facilities in this sector of emerging mobility trends at these places;
- Telecommuting and E-commerce showed similar patterns over different places. In all places, tweets showed mostly positive and highly positive views and there are a very small proportion of neutral, negative, and highly negative tweets. Rapid advancements in available facilities in these sectors of emerging mobility trends are probably the reasons behind this higher public satisfaction;
- Overall, most locations showed a more positive attitude towards shared mobility, vehicle technology, telecommuting, and e-commerce, whereas relatively more negative on the built environment and user fees.
5.4. Topic Modeling
5.5. Study Limitations and Future Research Directions
6. Conclusions
Supplementary Materials
Author Contributions
Funding
Institutional Review Board Statement
Informed Consent Statement
Data Availability Statement
Conflicts of Interest
References
- Meyer, M.; Flood, M.; Keller, J.; Lennon, J.; McVoy, G.; Dorney, C.; Leonard, K.; Hyman, R.; Smith, J. Strategic Issues Facing Transportation, Volume 2: Climate Change, Extreme Weather Events, and the Highway System: Practitioner’s Guide and Research Report; No. Project 20-83 (5); Transportation Research Board of The National Academies: Washington, DC, USA, 2014. [Google Scholar] [CrossRef]
- Popper, S.W.; Kalra, N.; Silberglitt, R.; Molina-Perez, E.; Ryu, Y.; Scarpati, M. Strategic Issues Facing Transportation, Volume 3: Expediting Future Technologies for Enhancing Transportation System Performance; No. Project 20-83 (2); Transportation Research Board of The National Academies: Washington, DC, USA, 2013. [Google Scholar] [CrossRef]
- Zmud, J.; Barabba, V.P.; Bradley, M.; Kuzmyak, J.R.; Zmud, M.; Orrell, D. Strategic Issues Facing Transportation, Volume 6: The Effects of Socio-Demographics on Future Travel Demand; National Academies Press: Washington, DC, USA, 2014. [Google Scholar]
- Cheng, L.; De Vos, J.; Shi, K.; Yang, M.; Chen, X.; Witlox, F. Do Residential Location Effects on Travel Behavior Differ between the Elderly and Younger Adults? Transp. Res. Part D Transp. Environ. 2019, 73, 367–380. [Google Scholar] [CrossRef]
- Wang, D.; Zhou, M. The Built Environment and Travel Behavior in Urban China: A Literature Review. Transp. Res. Part D Transp. Environ. 2017, 52, 574–585. [Google Scholar] [CrossRef]
- Lin, T.; Wang, D.; Guan, X. The Built Environment, Travel Attitude, and Travel Behavior: Residential Self-Selection or Residential Determination? J. Transp. Geogr. 2017, 65, 111–122. [Google Scholar] [CrossRef]
- Wang, D.; Lin, T. Built Environment, Travel Behavior, and Residential Self-Selection: A Study Based on Panel Data from Beijing, China. Transportation 2019, 46, 51–74. [Google Scholar] [CrossRef]
- Cheng, L.; Chen, X.; Lam, W.H.K.; Yang, S.; Wang, P. Improving Travel Quality of Low-Income Commuters in China: Demand-Side Perspective. Transp. Res. Rec. 2017, 2605, 99–108. [Google Scholar] [CrossRef]
- Figueroa, M.J.; Nielsen, T.A.S.; Siren, A. Comparing Urban Form Correlations of the Travel Patterns of Older and Younger Adults. Transp. Policy 2014, 35, 10–20. [Google Scholar] [CrossRef]
- Scheiner, J.; Holz-Rau, C. Gendered Travel Mode Choice: A Focus on Car Deficient Households. J. Transp. Geogr. 2012, 24, 250–261. [Google Scholar] [CrossRef]
- Pacheco, E. COVID-19’s Impact on Social Media Usage. Available online: https://www.thebrandonagency.com/blog/covid-19s-impact-on-social-media-usage/ (accessed on 5 July 2021).
