Application of the Artificial Neural Network (ANN) Approach for Prediction of the Kinetic Parameters of Lignocellulosic Fibers
Abstract
:1. Introduction
2. Materials and Methods
2.1. Kinetic Approach
2.2. Artificial Neural Network (ANN)
2.3. Surface Response Methodology (SRM)
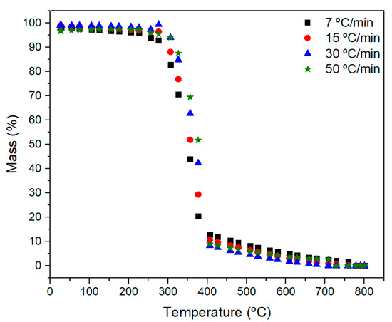
3. Results and Discussion
4. Conclusions
Author Contributions
Funding
Institutional Review Board Statement
Informed Consent Statement
Data Availability Statement
Conflicts of Interest
References
- Angrizani, C.C.; Ornaghi, H.L., Jr.; Zattera, A.J.; Amico, S.C. Thermal and Mechanical Investigation of Interlaminate Glass/Curaua Hybrid Polymer Composites. J. Nat. Fibers 2017, 14, 271–277. [Google Scholar] [CrossRef]
- Silva, H.S.P.; Ornaghi, H.L., Jr.; Almeida, J.H.S., Jr.; Zattera, A.J.; Amico, S.C. Mechanical Behavior and Correlation between Dynamic Fragility and Dynamic Mechanical Properties of Curaua Fiber Composites. Polym. Compos. 2014, 35, 1078–1086. [Google Scholar] [CrossRef]
- Nguyen, N.A.; Meek, K.M.; Bowland, C.C.; Naskar, A.K. Data of thermally active lignin-linkages and shape memory of lignin-rubber composites. Data Br. 2019, 22, 392–399. [Google Scholar] [CrossRef]
- Neves, R.M.; Lopes, K.S.; Zimmermann, M.G.V.; Poletto, M.; Zattera, A.J. Cellulose Nanowhiskers Extracted from Tempo-Oxidized Curaua Fibers. J. Nat. Fibers 2019, 17, 1355–1365. [Google Scholar] [CrossRef]
- Neves, R.M.; Lopes, K.S.; Lazzari, L.K.; Monticeli, F.M.; Zattera, A.J. Characterization of expanded polystyrene and its composites by supercritical carbon dioxide foaming approach. J. Porous. Mater. 2021. [Google Scholar] [CrossRef]
- Seddiqi, H.; Oliaei, E.; Honarkar, H.; Jin, J.; Geonzon, L.C.; Bacabac, R.G.; Nulend, J.K. Cellulose and its derivatives: Towards biomedical applications. Cellulose 2021, 28, 1893–1931. [Google Scholar] [CrossRef]
- Ornaghi, H.L., Jr.; Ornaghi, F.G.; Neves, R.M.; Monticeli, F.M.; Bianchi, O. Mechanisms involved in thermal degradation of lignocellulosic fibers: A survey based on chemical composition. Cellulose 2020, 4949–4961. [Google Scholar] [CrossRef]
- Yang, J.; Ching, Y.C.; Chuah, C.H. Applications of lignocellulosic fibers and lignin in bioplastics: A review. Polymers 2019, 11, 751. [Google Scholar] [CrossRef] [Green Version]
- Abdul, H.P.S.A.; Hossain, M.S.; Rosamah, E.; Azli, N.A.; Saddon, N.; Davoudpoura, Y.; Islam, N.; Dungani, R. The role of soil properties and it’s interaction towards quality plant fiber: A review. Renew. Sustain. Energy Rev. 2015, 43, 1006–1015. [Google Scholar] [CrossRef]
- Yao, F.; Wu, Q.; Lei, Y.; Guo, W.; Xu, Y. Thermal decomposition kinetics of natural fibers: Activation energy with dynamic thermogravimetric analysis. Polym. Degrad. Stab. 2008, 93, 90–98. [Google Scholar] [CrossRef]
- Sunphorka, S.; Chalermsinsuwan, B.; Piumsomboon, P. Artificial neural network model for the prediction of kinetic parameters of biomass pyrolysis from its constituents. Fuel 2017, 193, 142–158. [Google Scholar] [CrossRef]
