Seasonal Dynamics of Heavy Metal Concentrations in Water and Fish from Hakaluki Haor of Bangladesh
Abstract
:1. Introduction
2. Materials and Methods
2.1. Study Area
2.2. Sample Collection and Preservation
2.3. Sample Preparation
2.4. Sample Analysis and Heavy Metals Determination
2.5. Blank Preparation
2.6. Physical and Chemical Parameters of Water
2.7. Statistical Analysis
3. Results
3.1. Heavy Metals Concentration in Water
3.2. Heavy Metals Concentration in Fish
3.2.1. Lead (Pb) Concentrations
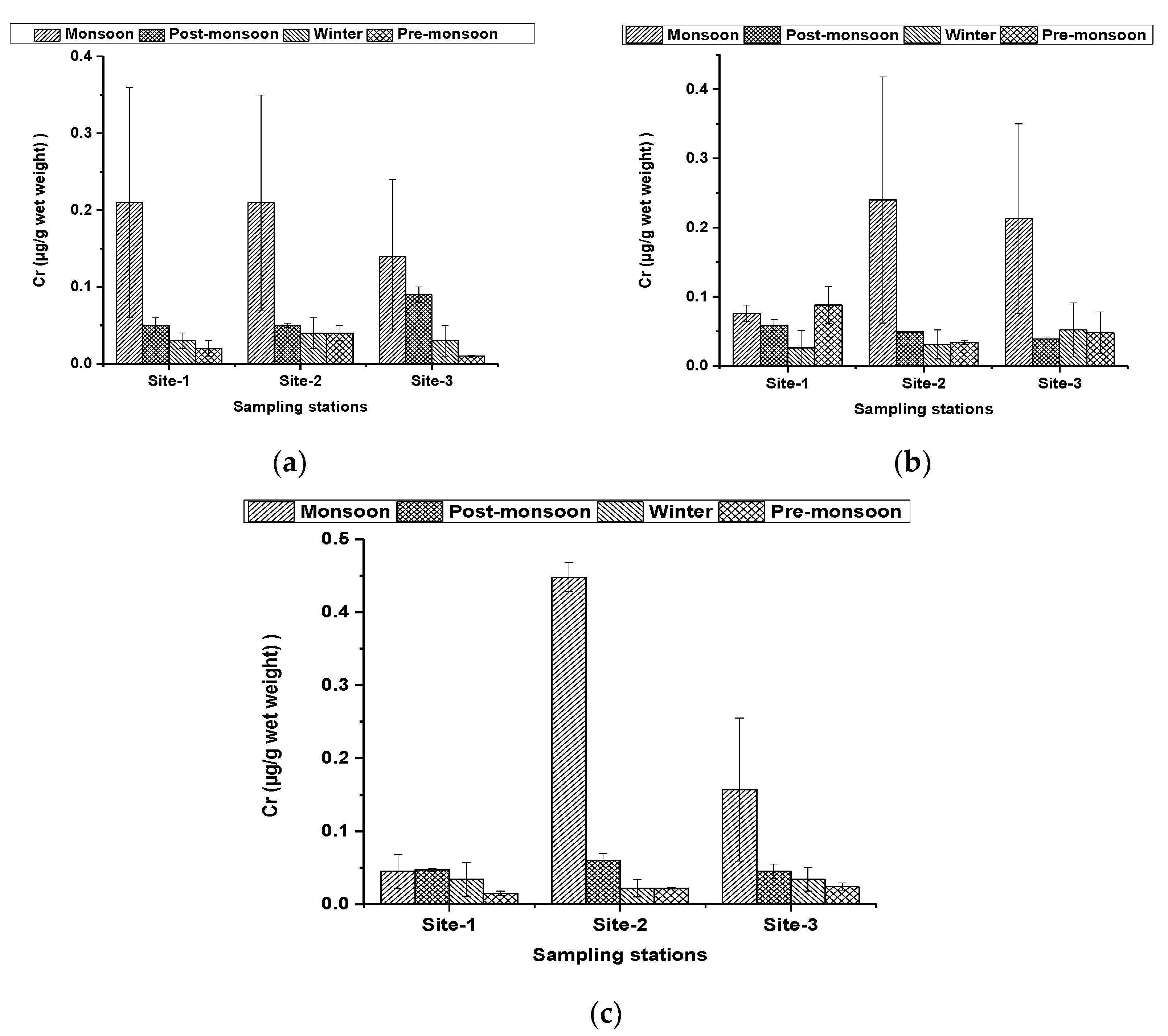
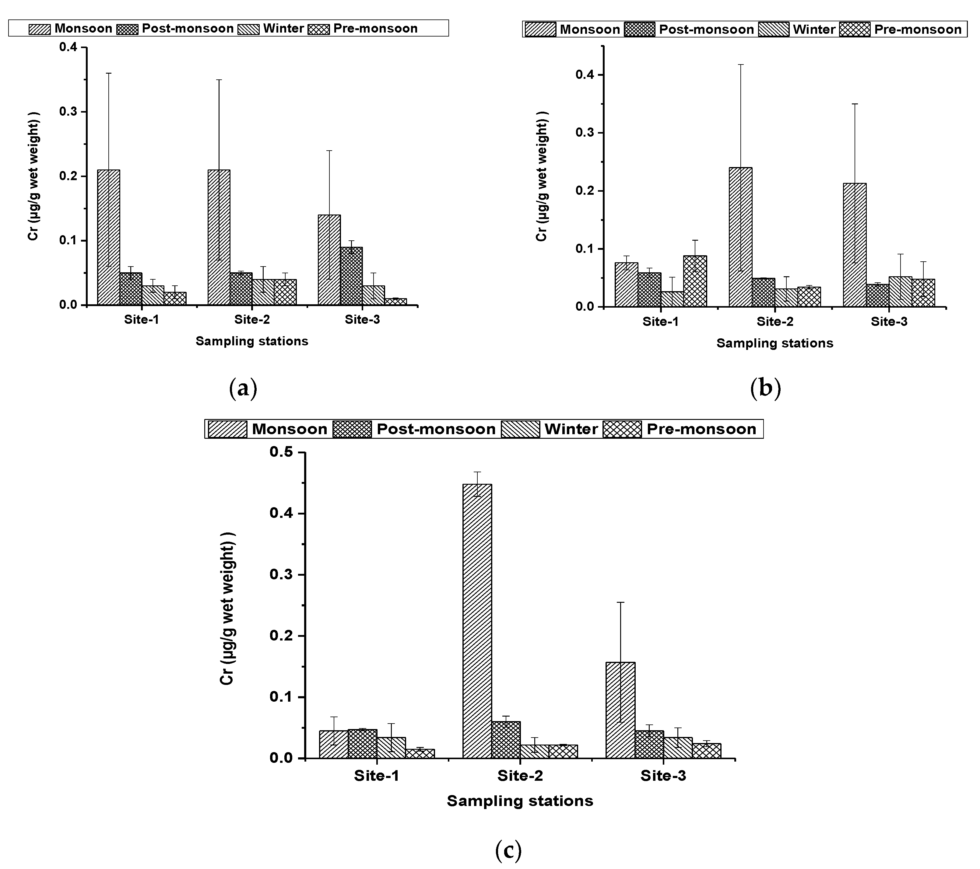
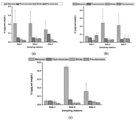
3.2.2. Chromium (Cr) Concentrations
3.2.3. Cadmium (Cd) concentrations
3.3. Water Quality Parameters
4. Discussion
4.1. Heavy Metals Concentration in Water
4.2. Heavy Metals Concentration in Fish
4.3. Water Quality Parameters
5. Conclusions
Author Contributions
Funding
Institutional Review Board Statement
Informed Consent Statement
Data Availability Statement
Conflicts of Interest
References
- Pandit, D.; Kunda, M.; Harun-Al-Rashid, A.; Sufian, M.A.; Mazumder, S.K. Present status of fish biodiversity in Dekhar Haor, Bangladesh: A case study. World J. Fish Marine Sci. 2015, 7, 278–287. [Google Scholar] [CrossRef]
- CNRS (Centre for Natural Resource Study). Bio-Physical Characteristics of Hakaluki Haor; Dhaka Press: Dhaka, Bangladesh, 2002; pp. 7–20. [Google Scholar]
- Ahmed, I.; Deaton, B.J.; Sarker, R.; Virani, T. Wetland ownership and management in a common property resource setting: A case study of Hakaluki Haor in Bangladesh. Ecol. Econ. 2008, 68, 429–436. [Google Scholar] [CrossRef]
- Karim, A. Plant diversity and their conservation in freshwater wetlands. In Freshwater Wetlands in Bangladesh: Issues and Approaches for Management, 2nd ed.; Nishat, A., Hussain, Z., Roy, M.K., Karim, A., Eds.; IUCN: Gland, Switzerland, 1993; pp. 75–104. [Google Scholar]
- Choudhury, J.K.; Faisal, A.M. Plant Resources of Haors and Floodplains; An Overview, IUCN-The World Conservation Union; Bangladesh Country Office: Dhaka, Bangladesh, 2005. [Google Scholar]
- More, T.G.; Rajput, R.A.; Bandela, N.N. Impact of heavy metals on DNA content in the whole body of freshwater bivalve, Lamelleiden marginalis. Environ. Sci. Pollut. Res. 2003, 22, 605–616. [Google Scholar]