- Golder, S.A.; Macy, M.W. Digital Footprints: Opportunities and Challenges for Online Social Research. Annu. Rev. Sociol. 2014, 40, 129–152. [Google Scholar] [CrossRef] [Green Version]
- Yin, Z.; Fabbri, D.; Rosenbloom, S.T.; Malin, B. A Scalable Framework to Detect Personal Health Mentions on Twitter. J. Med. Internet Res. 2015, 17, e138. [Google Scholar] [CrossRef] [PubMed]
- Tasse, D.; Hong, J.I. Using Social Media Data to Understand Cities. 2014. Available online: https://kilthub.cmu.edu/articles/journal_contribution/Using_Social_Media_Data_to_Understand_Cities/6470645/1 (accessed on 5 July 2021).
- Liao, Y.; Yeh, S.; Gil, J. Feasibility of Estimating Travel Demand Using Geolocations of Social Media Data. Transportation 2021, 1–25. [Google Scholar] [CrossRef]
- Cheng, Z.; Caverlee, J.; Lee, K.; Sui, D. Exploring Millions of Footprints in Location Sharing Services. In Proceedings of the International AAAI Conference on Web and Social Media, Catalonia, Spain, 17–21 July 2011; Volume 5. [Google Scholar]
- Jurdak, R.; Zhao, K.; Liu, J.; AbouJaoude, M.; Cameron, M.; Newth, D. Understanding Human Mobility from Twitter. PLoS ONE 2015, 10, e0131469. [Google Scholar] [CrossRef]
- Noulas, A.; Scellato, S.; Lambiotte, R.; Pontil, M.; Mascolo, C. A Tale of Many Cities: Universal Patterns in Human Urban Mobility. PLoS ONE 2012, 7, e37027. [Google Scholar] [CrossRef]
- Hasan, S.; Ukkusuri, S.V. Location Contexts of User Check-Ins to Model Urban Geo Life-Style Patterns. PLoS ONE 2015, 10, e0124819. [Google Scholar] [CrossRef] [PubMed]
- Hasan, S.; Ukkusuri, S.V. Urban Activity Pattern Classification Using Topic Models from Online Geo-Location Data. Transp. Res. Part C Emerg. Technol. 2014, 44, 363–381. [Google Scholar] [CrossRef]
- Üsküplü, T.; Terzi, F.; Kartal, H. Discovering Activity Patterns in the City by Social Media Network Data: A Case Study of Istanbul. Appl. Spat. Anal. Policy 2020, 13, 945–958. [Google Scholar] [CrossRef]
- Schweitzer, L. Planning and Social Media: A Case Study of Public Transit and Stigma on Twitter. J. Am. Plan. Assoc. 2014, 80, 218–238. [Google Scholar] [CrossRef]
- Pender, B.; Currie, G.; Delbosc, A.; Shiwakoti, N. Social Media Use during Unplanned Transit Network Disruptions: A Review of Literature. Transp. Rev. 2014, 34, 501–521. [Google Scholar] [CrossRef]
- Luong, T.T.B.; Houston, D. Public Opinions of Light Rail Service in Los Angeles, an Analysis Using Twitter Data. In Proceedings of the IConference 2015 Proceedings, Newport Beach, CA, USA, 24–27 March 2015. [Google Scholar]
- Haghighi, N.N.; Liu, X.C.; Wei, R.; Li, W.; Shao, H. Using Twitter Data for Transit Performance Assessment: A Framework for Evaluating Transit Riders’ Opinions about Quality of Service. Public Transp. 2018, 10, 363–377. [Google Scholar] [CrossRef]
- Tian, Y.; Zmud, M.; Chiu, Y.-C.; Carey, D.; Dale, J.; Smarda, D.; Lehr, R.; James, R. Quality Assessment of Social Media Traffic Reports–A Field Study in Austin, Texas. In Proceedings of the Transportation Research Board 95th Annual Meeting, Washington, DC, USA, 10–14 January 2016. [Google Scholar]
- Steur, R. Twitter as a Spatio-Temporal Information Source for Traffic Incident Management. Geogr. Inf. Manag. Appl. 2014. [Google Scholar]
- Wang, Q.; Taylor, J.E. Quantifying Human Mobility Perturbation and Resilience in Hurricane Sandy. PLoS ONE 2014, 9, e112608. [Google Scholar] [CrossRef] [PubMed]
