Abstract
Helping people with intellectual and visual disabilities engage in activity and mobility is considered crucially important to promote constructive occupation and a basic form of physical exercise (i.e., objectives that are essential for the individuals’ wellbeing and in line with their rights). This study assessed two new programs aimed at helping eight participants with intellectual and visual disabilities (four in each program) to independently move through specific indoor destinations, collect and transport objects, and access stimulation events (e.g., music) with the support of technology systems involving a smartphone linked to mini cameras and speakers. The second program was more advanced than the first and (a) required the participants to discriminate the objects used and transport two (rather than one) of them before any stimulation event, and (b) included telephone calls to and stories from preferred communication partners among the stimulation events. Each program was implemented using a single-case research design (i.e., a non-concurrent multiple baseline design across participants). The results showed that both programs were effective in enabling the participants to collect, transport, and put away objects and access stimulation independently during 20-min sessions. Based on the results, both programs might be considered useful tools to help people with intellectual and visual disabilities manage independent activity and mobility.
1. Introduction
Individuals with severe to moderate intellectual disability and blindness or extensive visual impairment are often unable to engage in activity (object use) when this requires mobility, even if mobility concerns only relatively small indoor areas [1,2,3,4]. Indeed, they may have serious difficulties finding and using the objects involved in the activity (i.e., orienting to the areas from which the activity-related objects are to be taken, and taking and transporting the objects to the areas where they are to be put away) [5,6,7,8,9]. Given these difficulties, support for activity and mobility is viewed as critically important to promote constructive occupation and a basic form of physical exercise (i.e., objectives that are essential for the individuals’ wellbeing and in line with their rights) [7,10,11,12,13,14,15,16,17].
In order to be effective, support may need to incorporate three basic components. The first component would be the availability of instructions concerning the actions/responses the individuals have to carry out (e.g., taking objects and putting away objects) [18,19,20]. The second component would involve the presence of spatial cues (i.e., cues that may be critical to ensure the individuals’ successful spatial orientation and mobility) [8,16,18,21]. The third component would entail the accessibility to pleasant events in connection with the actions/responses carried out (i.e., events that may have reinforcing value and motivate the individuals to carry out those actions and follow the spatial cues guiding them in the process) [22,23,24,25].
Ensuring the availability of the aforementioned three support components on a daily basis to promote the individuals’ engagement in activity and mobility may be a critical condition to guarantee the individuals’ rights [10,15,26]. It might also represent a rather costly operation in terms of staff time and might prove to be beyond the practical resources of many daily contexts [25,27,28,29]. A possible way to alleviate this problem may involve the use of technology as a support tool [21,30,31,32,33,34]. Indeed, several technology-aided programs have been developed that were designed to ensure the availability of the aforementioned support components and promote the participants’ performance independent of staff or caregivers’ direct supervision [19,35,36,37].
For example, Lancioni et al. [35] reported a program that relied on the use of a smartphone linked to motion sensors and mini speakers. At the start of a session, the participant received the instruction to collect an object. This was followed by the activation of a mini speaker calling the participant to the station where the object was to be collected. When the participant reached that station (i.e., was detected by the motion sensor available there), the mini speaker provided praise and repeated the instruction to collect the object. At that point, the participant was to collect and carry the object to a central/storage desk. When the participant reached the central desk (i.e., was detected by the sensor available there), the mini speaker delivered a brief period of preferred stimulation and then presented the instruction to go and collect another object. The process for this object and all the others that were to be collected and transported within the session was the same as that described for the first.
Lancioni et al. [36] set up a program that relied on the same technology described above, but the participant was supported in activity engagement that involved differential use of objects. The participant was initially called through the mini speaker of a desk that had two containers, each of which included a specific group of objects and a motion sensor. When a participant reached the desk, the mini speaker presented praise and the instruction to take an object. Taking an object from one of the containers activated the sensor fixed inside that container. Based on the sensor activated, the system determined which type of object the participant had taken and thus switched on the mini speaker of the destination where that object was to be transported and deposited. Once the participant reached the destination, the mini speaker delivered praise, the instruction to put away the object, and a brief period of preferred stimulation. This was followed by a new activation of the mini speaker at the central desk, and the process continued as described above until the end of the session.
Both programs were reported to be helpful in supporting the participants to move through indoor destinations and collect, transport, and put away objects correctly. These results suggest that it is possible to (a) improve the condition of people with extensive disabilities in areas that are relevant for their developmental progress and general wellbeing, and thus (b) uphold their rights to pursue meaningful personal and rehabilitative goals. The purpose of this study was to advance previous research by assessing two new technology-aided programs that introduced technological and procedural updates. The first new program (simpler than those described above) assisted the participants in moving through specific indoor destinations for collecting and transporting objects and accessing stimulation events, and it relied on easy-to-use wireless mini cameras (instead of the relatively complex motion sensors used previously) for monitoring the participants’ mobility. The second (more advanced) new program differed from the first and those described above in that it (a) required the participants to discriminate the objects to be transported and the containers where those objects were to be deposited at the final destination, (b) scheduled stimulation events after every two responses (rather than after every single response), and (c) introduced telephone calls to and stories from preferred communication partners among the stimulation events. The hypothesis was that these new programs would be effective in helping participants manage successful occupation and mobility (in addition to stimulation access) and could, thus, become important tools to reach a wide range of individuals and enhance the practicality of the intervention approach. Each new program was assessed with four participants using a single-case research design (i.e., a non-concurrent multiple baseline design across participants).
2. Method
2.1. Participants
The first four participants listed in Table 1 (i.e., Demi, Mabel, Leon, and Weston) were involved in the first, simpler program while the last four participants (i.e., Jade, Stevie, Nathan, and Brielle) were involved in the second, more advanced program. All reported names are pseudonyms. Their chronological ages varied between 24 and 56 years. Two of the participants (i.e., Leon and Jade) had minimal residual vision while the others were blind. Their Vineland age equivalents assessed via the second edition of the Vineland Adaptive Behavior Scales [38,39] ranged from 2 years and 10 months to 4 years on daily living skills (personal sub-domain), from 2 years to 4 years and 3 months on receptive communication, and from 1 to 4 years on expressive communication (see Table 1). All participants attended care and rehabilitation centers and had previous experience with intervention approaches aimed at promoting their occupation and mobility through staff supervision and technology support. Given their general condition, no formal intelligence testing had been carried out. Yet, the psychological services of the centers they attended had estimated their functioning to be at a severe or severe-to-profound level of intellectual disability (first four participants) and severe or severe-to-moderate level of intellectual disability (last four participants).
Table 1.
Participants listed with their pseudonyms, chronological age, and Vineland age equivalents for daily living skills (personal sub-domain) (DLSP), Receptive Communication (RC), and Expressive Communication (EC).