- Dural, M.; Göksu, M.Z.L.; Özak, A.A. Investigation of heavy metal levels in economically important fish species captured from the Tuzla lagoon. Food Chem. 2007, 102, 415–421. [Google Scholar] [CrossRef]
- Labonne, M.; Othman, D.B.; Luck, J.M. Lead isotopes in muscels as tracers of metal sources and water movements in a Lagoon (Thau Basin, S. France). Chem. Geol. 2001, 181, 181–191. [Google Scholar] [CrossRef]
- Goodwin, T.H.; Young, A.R.; Holmes, M.G.R.; Old, G.H.; Hewitt, N.; Leeks, G.J.L.; Packman, J.C.; Smith, B.P.G. The temporal and spatial variability of sediment transport and yields within the Bradford Beck catchment, West Yorkshire. Sci. Total Environ. 2003, 314, 475–494. [Google Scholar] [CrossRef]
- Karvelas, M.; Athanasios, K.; Samara, C. Occurence and fate of heavy metals in the waste water treatment process. Chemosphere 2003, 53, 1201–1210. [Google Scholar] [CrossRef]
- Mansour, S.A.; Sidky, M.M. Heavy metals contaminating water and fish from Fayoum Governorate, Egypt. Food Chem. 2002, 78, 15–22. [Google Scholar] [CrossRef]
- Čelechovská, O.; Svobodová, Z.; Žlábek, V.; Macharačková, B. Distribution of metals in tissues of the common carp (Cyprinus carpio L.). Acta Vet. Brno. 2007, 76, 93–100. [Google Scholar] [CrossRef]
- Spurný, P.; Mareš, J.; Hedbavny, J.; Sukop, I. Heavy metal distribution in the ecosystems of the upper course of the Jihlava River. Czech J. Anim. Sci. 2002, 47, 160–167. [Google Scholar]
- Hayat, S.; Javed, M.; Razzaq, S. Growth performance of metal stressed major carps viz. Catla catla, Labeo rohita and Cirrhina mrigala reared under semi-intensive culture system. Pakistan Vet. J. 2007, 27, 8–12. [Google Scholar]
- Copat, C.; Bella, F.; Castaing, M.; Fallico, R.; Sciacca, S.; Ferrante, M. Heavy metals concentrations in fish from Sicily (Mediterranean Sea) and evaluation of possible health risks to consumers. Bull. Environ. Contam. Toxicol. 2012, 88, 78–83. [Google Scholar] [CrossRef] [PubMed]
- Mansour, S.A.; Belal, M.H.; Abou-Arab, A.A.K.; Gad, M.F. Monitoring of pesticides and heavy metals in cucumber fruits produced from different farming systems. Chemosphere 2009, 75, 601–609. [Google Scholar] [CrossRef] [PubMed]
- Islam, M.; Rahman, M.; Kabir, M.; Hoq, M.; Meghla, N.T.; Suravi, S.; Sarker, M. Seasonal Dynamics of Heavy Metal Concentrations in Water, Fish and Sediments from Haor Region of Bangladesh. Pollution 2021, 7, 843–857. [Google Scholar]