- Wang, Q.; Taylor, J.E. Resilience of Human Mobility under the Influence of Typhoons. Procedia Eng. 2015, 118, 942–949. [Google Scholar] [CrossRef] [Green Version]
- Sadri, A.M.; Hasan, S.; Ukkusuri, S.V.; Cebrian, M. Crisis Communication Patterns in Social Media during Hurricane Sandy. Transp. Res. Rec. 2018, 2672, 125–137. [Google Scholar] [CrossRef] [Green Version]
- Roy, K.C.; Hasan, S.; Sadri, A.M.; Cebrian, M. Understanding the Efficiency of Social Media Based Crisis Communication during Hurricane Sandy. Int. J. Inf. Manag. 2020, 52, 102060. [Google Scholar] [CrossRef]
- Yao, W.; Qian, S. From Twitter to Traffic Predictor: Next-Day Morning Traffic Prediction Using Social Media Data. Transp. Res. Part C Emerg. Technol. 2021, 124, 102938. [Google Scholar] [CrossRef]
- Salazar-Carrillo, J.; Torres-Ruiz, M.; Davis, C.A.; Quintero, R.; Moreno-Ibarra, M.; Guzmán, G. Traffic Congestion Analysis Based on a Web-GIS and Data Mining of Traffic Events from Twitter. Sensors 2021, 21, 2964. [Google Scholar] [CrossRef]
- Cui, Y.; Meng, C.; He, Q.; Gao, J. Forecasting Current and next Trip Purpose with Social Media Data and Google Places. Transp. Res. Part C Emerg. Technol. 2018, 97, 159–174. [Google Scholar] [CrossRef]
- Twitter Developers. Available online: https://developer.twitter.com/en/portal/projects-andapps (accessed on 4 January 2020).
- McDonald, D.D. Natural Language Generation. In Handbook of Natural Language Processing; Marcel Dekker Inc.: New York, NY, USA, 2010; Volume 2, pp. 121–144. [Google Scholar]
- GitHub-Cjhutto/vaderSentiment: VADER Sentiment Analysis. VADER (Valence Aware Dictionary and sEntiment Reasoner) is a Lexicon and Rule-Based Sentiment Analysis Tool that Is Specifically Attuned to Sentiments Expressed in Social Media, and Works Well on Texts from Other Domains. Available online: https://github.com/cjhutto/vaderSentiment (accessed on 1 August 2021).
- Hutto, C.J.; Gilbert, E. Vader: A parsimonious rule-based model for sentiment analysis of social media text. In Proceedings of the International AAAI Conference on Web and Social Media, Ann Arbor, MI, USA, 1–4 June 2014; Volume 8. [Google Scholar]
- Blei, D.M.; Ng, A.Y.; Jordan, M.I. Latent Dirichlet Allocation. J. Mach. Learn. Res. 2003, 3, 993–1022. [Google Scholar]
- Farrahi, K.; Gatica-Perez, D. Discovering Routines from Large-Scale Human Locations Using Probabilistic Topic Models. ACM Trans. Intell. Syst. Technol. 2011, 2, 1–27. [Google Scholar] [CrossRef] [Green Version]
- Huynh, T.; Fritz, M.; Schiele, B. Discovery of Activity Patterns Using Topic Models. In Proceedings of the UbiComp ‘08: The 10th International Conference on Ubiquitous Computing, Seoul, Korea, 21–24 September 2008; pp. 10–19. [Google Scholar] [CrossRef]
- Sun, L.; Yin, Y. Discovering Themes and Trends in Transportation Research Using Topic Modeling. Transp. Res. Part C Emerg. Technol. 2017, 77, 49–66. [Google Scholar] [CrossRef] [Green Version]
- Griffiths, T.L.; Steyvers, M. Finding Scientific Topics. Proc. Natl. Acad. Sci. USA. 2004, 101 (Suppl. 1), 5228–5235. [Google Scholar] [CrossRef] [PubMed] [Green Version]
- Ahmed, M.A.; Sadri, A.M.; Pradhananga, P.; Elzomor, M.; Pradhananga, N. Social Media Communication Patterns of Construction Industry in Major Disasters. In Construction Research Congress 2020: Computer Applications-Selected Papers from the Construction Research Congress 2020; American Society of Civil Engineers: Reston, VA, USA, 2020; pp. 678–687. [Google Scholar] [CrossRef]
