Next Article in Journal
Role of Nanofluids in Heat Extraction for Mid-Deep Geothermal Wells: Numerical Study on Thermofluidic Characteristics
Previous Article in Journal
Performance of Piezoball and Piezo-T Flow Penetrometers Compared with Conventional In Situ Tests in Brazilian Soft Soils
 
 
Font Type:
Arial Georgia Verdana
Font Size:
Aa Aa Aa
Line Spacing:
Column Width:
Background:
Review

Track Transition Performance: A Sensor-Centric Literature Review and Optical Sensing Advances

by
Mahsa Gharizadehvarnosefaderani
1,
Md. Fazle Rabbi
1 and
Debakanta Mishra
2,*
1
Department of Civil and Environmental Engineering, Oklahoma State University, Stillwater, OK 74078, USA
2
Department of Civil and Environmental Engineering, Virginia Polytechnic Institute and State University (Virginia Tech), Blacksburg, VA 24061, USA
*
Author to whom correspondence should be addressed.
Geotechnics 2026, 6(1), 25; https://doi.org/10.3390/geotechnics6010025
Submission received: 22 September 2025 / Revised: 8 December 2025 / Accepted: 14 February 2026 / Published: 4 March 2026

Abstract

The structural and geotechnical characteristics of railroad tracks change abruptly at transition zones. At these locations, a change from ‘rigid’ to ‘flexible’ track conditions or the opposite leads to amplified dynamic responses, large deformations, accelerated track deterioration, and increased maintenance expenses. Researchers have conducted numerous field and numerical studies into track transitions’ behavior; however, their investigations are often limited by point-based and short-term measurements and assumptions that overlook critical mechanisms in track transitions. This review presents current sensor-centric knowledge achieved by integrating insights from field instrumentations and numerical modellings of transition zones. The objective is to expose the overlooked behavioral aspects of track transitions and identify the limitations of conventional monitoring systems. To address these gaps, this review introduces optical fiber sensors (OFSs) as an emerging technology for track condition monitoring. Focusing on recent OFS applications, this study demonstrates how OFSs can improve the quantity and quality of field data through spatial continuity, multiplexing, and higher sensitivity, thus marking a significant practical improvement. This review also outlines OFS-based monitoring challenges, such as sensor durability, measurement quality, temperature-strain cross-sensitivity, and lack of a standardized data interpretation framework. Altogether, this work’s novelty is in connecting transition zone behavior, monitoring limitations, and the inherent potential of OFS systems.

