A Short-Term Quantitative Precipitation Forecasting Approach Using Radar Data and a RAP Model
Abstract
1. Introduction
2. Methodology
2.1. The Derived Motion Field of Radar Observations (RADAR)
2.1.1. Radar Data Processing
2.1.2. Motion Field from Centroid Tracking
2.2. Motion Field from the RAP Model
2.3. Combination of Tracking and Model Wind Field
2.4. Precipitation Properties and Prediction
3. Performance Evaluation
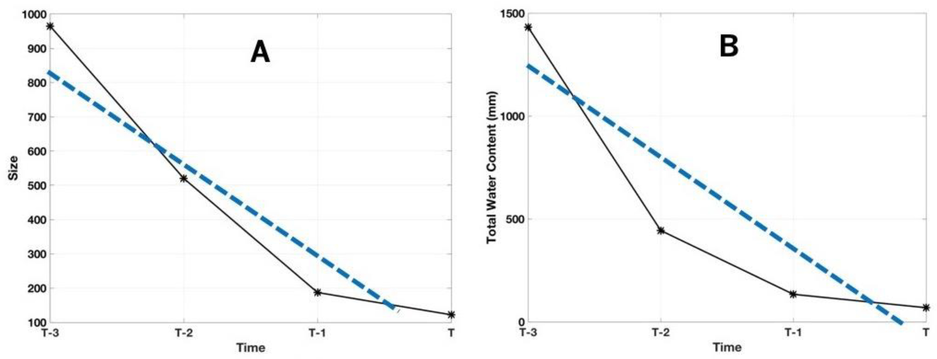
3.1. Hurricane Harvey
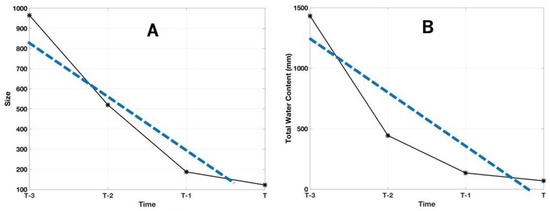
3.2. Hurricane Irma
4. Summary
Author Contributions
Funding
Institutional Review Board Statement
Informed Consent Statement
Data Availability Statement
Conflicts of Interest
References
- Wilson, J.; Crook, N.A.; Mueller, C.K.; Sun, J.; Dixon, M. Nowcasting thunderstorms: A status report. Bull. Amer. Meteor. Soc. 1998, 79, 2079–2099. [Google Scholar] [CrossRef]
- Wilson, J. Thunderstorm nowcasting: Past, present and future. In Proceedings of the 31st Conference on Radar Meteorology, American Meteorological Society, Seattle, WA, USA, 7–12 August 2003. [Google Scholar]
- Rinehart, R.E.; Garvey, E.T. Three-dimensional storm motion detection by conventional weather radar. Nature 1978, 273, 287–289. [Google Scholar] [CrossRef]
- Rinehart, R.E. A pattern recognition technique for use with conventional weather radar to determine internal storm motions. Atmos. Technol. 1981, 13, 119–134. [Google Scholar]
- Bellon, A.; Austin, G.L. The accuracy of short-term rainfall forecasts. J. Hydrol. 1984, 70, 35–49. [Google Scholar] [CrossRef]
- Li, L.; Schmid, W.; Joss, J. Nowcasting of motion of precipitation with radar over complex terrain. J. Appl. Meteor. 1995, 34, 1286–1298. [Google Scholar] [CrossRef]
- Ryall, G.; Conway, B.W. Automated precipitation nowcasting at the UK Met Office. In First European Conf. on Applications of Meteorology; University of Oxford: Oxford, UK, 1994. [Google Scholar]
- Pierce, C.E.; Ebert, E.; Seed, A.W.; Sleigh, M.; Collier, C.G.; Fox, N.I.; Donaldson, N.; Wilson, J.W.; Roberts, R.; Mueller, C.K. The nowcasting of precipitation during Sydney 2000: An appraisal of the QPF algorithm. Weather Forecast. 2004, 21, 7–21. [Google Scholar] [CrossRef]
- Austin, G.L.; Bellon, A. Very-short-range forecasting of precipitation by the objective extrapolation of radar and satellite data; Browning, K.A., Ed.; Nowcasting Academic Press: London, UK, 1982; pp. 177–190. [Google Scholar]
- Rosenfeld, D. Objective method for analysis and tracking of convective cells as seen by radar. J. Atmos. Ocean. Technol. 1987, 4, 422–434. [Google Scholar] [CrossRef]
- Tuttle, J.D.; Foote, G.B. Determination of the boundary layer airflow from a single Doppler radar. J. Atmos. Ocean. Technol. 1989, 7, 218–232. [Google Scholar] [CrossRef]
- Dixon, M.; Weiner, G. TITAN: Thunderstorm Identification, Tracking Analysis and Nowcasting—A radar-based methodology. J. Atmos. Ocean. Technol. 1993, 10, 785–797. [Google Scholar] [CrossRef]