- Islam, M.A.; Islam, M.J.; Barman, S.K.; Morshed, F.; Marine, S.S. Study on present status of fish biodiversity in wetlands of sylhet district, Bangladesh. Agric. Fores. Fish. 2015, 4, 296–299. [Google Scholar]
- Barman, S.K.; Kunda, M.; Mazumder, S.K.; Nahiduzzaman, M.; Barman, P.P.; Das, S.K. Fish-diversity in the Kura river of Bangladesh: Patterns and threats. Malays. Appl. Biol. 2021, 50, 1–14. [Google Scholar] [CrossRef]
- Kalay, M.; Aly, O.; Canil, M. Heavy metal concentrations in fish tissues from the Northeast Mediterranean sea. Bull. Environ. Contam. Toxicol. 1999, 63, 673–681. [Google Scholar] [CrossRef]
- Akter, S.; Saha, S.K.; Kabir, M.H.; Mamun, S.A.; Islam, M.S. Fluctuations in water quality at Hakaluki haor of Bangladesh. Bangladesh J. Environ. Sci. 2017, 32, 35–40. [Google Scholar]
- Islam, A.; Hossain, M.M.; Rahim, M.M.; Hasan, M.M.; Hassan, M.T.; Begum, M.; Ahmed, Z. Assessment of heavy metals concentration in water and Tengra fish (Mystus vittatus) of Surma River in Sylhet region of Bangladesh. Arch. Agric. Environ. Sci. 2019, 4, 151–156. [Google Scholar] [CrossRef]
- Ali, M.M.; Ali, M.L.; Islam, M.S.; Rahman, M.Z. Preliminary assessment of heavy metals in water and sediment of Karnaphuli River, Bangladesh. Environ. Nanotech. Monit. Manag. 2016, 5, 27–35. [Google Scholar] [CrossRef]
- Elnabris, K.J.; Muzyed, S.K.; El-Ashgar, N.M. Heavy metal concentrations in some commercially important fishes and their contribution to heavy metals exposure in Palestinian people of Gaza Strip (Palestine). J. Assoc. Arab Univ. Basic Appl. Sci. 2013, 13, 44–51. [Google Scholar] [CrossRef]
- World Health Organization (WHO). Guidelines for Drinking-Water Quality, 3rd ed.; WHO: Geneva, Switzerland, 2008; pp. 1–459. [Google Scholar]
- Ahmed, M.K.; Ahamed, S.; Rahman, S.; Haque, M.R.; Islam, M.M. Heavy metals concentration in water, sediments and their bioaccumulation in some freshwater fishes and mussel in Dhaleshwari River, Bangladesh. Terr. Aquat. Environ. Toxicol. 2009, 3, 33–41. [Google Scholar]
- Arefin, M.T.; Rahman, M.M.; Wahid-U-Zzaman, M.; Kim, J.E. Heavy Metal Contamination in Surface Water Used for Irrigation: Functional Assessment of the Turag River in Bangladesh. J. Appl. Biol. Chem. 2016, 59, 83–90. [Google Scholar] [CrossRef]
