A “Zero-Cost” Adsorbing Hydroxyapatite-Based Material from Amazon Fishery Waste for Water Remediation and Nutrient Release for Agriculture
Abstract
1. Introduction
2. Materials and Methods
2.1. Preparation of Hydroxyapatite-Based Adsorbents (F−HAp, HAp_600 °C, and HAp_900 °C)
2.2. Characterizations
2.3. Pollutants: Atrazine Adsorption Experiments
2.4. Pollutants: Cobalt Adsorption and Release Experiments
2.5. Cytotoxicity Analysis
3. Results and Discussion
3.1. Material Characterization
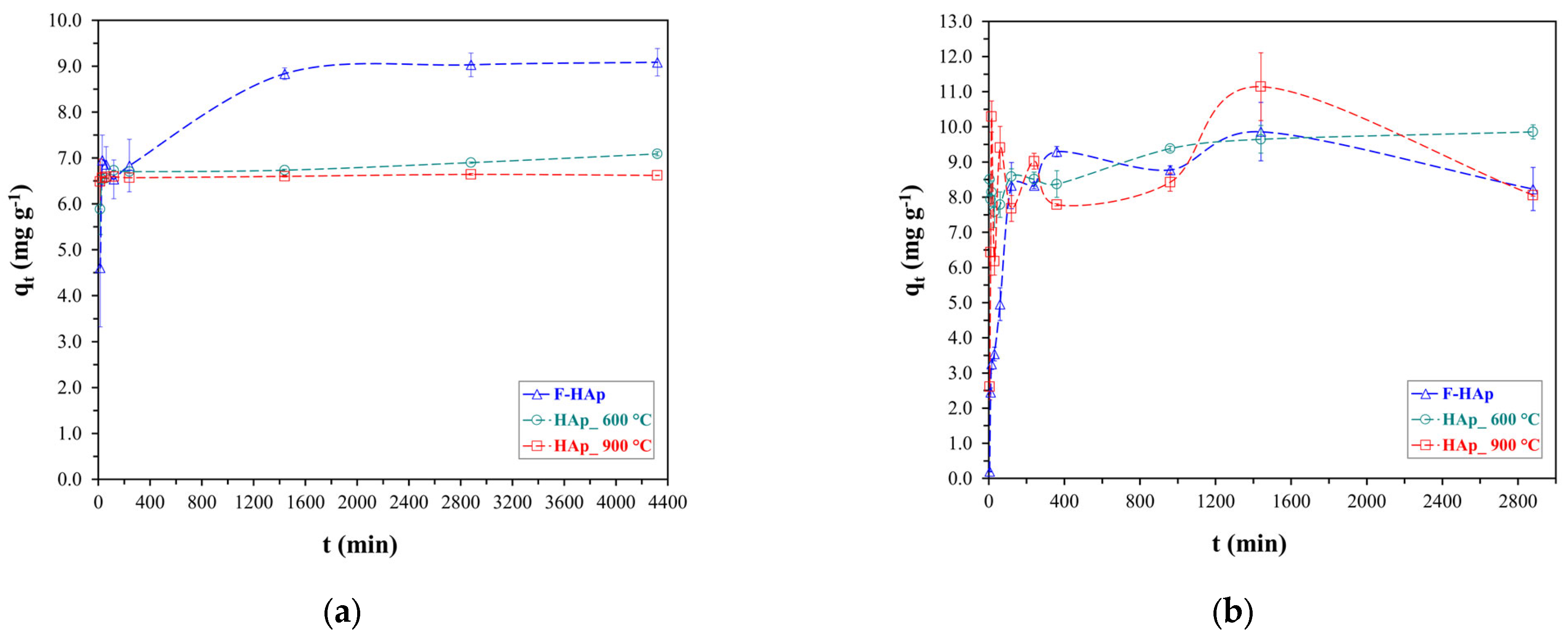
3.2. Adsorption Experiments: Kinetic Models
3.3. Adsorption Experiments: Isotherm Models
3.4. Release Assays: Cobalt and Phosphorus
3.5. Cytotoxicity Analysis
4. Conclusions
Author Contributions
Funding
Data Availability Statement
Acknowledgments
Conflicts of Interest
References
- Crutzen, P.J. Geology of Mankind—The Anthropocene. Nature 2002, 415, 23. [Google Scholar] [CrossRef] [PubMed]
- Shen, J.; Huang, G.; An, C.; Xin, X.; Huang, C.; Rosendahl, S. Removal of Tetrabromobisphenol A by Adsorption on Pinecone-Derived Activated Charcoals: Synchrotron FTIR, Kinetics and Surface Functionality Analyses. Bioresour. Technol. 2018, 247, 812–820. [Google Scholar] [CrossRef] [PubMed]
- Jawad, A.H.; Abdulhameed, A.S.; Mastuli, M.S. Mesoporous Crosslinked Chitosan-Activated Charcoal Composite for the Removal of Thionine Cationic Dye: Comprehensive Adsorption and Mechanism Study. J. Polym. Environ. 2020, 28, 1095–1105. [Google Scholar] [CrossRef]
- Yadav, S.; Asthana, A.; Chakraborty, R.; Jain, B.; Singh, A.K.; Carabineiro, S.A.C.; Susan, M.A.B.H. Cationic Dye Removal Using Novel Magnetic/Activated Charcoal/β-Cyclodextrin/Alginate Polymer Nanocomposite. Nanomaterials 2020, 10, 170. [Google Scholar] [CrossRef] [PubMed]
- Khandaker, S.; Chowdhury, M.F.; Awual, M.R.; Islam, A.; Kuba, T. Efficient Cesium Encapsulation from Contaminated Water by Cellulosic Biomass Based Activated Wood Charcoal. Chemosphere 2021, 262, 127801. [Google Scholar] [CrossRef]
- Gar Alalm, M.; Nasr, M. Artificial Intelligence, Regression Model, and Cost Estimation for Removal of Chlorothalonil Pesticide by Activated Carbon Prepared from Casuarina Charcoal. Sustain. Environ. Res. 2018, 28, 101–110. [Google Scholar] [CrossRef]
- Crini, G.; Lichtfouse, E.; Wilson, L.D.; Morin-Crini, N. Conventional and Non-Conventional Adsorbents for Wastewater Treatment. Environ. Chem. Lett. 2019, 17, 195–213. [Google Scholar] [CrossRef]
- Wang, F.; Shih, K. Adsorption of Perfluorooctanesulfonate (PFOS) and Perfluorooctanoate (PFOA) on Alumina: Influence of Solution PH and Cations. Water Res. 2011, 45, 2925–2930. [Google Scholar] [CrossRef]
- Dao, T.H.; Nguyen, N.T.; Nguyen, M.N.; Ngo, C.L.; Luong, N.H.; Le, D.B.; Pham, T.D. Adsorption Behavior of Polyelectrolyte onto Alumina and Application in Ciprofloxacin Removal. Polymers 2020, 12, 1554. [Google Scholar] [CrossRef]
- Banerjee, S.; Dubey, S.; Gautam, R.K.; Chattopadhyaya, M.C.; Sharma, Y.C. Adsorption Characteristics of Alumina Nanoparticles for the Removal of Hazardous Dye, Orange G from Aqueous Solutions. Arab. J. Chem. 2019, 12, 5339–5354. [Google Scholar] [CrossRef]
- Tabesh, S.; Davar, F.; Loghman-Estarki, M.R. Preparation of γ-Al2O3 Nanoparticles Using Modified Sol-Gel Method and Its Use for the Adsorption of Lead and Cadmium Ions. J. Alloys Compd. 2018, 730, 441–449. [Google Scholar] [CrossRef]
- Momina; Shahadat, M.; Isamil, S. Regeneration Performance of Clay-Based Adsorbents for the Removal of Industrial Dyes: A Review. RSC Adv. 2018, 8, 24571–24587. [Google Scholar] [CrossRef]
- Liu, P.; Zhang, L. Adsorption of Dyes from Aqueous Solutions or Suspensions with Clay Nano-Adsorbents. Sep. Purif. Technol. 2007, 58, 32–39. [Google Scholar] [CrossRef]
- Zhang, T.; Wang, W.; Zhao, Y.; Bai, H.; Wen, T.; Kang, S.; Song, G.; Song, S.; Komarneni, S. Removal of Heavy Metals and Dyes by Clay-Based Adsorbents: From Natural Clays to 1D and 2D Nano-Composites. Chem. Eng. J. 2021, 420, 127574. [Google Scholar] [CrossRef]
- Leenheer, J.A. Comprehensive Approach to Preparative Isolation and Fractionation of Dissolved Organic Carbon from Natural Waters and Wastewaters. Environ. Sci. Technol. 1981, 15, 578–587. [Google Scholar] [CrossRef]
- Hochuli, E.; Döbeli, H.; Schacher, A. New Metal Chelate Adsorbent Selective for Proteins and Peptides Containing Neighbouring Histidine Residues. J. Chromatogr. A 1987, 411, 177–184. [Google Scholar] [CrossRef]
- Alexandre, M.; Dubois, P. Polymer-Layered Silicate Nanocomposites: Preparation, Properties and Uses of a New Class of Materials. Mater. Sci. Eng. R Rep. 2000, 28, 1–63. [Google Scholar] [CrossRef]
- Lebaron, P.C.; Wang, Z.; Pinnavaia, T.J. Polymer-Layered Silicate Nanocomposites: An Overview. Appl. Clay Sci. 1999, 15, 11–29. [Google Scholar] [CrossRef]