- Howard, P.N.; Kollanyi, B. Bots, #Strongerin, and #Brexit: Computational Propaganda During the UK-EU Referendum. SSRN Electron. J. 2017. [Google Scholar] [CrossRef] [Green Version]
- Chu, Z.; Gianvecchio, S.; Wang, H.; Jajodia, S. Who Is Tweeting on Twitter: Human, Bot, or Cyborg? In Proceedings of the 26th Annual Computer Security Applications Conference, Austin, TX, USA, 6 December 2010; pp. 21–30. [Google Scholar] [CrossRef]
- Clark, E.M.; Williams, J.R.; Jones, C.A.; Galbraith, R.A.; Danforth, C.M.; Dodds, P.S. Sifting Robotic from Organic Text: A Natural Language Approach for Detecting Automation on Twitter. J. Comput. Sci. 2016, 16, 1–7. [Google Scholar] [CrossRef] [Green Version]
- Dickerson, J.P.; Kagan, V.; Subrahmanian, V.S. Using Sentiment to Detect Bots on Twitter: Are Humans More Opinionated than Bots? In Proceedings of the 2014 IEEE/ACM International Conference on Advances in Social Networks Analysis and Mining (ASONAM 2014), Beijing, China, 17–20 August 2014; pp. 620–627. [Google Scholar] [CrossRef]
- Sikder, S.K.; Behnisch, M.; Herold, H.; Koetter, T. Geospatial Analysis of Building Structures in Megacity Dhaka: The Use of Spatial Statistics for Promoting Data-Driven Decision-Making. J. Geovisualization Spat. Anal. 2019, 3, 7. [Google Scholar] [CrossRef]









| Category | Relevant Keywords | Tweet Count |
|---|---|---|
| Shared Mobility (44 words) | shared, mobility, carpool, car, uber, lyft, tnc, share, zipcar, waze, juno, driver, passenger, ride, maas, e-hail, ehail, carclubs, bicycle, via, uberpool, hail, scooter, flexdrive, vehicle, zebra, flexwheels, e-scooter, escooter, lime, wheels, spin, bird, mobi, bike, evo, gogo, jax, rental, curb, wingz, birdj, traffic, fdot | 170,289 (1.31%) |
| Vehicle Technology (26 words) | autonomous, automated, self-driving, connect, connected, v2v, v2i, v2x, tesla, electric, hybrid, google, drive, platoon, airbags, energy, phonefob, vpa, telematics, ai, b2v, eascy, automation, artificial, intelligence, map | 74,144 (0.60%) |
| Built Environment (49 words) | built environment, walk, gym, cycle, activity, sidewalks, bypass, access, bus, station, stop, transit, mile, metro, rail, mover, land, work, office, shop, school, bank, airport, flight, plane, restaurant, park, malls, theater, bar, pick-up, pickup, drop-off, dropoff, atm, fitbit, train, subway, universal, disney, hyperloop, everglades, tour, tourist, arrive, depart, destination, eta, home | 631,697 (4.87%) |
| User Fees (20 words) | toll, express, lane, mileage, price, gas, gallon, fee, fare, tax, booth, market, charge, payment, tariff, dues, levy, duty, liter, litre | 66,668 (0.51%) |
| Telecommuting (32 words) | telecommute, job, flexible, hours, dollar, video-conference, videoconference, commute, telework, mobile, remote, workplace, technology, home-sourced, home sourced, e-work, ework, outwork, operation, mode, labor, regime, freelance, screen, voice, chat, video, phone, yammer, zoom, virtual, employee | 344,868 (2.66%) |
| E-commerce (34 words) | ecommerce, amazon, deliver, delivery, walmart, publix, ebay, fedex, ups, browse, purchase, e-business, ebusiness, online, trade, internet, sale, retail, transaction, paperless, macy’s, macys, wish, lowe’s, lowes, best buy, bestbuy, target, home depot, homedepot, etsy, rakuten, groupon, ebates | 142,101 (1.10%) |
