Demonstration of a Stereospecific Photochemical Meta Effect
Abstract
1. Introduction
2. Synthesis
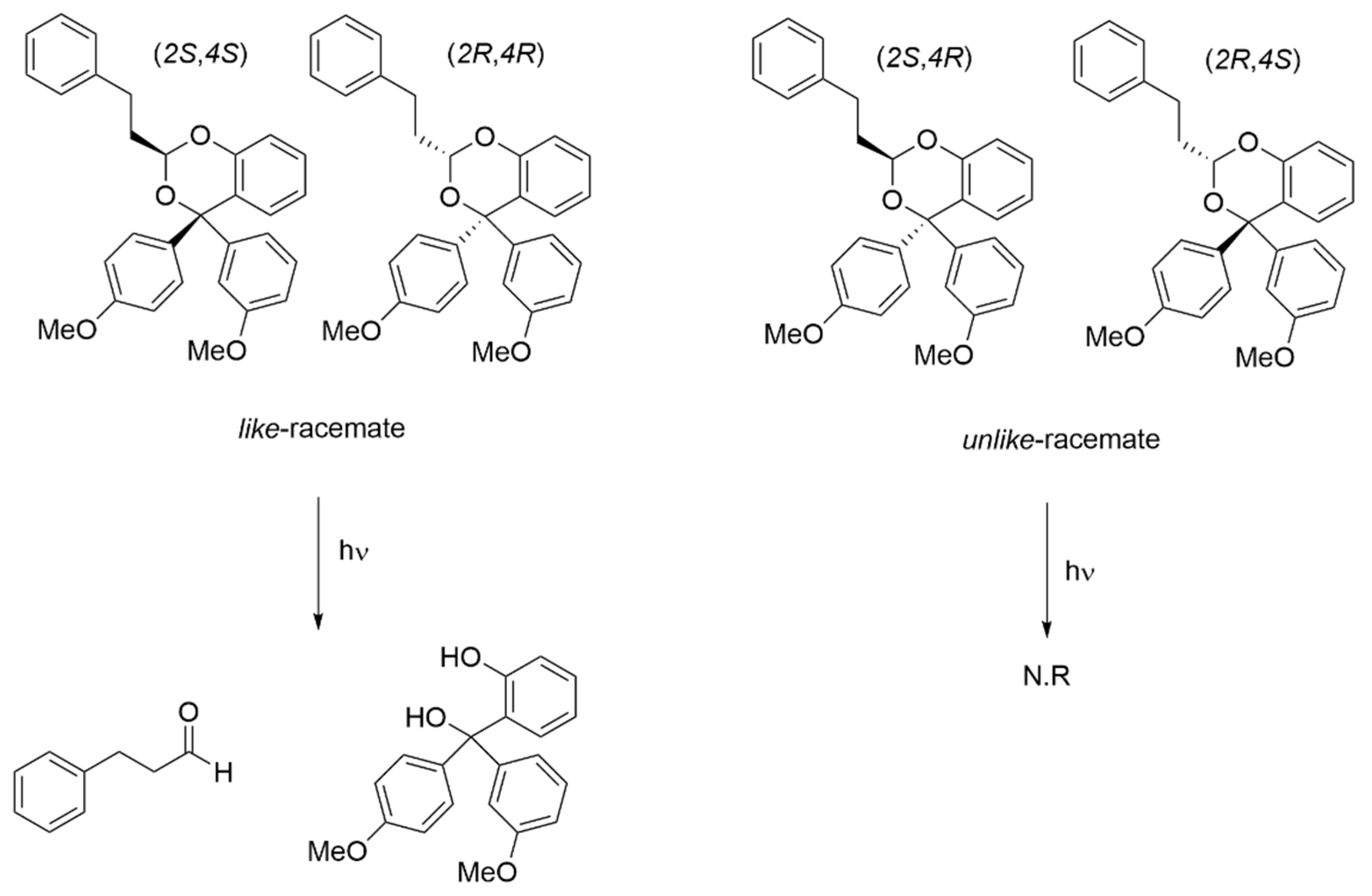
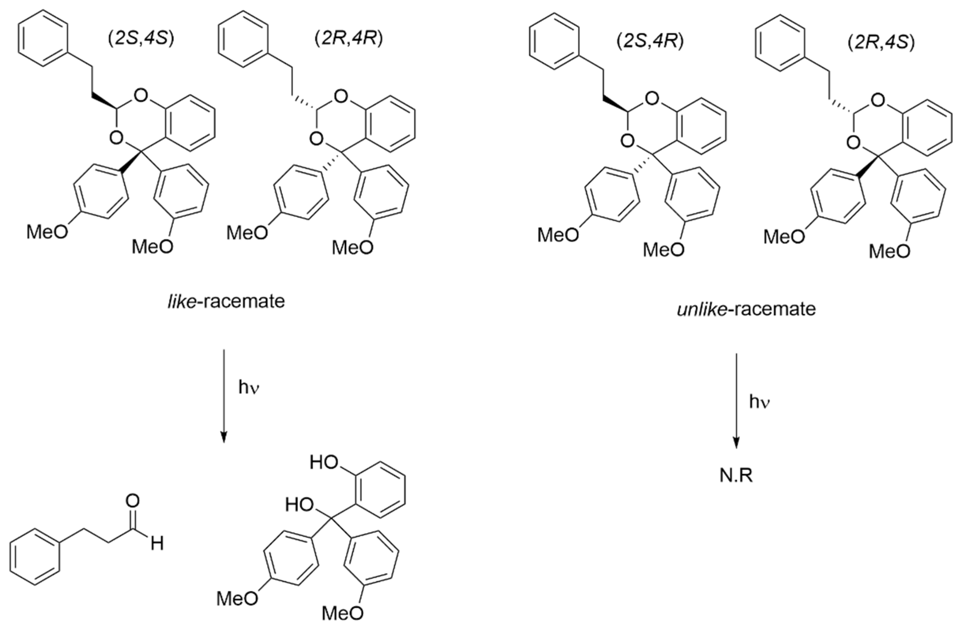
3. Results
4. Discussion and Future Directions
Supplementary Materials
Author Contributions
Funding
Data Availability Statement
Acknowledgments
Conflicts of Interest
References
- Havinga, E.; de Jongh, R.O.; Dorst, W. Photochemical acceleration of the hydrolysis of nitrophenyl phosphates and nitrophenyl sulphates. Recl. Trav. Chim. Pays-Bas 1956, 75, 378–383. [Google Scholar] [CrossRef]
- Zimmerman, H.E.; Somasekhara, S. Mechanistic Organic Photochemistry. III. Excited State Solvolyses. J. Am. Chem. Soc. 1963, 85, 922–927. [Google Scholar]
- Wang, P.; Hu, H.; Wang, Y. Novel photolabile protecting group for carbonyl compounds. Org. Lett. 2007, 9, 1533–1535. [Google Scholar] [CrossRef]
- Yang, H.; Zhang, X.; Zhou, L.; Wang, P. Development of a photolabile carbonyl-protecting group toolbox. J. Org. Chem. 2011, 76, 2040–2048. [Google Scholar] [CrossRef]
- Wang, P.; Hu, H.; Wang, Y. Application of the excited state meta effect in photolabile protecting group design. Org. Lett. 2007, 9, 2831–2833. [Google Scholar] [CrossRef]
- Wang, P.; Wang, Y.; Hu, H.; Spencer, C.; Liang, X.; Pan, L. Sequential removal of photolabile protecting groups for carbonyls with controlled wavelength. J. Org. Chem. 2008, 73, 6152–6157. [Google Scholar] [CrossRef]
- Zimmerman, H.E. The Meta Effect in Organic-Photochemistry-Mechanistic and Exploratory Organic-Photochemistry. J. Am. Chem. Soc. 1995, 117, 8988–8991. [Google Scholar]
- Zimmerman, H.E. The meta-ortho effect in organic photochemistry; Mechanistic and exploratory organic photochemistry. J. Phys. Chem. A 1998, 102, 5616–5621. [Google Scholar] [CrossRef][Green Version]
- Yang, C.-H.; Denne, J.; Reed, S.; Wang, H. Computational study on the removal of photolabile protecting groups by photochemical reactions. Comput. Theor. Chem. 2019, 1151, 1–11. [Google Scholar] [CrossRef]