- Hong, M.; Yu, L.; Wang, Y.; Zhang, J.; Chen, Z.; Dong, L.; Zan, Q.; Li, R. Heavy Metal Adsorption with Zeolites: The Role of Hierarchical Pore Architecture. Chem. Eng. J. 2019, 359, 363–372. [Google Scholar] [CrossRef]
- Huang, Y.; Zeng, X.; Guo, L.; Lan, J.; Zhang, L.; Cao, D. Heavy Metal Ion Removal of Wastewater by Zeolite-Imidazolate Frameworks. Sep. Purif. Technol. 2018, 194, 462–469. [Google Scholar] [CrossRef]
- Aljerf, L. High-Efficiency Extraction of Bromocresol Purple Dye and Heavy Metals as Chromium from Industrial Effluent by Adsorption onto a Modified Surface of Zeolite: Kinetics and Equilibrium Study. J. Environ. Manag. 2018, 225, 120–132. [Google Scholar] [CrossRef] [PubMed]
- Jiang, N.; Shang, R.; Heijman, S.G.J.; Rietveld, L.C. High-Silica Zeolites for Adsorption of Organic Micro-Pollutants in Water Treatment: A Review. Water Res. 2018, 144, 145–161. [Google Scholar] [CrossRef] [PubMed]
- Kobielska, P.A.; Howarth, A.J.; Farha, O.K.; Nayak, S. Metal–Organic Frameworks for Heavy Metal Removal from Water. Coord. Chem. Rev. 2018, 358, 92–107. [Google Scholar] [CrossRef]
- Li, J.; Wang, X.; Zhao, G.; Chen, C.; Chai, Z.; Alsaedi, A.; Hayat, T.; Wang, X. Metal-Organic Framework-Based Materials: Superior Adsorbents for the Capture of Toxic and Radioactive Metal Ions. Chem. Soc. Rev. 2018, 47, 2322–2356. [Google Scholar] [CrossRef] [PubMed]
- Khan, M.S.; Shahid, M. Improving Water Quality Using Metal−Organic Frameworks; American Chemical Society: Washington, DC, USA, 2021; pp. 171–191. [Google Scholar]
- Shahnawaz Khan, M.; Khalid, M.; Shahid, M. What Triggers Dye Adsorption by Metal Organic Frameworks? The Current Perspectives. Mater. Adv. 2020, 1, 1575–1601. [Google Scholar] [CrossRef]
- Yan, J.W.; Wu, J.; Lu, L.; Wang, J.; Guo, J.; Sakiyama, H.; Muddassir, M.; Khan, M.S. Photocatalytic Performances and Mechanisms of Two Coordination Polymers Based on Rigid Tricarboxylate. J. Solid State Chem. 2022, 316, 123602. [Google Scholar] [CrossRef]
- Gupta, A.; Thakur, I.S. Treatment of Organic Recalcitrant Contaminants in Wastewater. In Biological Wastewater Treatment and Resource Recovery; Books on Demand: Norderstedt, Germany, 2017; pp. 3–16. [Google Scholar] [CrossRef]
- Joseph, L.; Jun, B.M.; Flora, J.R.V.; Park, C.M.; Yoon, Y. Removal of Heavy Metals from Water Sources in the Developing World Using Low-Cost Materials: A Review. Chemosphere 2019, 229, 142–159. [Google Scholar] [CrossRef]
- Ali, I.; Gupta, V.K. Advances in Water Treatment by Adsorption Technology. Nat. Protoc. 2007, 1, 2661–2667. [Google Scholar] [CrossRef]
- Klementová, Š.; Hornychová, L.; Šorf, M.; Zemanová, J.; Kahoun, D. Toxicity of Atrazine and the Products of Its Homogeneous Photocatalytic Degradation on the Aquatic Organisms Lemna Minor and Daphnia Magna. Environ. Sci. Pollut. Res. 2019, 26, 27259–27267. [Google Scholar] [CrossRef]
- Moreira, A.J.; Pinheiro, B.S.; Araújo, A.F.; Freschi, G.P.G. Evaluation of Atrazine Degradation Applied to Different Energy Systems. Environ. Sci. Pollut. Res. 2016, 23, 18502–18511. [Google Scholar] [CrossRef]
- Nayak, A.; Bhushan, B. Hydroxyapatite as an Advanced Adsorbent for Removal of Heavy Metal Ions from Water: Focus on Its Applications and Limitations. Mater. Today Proc. 2021, 46, 11029–11034. [Google Scholar] [CrossRef]
- Mohd Pu’ad, N.A.S.; Koshy, P.; Abdullah, H.Z.; Idris, M.I.; Lee, T.C. Syntheses of Hydroxyapatite from Natural Sources. Heliyon 2019, 5, e01588. [Google Scholar] [CrossRef]
- Kongsri, S.; Janpradit, K.; Buapa, K.; Techawongstien, S.; Chanthai, S. Nanocrystalline Hydroxyapatite from Fish Scale Waste: Preparation, Characterization and Application for Selenium Adsorption in Aqueous Solution. Chem. Eng. J. 2013, 215–216, 522–532. [Google Scholar] [CrossRef]
- Pai, S.; M Kini, S.; Selvaraj, R.; Pugazhendhi, A. A Review on the Synthesis of Hydroxyapatite, Its Composites and Adsorptive Removal of Pollutants from Wastewater. J. Water Process Eng. 2020, 38, 101574. [Google Scholar] [CrossRef]
- Amenaghawon, A.N.; Anyalewechi, C.L.; Darmokoesoemo, H.; Kusuma, H.S. Hydroxyapatite-Based Adsorbents: Applications in Sequestering Heavy Metals and Dyes. J. Environ. Manag. 2022, 302, 113989. [Google Scholar] [CrossRef]
- Sharma, P.; Rohilla, D.; Chaudhary, S.; Kumar, R.; Singh, A.N. Nanosorbent of Hydroxyapatite for Atrazine: A New Approach for Combating Agricultural Runoffs. Sci. Total Environ. 2019, 653, 264–273. [Google Scholar] [CrossRef]
- Milošević, D.; Lević, S.; Lazarević, S.; Veličković, Z.; Marinković, A.; Petrović, R.; Petrović, P. Hybrid Material Based on Subgleba of Mosaic Puffball Mushroom (Handkea utriformis) as an Adsorbent for Heavy Metal Removal from Aqueous Solutions. J. Environ. Manag. 2021, 297, 113358. [Google Scholar] [CrossRef]
- Hokkanen, S.; Bhatnagar, A.; Srivastava, V.; Suorsa, V.; Sillanpää, M. Removal of Cd2+, Ni2+ and PO43− from Aqueous Solution by Hydroxyapatite-Bentonite Clay-Nanocellulose Composite. Int. J. Biol. Macromol. 2018, 118, 903–912. [Google Scholar] [CrossRef]