| Trend Category (Coherence Score) | Interaction Topics | Topic Probability | Most Probable Words in the Coherent Topic |
|---|---|---|---|
| Shared Mobility (0.363) | Ride-Hailing | 0.472 | Car (0.016), share (0.011), ride (0.011), get (0.006), traffic (0.005) |
| Employment Opportunity | 0.192 | Job (0.027), bio (0.026), looking (0.017), openings (0.017), hiring (0.12) | |
| Vehicle Technology (0.321) | Fuel Efficiency | 0.561 | Energy (0.026), drive (0.016), tesla (0.008), map (0.005), electric (0.005) |
| Trip Navigation | 0.168 | Google (0.039), discover (0.03), big (0.022), map (0.009), coming (0.008) | |
| Built Environment (0.325) | Daily Activities | 0.569 | Home (0.012), Work (0.011), job (0.023), stop (0.007), school (0.007) |
| Shopping | 0.152 | Bus (0.017), car (0.016), times (0.007), cycle (0.007), shop (0.005) | |
| Recreation | 0.063 | Park (0.023), station (0.023), incident (0.01), school (0.007), college (0.007) | |
| User Fees (0.338) | Gas Price | 0.582 | Price (0.01), market (0.01), gas (0.01), charge (0.007), duty (0.005) |
| Tax and Expressway | 0.064 | dollars (0.023), tax (0.019), trip (0.009), express (0.006), booth (0.006) | |
| Lane Blockage | 0.065 | lane (0.018), blocked (0.013), FedEx (0.013), avenue (0.012), drive (0.012) | |
| Telecommuting (0.353) | Holiday | 0.5 | call (0.032), Christmas (0.026), amazing (0.023), business (0.022), tonight (0.021) |
| Healthcare | 0.303 | Healthcare (0.06), nurse (0.01), specialist (0.044), care (0.045), video (0.022) | |
| Supply Chain Management | 0.055 | manager (0.036), operations (0.021), retail (0.036), mobile (0.026), supply chain (0.023) | |
| Customer Services (Recommendations) | 0.077 | anyone (0.137), recommend (0.134), customer service (0.048), labor (0.043) | |
| Sales (Hiring) | 0.266 | Great (0.06), fit (0.042), sales (0.041), hiring (0.040), opening (0.033) | |
| Ecommerce (0.390) | Sales (Online) | 0.523 | Wish (0.023), summer (0.01), kid (0.01), online (0.006), sale (0.006) |
| Customer Services (Item Delivery) | 0.192 | customer service (0.025), item (0.01), hiring (.078), team (0.05) |
Publisher’s Note: MDPI stays neutral with regard to jurisdictional claims in published maps and institutional affiliations. |
© 2021 by the authors. Licensee MDPI, Basel, Switzerland. This article is an open access article distributed under the terms and conditions of the Creative Commons Attribution (CC BY) license (https://creativecommons.org/licenses/by/4.0/).
Share and Cite
Alam, M.R.; Sadri, A.M.; Jin, X. Identifying Public Perceptions toward Emerging Transportation Trends through Social Media-Based Interactions. Future Transp. 2021, 1, 794-813. https://doi.org/10.3390/futuretransp1030044
Alam MR, Sadri AM, Jin X. Identifying Public Perceptions toward Emerging Transportation Trends through Social Media-Based Interactions. Future Transportation. 2021; 1(3):794-813. https://doi.org/10.3390/futuretransp1030044
Chicago/Turabian StyleAlam, Md Rakibul, Arif Mohaimin Sadri, and Xia Jin. 2021. "Identifying Public Perceptions toward Emerging Transportation Trends through Social Media-Based Interactions" Future Transportation 1, no. 3: 794-813. https://doi.org/10.3390/futuretransp1030044
APA StyleAlam, M. R., Sadri, A. M., & Jin, X. (2021). Identifying Public Perceptions toward Emerging Transportation Trends through Social Media-Based Interactions. Future Transportation, 1(3), 794-813. https://doi.org/10.3390/futuretransp1030044