- Monticeli, F.M.; Neves, R.M.; Ornaghi, H.L., Jr. Using an artificial neural network (ANN) for prediction of thermal degradation from kinetics parameters of vegetable fibers. Cellulose 2021, 28, 1961–1971. [Google Scholar] [CrossRef]
- Asim, M.; Paridah, M.T.; Chandrasekar, M.; Shahroze, R.M.; Jawaid, M.; Nasir, M.; Siekeng, R. Thermal stability of natural fibers and their polymer composites. Iran. Polym. J. 2020, 29, 625–648. [Google Scholar] [CrossRef]
- Monteiro, S.N.; Calado, V.; Margem, F.M.; Rodriguez, R.J.S. Thermogravimetric stability behavior of less common lignocellulosic fibers—A review. J. Mater. Res. Technol. 2012, 1, 189–199. [Google Scholar] [CrossRef] [Green Version]
- Ornaghi, H.L., Jr.; Zattera, A.J.; Amico, S.C. Thermal behavior and the compensation effect of vegetal fibers. Cellulose 2014, 21, 189–201. [Google Scholar] [CrossRef]
- Neves, R.M.; Lopes, K.S.; Zimmermann, M.G.V.; Poletto, M.; Zattera, A.J. Characterization of polystyrene nanocomposites and expanded nanocomposites reinforced with cellulose nanofibers and nanocrystals. Cellulose 2019, 26, 4417–4429. [Google Scholar] [CrossRef]
- Drozin, D.; Sozykin, S.; Ivanova, N.; Olenchikova, T.; Krupnova, T.; Krupina, N.; Avdin, V. Kinetic calculation: Software tool for determining the kinetic parameters of the thermal decomposition process using the Vyazovkin Method. SoftwareX 2020, 11, 100359. [Google Scholar] [CrossRef]
- Vyazovkin, S.; Burnham, A.K.; Criado, J.M.; Pérez-Maqueda, L.A.; Popescu, C.; Sbirrazzuoli, N. ICTAC Kinetics Committee recommendations for collecting experimental thermal analysis data for kinetic computations. Thermochim. Acta. 2011, 590, 1–23. [Google Scholar] [CrossRef]
- Šesták, J.; Berggren, G. Study of the kinetics of the mechanism of solid-state reactions at increasing temperatures. Thermochim. Acta 1971, 3, 1–12. [Google Scholar] [CrossRef]
- Vyazovkin, S.V.; Lesnikovich, A.I. Practical application of isoconversional methods. Thermochim. Acta 1992, 203, 177–185. [Google Scholar] [CrossRef]
- Vyazovkin, S. Evaluation of activation energy of thermally stimulated solid-state reactions under arbitrary variation of temperature. J. Comput. Chem. 1997, 18, 393–402. [Google Scholar] [CrossRef]
- Schmidhuber, J. Deep Learning in neural networks: An overview. Neural. Netw. 2015, 61, 85–117. [Google Scholar] [CrossRef] [Green Version]
- Agnol, L.D.; Ornaghi, H.L., Jr.; Monticeli, M.F.; Dias, F.T.G.; Bianchi, O. Polyurethanes synthetized with polyols of distinct molar masses: Use of the artificial neural network for prediction of degree of polymerization. Polym. Eng. Sci. 2021, 61, 1810–1818. [Google Scholar] [CrossRef]
- Debnath, S.; Reddy, M.M.; Yi, Q.S. Influence of cutting fluid conditions and cutting parameters on surface roughness and tool wear in turning process using Taguchi method. Meas. J. Int. Meas. Confed. 2016, 78, 111–119. [Google Scholar] [CrossRef]