- Chu, Y.; Xia, M.; Wang, F.; Yan, X.; Dai, Y.; Dong, L.; Zhang, Y. The Uptake Performance and Microscopic Mechanism of Inorganic-Organic Phosphorus Hybrid Amorphous Hydroxyapatite for Multiple Heavy Metal Ions. Colloids Surf. A Physicochem. Eng. Asp. 2022, 640, 128384. [Google Scholar] [CrossRef]
- Pon-On, W.; Suntornsaratoon, P.; Charoenphandhu, N.; Thongbunchoo, J.; Krishnamra, N.; Tang, I.M. Hydroxyapatite from Fish Scale for Potential Use as Bone Scaffold or Regenerative Material. Mater. Sci. Eng. C 2016, 62, 183–189. [Google Scholar] [CrossRef]
- Rustad, T. Turid Rustad Utilization of Marine By-Product. Electron. J. Environ. Agric. Food Chem. 2003, 2, 458–463. [Google Scholar]
- Kong, L.; Liu, X.; Lv, G.; Liu, T.; Zhang, P.; Li, Y.; Chen, B.; Liao, L. Copper Adsorption Using Hydroxyapatite Derived from Bovine Bone. Adv. Civ. Eng. 2022, 2022, 1026129. [Google Scholar] [CrossRef]
- Meski, S.; Tazibt, N.; Khireddine, H.; Ziani, S.; Biba, W.; Yala, S.; Sidane, D.; Boudjouan, F.; Moussaoui, N. Synthesis of Hydroxyapatite from Mussel Shells for Effective Adsorption of Aqueous Cd(II). Water Sci. Technol. 2019, 80, 1226–1237. [Google Scholar] [CrossRef]
- Alshahrani, A.A.; Alorabi, A.Q.; Hassan, M.S.; Amna, T.; Azizi, M. Chitosan-Functionalized Hydroxyapatite-Cerium Oxide Heterostructure: An Efficient Adsorbent for Dyes Removal and Antimicrobial Agent. Nanomaterials 2022, 12, 2713. [Google Scholar] [CrossRef]
- Li, S.; Wang, J.; Jing, X.; Liu, Q.; Saba, J.; Mann, T.; Zhang, M.; Wei, H.; Chen, R.; Liu, L. Conversion of Calcined Eggshells into Flower-like Hydroxyapatite Agglomerates by Solvothermal Method Using Hydrogen Peroxide/N,N-Dimethylformamide Mixed Solvents. J. Am. Ceram. Soc. 2012, 95, 3377–3379. [Google Scholar] [CrossRef]
- Liu, Y.; Nadeem, A.; Sebastian, S.; Olsson, M.A.; Wai, S.N.; Styring, E.; Engellau, J.; Isaksson, H.; Tägil, M.; Lidgren, L.; et al. Bone Mineral: A Trojan Horse for Bone Cancers. Efficient Mitochondria Targeted Delivery and Tumor Eradication with Nano Hydroxyapatite Containing Doxorubicin. Mater. Today Bio 2022, 14, 100227. [Google Scholar] [CrossRef]
- FAO. The State of World Fisheries and Aquaculture; 190AD; FAO: Rome, Italy, 2020; Volume 5, ISBN 9781424464968. [Google Scholar]
- Islam, J.M.; Yap, E.E.S.; Krongpong, L.; Toppe, J.; Peñarubia, O.R. Fish Waste Management an Asssesement of the Potential Production and Utilisation of Fish Silage in Bangladesh, Phillipines and Thailand; FAO: Rome, Italy, 2021; Volume 1216, ISBN 9789251340790. [Google Scholar]
- Guillen, J.; Natale, F.; Carvalho, N.; Casey, J.; Hofherr, J.; Druon, J.N.; Fiore, G.; Gibin, M.; Zanzi, A.; Martinsohn, J.T. Global Seafood Consumption Footprint. Ambio 2019, 48, 111–122. [Google Scholar] [CrossRef]
- Fortes Carvalho Neta, R.N.; Pinheiro Sousa, D.B.; de Macêdo Sobrinho, I.C.; Yarbrough Horton, E.; da Silva de Almeida, Z.; Tchaicka, L.; de Sousa, A.L. Genotoxic and Hematological Parameters in Colossoma macropomum (Pisces, Serrasalmidae) as Biomarkers for Environmental Impact Assessment in a Protected Area in Northeastern Brazil. Environ. Sci. Pollut. Res. 2015, 22, 15994–16003. [Google Scholar] [CrossRef] [PubMed]
- Goulding, M.; Carvalho, M.L. Life History and Management of the Tambaqui (Colossoma Macropomum, Characidae): An Important Amazonian Food Fish. Rev. Bras. Zool. 1982, 1, 107–133. [Google Scholar] [CrossRef]
- Associação Brasileira de Piscicultura. Anuário 2022 PeixeBR da Piscicultura 2022; Associação Brasileira de Piscicultura: Brasília, Brazil, 2022; p. 1. [Google Scholar]
- Valenti, W.C.; Barros, H.P.; Moraes-Valenti, P.; Bueno, G.W.; Cavalli, R.O. Aquaculture in Brazil: Past, Present and Future. Aquac. Rep. 2021, 19, 100611. [Google Scholar] [CrossRef]
- Damien, A.; Isabelle, T.; Christovam, B.; Nicolas, J.; Vincent, D. Land Use Sustainability on the South-Eastern Amazon Agricultural Frontier: Recent Progress and the Challenges Ahead. Appl. Geogr. 2017, 80, 86–97. [Google Scholar] [CrossRef]
- Instituto Nacional Do Meio Ambiente e Dos Recursos Naturais (IBAMA). Relatórios de Comercialização de Agrotóxicos; Instituto Nacional Do Meio Ambiente e Dos Recursos Naturais (IBAMA): Brasília, Brazil, 2021. [Google Scholar]
- Cruz, R.H.R.; Farias, A.L.d.A. Socio-Environmental Impacts of Oil Palm Production in the Paraense Amazon: Use of Agrochemicals. Rev. Geoamazônia 2017, 5, 86–109. [Google Scholar]
- Castello, L.; Mcgrath, D.G.; Hess, L.L.; Coe, M.T.; Lefebvre, P.A.; Petry, P.; Macedo, M.N.; Renó, V.F.; Arantes, C.C. The Vulnerability of Amazon Freshwater Ecosystems. Conserv. Lett. 2013, 6, 217–229. [Google Scholar] [CrossRef]
- Ferri, M.; Campisi, S.; Polito, L.; Shen, J.; Gervasini, A. Tuning the Sorption Ability of Hydroxyapatite/Carbon Composites for the Simultaneous Remediation of Wastewaters Containing Organic-Inorganic Pollutants. J. Hazard. Mater. 2021, 420, 126656. [Google Scholar] [CrossRef]