- Wrobel, M.N.; Margaretha, P. Diastereomer-differentiating photoisomerization of 5-(cyclopent-2-en-1-yl)-2,5-dihydro-1H-pyrrol-2-ones. Chem. Commun. 1998, 5, 541–542. [Google Scholar] [CrossRef]
- Bach, T.; Hehn, J.P. Photochemical Reactions as Key Steps in Natural Product Synthesis. Angew. Chem. Int. Ed. Engl. 2011, 50, 1000–1045. [Google Scholar] [CrossRef]
- Inoue, Y. Asymmetric photochemical reactions in solution. Chem. Rev. 1992, 92, 741–770. [Google Scholar]
- Cheung, E.; Chong, K.C.; Jayaraman, S.; Ramamurthy, V.; Scheffer, J.R.; Trotter, J. Enantio- and diastereodifferentiating cis,trans-photoisomerization of 2beta,3beta-diphenylcyclopropane-1alpha-carboxylic acid derivatives in organized media. Org. Lett. 2000, 2, 2801–2804. [Google Scholar] [CrossRef]
- Singhal, N.; Koner, A.L.; Mal, P.; Venugopalan, P.; Nau, W.M.; Moorthy, J.N. Diastereomer-differentiating photochemistry of beta-arylbutyrophenones: Yang cyclization versus type II elimination. J. Am. Chem. Soc. 2005, 127, 14375–14382. [Google Scholar] [CrossRef]
- Soldevilla, A.; Griesbeck, A.G. Chiral photocages based on phthalimide photochemistry. J. Am. Chem. Soc. 2006, 128, 16472–16473. [Google Scholar] [CrossRef]
- Klán, P.; Šolomek, T.; Bochet, C.G.; Blanc, A.; Givens, R.; Rubina, M.; Popik, V.; Kostikov, A.; Wirz, J. Photoremovable protecting groups in chemistry and biology: Reaction mechanisms and efficacy. Chem. Rev. 2013, 113, 119–191. [Google Scholar] [CrossRef]
- Romano, A.; Roppolo, I.; Rossegger, E.; Schlögl, S.; Sangermano, M. Recent Trends in Applying Ortho-Nitrobenzyl Esters for the Design of Photo-Responsive Polymer Networks. Molecules 2020, 13, 2777. [Google Scholar] [CrossRef]
- Pirrung, M.C.; Wang, L.; Montague-Smith, M.P. 3′-nitrophenylpropyloxycarbonyl (NPPOC) protecting groups for high-fidelity automated 5′ --> 3′ photochemical DNA synthesis. Org. Lett. 2001, 3, 1105–1108. [Google Scholar] [CrossRef]