- Johnson, J.T.; Mackeen, P.L.; Witt, A.; Mitchell, D.; Stumpf, G.J.; Eilts, M.D.; Thomas, K.W. The storm cell identification and tracking algorithm: An enhanced WSR-88D algorithm. Weather Forecast. 1998, 13, 263–276. [Google Scholar] [CrossRef]
- Lakshmanan, V.; Smith, T. An objective method of evaluating and devising storm-tracking algorithms. Weather Forecast. 2010, 25, 701–709. [Google Scholar] [CrossRef]
- Bowler, N.E.; Pierce, C.E.; Seed, A.W. SETPS: A probabilistic precipitation forecasting scheme which merges an extrapolation nowcast with downscaled NWP. Quart. J. Roy. Meteor. Soc. 2006, 132, 2127–2155. [Google Scholar] [CrossRef]
- Bellon, A.; Zawadzki, I.; Kilambi, A.; Lee, H.C.; Lee, Y.H.; Lee, G. McGill algorithm for precipitation nowcasting by Lagrangian extrapolation (MAPLE) applied to the South Korean radar network. Part I: Sensitivity studies of the Variational Echo Tracking (VET) technique. Asia Pac. J. Atmos. Sci. 2010, 46, 369–381. [Google Scholar] [CrossRef]
- Atencia, A.; Zawadzki, I. A comparison of two techniques for generating nowcasting ensembles. Part I: Lagrangian ensemble technique. Mon. Wea. Rev. 2014, 142, 4036–4052. [Google Scholar] [CrossRef]
- Germann, U.; Zawadzki, I. Scale dependence of the predictability of precipitation from continental radar images. Part II: Probability forecasts. J. Appl. Meteor. 2004, 43, 74–89. [Google Scholar] [CrossRef]
- Li., P.W.; Wong, W.K.; Lai, S.T. RAPIDS-A new rainstorm nowcasting system in Hong Kong. In Proceedings of the WMO/WWRP International Symposium on Nowcasting and Very-Short-Range Forecasting, Toulouse, France, 5–9 September 2005; HongKong Observatory Toulouse. [Google Scholar]
- Seed, A.W. A dynamic and spatial scaling approach to advection forecasting. J. Appl. Meteor. 2003, 42, 381–388. [Google Scholar] [CrossRef]
- Tang, L.; Zhang, J.; Langston, C.; Krause, J.; Howard, K.; Lakshmanan, V. A physically based precipitation-nonprecipitation radar echo classifier using polarimetric and environmental data in a real-time national system. Weather Forecast. 2014, 29, 1106–1118. [Google Scholar] [CrossRef]
- Jameson, A.R. The effect of temperature on attenuation correction schemes in rain using polarization propagation differential phase shift. J. Appl. Meteor. 1992, 31, 1106–1118. [Google Scholar] [CrossRef]
- Carey, L.D.; Rutledge, S.A.; Ahijevych, D.A.; Keenan, T.D. Correcting propagation effects in C-band polarimetric radar observations of tropical convection using differential propagation phase. J. Appl. Meteor. 2000, 39, 1405–1433. [Google Scholar] [CrossRef]
- Testud, J.E.; Bouar, L.; Obligis, E.; Ali-Mehenni, M. The rain profiling algorithm applied to polarimetric weather radar. J. Atmos. Ocean. Technol. 2000, 17, 322–356. [Google Scholar] [CrossRef]