The participants were recruited for the study based on the following conditions. First, they were willing to engage in functional activity and mobility when supported by staff prompts/guidance. Yet, they tended to be disengaged from any functional activity or mobility (remaining largely sedentary) when no support was available. Second, they were capable of following auditory cues to orient and move within indoor areas. Third, they could respond to simple verbal instructions requiring them to collect or put away an object. Fourth, they were known to enjoy environmental stimuli like music and songs (e.g., showing signs of happiness such as smiles in relation to the stimuli). Three of the last four participants (i.e., Stevie, Nathan, and Brielle) were also known to enjoy telephone calls with preferred family and staff partners in spite of their limited communication skills (see Table 1). The other participant (Jade) enjoyed listening to brief stories (i.e., audio-recordings of preferred partners speaking to her about simple, familiar events). Fifth, staff personnel were in favor of technology-aided programs that would support the participants’ functional use of objects and mobility.
2.2. Ethical Approval and Informed Consent
While the participants’ apparent willingness to be involved in functional activity and mobility could not be taken as a reliable assent to the study, the general view was that being involved in the study would be a positive experience for them. In fact, (a) the responses required of them were straightforward given the support of the technology, and (b) accessing stimulation (music and songs) and calling or listening to stories from preferred partners were considered to be pleasant events. The participants’ legal representatives agreed with the aforementioned view, and they read and signed a consent form on the participants’ behalf. The study complied with the 1964 Helsinki Declaration and its later amendments and was approved by an institutional ethics committee.
2.3. Setting, Sessions, Research Assistants, and Music and Songs
The baseline and intervention sessions were implemented at the centers that the participants attended, typically 4 to 6 days a week. Those sessions were carried out within a large room, in which three specific destinations/desks relevant for the participants’ engagement were arranged. One desk was supplied with a smartphone that the participants could trigger via touch responses. These responses allowed them to access preferred music/song stimulation (first four participants) or preferred music/song stimulation and telephone calls with or brief stories from preferred partners (last four participants). A second desk was supplied with objects that the participants were to collect and transport. A third desk was supplied with one or two containers for the objects transported (see below). The distances from one desk to the next ranged between over 3 and 6 m. The intervention sessions (with programs’ support) were scheduled to last 20 min. However, any object-related response, stimulation period, or call/story started before the 20 min limit would be completed regardless of the extra time it would add. The baseline sessions (without programs’ support) were to last 20 min or until the participants had required the research assistant’s guidance for accessing music/song stimulation and collecting and transporting objects on three successive trials (see below). The research assistants were four females with university education who had experience in using technology-aided programs for people with disabilities and data recording.
A variety of music pieces and songs were recommended by staff and exposed to stimulus preference screening. The screening process involved the presentation of two or three 10 s segments of each of the songs or music pieces for 10 or more non-successive times spread over different assessment occasions [6,40]. A song or music piece was adopted for use during the study if the research assistant and staff member who were in charge of the screening agreed that the participant had a positive reaction (e.g., orienting, smiling, and vocalizing) during 50% or more of the segment presentations [7,23].
2.4. Technology System I
This technology system, which was used for the first program (for the first four participants), included a Samsung Galaxy smartphone with Android 11 operating system, mini cameras, and mini speakers. The smartphone, which had Internet connection, (a) contained a variety of audio files concerning preferred music and songs, verbal instructions, and orientation and encouragement cues, and it (b) was fitted with the MacroDroid application, version 5.27 Pro (ArloSoft, Gillingham, UK) (i.e., an application for Android that makes it possible to build fully automated tasks). Two wireless mini cameras (DEATTI: ZS-GX3S, Zhuhai, China) were available, one at the desk where the participants were to collect the objects and one at the desk where the objects were to be put away. The cameras served to detect the participants’ arrival at the desks and notify it to the MacroDroid application, which was set up to regulate the smartphone and mini speakers’ functioning (see below). Three wireless mini speakers (JBL Go 2 by Harman, Stamford, CT, USA) were available, one per desk, and served to present instructions, orientation cues, and stimulation.
At the start of an intervention session, the participant was verbally instructed via the mini speaker available at the first desk (i.e., the desk with the smartphone) to touch the smartphone. Touching the smartphone (i.e., a foam rubber ring glued around the smartphone’s proximity sensor) activated such sensor and led the smartphone to deliver 15 or 20 s of preferred stimulation (i.e., music and songs). At the end of this stimulation period, the participant was to touch the smartphone again to obtain a new 15 or 20 s stimulation period. If the participant did not do so independently, a verbal instruction to do so was presented by the mini speaker. Following the second stimulation period, the mini speaker at the second desk where the participant was to collect one of the objects (e.g., a bottle of water) was activated. This activation produced one- or two-word calls (e.g., the participant’s name or expressions such as “Come here”) to reach the desk. These calls, which were repeated at intervals of about 5 s, served as encouragements as well as spatial/orientation cues that guided the participant’s movement (travel) in the correct direction. When the participant reached the desk (triggering the mini camera present there), the mini speaker provided verbal praise and the instruction to take an object. This was followed (e.g., after 4 s) by the activation of the mini speaker of the third desk where the participant was to bring and deposit the object just collected. When the participant reached this desk (triggering the related camera), the mini speaker provided verbal praise and the instruction to put the object in the container available there. This was followed by the activation of the mini speaker at the first desk where the smartphone was. The participant was to return to the first desk and touch/activate the smartphone in order to access two new stimulation periods and then proceeded to collect a new object (at the second desk) and transport it and put it away (at the third desk), as described above. The same process continued until a session time limit of 20 min had elapsed. A session always ended at the first desk (i.e., following the stimulation periods).
2.5. Technology System II
This technology system, which was used for the second program (for the last four participants), differed from Technology System I with regard to the smartphone and session arrangements. The smartphone contained (a) a SIM card that allowed the participants to make telephone calls, (b) the telephone numbers of preferred communication partners, (c) audio messages from those partners (that the smartphone could play whenever those partners did not answer a telephone call), and (d) recordings of brief stories.
The sessions differed from those described for Technology System I in two respects. The first difference was that, at the smartphone desk, the participant could have two 20 s periods of music/song stimulation or a combination of one period of music/song stimulation and a telephone call with a preferred family or staff member (i.e., with the telephone call replacing one of the two music/song periods). The latter combination was scheduled to occur one to three times per session, based on what was considered most suitable for the participants and feasible for their communication partners. Jade was an exception to this. She seemed to enjoy listening to brief stories recorded by preferred partners (see Participants) more than making telephone calls. So, those stories replaced for her the telephone calls used for the other participants. There were no time limits for the telephone calls. Stories lasted 1–2 min.
The second difference concerned the objects and responses involved, and the ratio between responses and stimulation. Specifically, the second desk contained two groups of objects. After being called there, the participant was instructed to take an object of a specific group (e.g., a dish) and then was called to the third desk where that object was to be deposited into a specific container. The container was indicated in the instruction the mini speaker provided (e.g., “Put the dish in the box”). Following this response, the participant was called again to the second desk and, once there, was instructed to take an object from the group of objects not used before (e.g., a glass). Then, the participant was called to the third desk and, once there, was provided with the instruction to put the object in the appropriate container (e.g., “Put the glass in the basket”). After the second object had been put away, the participant was called to the first desk where two music/song stimulation periods or a combination of a music/song period plus a telephone call or story were scheduled. Thereafter, the same sequence described above started again and was repeated throughout the session. Different combinations of objects and containers (with related verbal instructions) could be used across sessions.
