Evaluating Scaling Frameworks for Multiscale Geomorphometric Analysis
Abstract
:1. Introduction
2. Background
2.1. Resolution Methods
2.2. Spatial Filtering
2.3. Spectral Methods
2.4. Recursive Methods
3. Materials and Methods
3.1. Study Site and Source Data
3.2. Comparing Scales
3.3. Evaluation
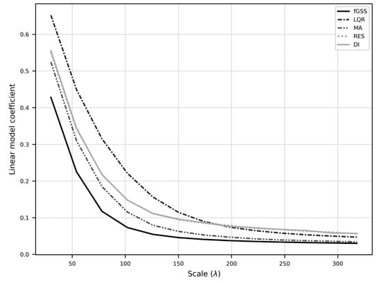
4. Results
5. Discussion
6. Conclusions
Author Contributions
Funding
Institutional Review Board Statement
Informed Consent Statement
Data Availability Statement
Acknowledgments
Conflicts of Interest
References
- Moore, I.D.; Grayson, R.B.; Ladson, D.A.R. Digital Terrain Modelling: A Review of Hydrological, Geomorphological, and Biological Applications. Hydrol. Process. 1991, 5, 3–30. [Google Scholar] [CrossRef]
- Florinsky, I.V. An Illustrated Introduction to General Geomorphometry. Prog. Phys. Geogr. Earth Environ. 2017, 41, 723–752. [Google Scholar] [CrossRef]
- Pike, R.J. Geomorphometry: Progress, Practice and Prospect. Z. Fur Geomorphol. NF Suppl. 1995, 101, 221–238. [Google Scholar]
- Goodchild, M.F. Scale in GIS: An Overview. Geomorphology 2011, 130, 5–9. [Google Scholar] [CrossRef]
- Pike, R.J.; Evans, I.S.; Hengl, T. Geomorphometry: A Brief Guide. Dev. Soil Sci. 2009, 33, 3–30. [Google Scholar] [CrossRef]
- Olaya, V. Basic Land-Surface Parameters. In Developments in Soil Science; Elsevier Ltd.: Amsterdam, The Netherlands, 2009; Volume 33, pp. 141–169. [Google Scholar] [CrossRef]
- Deng, Y.; Wilson, J.P.; Bauer, B.O. DEM Resolution Dependencies of Terrain Attributes across a Landscape. Int. J. Geogr. Inf. Sci. 2007, 21, 187–213. [Google Scholar] [CrossRef]
- De Reu, J.; Bourgeois, J.; Bats, M.; Zwertvaegher, A.; Gelorini, V.; De Smedt, P.; Chu, W.; Antrop, M.; De Maeyer, P.; Finke, P.; et al. Application of the Topographic Position Index to Heterogeneous Landscapes. Geomorphology 2013, 186, 39–49. [Google Scholar] [CrossRef]
- Grohmann, C.H.; Smith, M.J.; Riccomini, C. Multiscale Analysis of Topographic Surface Roughness in the Midland Valley, Scotland. IEEE Trans. Geosci. Remote Sens. 2011, 49, 1200–1213. [Google Scholar] [CrossRef] [Green Version]
- Schmidt, J.; Andrew, R. Multi-Scale Landform Characterization. Area 2005, 37, 341–350. [Google Scholar] [CrossRef]
- Sørensen, R.; Seibert, J. Effects of DEM Resolution on the Calculation of Topographical Indices: TWI and Its Components. J. Hydrol. 2007, 347, 79–89. [Google Scholar] [CrossRef]
- Behrens, T.; Schmidt, K.; Ramirez-Lopez, L.; Gallant, J.; Zhu, A.X.; Scholten, T. Hyper-Scale Digital Soil Mapping and Soil Formation Analysis. Geoderma 2014, 213, 578–588. [Google Scholar] [CrossRef]
- Kumar, S.V.; Peters-Lidard, C.D.; Mocko, D. Multiscale Evaluation of the Improvements in Surface Snow Simulation through Terrain Adjustments to Radiation. Hydrometeorology 2013, 14, 220–232. [Google Scholar] [CrossRef]
- Sofia, G.; Pirotti, F.; Tarolli, P. Variations in Multiscale Curvature Distribution and Signatures of LiDAR DTM Errors. Earth Surf. Process. Landf. 2013, 38, 1116–1134. [Google Scholar] [CrossRef]
- Dark, S.J.; Bram, D. The Modifiable Areal Unit Problem (MAUP) in Physical Geography. Prog. Phys. Geogr. 2007, 31, 471–479. [Google Scholar] [CrossRef] [Green Version]
- Minár, J.; Evans, I.S.; Jenčo, M. A Comprehensive System of Definitions of Land Surface (Topographic) Curvatures, with Implications for their Application in Geoscience Modelling and Prediction. Earth-Sci. Rev. 2020, 211, 103414. [Google Scholar] [CrossRef]