- Park, S.G.; Maki, M.; Iwanami, K.; Bringi, V.N.; Chandrasekar, V. Correction of radar reflectivity and differential reflectivity for rain attenuation at X-band. Part II: Evaluation and application. J. Atmos. Ocean. Technol. 2005, 22, 1633–1655. [Google Scholar] [CrossRef]
- Giangrande, S.; Ryzhkov, A. Estimation of rainfall based on the results of polarimetric echo classification. J. Appl. Meteor. 2008, 47, 2445–2462. [Google Scholar] [CrossRef]
- Zhang, J.; Howard, K.; Langston, C.; Kaney, B.; Qi, Y.; Tang, L.; Grams, H.; Wang, Y.; Cocks, S.; Martinaitis, S.; et al. Multi-radar multi-sensor (MRMS) quantitative precipitation estimation: Initial operating capabilities. Bull. Amer. Meteor. Soc. 2016, 97, 621–638. [Google Scholar] [CrossRef]
- Han, L.; Fu, S.; Zhao, L.; Zhang, Y.; Wang, H.; Lin, Y. 3D convective storm identification, tracking, and forecasting—an enhanced TITAN algorithm. J. Atmos. Ocean. Technol. 2008, 26, 719–732. [Google Scholar] [CrossRef]
- Spath, H. Cluster Dissection and Analysis: Theory, FORTRAN Programs, Examples; Goldschmidt, J., Translator, Eds.; Halsted Press: New York, NY, USA, 1985. [Google Scholar]
- Arthur, D.; Vassilvitskii, S. K-means++: The Advantages of Careful Seeding. In Proceedings of the Eighteenth Annual ACM-SIAM Symposium on Discrete Algorithms, New Orleans, LA, USA, 7–9 January 2007; pp. 1027–1035. [Google Scholar]
- Stanley, G.B.; Weygandt, S.S.; Brown, J.M.; Hu, M.; Alexander, C.R.; Smirnova, T.G.; Olson, J.B.; James, E.P.; Dowell, D.C.; Grell, G.A.; et al. A north American hourly assimilation and model forecast cycle: The rapid refresh. Mon. Wea. Rev. 2016, 144, 1669–1694. [Google Scholar]
- Mitchell, E.D.; Vasiloff, S.V.; Stumpf, G.J.; Witt, A.; Eilts, M.D.; Johnson, J.T.; Thomas, K.W. The National Severe Storm Laboratory tornado detection algorithm. Weather Forecast. 1998, 13, 352–366. [Google Scholar] [CrossRef]












Publisher’s Note: MDPI stays neutral with regard to jurisdictional claims in published maps and institutional affiliations. |
© 2021 by the authors. Licensee MDPI, Basel, Switzerland. This article is an open access article distributed under the terms and conditions of the Creative Commons Attribution (CC BY) license (https://creativecommons.org/licenses/by/4.0/).
Share and Cite
Wang, Y.; Tang, L. A Short-Term Quantitative Precipitation Forecasting Approach Using Radar Data and a RAP Model. Geomatics 2021, 1, 310-323. https://doi.org/10.3390/geomatics1020017
Wang Y, Tang L. A Short-Term Quantitative Precipitation Forecasting Approach Using Radar Data and a RAP Model. Geomatics. 2021; 1(2):310-323. https://doi.org/10.3390/geomatics1020017
Chicago/Turabian StyleWang, Yadong, and Lin Tang. 2021. "A Short-Term Quantitative Precipitation Forecasting Approach Using Radar Data and a RAP Model" Geomatics 1, no. 2: 310-323. https://doi.org/10.3390/geomatics1020017
APA StyleWang, Y., & Tang, L. (2021). A Short-Term Quantitative Precipitation Forecasting Approach Using Radar Data and a RAP Model. Geomatics, 1(2), 310-323. https://doi.org/10.3390/geomatics1020017