2.6. Experimental Conditions and Data Analysis
A non-concurrent multiple baseline design across participants [41] was used to assess the impact of each program. That is, each group of four participants started with a baseline phase that included different numbers of sessions for the different participants (i.e., as required by the design) and then proceeded with the intervention phase. The baseline phase did not involve the use of the technology systems described above, whereas the intervention phase relied on the use of those systems. In order to ensure that the research assistants’ implementation of the procedural conditions during the sessions would be accurate (i.e., to ensure high levels of procedural fidelity) [42], two strategies were adopted. The first strategy consisted of having the research assistants rehearse the use of the baseline and intervention procedural conditions and of the technology systems before the beginning of the study. The second strategy consisted of having a study supervisor who had access to video-recordings of the sessions provide regular feedback and guidance to the research assistants to ensure their correct performance.
The participants’ baseline and intervention data were displayed in a graphic format. The differences between phases were evaluated using the Percentage of Non-overlapping Data (PND) method [43]. This method, which is frequently used for the evaluation of single-case research data, allows one to establish for each participant the percentage of intervention data points exceeding the highest baseline value [43].
2.6.1. Baseline Sessions
Five to 10 baseline sessions per participant were available. At the start of each baseline session, the participants were accompanied to the first of the three desks where they found a smartphone containing files of preferred music and songs. They were verbally instructed to touch the smartphone screen, that is, a specific area marked with a tiny sponge, and physically guided to that area to hear music/songs. If the participants did not start any music/song for 20 to 30 s, the research assistant did it for them. Following a 20 to 30 s music/song period, the research assistant instructed the participants to reach the second desk (i.e., the desk where objects were available), take an object, and bring it to the third desk. If the participants did not reach the next desk or did not take an object within 20 to 30 s, the research assistant guided them to do so, to transport the object collected to the third desk, and to return to the smartphone on the first desk. Thereafter, the process/sequence described above started again for a new trial. A session would continue until a 20 min time limit had elapsed or the participants had required the research assistant’s guidance to access music/songs and to reach, collect, and transport an object on three successive trials.
2.6.2. Intervention Sessions
Seventy-three to 107 intervention sessions per participant were available. During the intervention sessions, the aforementioned programs and related technology systems were in use. At the start of a session, the participants were accompanied to the first desk containing the smartphone. The mini speaker available at the desk provided them with the instruction to touch the smartphone. Touching the smartphone (i.e., the foam rubber ring around its proximity sensor) caused 15 or 20 s of preferred music/song stimulation. At the end of it, the participants were to touch/activate the smartphone again on their own initiative or following the mini speaker’s instruction to do so. This led to an additional stimulation period. Thereafter, the participants were to collect an object (first four participants) or two objects, one at a time (last four participants), from the second desk and transport and deposit the object(s) in the container(s) available there (see Technology System I and Technology System II). Following this, the participants were called back to the first desk and instructed to touch the smartphone. This led to two music/song stimulation periods or to a combination of one music/song period and a telephone call or story (with this combination option available only in the second program; see Technology System II) and then the request to transport one or two objects. The process continued throughout the 20 min session. No research assistant’s guidance was available during the intervention sessions unless the participants failed to make progress for more than 1 min.