- Pignati, W.A.; e Lima, F.A.N.d.S.; de Lara, S.S.; Correa, M.L.M.; Barbosa, J.R.; Leão, L.H.D.C.; Pignatti, M.G. Spatial Distribution of Pesticide Use in Brazil: A Strategy for Health Surveillance. Cienc. Saude Coletiva 2017, 22, 3281–3293. [Google Scholar] [CrossRef]
- Siqueira, G.W.; Pereira, S.D.F.P.; Aprile, F.M. Determination of Trace Elements (Zn, Co and Ni) in Sediments at the Amazon Continental Shelf on Influence of the Amazon River Discharge. Acta Amaz. 2006, 36, 321–326. [Google Scholar] [CrossRef]
- Sass, J.B.; Colangelo, A. European Union Bans Atrazine, While the United States Negotiates Continued Use. Int. J. Occup. Environ. Health 2006, 12, 260–267. [Google Scholar] [CrossRef]
- Barceloux, D.G.; Barceloux, D. Cobalt. J. Toxicol. Clin. Toxicol. 1999, 37, 201–216. [Google Scholar] [CrossRef]
- Azevedo-Santos, V.M.; Rodrigues-Filho, J.L.; Fearnside, P.M.; Lovejoy, T.E.; Brito, M.F.G. Conservation of Brazilian Freshwater Biodiversity: Thinking about the next 10 Years and Beyond. Biodivers. Conserv. 2021, 30, 235–241. [Google Scholar] [CrossRef]
- Thomaz, S.M.; Gomes Barbosa, L.; de Souza Duarte, M.C.; Panosso, R. Opinion: The Future of Nature Conservation in Brazil. Inland Waters 2020, 10, 295–303. [Google Scholar] [CrossRef]
- Graymore, M.; Stagnitti, F.; Allinson, G. Impacts of Atrazine in Aquatic Ecosystems. Environ. Int. 2001, 26, 483–495. [Google Scholar] [CrossRef]
- Brovini, E.M.; de Deus, B.C.T.; Vilas-Boas, J.A.; Quadra, G.R.; Carvalho, L.; Mendonça, R.F.; Pereira, R.d.O.; Cardoso, S.J. Three-Bestseller Pesticides in Brazil: Freshwater Concentrations and Potential Environmental Risks. Sci. Total Environ. 2021, 771, 144754. [Google Scholar] [CrossRef]
- Atrazine, O.; National, E.P.A.; List, P.; States, U.; States, U.; Rico, P. Draft Toxicological Profile for Atrazine. In ATSDR’s Toxicological Profiles; Agency for Toxic Substances and Disease Registry: Atlanta, GA, USA, 2002; pp. 129–160. [Google Scholar] [CrossRef]
- Leyssens, L.; Vinck, B.; Van Der Straeten, C.; Wuyts, F.; Maes, L. Cobalt Toxicity in Humans—A Review of the Potential Sources and Systemic Health Effects. Toxicology 2017, 387, 43–56. [Google Scholar] [CrossRef]
- Hansen, E.; Nilsson, N.H.; Lithner, D.; Lassen, C. Hazardous Substances in Plastic Materials; COWI A/S: Kongens Lyngby, Denmark, 2013; Volume 148. [Google Scholar]
- Ministério de Estado Da Agricultura, Pecuária e Abastecimento (MAPA). Instrução Normativa n. 46 de 22/11/2016. 72; Ministério de Estado Da Agricultura, Pecuária e Abastecimento (MAPA): Brasília, Brazil, 2016. [Google Scholar]
- Cryosystems, O. Crystallographica Search-Match. J. Appl. Cryst. 1999, 32, 379–380. [Google Scholar] [CrossRef]
- Holland, T.J.B.; Redfern, S.A.T. Unit Cell Refinement from Powder Diffraction Data: The Use of Regression Diagnostics. Miner. Mag. 1997, 61, 65–77. [Google Scholar] [CrossRef]
- Momma, K.; Izumi, F. VESTA 3 for Three-Dimensional Visualization of Crystal, Volumetric and Morphology Data. J. Appl. Cryst. 2011, 44, 1272–1276. [Google Scholar] [CrossRef]
- Lagergren, S. About the Theory of So-Called Adsorption of Soluble Substances. K. Sven. Vetenskapsakademiens. Handlingar. Band 1898, 24, 1–39. [Google Scholar]
- Ho, Y.S.; McKay, G. Pseudo-Second Order Model for Sorption Processes. Process Biochem. 1999, 34, 451–465. [Google Scholar] [CrossRef]
- Vargas, A.M.M.; Cazetta, A.L.; Kunita, M.H.; Silva, T.L.; Almeida, V.C. Adsorption of Methylene Blue on Activated Carbon Produced from Flamboyant Pods (Delonix Regia): Study of Adsorption Isotherms and Kinetic Models. Chem. Eng. J. 2011, 168, 722–730. [Google Scholar] [CrossRef]
- Langmuir, I. The Constitution and Fundamental Properties of Solids and Liquids. II. Liquids. J. Am. Chem. Soc. 1917, 39, 1848–1906. [Google Scholar] [CrossRef]
- Freundlich, H.M.F. Uber Die Adsorption in Losungen. J. Phys. Chem. 1906, 57, 385–470. [Google Scholar] [CrossRef]
- Murphy, J.; Riley, J.P. A Modified Single Solution Method for the Determination of Phosphate in Natural Waters. Anal. Chim. Acta 1962, 27, 31–36. [Google Scholar] [CrossRef]
- Crouch, S.R.; Malmstadt, H.V. A Mechanistic Investigation of Molybdenum Blue Method for Determination of Phosphate. Anal. Chem. 1967, 39, 1405. [Google Scholar] [CrossRef]
- Hanrahan, G.; Salmassi, T.M.; Khachikian, C.S.; Foster, K.L. Reduced Inorganic Phosphorus in the Natural Environment: Significance, Speciation and Determination. Talanta 2005, 66, 435–444. [Google Scholar] [CrossRef] [PubMed]
- McLaughlin, M.J.; McBeath, T.M.; Smernik, R.; Stacey, S.P.; Ajiboye, B.; Guppy, C. The Chemical Nature of P Accumulation in Agricultural Soils-Implications for Fertiliser Management and Design: An Australian Perspective. Plant Soil 2011, 349, 69–87. [Google Scholar] [CrossRef]