- Obaroh, I.O.; Abubakar, U.; Haruna, M.A.; Elinge, M.C. Evaluation of some Heavy Metals Concentration in River Argungu. J. Fish. Aqua. Sci. 2015, 10, 581–586. [Google Scholar] [CrossRef]
- Hassan, M.; Rahman, M.A.T.M.T.; Saha, B.; Kamal, A.K.I. Status of Heavy Metals in Water and Sediment of the Meghna River, Bangladesh. Am. J. Environ. Sci. 2015, 11, 427–439. [Google Scholar] [CrossRef]
- Zarazua, G.P.; Ávila-Pérez, P.S.; Tejeda, S.I.; Barcelo-Quintal, I.; Martínez, T. Analysis of total and dissolved heavy metals in surface water of a Mexican polluted river by total reflection X-ray fluorescence spectrometry. Spectrochim. Acta 2006, 61, 1180–1184. [Google Scholar] [CrossRef]
- Ahmad, M.K.; Islam, S.; Rahman, M.S.; Haque, M.R.; Islam, M.M. Heavy Metals in Water, Sediment and Some Fishes of Buriganga River, Bangladesh. Inter. J. Environ. Res. 2010, 4, 321–332. [Google Scholar]
- Jaishankar, M.; Tseten, T.; Anbalagan, N.; Mathew, B.B.; Krishnamurthy, N.; Beeregowda, K.N. Toxicity, mechanism and health effects of some heavy metals. Interdiscip. Toxicol. 2014, 7, 60–72. [Google Scholar] [CrossRef]
- European Union (EU). Directive 2006/44/EC of the European Parliament and of the Council of 6 September 2006 on the quality of fresh waters needing protection or improvement in order to support fish life. Off. J. Eur. Un. L 264/22 En. 2006, 47, 205–218. [Google Scholar]
- Kabir, M.H.; Islam, M.S.; Tusher, T.R.; Hoq, M.E.; Muliadi and Mamun, S.A. Changes of heavy metal contaminations in Shitalakhya River water of Bangladesh with seasons. Indones. J. Sci.Technol. 2020, 5, 395–409. [Google Scholar] [CrossRef]
- Islam, M.S.; Kormoker, T.; Mazumder, M.; Anika, S.E.; Islam, M.T.; Hemy, D.H.; Mimi, U.S.; Proshad, R.; Kabir, M.H.; Idris, A.M. Trace elements concentration in soil and plant within the vicinity of abandoned tanning sites in Bangladesh: An integrated chemometric approach for health risk assessment. Toxin Rev. 2021, 40, 1–16. [Google Scholar] [CrossRef]
- Fish Inspection and Quality Control (FIQC). Fish and Fishery Products (Inspection and Quality Control) Rule, 1997 Ammended on 2014; Fish Inspection and Quality Control (FIQC): Khulna, Bangladesh, 2014. [Google Scholar]
- Rehnuma, M.; Islam, M.S.; Meghla, N.T.; Kabir, M.H. Heavy metal exploration in water and fish from Bangshi River at Mirzapur area under Tangail district of Bangladesh. Bangladesh J. Environ. Sci. 2016, 30, 7–12. [Google Scholar]