The intervention sessions were preceded by 5 to 7 introductory sessions. Initially, the research assistant provided verbal and physical guidance to ensure the participants could use the technology systems accurately. The guidance was gradually faded so that by the end of these sessions, the participants were able to use the systems to (a) access music/song stimulation, telephone calls, or stories, and (b) collect, transport, and put away objects independently.
2.7. Measures and Data Recording
The first measure recorded during the sessions concerned the number of objects collected, transported, and deposited in the container (first four participants) or the appropriate containers (last four participants) available at the third desk. The second measure concerned the number of stimulation periods and telephone calls or stories accessed. For each measure, the frequencies recorded for the sessions concerned the responses performed correctly, independent of the research assistant’s guidance. The third measure concerned the number of the research assistant’s guidance instances. The research assistants, who were in charge of the sessions, also recorded the data. An independent observer was employed to provide a second recording of the data over about 25% of the participants’ sessions. The percentage of interrater agreement (computed by dividing the number of sessions in which the frequencies reported for the single measures by the research assistant and the observer corresponded, by the total number of sessions in which the observer was involved, and multiplying by 100%) was higher than 92% for each of the participants.
3. Results
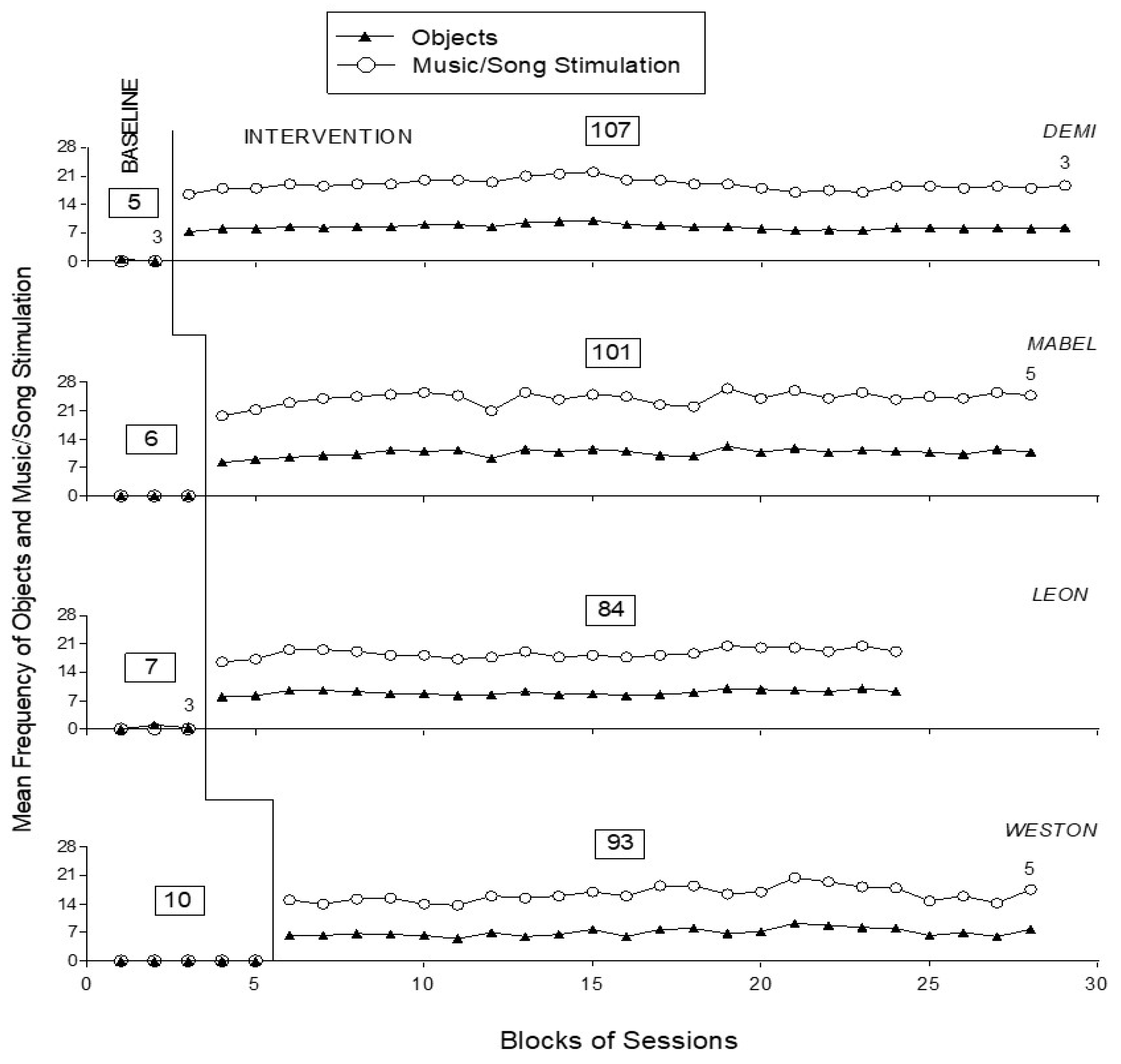
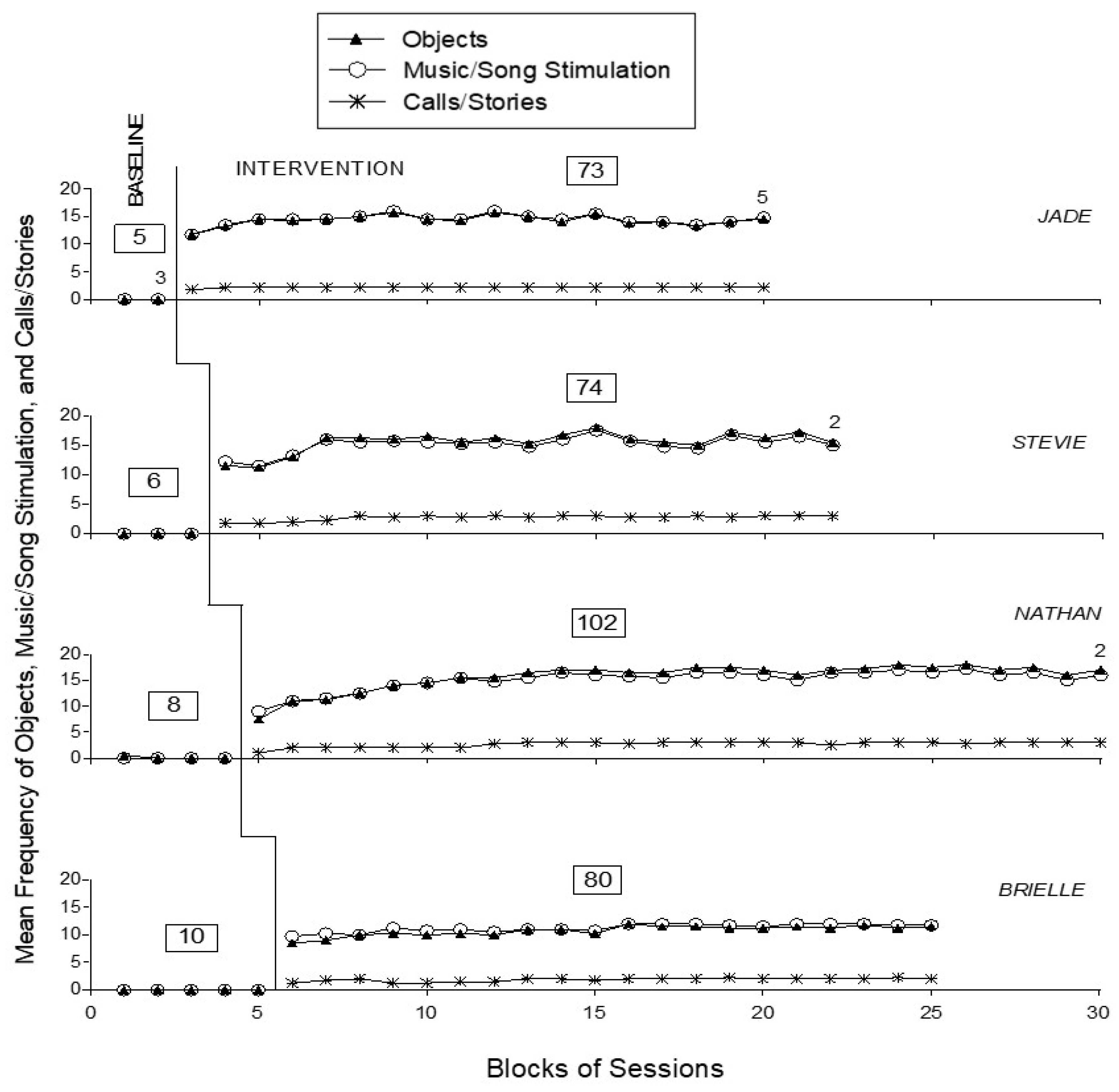
Figure 1 and Figure 2 summarize the baseline and intervention data for the participants of the two programs, respectively. Black triangles and empty circles represent mean frequencies of objects collected, transported, and deposited, and mean frequencies of music/song stimulation periods accessed over blocks of sessions, respectively. The blocks (used to simplify the graphic display of the data) include two sessions during the baseline and four sessions during the intervention. Blocks with different numbers of sessions are marked with a numeral that indicates how many sessions are included. The asterisks available in Figure 2 represent mean frequencies of telephone calls (Stevie, Nathan, and Brielle) or stories (Jade) accessed during the same blocks of sessions. The introductory sessions preceding the regular intervention sessions are not included in the figures.
Figure 1.
The four panels summarize the baseline and intervention data for the participants using the first program. Black triangles and empty circles represent mean frequencies of objects collected, transported, and deposited, and mean frequencies of music/song stimulation periods accessed over blocks of sessions, respectively. Blocks include two sessions during the baseline and four sessions during the intervention. Blocks with different numbers of sessions are marked with a numeral that indicates how many sessions are included. The numerals inside boxes indicate how many baseline and intervention sessions the participants received.
Figure 2.
The four panels summarize the baseline and intervention data for the participants using the second program. Black triangles, empty circles, and numerals above session blocks and inside boxes are used as in Figure 1. Asterisks represent mean frequencies of telephone calls (Stevie, Nathan, and Brielle) or stories (Jade) accessed within the blocks of sessions.
During the baseline sessions, none of the participants of the two groups was able to use the smartphone and access music/song stimulation independently. Three of them (Demi, Leon, and Nathan) managed to independently collect, transport, and deposit one to three objects throughout all the sessions of the phase. During the introductory sessions, the participants of both groups learned to use the technology system available in their program and, thus, to (a) collect, transport, and deposit objects and (b) access the music/song stimulation or such stimulation plus telephone calls or stories independent of the research assistant’s guidance.
During the intervention sessions with the first program (see Figure 1), the participants’ mean frequency of objects collected, transported, and deposited in the container of the third desk varied between about 7 (Weston) and 10.5 (Mabel) per session. Their mean frequency of music/song periods accessed varied between about 16.5 (Weston) and 24 (Mabel) per session. Instances of a research assistant’s guidance were (nearly) absent for Demi and Leon and sporadic for Mabel and Weston.