- Grohmann, C.H. Effects of Spatial Resolution on Slope and Aspect Derivation for Regional-Scale Analysis. Comput. Geosci. 2015, 77, 111–117. [Google Scholar] [CrossRef] [Green Version]
- Rees, W.G. The Accuracy of Digital Elevation Models Interpolated to Higher Resolutions. Int. J. Remote Sens. 2000, 21, 7–20. [Google Scholar] [CrossRef]
- Fotheringham, S.A.; Brunsdon, C. Local Forms of Spatial Analysis. Geogr. Anal. 1999, 31, 340–358. [Google Scholar] [CrossRef]
- Wood, J. The Geomorphological Characterisation of Digital Elevation Models; University of Leicester: Leicester, UK, 1996. [Google Scholar]
- Arrell, K.; Wise, S.; Wood, J.; Donoghue, D. Spectral Filtering as a Method of Visualizing and Removing Striped Artifacts in Digital Elevation Data. Earth Surf. Process. Landf. 2008, 33, 943–961. [Google Scholar] [CrossRef] [Green Version]
- Clarke, K.C. Scale-Based Simulation of Topographic Relief. Cartogr. Geogr. Inf. Sci. 1988, 15, 173–181. [Google Scholar] [CrossRef]
- Cao, W.; Cai, Z.; Ye, B. Measuring Multiresolution Surface Roughness Using V-System. IEEE Trans. Geosci. Remote Sens. 2018, 56, 1497–1506. [Google Scholar] [CrossRef]
- Chen, Y.; Zhou, Q. A Scale-Adaptive DEM for Multi-Scale Terrain Analysis. Int. J. Geogr. Inf. Sci. 2013, 27, 1329–1348. [Google Scholar] [CrossRef]
- Florinsky, I.V.; Pankratov, A.N. A Universal Spectral Analytical Method for Digital Terrain Modeling. Int. J. Geogr. Inf. Sci. 2016, 30, 2506–2528. [Google Scholar] [CrossRef]
- Newman, D.R.; Lindsay, J.B.; Cockburn, J.M.H. Evaluating Metrics of Local Topographic Position for Multiscale Geomorphometric Analysis. Geomorphology 2018, 312, 40–50. [Google Scholar] [CrossRef]
- Lindsay, J.B.; Cockburn, J.M.H.; Russell, H.A.J. An Integral Image Approach to Performing Multi-Scale Topographic Position Analysis. Geomorphology 2015, 245, 51–61. [Google Scholar] [CrossRef]
- Lloyd, C.D. Exploring Spatial Scale in Geography; John Wiley & Sons: Chichester, UK, 2014. [Google Scholar] [CrossRef]
- Kidner, D.B.; Ware, J.M.; Sparkes, A.J.; Jones, C.B. Multiscale Terrain and Topographic Modelling with the Implicit TIN. Trans. GIS 2000, 4, 379–408. [Google Scholar] [CrossRef]
- Florinsky, I.V. Errors of Signal Processing in Digital Terrain Modelling. Int. J. Geogr. Inf. Sci. 2002, 16, 475–501. [Google Scholar] [CrossRef]
- Li, X.; Shen, H.; Feng, R.; Li, J.; Zhang, L. DEM Generation from Contours and a Low-Resolution DEM. ISPRS J. Photogramm. Remote Sens. 2017, 134, 135–147. [Google Scholar] [CrossRef]
- Okwuashi, O.; Ndehedehe, C. Digital Terrain Model Height Estimation Using Support Vector Machine Regression. S. Afr. J. Sci. 2015, 111, 1–5. [Google Scholar] [CrossRef] [Green Version]
- Bian, L.; Butler, R. Comparing Effects of Aggregation Methods on Statistical and Spatial Properties of Simulated Spatial Data. Photogramm. Eng. Remote Sens. 1999, 65, 73–84. [Google Scholar]
- Grohmann, C.H.; Riccomini, C. Comparison of Roving-Window and Search-Window Techniques for Characterising Landscape Morphometry. Comput. Geosci. 2009, 35, 2164–2169. [Google Scholar] [CrossRef] [Green Version]
- Huang, T.S.; Yang, G.J.; Tang, G.Y. A Fast Two-Dimensional Median Filtering Algorithm. IEEE Trans. Acoust. 1979, ASSP-27, 13–18. [Google Scholar] [CrossRef] [Green Version]