- Food and Agriculture Organization (FAO). Compilation of Legal Limits for Hazardous Substances in Fish and Fishery Products; FAO Fishery Circular No. 464; FAO: Rome, Italy, 1983; pp. 5–100. [Google Scholar]
- Bahnasawy, M.; Khidr, A.; Dheina, N. Seasonal variations of heavy metals concentrations in Mullet, Mugil cephalus and Liza ramada (Mugilidae) from Lake Manzala, Egypt. J. Appl. Sci. Res. 2009, 5, 845–852. [Google Scholar] [CrossRef]
- Rahman, M.S.; Molla, A.H.; Saha, N.; Rahman, A. Study on heavy metals levels and its risk assessment in some edible fishes from Bangshi River, Savar, Dhaka, Bangladesh. Food Chem. 2012, 134, 1847–1854. [Google Scholar] [CrossRef] [PubMed]
- Raja, P.; Veerasingam, S.; Suresh, G.; Marichamy, G.; Venkatachalapathy, R. Heavy metals concentration in four commercially valuable marine edible fish species from Parangipettai Coast, South East Coast of India. Int. J. Anim. Vet. Adv. 2009, 1, 10–14. [Google Scholar]
- Naeem, M.; Salam, A.; Tahir, S.S.; Rauf, N. The effect of fish size and condition on the contents of twelve essential and non-essential elements in Aristichthys nobilis from Pakistan. Pak. Vet. J. 2011, 31, 109–112. [Google Scholar]
- Islam, M.A.; Islam, M.J.; Arefin, S.; Rashid, A.; Barman, S.K. Factors affecting the fisheries biodiversity of Ratargul swamp forest of Sylhet district, Bangladesh. IOSR J. Environ. Sci. Toxicol. Food Technol. 2016, 10, 60–65. [Google Scholar]
- Ali, M.Y.; Amin, M.N.; Alam, K. Ecological health risk of Buriganga river, Dhaka, Bangladesh. Hydro Nepal J. Water Energ. Environ. 2008, 3, 25–28. [Google Scholar] [CrossRef]




| Species | Sites | Sample Number | Weight (g) | Length (cm) | Age (Years) | Sex Ratio (m/f) |
|---|---|---|---|---|---|---|
| Labeo rohita | Site-1 | 8 | 343.5 ± 102.12 | 34.89 ± 3.66 | 1.23 ± 0.23 | 13/8 |
| Site-2 | 8 | 377.15 ± 92.1 | 36.9 ± 5.74 | 1.38 ± 0.28 | ||
| Site-3 | 8 | 365.19 ± 118.58 | 37.29 ± 8.07 | 1.4 ± 0.35 | ||
| Cirrhinus cirrhohus | Site-1 | 8 | 156.65 ± 32.63 | 27.73 ± 2.65 | 0.94 ± 0.16 | 9/12 |
| Site-2 | 8 | 216.99 ± 46.26 | 33.19 ± 6.76 | 1.4 ± 0.25 | ||
| Site-3 | 8 | 195.11 ± 50.55 | 33 ± 5.59 | 1.19 ± 0.22 | ||
| Labeo calbasu | Site-1 | 8 | 51.28 ± 6.96 | 20.83 ± 3.71 | 0.7 ± 1.22 | 11/10 |