- Hodge, H.C.; Lefevre, M.L.; Bale, W.F. Chemical and X-ray Diffraction Studies of Calcium Phosphates. Ind. Eng. Chem. Anal. Ed. 1938, 10, 156–161. [Google Scholar] [CrossRef]
- Kay, M.I.; Young, R.A.; Posner, A.S. Crystal Structure of Hydroxyapatite. Nature 1964, 204, 1050–1052. [Google Scholar] [CrossRef]
- Palache, C.; Berman, H.; Frondel, C. Dana’s System of Mineralogy, 7th ed.; Wiley: Hoboken, NJ, USA, 1952; Volume 74. [Google Scholar]
- Visser, J.W.; de Wolff, P.M. Absolute Intensities–Report 641.109. Technisch Physische Dienst: Delft, The Netherlands, 1964. [Google Scholar]
- Bano, N.; Jikan, S.S.; Basri, H.; Adzila, S.; Zago, D.M. XRD and FTIR Study of A&B Type Carbonated Hydroxyapatite Extracted from Bovine Bone. AIP Conf. Proc. 2019, 2068, 020100. [Google Scholar]
- Londoño-Restrepo, S.M.; Millán-Malo, B.M.; del Real-López, A.; Rodriguez-García, M.E. In Situ Study of Hydroxyapatite from Cattle during a Controlled Calcination Process Using HT-XRD. Mater. Sci. Eng. C 2019, 105, 110020. [Google Scholar] [CrossRef]
- McElderry, J.D.P.; Zhu, P.; Mroue, K.H.; Xu, J.; Pavan, B.; Fang, M.; Zhao, G.; McNerny, E.; Kohn, D.H.; Franceschi, R.T.; et al. Crystallinity and Compositional Changes in Carbonated Apatites: Evidence from 31P Solid-State NMR, Raman, and AFM Analysis. J. Solid State Chem. 2013, 206, 192–198. [Google Scholar] [CrossRef]
- Fleet, M.E. Infrared Spectra of Carbonate Apatites: Ν2-Region Bands. Biomaterials 2009, 30, 1473–1481. [Google Scholar] [CrossRef]
- Tonegawa, T.; Ikoma, T.; Yoshioka, T.; Hanagata, N.; Tanaka, J. Crystal Structure Refinement of A-Type Carbonate Apatite by X-Ray Powder Diffraction. J. Mater. Sci. 2010, 45, 2419–2426. [Google Scholar] [CrossRef]
- Talal, A.; Hamid, S.K.; Khan, M.; Khan, A.S. Structure of Biological Apatite. In Handbook of Ionic Substituted Hydroxyapatites; Elsevier: Amsterdam, The Netherlands, 2020; pp. 1–19. [Google Scholar]
- Zubieta-Otero, L.F.; Londoño-Restrepo, S.M.; Lopez-Chavez, G.; Hernandez-Becerra, E.; Rodriguez-Garcia, M.E. Comparative Study of Physicochemical Properties of Bio-Hydroxyapatite with Commercial Samples. Mater. Chem. Phys. 2021, 259, 124201. [Google Scholar] [CrossRef]
- Shaltout, A.A.; Allam, M.A.; Moharram, M.A. FTIR Spectroscopic, Thermal and XRD Characterization of Hydroxyapatite from New Natural Sources. Spectrochim. Acta A Mol. Biomol. Spectrosc. 2011, 83, 56–60. [Google Scholar] [CrossRef]
- Degirmenbasi, N.; Kalyon, D.M.; Birinci, E. Biocomposites of Nanohydroxyapatite with Collagen and Poly(Vinyl Alcohol). Colloids Surf. B Biointerfaces 2006, 48, 42–49. [Google Scholar] [CrossRef]
- Payne, K.J.; Veis, A. Fourier Transform Ir Spectroscopy of Collagen and Gelatin Solutions: Deconvolution of the Amide I Band for Conformational Studies. Biopolymers 1988, 27, 1749–1760. [Google Scholar] [CrossRef]
- Tavakol, S.; Nikpour, M.R.; Amani, A.; Soltani, M.; Rabiee, S.M.; Rezayat, S.M.; Chen, P.; Jahanshahi, M. Bone Regeneration Based on Nano-Hydroxyapatite and Hydroxyapatite/Chitosan Nanocomposites: An In Vitro and In Vivo Comparative Study. J. Nanopart. Res. 2013, 15, 1373. [Google Scholar] [CrossRef]
- Muhammad, N.; Gao, Y.; Iqbal, F.; Ahmad, P.; Ge, R.; Nishan, U.; Rahim, A.; Gonfa, G.; Ullah, Z. Extraction of Biocompatible Hydroxyapatite from Fish Scales Using Novel Approach of Ionic Liquid Pretreatment. Sep. Purif. Technol. 2016, 161, 129–135. [Google Scholar] [CrossRef]
- Drouet, C. Apatite Formation: Why It May Not Work as Planned, and How to Conclusively Identify Apatite Compounds. BioMed Res. Int. 2013, 2013, 490946. [Google Scholar] [CrossRef]
- Samanta, A.; Chanda, D.K.; Das, P.S.; Ghosh, J.; Mukhopadhyay, A.K.; Dey, A. Synthesis of Nano Calcium Hydroxide in Aqueous Medium. J. Am. Ceram. Soc. 2016, 99, 787–795. [Google Scholar] [CrossRef]
- Snavely, D.L.; Dubsky, J. Near-IR Spectra of Polyethylene, Polyethylene Glycol, and Polyvinylethyl Ether. J. Polym. Sci. A Polym. Chem. 1996, 34, 2575–2579. [Google Scholar] [CrossRef]
- Hooi, M.T.; Phang, S.W.; Yow, H.Y.; David, E.; Kim, N.X.; Choo, H.L. FTIR Spectroscopy Characterization and Critical Comparison of Poly(Vinyl)Alcohol and Natural Hydroxyapatite Derived from Fish Bone Composite for Bone-Scaffold. J. Phys. Conf. Ser. 2021, 2120, 012004. [Google Scholar] [CrossRef]
- Goloshchapov, D.L.; Lenshin, A.S.; Savchenko, D.V.; Seredin, P.V. Importance of Defect Nanocrystalline Calcium Hydroxyapatite Characteristics for Developing the Dental Biomimetic Composites. Results Phys. 2019, 13, 102158. [Google Scholar] [CrossRef]
- Rey, C.; Marsan, O.; Combes, C.; Drouet, C.; Grossin, D.; Sarda, S. Characterization of Calcium Phosphates Using Vibrational Spectroscopies. Adv. Calcium Phosphate Biomater. 2014, 2, 229–266. [Google Scholar]
- Rehman, I.; Bonfield, W. Characterization of Hydroxyapatite and Carbonated Apatite by Photo Acoustic FTIR Spectroscopy. J. Mater. Sci. Mater. Med. 1997, 8, 1–4. [Google Scholar] [CrossRef]