During the intervention sessions with the second program (see Figure 2), the participants’ mean frequency of objects collected, transported, and deposited in the two containers of the third desk ranged between about 11 (Brielle) and 15.5 (Stevie and Nathan) per session. The mean frequency of music/song periods accessed was very similar to that of the objects transported and deposited in the containers. The mean frequency of telephone calls or stories accessed ranged between close to 2 (Brielle) and above 2.5 (Stevie and Nathan) per session. Instances of a research assistant’s guidance were (nearly) absent.
The PND method produced an index of 1 for all participants of each of the two programs. This index (a) confirms that the participants’ intervention frequencies of objects correctly used and music/song periods accessed always exceeded their highest baseline session frequencies, and thus (b) indicates a strong impact of the programs.
4. Discussion
The results suggest that the two programs were, as initially hypothesized, effective in helping participants to perform functional occupational responses involving orientation and mobility (i.e., collecting, transporting, and putting away objects) and to access preferred events (i.e., music/songs or both music/songs and calls with or stories from preferred communication partners). These results expand previous evidence in the area in terms of technology components and performance achievements and, thus, portray the new programs as valuable tools for supporting successful occupation and mobility (in addition to stimulation access) in people with extensive disabilities [31,32,35,36,44,45]. In light of the above, a few considerations may be helpful.
First, the technology components used for the programs (i.e., a smartphone fitted with the MacroDroid application, two mini cameras, and three mini speakers) are all commercially available and, thus, readily accessible. It might also be noted that the mini cameras are more practical, easier to use across settings, and cheaper than the Philips motion sensors adopted in previous studies in the area [19,35,36]. The overall cost of the systems may be approximately USD 450, with about USD 200 for the smartphone, USD 120 for the mini cameras, USD 120 for the mini speakers, and less than USD 10 for the MacroDroid application.
Second, the technology systems might be arranged in such a way that their daily use in care and rehabilitation contexts would not require staff to carry out time-consuming or difficult resetting operations (e.g., operations regarding objects and instructions to be used in the sessions). In fact, one could store in advance a variety of different sequences in terms of objects and instructions, and regular staff could set up any of those sequences on any given day by simply entering the sequence’s identifying letter or number code. This practicality aspect together with the relatively low cost could make the systems a fairly suitable and acceptable resource for daily contexts [46,47,48,49].
Third, while the first program may represent a form of systematic replication of previous programs, introducing functional and practical changes in terms of stimulation conditions and technology, the second program may be viewed as a new support tool for a group of people not served by existing programs. This group of people (including our last four participants) have higher prospects in terms of activities and contact with preferred partners than those involved in the first program or previous related programs (and, thus, would find those programs limited) [35,36]. At the same time, they are apparently unable (do not possess the response skills needed) to use more advanced, existing programs focusing on combinations of multistep activities, leisure, and communication [50].
Fourth, it seems reasonable to argue that the new programs’ basic features, that is, encouragements and spatial cues, instructions to take or put away objects, preferred music/song stimulation, and telephone calls or stories were responsible for the positive results obtained. For example, the encouragements and spatial cues seemed adequate to prompt the participants to orient and move/walk to the desks [5,21,35]. The praise the participants received at their arrival at the second and third desks was deemed to work as positive feedback marking the completion of a correct move [35,51]. The preferred music/song stimulation was most likely a pleasing (reinforcing) event that motivated the participants to enter the sessions and complete the response sequences [24]. The telephone calls and stories were thought to add to the pleasure (and motivation) provided by the music/song stimulation while offering the participants an extra opportunity of social contact with preferred partners [13,14,15,22,24].
Fifth, any program that helps the participants to successfully perform the responses required and enables them to access multiple positive events can be considered user-friendly [19,52,53]. Indeed, avoiding (minimizing) performance failures can eliminate or largely curtail any participants’ anxiety and stress about the tasks on hand and, thus, can improve the quality of their engagement [5,36,54,55,56]. Access to positive events can result in enjoyment and motivation to maintain correct performance, thus enhancing their occupational level and eventually their overall quality of life [19,57,58].
Sixth, this study does not provide guidelines regarding the types (range) of activities that might be supported through the programs reported or regarding the distances that the participants might walk within the sessions (i.e., the level of physical engagement they might reach). It seems reasonable to argue that the complexity of the activities, the dimensions and structure of the setting (e.g., with the inclusion of one or more rooms), and the distances to walk need to be tailored to the participants’ characteristics, particularly to their motor and occupation skills and their motivation levels [59].
Limitations and Future Research
The study’s main limitations concern (a) the small number of participants involved in the evaluation of the two programs, (b) the lack of assessment of participants’ mood, and (c) the absence of a social validation of the programs and of an analysis of their possible integration within daily contexts. The first limitation prevents one from making general statements about the programs and calls for replication studies to determine the strength of the present data and their practical implications [60,61,62]. Those new studies could also examine the issues of performance maintenance and generalization [22,24].
To address the second limitation, new studies could include the recording of the participants’ indices of happiness (e.g., smiles) during the sessions with the systems and during other daily situations and so determine whether those sessions contribute to improving the participants’ mood and have a possible impact on their overall quality of life [63,64,65]. Regarding the sessions with the systems, new studies could also determine whether the availability of choice (e.g., choice of music and communication partners) would have an impact on mood [66,67].
With regard to the third limitation, a social validation of the programs may be carried out by surveying staff personnel working with people with severe intellectual and multiple disabilities. In practice, staff personnel might be presented with videos of sessions involving the use of the programs and then invited to provide their opinion on the overall relevance, acceptability, and applicability of those programs [68,69]. An analysis of possible ways of integrating the programs into daily contexts may require the involvement of staff, caregivers, and other service providers in focus groups addressing that specific question [70,71].
5. Conclusions
In conclusion, the results of this study (a) show, in line with the initial hypothesis, that the new programs were effective in helping the participants perform occupational responses involving the use of objects and mobility and access preferred stimulation (or even telephone calls and stories) independently, and (b) suggest that those programs may represent functional tools to reach a wide range of individuals and contribute to their developmental progress and wellbeing. While the findings appear to be encouraging and practically relevant, caution is required in making definite statements about them until the limitations of this study have been addressed and additional evidence is available.
Author Contributions
G.E.L. was responsible for conceiving and setting up the study, acquiring and analyzing the data, and writing the manuscript. N.N.S., M.F.O., and J.S. collaborated in setting up the study, analyzing the data, and writing/editing the manuscript. G.A., V.C., and S.D. contributed in working out the technology aspects, acquiring and analyzing the data, and editing the manuscript. All authors have read and agreed to the published version of the manuscript.
Funding
This research received no external funding.
Institutional Review Board Statement
The study was approved by the Ethics Committee of the Lega F. D’Oro, Osimo (AN), Italy (P090920223). All procedures performed were in accordance with the ethical standards of the institutional and/or national research committee and with the 1964 Helsinki Declaration and its later amendments or comparable ethical standards.
Informed Consent Statement
The participants’ legal representatives provided written informed consent for the participants’ involvement in the study.