- Evans, I.S. An Integrated System of Terrain Analysis and Slope Mapping. Z. Fur Geomorphol. Suppl. Stuttg. 1980, 36, 274–295. [Google Scholar]
- Koenderink, J.J. The Structure of Images. Biol. Cybern. 1984, 50, 363–370. [Google Scholar] [CrossRef] [PubMed]
- Witkin, A.P. Scale-Space Filtering. Read. Comput. Vis. 1987, 329–332. [Google Scholar] [CrossRef]
- Lindeberg, T. Scale-Space for Discrete Signals. IEEE Trans. Pattern Anal. Mach. Intell. 1990, 12, 234–254. [Google Scholar] [CrossRef] [Green Version]
- Lindeberg, T. On the Axiomatic Foundations of Linear Scale-Space: Combining Semi-Group Structure with Causality vs. Scale Invariance. In Gaussian Scale-Space Theory; Springer: Berlin/Heidelberg, Germany, 1997; pp. 75–97. [Google Scholar]
- Babaud, J.; Witkin, A.P.; Baudin, M.; Duda, R.O. Uniqueness of the Gaussian Kernel for Scale-Space Filtering. IEEE Trans. Pattern Anal. Mach. Intell. 1986, PAMI-8, 26–33. [Google Scholar] [CrossRef] [PubMed]
- Florack, L.M.; Romeny, B.M.; Ter, H.; Koenderink, J.J.; Viergever, M.A. The Scale and Differential Structure of Images. Image Vis. Comput. 1992, 10, 376–388. [Google Scholar] [CrossRef]
- Kovesi, P. Arbitrary Gaussian Filtering with 25 Additions and 5 Multiplications per Pixel; Technical Report UWA-CSSE-09-002; CiteSeer, 2009; Available online: https://citeseerx.ist.psu.edu/viewdoc/download?doi=10.1.1.155.354&rep=rep1&type=pdf (accessed on 22 May 2021).
- Drǎguţ, L.; Tiede, D.; Levick, S.R. ESP: A Tool to Estimate Scale Parameter for Multiresolution Image Segmentation of Remotely Sensed Data. Int. J. Geogr. Inf. Sci. 2010, 24, 859–871. [Google Scholar] [CrossRef]
- Tilton, J.C. Method for Recursive Hierarchical Segmentation by Region Growing and Spectral Clustering with a Natural Convergence Criterion. Discl. Invent. New Technol. NASA Case Number GSC 2000, 14, 328–331. [Google Scholar]
- Blaschke, T.; Burnett, C.; Pekkarinen, A. Image Segmentation Methods for Object-Based Analysis and Classification. In Remote Sensing Image Analysis: Including the Spatial Domain; De Jong, S.M., Van Der Meer, F.D., Eds.; Springer: Berlin/Heidelberg, Germany, 2004; pp. 211–236. [Google Scholar]
- Möller, M.; Volk, M. Effective Map Scales for Soil Transport Processes and Related Process Domains-Statistical and Spatial Characterization of Their Scale-Specific Inaccuracies. Geoderma 2015, 247–248, 151–160. [Google Scholar] [CrossRef]
- Năpăruş-Aljančič, M.; Pătru-Stupariu, I.; Stupariu, M.S. Multiscale Wavelet-Based Analysis to Detect Hidden Geodiversity. Prog. Phys. Geogr. 2017, 41, 601–619. [Google Scholar] [CrossRef]
- Wilson, M.F.J.; O’connell, B.; Brown, C.; Guinan, J.C.; Grehan, A.J. Multiscale Terrain Analysis of Multibeam Bathymetry Data for Habitat Mapping on the Continental Slope. Mar. Geod. 2007, 30, 3–35. [Google Scholar] [CrossRef] [Green Version]
- Behrens, T.; Schmidt, K.; MacMillan, R.A.; Viscarra Rossel, R.A. Multi-Scale Digital Soil Mapping with Deep Learning. Sci. Rep. 2018, 8, 1–9. [Google Scholar] [CrossRef] [Green Version]
- Adelson, E.H.; Anderson, C.H.; Bergen, J.R.; Burt, P.J.; Ogden, J.M. Pyramid Methods in Image Processing. RCA Eng. 1984, 29, 33–41. [Google Scholar]
- Crowley, J.L.; Piater, J.H.; Riff, O. Fast Computation of Characteristic Scale Using a Half-Octave Pyramid. In International Conference on Scale-Space Theories in Computer Vision; 2002; Available online: https://iis.uibk.ac.at/public/papers/Crowley-2002-CogVis.pdf (accessed on 22 May 2021).