- Zhou, W.Y.; Wang, M.; Cheung, W.L.; Guo, B.C.; Jia, D.M. Synthesis of Carbonated Hydroxyapatite Nanospheres through Nanoemulsion. J. Mater. Sci. Mater. Med. 2008, 19, 103–110. [Google Scholar] [CrossRef]
- Youness, R.A.; Taha, M.A.; Elhaes, H.; Ibrahim, M. Molecular Modeling, FTIR Spectral Characterization and Mechanical Properties of Carbonated-Hydroxyapatite Prepared by Mechanochemical Synthesis. Mater. Chem. Phys. 2017, 190, 209–218. [Google Scholar] [CrossRef]
- Israelachvili, J. Intermolecular and Surface Forces; Academic Press: Cambridge, MA, USA, 2011. [Google Scholar]
- Porsani, N.K.; Trombini, V.; Ana, P.A.; Setz, L.F.G. Rheological Evaluation of Hydroxyapatite. Ceramica 2018, 64, 325–330. [Google Scholar] [CrossRef]
- Yoganand, C.P.; Selvarajan, V.; Goudouri, O.M.; Paraskevopoulos, K.M.; Wu, J.; Xue, D. Preparation of Bovine Hydroxyapatite by Transferred Arc Plasma. Curr. Appl. Phys. 2011, 11, 702–709. [Google Scholar] [CrossRef]
- Ivanova, T.I.; Frank-Kamenetskaya, O.V.; Kol’tsov, A.B.; Ugolkov, V.L. Crystal Structure of Calcium-Deficient Carbonated Hydroxyapatite. Thermal Decomposition. J. Solid State Chem. 2001, 160, 340–349. [Google Scholar] [CrossRef]
- Wilson, R.M.; Elliott, J.C.; Dowker, S.E.P.; Rodriguez-Lorenzo, L.M. Rietveld Refinements and Spectroscopic Studies of the Structure of Ca-Deficient Apatite. Biomaterials 2005, 26, 1317–1327. [Google Scholar] [CrossRef]
- Zyman, Z.Z.; Rokhmistrov, D.V.; Glushko, V.I.; Ivanov, I.G. Thermal Impurity Reactions and Structural Changes in Slightly Carbonated Hydroxyapatite. J. Mater. Sci. Mater. Med. 2009, 20, 1389–1399. [Google Scholar] [CrossRef]
- Elliott, J.C. Structure and Chemistry of the Apatites and Other Calcium Orthophosphates. In Studies in Organic Chemistry; Elsevier: Amsterdam, The Netherlands, 1994; Volume 18. [Google Scholar]
- Ramirez-Gutierrez, C.F.; Londoño-Restrepo, S.M.; del Real, A.; Mondragón, M.A.; Rodriguez-García, M.E. Effect of the Temperature and Sintering Time on the Thermal, Structural, Morphological, and Vibrational Properties of Hydroxyapatite Derived from Pig Bone. Ceram. Int. 2017, 43, 7552–7559. [Google Scholar] [CrossRef]
- Lozano, L.F.; Peña-Rico, M.A.; Jang-Cho, H.; Heredia, A.; Villareal, E.; Ocotlán-Flores, J.; Gomez-Cortes, A.L.; Aranda-Manteca, F.J.; Orozco, E.; Bucio, L. Thermal Properties of Mineralized and Non Mineralized Type I Collagen in Bone. Mater. Res. Soc. Symp. Proc. 2002, 724, N7.6. [Google Scholar] [CrossRef][Green Version]
- Tõnsuaadu, K.; Gross, K.A.; Pluduma, L.; Veiderma, M. A Review on the Thermal Stability of Calcium Apatites. J. Therm. Anal. Calorim. 2012, 110, 647–659. [Google Scholar] [CrossRef]
- Ramanathan, G.; Singaravelu, S.; Raja, M.D.; Liji Sobhana, S.S.; Sivagnanam, U.T. Extraction and Characterization of Collagen from the Skin of Arothron Stellatus Fish—A Novel Source of Collagen for Tissue Engineering. J. Biomater. Tissue Eng. 2014, 4, 203–209. [Google Scholar] [CrossRef]
- Liao, C.J.; Lin, F.H.; Chen, K.S.; Sun, J.S. Thermal Decomposition and Reconstitution of Hydroxyapatite in Air Atmosphere. Biomaterials 1999, 20, 1807–1813. [Google Scholar] [CrossRef]
- Wang, T.; Dorner-Reisel, A.; Müller, E. Thermogravimetric and Thermokinetic Investigation of the Dehydroxylation of a Hydroxyapatite Powder. J. Eur. Ceram. Soc. 2004, 24, 693–698. [Google Scholar] [CrossRef]
- Wang, P.E.; Chaki, T.K. Sintering Behaviour and Mechanical Properties of Hydroxyapatite and Dicalcium Phosphate. J. Mater. Sci. Mater. Med. 1993, 4, 150–158. [Google Scholar] [CrossRef]
- Li, Y.; Kong, F.; Weng, W. Preparation and Characterization of Novel Biphasic Calcium Phosphate Powders (α-TCP/HA) Derived from Carbonated Amorphous Calcium Phosphates. J. Biomed. Mater. Res. B Appl. Biomater. 2009, 89, 508–517. [Google Scholar] [CrossRef]
- Astala, R.; Stott, M.J. First Principles Investigation of Mineral Component of Bone: CO3 Substitutions in Hydroxyapatite. Chem. Mater. 2005, 17, 4125–4133. [Google Scholar] [CrossRef]
- Bonfield, W.; Gibson, I.R. Novel Synthesis and Characterization of an AB-Type Carbonate-Substituted Hydroxyapatite. J. Biomed. Mater. Res. 2002, 59, 697–708. [Google Scholar] [CrossRef]
- Trombe, J.C.; Montel, G. Some Features of the Incorporation of Oxygen in Different Oxidation States in the Apatitic Lattice-I On the Existence of Calcium and Strontium Oxyapatites. J. Inorg. Nucl. Chem. 1978, 40, 15–21. [Google Scholar] [CrossRef]
- Cihlář, J.; Buchal, A.; Trunec, M. Kinetics of Thermal Decomposition of Hydroxyapatite Bioceramics. J. Mater. Sci. 1999, 34, 6121–6131. [Google Scholar] [CrossRef]
- Park, H.C.; Baek, D.J.; Park, Y.M.; Yoon, S.Y.; Stevens, R. Thermal Stability of Hydroxyapatite Whiskers Derived from the Hydrolysis of α-TCP. J. Mater. Sci. 2004, 39, 2531–2534. [Google Scholar] [CrossRef]