Data Availability Statement
The original data contributions presented in the study are reproduced in the graphs included in the article. Datasets are available from the authors on request.
Conflicts of Interest
The authors report no conflicts of interest.
References
- Chang, Y.-J.; Wang, T.-Y. Indoor wayfinding based on wireless sensor networks for individuals with multiple special needs. Cybern. Syst. 2010, 41, 317–333. [Google Scholar] [CrossRef]
- Dijkhuizen, A.; Hilgenkamp, T.I.; Krijnen, W.P.; van der Schans, C.P.; Waninge, A. The impact of visual impairment on the ability to perform activities of daily living for persons with severe/profound intellectual disability. Res. Dev. Disabil. 2016, 48, 35–42. [Google Scholar] [CrossRef] [PubMed]
- Enkelaar, L.; Oosterom-Calo, R.; Zhou, D.; Nijhof, N.; Barakova, E.; Sterkenburg, P. The LEDs move pilot study: The Light Curtain and physical activity and well-being among people with visual and intellectual disabilities. J. Intellect. Disabil. Res. 2021, 65, 971–988. [Google Scholar] [CrossRef] [PubMed]
- Melville, C.A.; Oppewal, A.; Elinder, L.S.; Freiberger, E.; Guerra-Balic, M.; Hilgenkamp, T.I.; Einarsson, I.; Izquierdo-Gómez, R.H.; Sansano-Nadal, O.; Rintala, P.; et al. Definitions, measurement and prevalence of sedentary behaviour in adults with intellectual disabilities: A systematic review. Prev. Med. 2017, 97, 62–71. [Google Scholar] [CrossRef] [PubMed]
- Lancioni, G.E.; Singh, N.N.; O’Reilly, M.F.; Sigafoos, J.; Boccasini, A.; La Martire, M.L.; Oliva, D.; Lang, R. Orientation technology to help persons with blindness and multiple disabilities manage indoor travel and travel-related anxiety. J. Intellect. Dev. Disabil. 2014, 39, 198–205. [Google Scholar] [CrossRef]
- Lancioni, G.E.; O’Reilly, M.F.; Sigafoos, J.; Alberti, G.; Perilli, V.; Zimbaro, C.; Chiariello, V.; Campodonico, F. Fostering indoor ambulation and object transportation as a form of physical exercise for persons with multiple disabilities. Adv. Neurodev. Disord. 2017, 1, 252–259. [Google Scholar] [CrossRef][Green Version]
- Lancioni, G.E.; Singh, N.N.; O’Reilly, M.F.; Sigafoos, J.; Alberti, G.; Chiariello, V.; Desideri, L. Use of everyday technology to promote ambulation in people with intellectual and multiple disabilities. Technol. Disabil. 2021, 33, 229–236. [Google Scholar] [CrossRef]
- Jarjoura, W. Disorientation and loss of wayfinding in individuals with congenital blindness and other affecting comorbidities. Br. J. Vis. Impair. 2019, 37, 240–247. [Google Scholar] [CrossRef]
- Parker, A.T. Orientation and mobility with persons who are deaf-blind: An initial examination of single-subject design research. J. Vis. Impair. Blind. 2009, 103, 372–377. [Google Scholar] [CrossRef]
- Bantekas, I.; Stein, M.; Anastasiou, D. (Eds.) Commentary on UN Convention on the Rights of Persons with Disabilities; Oxford University Press: Oxford, UK, 2018. [Google Scholar]
- Bouzas, S.; Martínez-Lemos, R.I.; Ayán, C. Effects of exercise on the physical fitness level of adults with intellectual disability: A systematic review. Disabil. Rehabil. 2019, 41, 3118–3140. [Google Scholar] [CrossRef]
- Chan, J. Rights of persons with disabilities: Current status and future directions. Adv. Neurodev. Disord. 2024, 8, 3–6. [Google Scholar] [CrossRef]
- De Beco, G. Intersectionality and disability in international human rights law. Int. J. Hum. Rights 2020, 24, 593–614. [Google Scholar] [CrossRef]
- Hanzen, G.; Waninge, A.; Vlaskamp, C.; van Nispen, R.M.; van der Putten, A.A. Participation of adults with visual and severe or profound intellectual disabilities: Analysis of individual support plans. Res. Dev. Disabil. 2018, 83, 132–141. [Google Scholar] [CrossRef] [PubMed]
- Hanzen, G.; van Nispen, R.M.; Vlaskamp, C.; Korevaar, E.L.; Waninge, A.; van der Putten, A.A. Improving the participation of adults with visual and severe or profound intellectual disabilities: A process evaluation of a new intervention. BMC Health Serv. Res. 2020, 20, 319. [Google Scholar] [CrossRef] [PubMed]
- Nair, V.; Olmschenk, G.; Seiple, W.H.; Zhu, Z. ASSIST: Evaluating the usability and performance of an indoor navigation assistant for blind and visually impaired people. Assist. Technol. 2022, 34, 289–299. [Google Scholar] [CrossRef]
- Torrado, J.C.; Montoro, G.; Gomez, J. Easing the integration: A feasible indoor wayfinding system for cognitive impaired people. Pervasive Mob. Comput. 2016, 31, 137–146. [Google Scholar] [CrossRef]
- Lancioni, G.E.; Singh, N.N.; O’Reilly, M.F.; Sigafoos, J.; Alberti, G.; Campodonico, F.; Perilli, V.; Chiariello, V.; Zimbaro, C. A technology-aided program to support occupational engagement and mobility in persons with multiple disabilities. Front. Public Health 2017, 5, 338. [Google Scholar] [CrossRef]
- Lancioni, G.E.; O’Reilly, M.F.; Sigafoos, J.; Alberti, G.; Tenerelli, G.; Ricci, C.; Marschik, P.B.; Desideri, L. Tying the delivery of activity step instructions to step performance: Evaluating a basic technology system with people with special needs. Adv. Neurodev. Disord. 2021, 5, 488–497. [Google Scholar] [CrossRef]
- O’Neill, B.; Best, C.; O’Neill, L.; Ramos, S.D.; Gillespie, A. Efficacy of a micro-prompting technology in reducing support needed by people with severe acquired brain injury in activities of daily living: A randomized control trial. J. Head Trauma Rehabil. 2018, 33, E33–E41. [Google Scholar] [CrossRef]
- Cuturi, L.F.; Aggius-Vella, E.; Campus, C.; Parmiggiani, A.; Gori, M. From science to technology: Orientation and mobility in blind children and adults. Neurosci. Biobehav. Rev. 2016, 71, 240–251. [Google Scholar] [CrossRef]
- Kazdin, A.E. Behavior Modification in Applied Settings, 7th ed.; Waveland Press: New York, NY, USA, 2012. [Google Scholar]
- Lancioni, G.E.; O’Reilly, M.F.; Sigafoos, J.; Desideri, L.; Alberti, G.; Chiariello, V.; Nozzolillo, A. Smartphone-based technology to help individuals with intellectual disability and blindness manage basic indoor travel. Adv. Neurodev. Disord. 2020, 4, 430–438. [Google Scholar] [CrossRef]