- Stensrud, K.; Noh, J.; Kandler, K.; Wirz, J.; Heger, D.; Givens, R.S. Competing pathways in the photo-Favorskii rearrangement and release of esters: Studies on fluorinated p-hydroxyphenacyl-caged GABA and glutamate phototriggers. J. Org. Chem. 2009, 74, 5219–5227. [Google Scholar] [CrossRef] [PubMed]
- Upendar, R.G.; Axthelm, J.; Hoffmann, P.; Taye, N.; Glaser, S.; Gorls, H.; Hopkins, S.L.; Plass, W.; Neugebauer, U.; Bonnet, S.; et al. Co-Registered Molecular Logic Gate with a CO-Releasing Molecule Triggered by Light and Peroxide. J. Am. Chem. Soc. 2017, 139, 4991–4994. [Google Scholar]
- Balzani, V.; Credi, A.; Venturi, M. Molecular logic circuits. Chemphyschem 2003, 4, 49–59. [Google Scholar] [CrossRef]
- Seebach, D.; Prelog, V. The Unambiguous Specification of the Steric Course of Asymmetric Syntheses. Angew. Chem. Int. Ed. Engl. 1982, 9, 654–660. [Google Scholar] [CrossRef]
- Shao, Y.; Gan, Z.; Epifanovsky, E.; Gilbert, A.T.B.; Wormit, M.; Kussmann, J.; Lange, A.W.; Behn, A.; Deng, J.; Feng, X.; et al. Advances in molecular quantum chemistry contained in the Q-Chem 4 program package. Mol. Phys. 2015, 113, 184–215. [Google Scholar] [CrossRef]
- Frisch, M.J.; Trucks, G.W.; Schlegel, H.B.; Scuseria, G.E.; Robb, M.A.; Cheeseman, J.R.; Scalmani, G.; Barone, V.; Petersson, G.A.; Nakatsuji, H.; et al. Gaussian 16 Rev. C.01; Gaussian, Inc.: Wallingford, CT, USA, 2016. [Google Scholar]
- Cave, R.J.; Newton, M.D. Generalization of the Mulliken-Hush treatment for the calculation of electron transfer matrix elements. Chem. Phys. Lett. 1996, 249, 15–19. [Google Scholar] [CrossRef]
- Cave, R.J.; Newton, M.D. Calculation of electronic coupling matrix elements for ground and excited state electron transfer reactions: Comparison of the generalized Mulliken–Hush and block diagonalization methods. J. Chem. Phys. 1997, 106, 9213–9226. [Google Scholar] [CrossRef]
- Henin, F.; Muzart, J.; Pete, J.-P.; M’boungou-M’passi, A.; Rau, H. Enantioselective Protonation of a Simple Enol: Aminoalcohol-Catalyzed Ketonization of a Photochemically Produced 2-Methylinden-3-ol. Angew. Chem. Int. Ed. Engl. 1991, 30, 416–418. [Google Scholar] [CrossRef]