- Jaworski, J.W.; Cho, S.; Kim, Y.; Jung, J.H.; Jeon, H.S.; Min, B.K.; Kwon, K.Y. Hydroxyapatite Supported Cobalt Catalysts for Hydrogen Generation. J. Colloid Interface Sci. 2013, 394, 401–408. [Google Scholar] [CrossRef]
- Kramer, E.; Itzkowitz, E.; Wei, M. Synthesis and Characterization of Cobalt-Substituted Hydroxyapatite Powders. Ceram. Int. 2014, 40, 13471–13480. [Google Scholar] [CrossRef]
- Handley-Sidhu, S.; Renshaw, J.C.; Moriyama, S.; Stolpe, B.; Mennan, C.; Bagheriasl, S.; Yong, P.; Stamboulis, A.; Paterson-Beedle, M.; Sasaki, K.; et al. Uptake of Sr2+ and Co2+ into Biogenic Hydroxyapatite: Implications for Biomineral Ion Exchange Synthesis. Environ. Sci. Technol. 2011, 45, 6985–6990. [Google Scholar] [CrossRef]
- Pang, Y.; Kong, L.; Chen, D.; Yuvaraja, G.; Mehmood, S. Facilely Synthesized Cobalt Doped Hydroxyapatite as Hydroxyl Promoted Peroxymonosulfate Activator for Degradation of Rhodamine B. J. Hazard. Mater. 2020, 384, 121447. [Google Scholar] [CrossRef]
- Pyo, E.; Lee, K.; Jang, M.J.; Ko, I.H.; Kim, C.S.; Choi, S.M.; Lee, S.; Kwon, K.Y. Cobalt Incorporated Hydroxyapatite Catalyst for Water Oxidation. ChemCatChem 2019, 11, 5425–5429. [Google Scholar] [CrossRef]
- McCabe, W.L.; Smith, J.C.; Harriott, P. Unit Operations of Chemical Engineering, 4th ed.; McGraw-Hill: New York, NY, USA, 1985. [Google Scholar]
- Foo, K.Y.; Hameed, B.H. Insights into the Modeling of Adsorption Isotherm Systems. Chem. Eng. J. 2010, 156, 2–10. [Google Scholar] [CrossRef]
- Langmuir, I. The Constitution and Fundamental Properties of Solids and Liquids. Part I. Solids. J. Am. Chem. Soc. 1916, 38, 5425–5429. [Google Scholar] [CrossRef]
- Al-Ghouti, M.A.; Da’ana, D.A. Guidelines for the Use and Interpretation of Adsorption Isotherm Models: A Review. J. Hazard. Mater. 2020, 393, 122383. [Google Scholar] [CrossRef]
- Ferri, M.; Campisi, S.; Gervasini, A. Nickel and Cobalt Adsorption on Hydroxyapatite: A Study for the de-Metalation of Electronic Industrial Wastewaters. Adsorption 2019, 25, 649–660. [Google Scholar] [CrossRef]
- Handley-Sidhu, S.; Mullan, T.K.; Grail, Q.; Albadarneh, M.; Ohnuki, T.; MacAskie, L.E. Influence of PH, Competing Ions, and Salinity on the Sorption of Strontium and Cobalt onto Biogenic Hydroxyapatite. Sci. Rep. 2016, 6, 23361. [Google Scholar] [CrossRef]
- Handley-Sidhu, S.; Renshaw, J.C.; Yong, P.; Kerley, R.; Macaskie, L.E. Nano-Crystalline Hydroxyapatite Bio-Mineral for the Treatment of Strontium from Aqueous Solutions. Biotechnol. Lett. 2011, 33, 79–87. [Google Scholar] [CrossRef]
- Handley-Sidhu, S.; Hriljac, J.A.; Cuthbert, M.O.; Renshaw, J.C.; Pattrick, R.A.D.; Charnock, J.M.; Stolpe, B.; Lead, J.R.; Baker, S.; Macaskie, L.E. Bacterially Produced Calcium Phosphate Nanobiominerals: Sorption Capacity, Site Preferences, and Stability of Captured Radionuclides. Environ. Sci. Technol. 2014, 48, 6891–6898. [Google Scholar] [CrossRef]
- Sciena, C.R.; dos Santos, M.F.; Moreira, F.K.V.; Sena Neto, A.R.; Marconcini, J.M.; Correa, D.S.; Paris, E.C. Starch:Pectin Acidic Sachets Development for Hydroxyapatite Nanoparticles Storage to Improve Phosphorus Release. J. Polym. Environ. 2019, 27, 794–802. [Google Scholar] [CrossRef]
- Hankermeyer, C.R.; Ohashi, K.L.; Delaney, D.C.; Ross, J.; Constantz, B.R. Dissolution Rates of Carbonated Hydroxyapatite in Hydrochloric Acid. Biomaterials 2002, 23, 743–750. [Google Scholar] [CrossRef]
- Wang, D.; Xie, Y.; Jaisi, D.P.; Jin, Y. Effects of Low-Molecular-Weight Organic Acids on the Dissolution of Hydroxyapatite Nanoparticles. Environ. Sci. Nano 2016, 3, 768–779. [Google Scholar] [CrossRef]
- Malafatti, J.O.D.; Moreira, A.J.; Sciena, C.R.; Silva, T.E.M.; Freschi, G.P.G.; Pereira, E.C.; Paris, E.C. Prozac® Removal Promoted by HAP:Nb2O5nanoparticles System: By-Products, Mechanism, and Cytotoxicity Assessment. J. Environ. Chem. Eng. 2021, 9, 104820. [Google Scholar] [CrossRef]













| Model | Equations | Linear Form | References |
|---|---|---|---|
| Pseudo-first order kinetics | (2) | [76] | |
| Pseudo-second order kinetics | (3) | [77] | |
| (4) | [78] | ||
| Langmuir Isotherm | (5) | [79] | |
| Freundlich Isotherm | (6) | [80] |
| Sample ID\Unit Cell Parameters | ||||
|---|---|---|---|---|
| Reference HAp card (PDF n. 9-432) | 9.418 | 6.884 | 0.7309 | 528.88 |
| F−Hap * | 9.41673 ±0.00093 | 6.85635 ±0.00065 | 0.7281 | 526.5311 ±0.1013 |
| HAp_600 °C | 9.38819 ±0.00037 | 6.85108 ±0.00050 | 0.7298 | 522.9424 ±0.0440 |
| HAp_900 °C | 9.39021 ±0.00033 | 6.85898 ±0.00046 | 0.7304 | 523.7700 ±0.0395 |
| Wavenumber (cm−1) | Assignment * | Functional Group ** | References |
|---|---|---|---|
| 3580 | Aa b c | O-H structurally bond, a weak band (HAp) | [92,95] |
| 3300 | Ba | O-H broadband (water) | [95,96] |
| 3000 | Ca | C–H (fats, organic matter) | [95,96,97] |
| 2916 | D a | ||
| 2836 | Ea | ||
| 1640 | F a | O-H (water) | [95,96] |
| C=O (amide I and collagen) | [97,98,99] | ||
| 1560 | G a | Amides I and II | [97,98,99] |