- Pierce, W.D.; Cheney, C.D. Behavior Analysis and Learning, 6th ed.; Routledge: New York, NY, USA, 2017. [Google Scholar]
- Shih, C.T.; Shih, C.H.; Luo, C.H. Assisting people with disabilities in actively performing physical activities by controlling the preferred environmental stimulation with a gyration air mouse. Res. Dev. Disabil. 2013, 34, 4328–4333. [Google Scholar] [CrossRef] [PubMed]
- Smith, E.M.; Huff, S.; Wescott, H.; Daniel, R.; Ebuenyi, I.D.; O’Donnell, J.; Maalim, M.; Zhang, W.; Khasnabis, C.; MacLachlan, M. Assistive technologies are central to the realization of the Convention on the Rights of Persons with Disabilities. Disabil. Rehabil. Assist. Technol. 2024, 19, 486–491. [Google Scholar] [CrossRef] [PubMed]
- Billingsley, B.; Bettini, E. Special education teacher attrition and retention: A review of the literature. Rev. Educ. Res. 2019, 89, 697–744. [Google Scholar] [CrossRef]
- Mason-Williams, L.; Bettini, E.; Peyton, D.; Harvey, A.; Rosenberg, M.; Sindelar, P.T. Rethinking shortages in special education: Making good on the promise of an equal opportunity for students with disabilities. Teach. Educ. Spec. Educ. 2020, 43, 45–62. [Google Scholar] [CrossRef]
- Peyton, D.J.; Acosta, K.; Harvey, A.; Pua, D.J.; Sindelar, P.T.; Mason-Williams, L.; Dewey, J.; Fisher, T.L.; Crews, E. Special education teacher shortage: Differences between high and low shortage states. Teach. Educ. Spec. Educ. 2021, 44, 5–23. [Google Scholar] [CrossRef]
- Damaceno, R.J.P.; Braga, J.C.; Mena-Chalco, J.P. Mobile device accessibility for the visually impaired: Problems mapping and recommendations. Univers. Access Inf. Soc. 2018, 17, 421–435. [Google Scholar] [CrossRef]
- Goo, M.; Maurer, A.L.; Wehmeyer, M.L. Systematic review of using portable smart devices to teach functional skills to students with intellectual disability. Educ. Train. Autism Dev. Disabil. 2019, 54, 57–68. [Google Scholar]
- Moreno, M.T.; Sans, J.C.; Colomina Fosch, M.T. Behavioral and cognitive interventions with digital devices in subjects with intellectual disability: A systematic review. Front. Psychiatry 2021, 12, 647399. [Google Scholar] [CrossRef]
- Real, S.; Araujo, A. Navigation systems for the blind and visually impaired: Past work, challenges, and open problems. Sensors 2019, 19, 3404. [Google Scholar] [CrossRef]
- Wark, S.; Hussain, R.; Edwards, H. Assisting individuals ageing with learning disability: Support worker perspectives. Tizard Learn. Disabil. Rev. 2015, 20, 213–222. [Google Scholar] [CrossRef]
- Lancioni, G.E.; Singh, N.N.; O’Reilly, M.F.; Sigafoos, J.; Alberti, G.; Chiariello, V.; Campodonico, F.; Desideri, L. Technology-aided spatial cues, instructions, and preferred stimulation for supporting people with intellectual and visual disabilities in their occupational engagement and mobility: Usability study. JMIR Rehabil. Assist. Technol. 2021, 8, e33481. [Google Scholar] [CrossRef] [PubMed]
- Lancioni, G.E.; Singh, N.N.; O’Reilly, M.F.; Sigafoos, J.; Alberti, G.; Chiariello, V.; Abbatantuono, C.; Taurisano, P.; Desideri, L. Fostering functional occupation and mobility in people with intellectual disability and visual impairment through technology-aided support. Adv. Neurodev. Disord. 2023, 7, 392–402. [Google Scholar] [CrossRef]
- Taylor, M.J.; Taylor, D.; Gamboa, P.; Vlaev, I.; Darzi, A. Using motion-sensor games to encourage physical activity for adults with intellectual disability. Stud. Health Technol. Inform. 2016, 220, 417–423. [Google Scholar]
- Balboni, G.; Belacchi, C.; Bonichini, S.; Coscarelli, A. Vineland II. Vineland Adaptive Behavior Scales, 2nd ed.; Standardizzazione Italiana; Giunti OS: Florence, Italy, 2016. [Google Scholar]
- Sparrow, S.S.; Cicchetti, D.V.; Balla, D.A. Vineland Adaptive Behavior Scales, 2nd ed.; Vineland II; Pearson: Minneapolis, MN, USA, 2005. [Google Scholar]
- Heinicke, M.R.; Carr, J.E.; Copsey, C.J. Assessing preferences of individuals with developmental disabilities using alternative stimulus modalities: A systematic review. J. Appl. Behav. Anal. 2019, 52, 847–869. [Google Scholar] [CrossRef]
- Ledford, J.R.; Gast, D.L. (Eds.) Single Case Research Methodology: Applications in Special Education and Behavioral Sciences, 3rd ed.; Routledge: New York, NY, USA, 2018. [Google Scholar]
- Sanetti, L.M.H.; Collier-Meek, M.A. Increasing the rigor of procedural fidelity assessment: An empirical comparison of direct observation and permanent product review methods. J. Behav. Educ. 2014, 23, 60–88. [Google Scholar] [CrossRef]
- Parker, R.I.; Vannest, K.J.; Davis, J.L. Effect size in single-case research: A review of nine nonoverlap techniques. Behav. Modif. 2011, 35, 303–322. [Google Scholar] [CrossRef]
- Da Cunha, R.D.; Neiva, F.W.; Silva, R.L. Virtual reality as a support tool for the treatment of people with intellectual and multiple disabilities: A systematic literature review. Rev. Informática Teórica Apl. 2018, 25, 67–81. [Google Scholar] [CrossRef]
- Randall, K.N.; Johnson, F.; Adam, S.E.; Kiss, C.W.; Ryan, J.B. Use of a iPhone task analysis application to increase employment-related chores for individuals with intellectual disabilities. J. Spec. Educ. Technol. 2020, 35, 26–36. [Google Scholar] [CrossRef]
- Boot, F.H.; Owuor, J.; Dinsmore, J.; MacLachlan, M. Access to assistive technology for people with intellectual disabilities: A systematic review to identify barriers and facilitators. J. Intellect. Disabil. Res. 2018, 62, 900–921. [Google Scholar] [CrossRef]
- Borg, J. Commentary on selection of assistive technology in a context with limited resources. Disabil. Rehabil. Assist. Technol. 2019, 14, 753–754. [Google Scholar] [CrossRef] [PubMed]
- Desmond, D.; Layton, N.; Bentley, J.; Boot, F.H.; Borg, J.; Dhungana, B.M.; Gallagher, P.; Gitlow, L.; Gowran, R.J.; Groce, N.; et al. Assistive technology and people: A position paper from the first global research, innovation and education on assistive technology (GREAT) summit. Disabil. Rehabil. Assist. Technol. 2018, 13, 437–444. [Google Scholar] [CrossRef] [PubMed]