| Site-2 | 8 | 51.07 ± 9.25 | 21.03 ± 2.87 | 0.75 ± 0.17 | ||
| Site-3 | 8 | 59.15 ± 10.44 | 21.84 ± 4.82 | 0.88 ± 0.19 |
| Elements | Wavelength (nm) | Instrumental Detection Limit (mg L−1) |
|---|---|---|
| Pb | 217.0 | 0.004 |
| Cr | 357.9 | 0.001 |
| Cd | 228.8 | 0.001 |
| Parameters | Sampling Sites | Seasons | Total Mean ± SD | |||
|---|---|---|---|---|---|---|
| Monsoon | Post-Monsoon | Winter | Pre-Monsoon | |||
| Pb | Site-1 | 0.242 ± 0.034 a | 0.114 ± 0.033 ab | 0.088 ± 0.005 b | 0.155 ± 0.018 ab | 0.125 ± 0.058 |
| Site-2 | 0.175 ± 0.038 a | 0.121 ± 0.051 a | 0.086 ± 0.011 a | 0.088 ± 0.009 a | ||
| Site-3 | 0.175 ± 0.047 a | 0.114 ± 0.037 a | 0.054 ± 0.015 a | 0.092 ± 0.005 a | ||
| Mean ± SD | 0.197 ± 0.031 | 0.116 ± 0.003 | 0.076 ± 0.016 | 0.111 ± 0.031 | ||
| Cr | Site-1 | 0.083 ± 0.040 a | 0.020 ± 0.003 b | 0.013 ± 0.001 b | 0.011 ± 0.002 b | 0.026 ± 0.012 |
| Site-2 | 0.034 ± 0.008 a | 0.028 ± 0.011 a | 0.030 ± 0.029 a | 0.008 ± 0.001 a | ||
| Site-3 | 0.059 ± 0.032 a | 0.016 ± 0.002 b | 0.007 ± 0.001 b | 0.007 ± 0.001 b | ||
| Mean ± SD | 0.059 ± 0.02 | 0.021 ± 0.005 | 0.017 ± 0.009 | 0.009 ± 0.002 | ||
| Cd | Site-1 | 0.00 0 ± 0.000 a | 0.000 ± 0.000 a | 0.002 ± 0.001 a | 0.000 ± 0.000 a | 0.001 ± 0.0002 |
| Site-2 | 0.001 ± 0.0001 ab | 0.000 ± 0.000 b | 0.005 ± 0.001 a | 0.002 ± 0.001 ab | ||
| Site-3 | 0.000 ± 0.000 | 0.000 ± 0.000 | 0.000 ± 0.000 | 0.000 ± 0.000 | ||
| Mean ± SD | 0.0003 ± 0.00004 | 0.000 ± 0.000 | 0.002 ± 0.001 | 0.001 ± 0.0004 | ||
| Parameters | Seasons | Sites | Average ± SD | ||
|---|---|---|---|---|---|
| Site-1 | Site-2 | Site-3 | |||
| Air temp. (°C) | Monsoon | 26.4 | 27 | 27.1 | 26.83 ± 0.37 |
| Post-monsoon | 31.7 | 31.4 | 32 | 31.7 ± 0.3 | |
| Winter | 22 | 22.5 | 22.2 | 22.23 ± 0.25 | |
| Pre-monsoon | 23.7 | 24.9 | 24.6 | 24.4 ± 0.62 | |
| Water temp. (°C) | Monsoon | 24.6 | 25 | 24.6 | 24.73 ± 0.23 |
| Post-monsoon | 29.5 | 29.7 | 30 | 29.73 ± 0.25 | |
| Winter | 18.4 | 18.5 | 18.4 | 18.43 ± 0.06 | |
| Pre-monsoon | 21.5 | 21.7 | 21.7 | 21.63 ± 0.12 | |
| DO (mg L−1) | Monsoon | 6.3 | 6.7 | 7.1 | 6.7 ± 0.4 |
| Post-monsoon | 8 | 7.9 | 7.2 | 7.7 ± 0.44 | |
| Winter | 5.6 | 8.1 | 6 | 6.56 ± 1.34 | |
| Pre-monsoon | 7.6 | 6.9 | 7.7 | 7.4 ± 0.44 | |
| CO2 (mg L−1) | Monsoon | 46.6 | 48.3 | 46.6 | 47.16 ± 0.98 |
| Post-monsoon | 43.3 | 48.3 | 48.3 | 46.63 ± 2.88 | |