| 1457 | H a b c | CO32− (B-type originated) | [96,99] |
| 1410 | I a b c | ||
| 1302 | J a | Amides II and III | [97,100] |
| 1216 | K a | ||
| 1088 | L a b c | CO32− and PO43− (PO stretching) | [99,101,102] |
| 1020 | M a b c | PO43− (PO stretching) | [89,92,101] |
| 960 | N b c | PO43− (PO stretching) | [89,92,101] |
| 872 | O a b c | CO32− (B-type originated) | [89,92,96,101] |
| 673 | P a | C–H (impurities) | [95,103] |
| 631 | Q b c | O-H vibration (HAp), shouldered to PO43− | [101,104] |
| 597 | R a b c | PO43− | [101,105,106] |
| 560 | S a b c | ||
| 471 | T a b c | PO43− | [101,107] |
| Sample ID | pH | Zeta Potential (ZP) |
|---|---|---|
| F−HAp | 6.2 | −20.3 mV |
| HAp_600 °C | 6.7 | −4.6 mV |
| HAp_900 °C | 6.2 | −0.7 mV |
| Sample ID | Weight Loss (%) | |||
|---|---|---|---|---|
| 25–200 °C (Water) | 200–550 °C (Organic) | 550–900 °C (Inorganic) | 25–900 °C (Total Weight Loss) | |
| F−HAp | 11.7 | 33.8 | 1.24 | 46.7 |
| HAp_600 °C | 1.42 | 0.78 | 1.49 | 3.69 |
| HAp_900 °C | 0.23 | 0.46 | 0.73 | 1.41 |
| Kinetics\Sample ID | Atrazine Adsorption | Cobalt Adsorption | |||||
|---|---|---|---|---|---|---|---|
| F−HAp | HAp_600 °C | HAp_900 °C | F−HAp | HAp_600 °C | HAp_900 °C | ||
| Pseudo-first order | (min−1) | 0.002073 | 0.001152 | 0.001612 | 0.0006909 | 0.001842 | 0.001612 |
(mg g−1) | 3.039 | 0.4300 | 0.07047 | 2.750 | 1.682 | 2.233 | |
| R2 | 0.9505 | 0.8193 | 0.9319 | 0.2558 | 0.8423 | 0.2271 | |
| Pseudo-second order | (g min−1 mg−1) | 0.003030 | 0.009343 | 0.1657 | 0.004131 | 0.004824 | 0.009407 |
(mg g−1) | 9.141 | 7.042 | 6.627 | 8.658 | 9.852 | 8.569 | |
(mg min−1) | 0.2532 | 0.4633 | 7.2771 | 0.3097 | 0.4682 | 0.6907 | |
| R2 | 0.9998 | 0.9996 | 1.000 | 0.9881 | 0.9994 | 0.9830 | |
| EXPERIMENTAL ADSORPTION CAPACITY (mg g−1) | 8.98 | 6.91 | 6.62 | 8.95 | 9.63 | 9.21 | |
| Kinetics\Sample ID | Atrazine Adsorption | Cobalt Adsorption | |||||
|---|---|---|---|---|---|---|---|
| F−HAp | HAp_600 °C | HAp_900 °C | F−HAp | HAp_600 °C | HAp_900 °C | ||
| Langmuir | (L mg−1) | −0.003924 | −0.006467 | −0.01062 | 0.00009431 | 0.002412 | 0.001168 |
(mg g−1) | −26.04 | −24.15 | −14.18 | 625.0 | 68.03 | 84.75 | |
| 0.9073 | 0.8649 | 0.8691 | 0.9443 | 0.8590 | 0.9099 | ||
| R2 | 0.7324 | 0.5122 | 0.8239 | 0.0076 | 0.7372 | 0.5258 | |
| Freundlich | (mg g−1) | 0.07654 | 0.1182 | 0.06618 | 0.04707 | 0.7244 | 0.2108 |
| 0.8637 | 0.8297 | 0.6885 | 0.9430 | 1.660 | 1.258 | ||
| 1.158 | 1.205 | 1.453 | 1.061 | 0.6024 | 0.7949 | ||
| R2 | 0.9889 | 0.9301 | 0.9902 | 0.9436 | 0.9724 | 0.9490 | |
| FREUNDLICH FAVORABILITY | U | U | U | U | F | F | |
| Data\Sample ID | Blank (Water) | F−HAp | HAp_600 °C | HAp_900 °C |
|---|---|---|---|---|
| Total seeds | 21 | 19 | 18 | 19 |
| Germinated seeds | 11 | 12 | 14 | 2 |
| Viability percentage (%) | 52 | 63 | 78 | 10 |
Disclaimer/Publisher’s Note: The statements, opinions and data contained in all publications are solely those of the individual author(s) and contributor(s) and not of MDPI and/or the editor(s). MDPI and/or the editor(s) disclaim responsibility for any injury to people or property resulting from any ideas, methods, instructions or products referred to in the content. |
© 2023 by the authors. Licensee MDPI, Basel, Switzerland. This article is an open access article distributed under the terms and conditions of the Creative Commons Attribution (CC BY) license (https://creativecommons.org/licenses/by/4.0/).
Share and Cite
Renda, C.G.; Ruellas, T.M.d.O.; Malafatti, J.O.D.; Araújo, C.S.S.; Silva, G.L.d.; Figueira, B.A.M.; Quaranta, S.; Paris, E.C. A “Zero-Cost” Adsorbing Hydroxyapatite-Based Material from Amazon Fishery Waste for Water Remediation and Nutrient Release for Agriculture. Physchem 2023, 3, 34-60. https://doi.org/10.3390/physchem3010004
Renda CG, Ruellas TMdO, Malafatti JOD, Araújo CSS, Silva GLd, Figueira BAM, Quaranta S, Paris EC. A “Zero-Cost” Adsorbing Hydroxyapatite-Based Material from Amazon Fishery Waste for Water Remediation and Nutrient Release for Agriculture. Physchem. 2023; 3(1):34-60. https://doi.org/10.3390/physchem3010004
Chicago/Turabian StyleRenda, Carmen Greice, Thamara Machado de Oliveira Ruellas, João Otávio Donizette Malafatti, Carla Suellem Sousa Araújo, Gabriela Leite da Silva, Bruno Apolo Miranda Figueira, Simone Quaranta, and Elaine Cristina Paris. 2023. "A “Zero-Cost” Adsorbing Hydroxyapatite-Based Material from Amazon Fishery Waste for Water Remediation and Nutrient Release for Agriculture" Physchem 3, no. 1: 34-60. https://doi.org/10.3390/physchem3010004
APA StyleRenda, C. G., Ruellas, T. M. d. O., Malafatti, J. O. D., Araújo, C. S. S., Silva, G. L. d., Figueira, B. A. M., Quaranta, S., & Paris, E. C. (2023). A “Zero-Cost” Adsorbing Hydroxyapatite-Based Material from Amazon Fishery Waste for Water Remediation and Nutrient Release for Agriculture. Physchem, 3(1), 34-60. https://doi.org/10.3390/physchem3010004