- Pugliese, M.; Ramsay, T.; Shamloul, R.; Mallet, K.; Zakutney, L.; Corbett, D.; Dukelow, S.; Stotts, G.; Shamy, M.; Wilson, K.; et al. RecoverNow: A mobile tablet-based therapy platform for early stroke rehabilitation. PLoS ONE 2019, 14, e0210725. [Google Scholar] [CrossRef] [PubMed]
- Stasolla, F.; Caffò, A.O.; Bottiroli, S.; Ciarmoli, D. An assistive technology program for enabling five adolescents emerging from a minimally conscious state to engage in communication, occupation, and leisure opportunities. Dev. Neurorehabilit. 2021, 25, 193–204. [Google Scholar] [CrossRef]
- Hodes, M.W.; Meppelder, M.; de Moor, M.; Kef, S.; Schuengel, C. Alleviating parenting stress in parents with intellectual disabilities: A randomized controlled trial of a video-feedback intervention to promote positive parenting. J. Appl. Res. Intellect. Disabil. 2017, 30, 423–432. [Google Scholar] [CrossRef] [PubMed]
- Dag, M.; Svanelöv, E.; Gustafsson, C. Experiences of using Bestic, an eating aid for people with intellectual disabilities. J. Intellect. Disabil. 2017, 21, 87–98. [Google Scholar] [CrossRef]
- Montgomery, D.J.; Marks, L.J. Using technology to build independence in writing for students with disabilities. Prev. Sch. Fail. 2006, 50, 33–38. [Google Scholar] [CrossRef]
- Edwards, G.; Jones, C.; Pearson, E.; Royston, R.; Oliver, C.; Tarver, J.; Crawford, H.; Shelley, L.; Waite, J. Prevalence of anxiety symptomatology and diagnosis in syndromic intellectual disability: A systematic review and meta-analysis. Neurosci. Biobehav. Rev. 2022, 138, 104719. [Google Scholar] [CrossRef]
- Groves, L.; Moss, J.; Oliver, C.; Royston, R.; Waite, J.; Crawford, H. Divergent presentation of anxiety in high-risk groups within the intellectual disability population. J. Neurodev. Disord. 2022, 14, 54. [Google Scholar] [CrossRef]
- Kildahl, A.N.; Bakken, T.L.; Matre, E.A.W.; Hellerud, J.M.A.; Engebretsen, M.H.; Helverschou, S.B. Case study: Identification of anxiety and subsequent intervention in an adolescent male with autism, severe intellectual disability and self-injurious behaviour. Int. J. Dev. Disabil. 2021, 67, 327–338. [Google Scholar] [CrossRef]
- Beadle-Brown, J.; Leigh, J.; Whelton, B.; Richardson, L.; Beecham, J.; Baumker, T.; Bradshaw, J. Quality of life and quality of support for people with severe intellectual disability and complex needs. J. Appl. Res. Intellect. Disabil. 2016, 29, 409–421. [Google Scholar] [CrossRef]
- Kocman, A.; Weber, G. Job satisfaction, quality of work life and work motivation in employees with intellectual disability: A systematic review. J. Appl. Res. Intellect. Disabil. 2018, 31, 1–22. [Google Scholar] [CrossRef]
- Nevala, N.; Pehkonen, I.; Teittinen, A.; Vesala, H.T.; Pörtfors, P.; Anttila, H. The Effectiveness of Rehabilitation Interventions on the Employment and Functioning of People with Intellectual Disabilities: A Systematic Review. J. Occup. Rehabil. 2019, 29, 773–802. [Google Scholar] [CrossRef] [PubMed]
- Kazdin, A.E. Single-Case Research Designs: Methods for Clinical and Applied Settings, 2nd ed.; Oxford University Press: New York, NY, USA, 2011. [Google Scholar]
- Locey, M.L. The evolution of behavior analysis: Toward a replication crisis? Perspect. Behav. Sci. 2020, 43, 655–675. [Google Scholar] [CrossRef] [PubMed]
- Travers, J.C.; Cook, B.G.; Therrien, W.J.; Coyne, M.D. Replication research and special education. Remedial Spec. Educ. 2016, 37, 19–204. [Google Scholar] [CrossRef]
- Dillon, C.M.; Carr, J.E. Assessing indices of happiness and unhappiness in individuals with developmental disabilities: A review. Behav. Interv. 2007, 22, 229–244. [Google Scholar] [CrossRef]
- Holyfield, C.; Lorah, E. Effects of high-tech versus low-tech AAC on indices of happiness for school-aged children with multiple disabilities. J. Dev. Phys. Disabil. 2022, 35, 209–225. [Google Scholar] [CrossRef]
- Ramey, D.; Healy, O.; McEnaney, E. Defining and measuring indices of happiness and unhappiness in children diagnosed with autism spectrum disorder. Behav. Anal. Pract. 2023, 16, 194–209. [Google Scholar] [CrossRef]
- Frounfelker, S.A.; Bartone, A. The importance of dignity and choice for people assessed as having intellectual disabilities. J. Intellect. Disabil. 2021, 25, 490–506. [Google Scholar] [CrossRef]
- Stancliffe, R.J.; Wehmeyer, M.L.; Shogren, K.A.; Abery, B.H. (Eds.) Choice, Preference, and Disability; Springer: Cham, Switzerland; New York, NY, USA, 2020. [Google Scholar] [CrossRef]
- Stasolla, F.; Caffò, A.O.; Perilli, V.; Albano, V. Experimental examination and social validation of a microswitch intervention to improve choice-making and activity engagement for six girls with Rett Syndrome. Dev. Neurorehabilit. 2019, 22, 527–541. [Google Scholar] [CrossRef]
- Worthen, D.; Luiselli, J.K. Comparative effects and social validation of support strategies to promote mindfulness practices among high school students. Child Fam. Behav. Ther. 2019, 41, 221–236. [Google Scholar] [CrossRef]
- Rasouli, O.; Kvam, L.; Husby, V.S.; Røstad, M.; Witsø, A.E. Understanding the possibilities and limitations of assistive technology in health and welfare services for people with intellectual disabilities, staff perspectives. Disabil. Rehabil. Assist. Technol. 2021, 18, 989–997. [Google Scholar] [CrossRef] [PubMed]
- Witwer, A.N.; Rosencrans, M.E.; Taylor, C.A.; Cobranchi, C.; Krahn, G.L.; Havercamp, S.M. Working with adults with intellectual disability and clinicians to advance mental health treatment: Informing practice guidelines and research. J. Ment. Health Res. Intellect. Disabil. 2024, 1–29. [Google Scholar] [CrossRef]
Disclaimer/Publisher’s Note: The statements, opinions and data contained in all publications are solely those of the individual author(s) and contributor(s) and not of MDPI and/or the editor(s). MDPI and/or the editor(s) disclaim responsibility for any injury to people or property resulting from any ideas, methods, instructions or products referred to in the content. |
© 2024 by the authors. Licensee MDPI, Basel, Switzerland. This article is an open access article distributed under the terms and conditions of the Creative Commons Attribution (CC BY) license (https://creativecommons.org/licenses/by/4.0/).