- Shin, N.Y.; Ryss, J.M.; Zhang, X.; Miller, S.J.; Knowles, R.R. Light-driven deracemization enabled by excited-state electron transfer. Science 2019, 366, 364–369. [Google Scholar] [CrossRef] [PubMed]
- Levi-Minzi, N.; Zandomeneghi, M. Photochemistry in Biological Matrices: Activation of Racemic Mixtures and Interconversion of Enantiomers. J. Am. Chem. Soc. 1992, 114, 9300–9304. [Google Scholar] [CrossRef]
- Bochet, C.G. Orthogonal Photolysis of Protecting Groups. Angew. Chem. Int. Ed. Engl. 2001, 40, 2071–2073. [Google Scholar] [CrossRef]




| Stereoisomer | Ex (S1) | λ (S1→S0) | DeEx (S1) | λ (S0→S1) |
|---|---|---|---|---|
| 2R,4R | 119.6 | 3.5 | 112.8 | 3.4 |
| 2S,4R | 120.3 | 3.1 | 114.3 | 2.9 |
| 2R,4S | 120.3 | 3.1 | 114.3 | 2.9 |
| 2S,4S | 119.6 | 3.5 | 112.8 | 3.4 |
Publisher’s Note: MDPI stays neutral with regard to jurisdictional claims in published maps and institutional affiliations. |
© 2022 by the authors. Licensee MDPI, Basel, Switzerland. This article is an open access article distributed under the terms and conditions of the Creative Commons Attribution (CC BY) license (https://creativecommons.org/licenses/by/4.0/).
Share and Cite
Pham, H.; Hunsley, M.; Yang, C.-H.; Wang, H.; Reed, S.M. Demonstration of a Stereospecific Photochemical Meta Effect. Photochem 2022, 2, 69-76. https://doi.org/10.3390/photochem2010006
Pham H, Hunsley M, Yang C-H, Wang H, Reed SM. Demonstration of a Stereospecific Photochemical Meta Effect. Photochem. 2022; 2(1):69-76. https://doi.org/10.3390/photochem2010006
Chicago/Turabian StylePham, Hoai, Madelyn Hunsley, Chou-Hsun Yang, Haobin Wang, and Scott M. Reed. 2022. "Demonstration of a Stereospecific Photochemical Meta Effect" Photochem 2, no. 1: 69-76. https://doi.org/10.3390/photochem2010006
APA StylePham, H., Hunsley, M., Yang, C.-H., Wang, H., & Reed, S. M. (2022). Demonstration of a Stereospecific Photochemical Meta Effect. Photochem, 2(1), 69-76. https://doi.org/10.3390/photochem2010006