- Aydar, A.Y. Utilization of Response Surface Methodology in Optimization of Extraction of Plant Materials. Stat. Approaches Emphas. Des. Exp. Appl. Chem. Process. 2018. [Google Scholar] [CrossRef] [Green Version]
- Patwardhan, P.R.; Brown, R.C.; Shanks, B.H. Understanding the fast pyrolysis of lignin. ChemSusChem 2011, 4, 1629–1636. [Google Scholar] [CrossRef] [PubMed]
- Cabeza, A.; Sobrón, F.; Yedro, F.M.; García-Serna, J. Autocatalytic kinetic model for thermogravimetric analysis and composition estimation of biomass and polymeric fractions. Fuel 2015, 148, 212–225. [Google Scholar] [CrossRef] [Green Version]
- Fernández-Fdz, D.; López-Puente, J.; Zaera, R. Prediction of the behaviour of CFRPs against high-velocity impact of solids employing an artificial neural network methodology. Compos. Part A Appl. Sci. Manuf. 2008, 39, 989–996. [Google Scholar] [CrossRef] [Green Version]
- Muravyev, N.V.; Luciano, G.; Ornaghi, H.L., Jr.; Svoboda, R.; Vyazovkin, S. Artificial Neural Networks for Pyrolysis, Thermal Analysis, and Thermokinetic Studies:The Status Quo. Molecules 2021, 26, 3727. [Google Scholar] [CrossRef] [PubMed]






| Technique | Number of Layers | Number of Hidden Neurons in Each Layer | Training Repetitions | Neural Network Algorithm | Error Function | Threshold of Error Function | Activation Function |
|---|---|---|---|---|---|---|---|
| TGA | 1 | 12 | 3 | Resilient backpropagation with back tracking | Sum of squared errors | 0.01 | Tangent hyperbolicus |
| F | p-Value | Fcritical | PC (%) | |
|---|---|---|---|---|
| Ea | 255.88 | 8.93 × 10−5 | 7.71 | 99.80 |
| error | 0.20 | |||
| A | 16.64 | 0.015 | 5.14 | 94.15 |
| error | - | - | - | 5.85 |
Publisher’s Note: MDPI stays neutral with regard to jurisdictional claims in published maps and institutional affiliations. |
© 2021 by the authors. Licensee MDPI, Basel, Switzerland. This article is an open access article distributed under the terms and conditions of the Creative Commons Attribution (CC BY) license (https://creativecommons.org/licenses/by/4.0/).
Share and Cite
Ornaghi, H.L., Jr.; Neves, R.M.; Monticeli, F.M. Application of the Artificial Neural Network (ANN) Approach for Prediction of the Kinetic Parameters of Lignocellulosic Fibers. Textiles 2021, 1, 258-267. https://doi.org/10.3390/textiles1020013
Ornaghi HL Jr., Neves RM, Monticeli FM. Application of the Artificial Neural Network (ANN) Approach for Prediction of the Kinetic Parameters of Lignocellulosic Fibers. Textiles. 2021; 1(2):258-267. https://doi.org/10.3390/textiles1020013
Chicago/Turabian StyleOrnaghi, Heitor Luiz, Jr., Roberta Motta Neves, and Francisco M. Monticeli. 2021. "Application of the Artificial Neural Network (ANN) Approach for Prediction of the Kinetic Parameters of Lignocellulosic Fibers" Textiles 1, no. 2: 258-267. https://doi.org/10.3390/textiles1020013
APA StyleOrnaghi, H. L., Jr., Neves, R. M., & Monticeli, F. M. (2021). Application of the Artificial Neural Network (ANN) Approach for Prediction of the Kinetic Parameters of Lignocellulosic Fibers. Textiles, 1(2), 258-267. https://doi.org/10.3390/textiles1020013