- Burt, P.J.; Adelson, E.H. The Laplacian Pyramid as a Compact Image Code. IEEE Trans. Commun. 1983, 31, 532–540. [Google Scholar] [CrossRef]
- Konlambigue, S.; Pothin, J.-B.; Honeine, P.; Bensrhair, A. Fast and Accurate Gaussian Pyramid Construction by Extended Box Filtering. In Proceedings of the European Signal Processing Conference, Rome, Italy, 3 September 2018. [Google Scholar]
- Anderson, W.; Chamecki, M. Numerical Study of Turbulent Flow over Complex Aeolian Dune Fields: The White Sands National Monument. Phys. Rev. E-Stat. Nonlinear Soft Matter Phys. 2014, 89, 013005. [Google Scholar] [CrossRef] [PubMed]
- Kocurek, G.; Carr, M.; Ewing, R.; Havholm, K.G.; Nagar, Y.C.; Singhvi, A.K. White Sands Dune Field, New Mexico: Age, Dune Dynamics and Recent Accumulations. Sediment. Geol. 2007, 107, 313–331. [Google Scholar] [CrossRef]
- Kocurek, G. LiDAR Survey of a Portion of the Dune Fields in White Sands National Monument, Utah; National Center for Airborne Laser Mapping: Austin, USA, 2009. [Google Scholar]
- Lindsay, J.B. Whitebox Tool User Manual. Available online: https://whiteboxgeo.com/manual/wbt_book/preface.html (accessed on 4 May 2021).
- Feciskanin, R.; Minár, J. Polygonal Simplification and Its Use in DEM Generalization for Land Surface Segmentation. Trans. GIS 2021, 25, 2361–2375. [Google Scholar] [CrossRef]
- Lindsay, J.B.; Francioni, A.; Cockburn, J.M.H. LiDAR DEM Smoothing and the Preservation of Drainage Features. Remote Sens. 2019, 11, 1926. [Google Scholar] [CrossRef] [Green Version]






| Resolution | Spatial Filter | Spectral | |||
|---|---|---|---|---|---|
| Method | DI | RES | MA | LQR | fGSS |
| Maintains spatial resolution | No | No | No | Yes | Yes |
| Continuous scale | Yes | Yes | No | No | Yes |
| Time complexity order | O (1) | O (1) | O (p2) | O (p2) | O (1) |
Publisher’s Note: MDPI stays neutral with regard to jurisdictional claims in published maps and institutional affiliations. |
© 2022 by the authors. Licensee MDPI, Basel, Switzerland. This article is an open access article distributed under the terms and conditions of the Creative Commons Attribution (CC BY) license (https://creativecommons.org/licenses/by/4.0/).
Share and Cite
Newman, D.R.; Cockburn, J.M.H.; Drǎguţ, L.; Lindsay, J.B. Evaluating Scaling Frameworks for Multiscale Geomorphometric Analysis. Geomatics 2022, 2, 36-51. https://doi.org/10.3390/geomatics2010003
Newman DR, Cockburn JMH, Drǎguţ L, Lindsay JB. Evaluating Scaling Frameworks for Multiscale Geomorphometric Analysis. Geomatics. 2022; 2(1):36-51. https://doi.org/10.3390/geomatics2010003
Chicago/Turabian StyleNewman, Daniel R., Jaclyn M. H. Cockburn, Lucian Drǎguţ, and John B. Lindsay. 2022. "Evaluating Scaling Frameworks for Multiscale Geomorphometric Analysis" Geomatics 2, no. 1: 36-51. https://doi.org/10.3390/geomatics2010003
APA StyleNewman, D. R., Cockburn, J. M. H., Drǎguţ, L., & Lindsay, J. B. (2022). Evaluating Scaling Frameworks for Multiscale Geomorphometric Analysis. Geomatics, 2(1), 36-51. https://doi.org/10.3390/geomatics2010003