| Winter | 51.6 | 51.6 | 48.3 | 50.5 ± 1.91 | |
| Pre-monsoon | 45 | 41.6 | 50 | 45.53 ± 4.23 | |
| pH | Monsoon | 8.1 | 7.9 | 7.7 | 7.9 ± 0.2 |
| Post-monsoon | 7.7 | 8.2 | 7.9 | 7.93 ± 0.25 | |
| Winter | 7.5 | 7.2 | 7.2 | 7.3 ± 0.17 | |
| Pre-monsoon | 7.3 | 7.8 | 7.9 | 7.66 ± 0.32 | |
| Hardness (mg L−1) | Monsoon | 105.45 | 114 | 113.05 | 110.83 ± 4.69 |
| Post-monsoon | 74.96 | 105.45 | 114 | 98.13 ± 20.52 | |
| Winter | 114 | 108.3 | 94.05 | 105.45 ± 10.28 | |
| Pre-monsoon | 101.65 | 111.26 | 113.16 | 108.69 ± 6.17 | |
| Ammonia (mg L−1) | Monsoon | 0.43 | 0.16 | 0.23 | 0.27 ± 0.14 |
| Post-monsoon | 0.5 | 0.16 | 0.06 | 0.24 ± 0.23 | |
| Winter | 0.33 | 0.53 | 0.06 | 0.31 ± 0.24 | |
| Pre-monsoon | 0.43 | 0.43 | 0.13 | 0.33 ± 0.17 | |
Publisher’s Note: MDPI stays neutral with regard to jurisdictional claims in published maps and institutional affiliations. |
© 2022 by the authors. Licensee MDPI, Basel, Switzerland. This article is an open access article distributed under the terms and conditions of the Creative Commons Attribution (CC BY) license (https://creativecommons.org/licenses/by/4.0/).
Share and Cite
Bhuyain, A.S.M.S.R.; Barman, S.K.; Hossain, M.M.; Khan, M.M.H.; Mim, K.K.; Mazumder, S.K. Seasonal Dynamics of Heavy Metal Concentrations in Water and Fish from Hakaluki Haor of Bangladesh. Conservation 2022, 2, 473-484. https://doi.org/10.3390/conservation2030032
Bhuyain ASMSR, Barman SK, Hossain MM, Khan MMH, Mim KK, Mazumder SK. Seasonal Dynamics of Heavy Metal Concentrations in Water and Fish from Hakaluki Haor of Bangladesh. Conservation. 2022; 2(3):473-484. https://doi.org/10.3390/conservation2030032
Chicago/Turabian StyleBhuyain, Abu Shahadat Mohammad Sadequr Rahman, Sanzib Kumar Barman, Md. Motaher Hossain, Mohammad Mehedi Hasan Khan, Khadizatul Kubra Mim, and Sabuj Kanti Mazumder. 2022. "Seasonal Dynamics of Heavy Metal Concentrations in Water and Fish from Hakaluki Haor of Bangladesh" Conservation 2, no. 3: 473-484. https://doi.org/10.3390/conservation2030032
APA StyleBhuyain, A. S. M. S. R., Barman, S. K., Hossain, M. M., Khan, M. M. H., Mim, K. K., & Mazumder, S. K. (2022). Seasonal Dynamics of Heavy Metal Concentrations in Water and Fish from Hakaluki Haor of Bangladesh. Conservation, 2(3), 473-484. https://doi.org/10.3390/conservation2030032