1. Introduction

Specific locations along a railroad track, such as transition zones, substantially influence track performance, damage severity, deterioration rate, and overall serviceability. Track transitions are critical interfaces where the track’s structural properties change abruptly. Such abrupt transitions can degrade all three major components of a train–track system, including the vehicle, the track superstructure, and the substructure. Consequently, these degradations result in frequent maintenance operations, train delays, and speed restrictions [1], imposing costs on railroad agencies. For example, in the Netherlands, with a dense railway network typically built on a soft foundation, the maintenance operations in transition zones have been reported to be four- to eight-times more frequent than open-track locations [2,3]. Studies from the early 2000s reported that the annual maintenance costs at transition zones were USD 200 million in the United States and EUR 97 million in European countries [4,5,6,7].
Railroad tracks over bridge decks, tunnel slabs, underpass structures, and grade crossings include transition zones. Sections adjacent to these stiff structures are classified as approaching or departing zones, depending on whether the train moves toward or away from the stiff structure (Figure 1). However, as the trains typically operate in either direction, the term “approach” in this manuscript, hereafter, refers to both approaching and departing segments of the track transition zones. Alternatively, switches and diamond crossings also function as transition zones, where discontinuities and gaps in the rail surface cause dynamic loads on the track [8]. In contrast, track sections that are far from the stiff structure are referred to as open-track locations. Overall, key challenges at track transitions include stiffness variation, differential settlement between the approach and the stiff structure, additional dynamic loads, and track deterioration, such as hanging sleepers [1].
Factors that affect track transition performance can be categorized into two groups: (1) design and structural issues, and (2) geotechnical, construction, and maintenance-related issues. The first group, for example, includes sleeper type, sleeper length and spacing, rail cross-section, and the design properties of track substructure. The second group includes poor drainage conditions, moisture-susceptible track substructures, ballast breakage and pulverization, and inadequate compaction near stiff structures [1,6,7,9,10,11]. Figure 2 illustrates two common issues encountered at track transitions.
Track segments built on stiff structures are exposed to higher impact loads, which can lead to rail corrugation and stronger vibrations. On the other hand, the track on the embankment side with lower stiffness often contributes to differential deformation and accelerated deterioration of the track components [12,13,14]. Poor compaction of the subgrade and ballast layer adjacent to stiff structures can further contribute to excessive substructure settlements at track transitions. In addition to stiffness variation, track damping characteristics abruptly change at track transitions, with higher damping typically occurring in track segments supported by the embankments. These conditions can create small voids or gaps beneath the sleepers, resulting in hanging sleepers (Figure 1) [14,15,16]. The gaps between the sleeper and ballast, even as small as 2 mm, can increase the wheel loads by 85% and raise the contact forces on adjacent sleepers by up to 70% [11,14,17,18,19]. These percentages depend on several factors, including track transition characteristics and operational conditions such as train speed, gap size, and the number of affected sleepers [14,19,20,21,22]. Zhang et al. [14] also found that a 5 mm gap across five sleepers represented a critical condition, resulting in the highest wheel load magnitudes.
Most factors influencing track response at transition zones are interdependent, often amplifying effects that would otherwise occur in isolation. For example, differential settlement at track transitions can cause an abrupt change in rail elevation, which forces the wheel to move vertically. As a train moves toward a stiff structure, the wheel tends to rise rapidly; however, once it moves away from it, the wheel drops sharply [11]. These rapid vertical movements increase wheel acceleration, and according to Newton’s second law, this higher acceleration results in greater impact forces on the track. Similarly, track stiffness variations within transition zones can cause sharp vertical wheel motions, altering the system’s vertical acceleration and the magnitude of applied loads [23]. However, differential settlement typically has a more severe effect than stiffness variation. Depending on the type of transition, dynamic wheel loads can increase by 54% to 85% at transition zones [6,18,21,24]. Repeated impact loading intensifies track deformation. This may result in the formation of a dip (concave depression as illustrated earlier in Figure 2a,b) or a bump in the track profile.
A key feature of the track transitions is the length of the affected zone, which is defined as the distance from the interface with the stiff structure. Field studies have found that differential settlements at bridge approaches can extend up to 15 m from the bridge abutment [25,26]. Other studies have reported varying lengths for the affected zone, ranging from 4 m to 7 m to as high as 30 m [3,6,27,28,29,30]. Le Pen et al. [29] observed that, at a grade crossing, the settlement (dip) began at 2.5 m, extended to 7.83 m, and peaked at 5.15 m from the crossing. The length of the affected zone varies depending on track structural properties, vehicle characteristics, and operating speed. Studies have directly correlated this length with the magnitude of differential settlement and the design train speed [6,31].
Track deformation consists of both elastic (transient) and plastic (permanent or settlement) components, as sketched in Figure 3. Elastic deformation is a temporary change in track position under loading compared to its unloaded state. However, plastic deformation is a permanent change in track position that accumulates over time under repeated loading. According to Figure 3, hanging sleepers amplify the rail deflection under loading, which can be categorized as “abnormal/excessive elastic deformation” [6]. The significantly greater permanent deformation of the ballast in the approaching/transition zones has been attributed to excessive movement within the ballast layer [8,21,22,27]. Note: The plastic deformation develops across the different layers of the track foundation: ballast, sub-ballast, and subgrade. However, the ballast deformation accounts for the largest portion of the deformation. The plastic deformation in ballast occurs in different modes, including rearrangement, fracture or crushing, and wearing or fatigue in ballast particles. These deformations accumulate under several cycles of loading [8]. Therefore, the plastic deformation referenced in Figure 3 becomes measurable only after a period of track operation.
A field study at an unremediated bridge approach found that track settlement increased approximately linearly at a rate of 14 mm/year during the first measurement cycle, before track resurfacing. However, other researchers have reported that this rate increases over time [19,20,21,22]. Zuada Coelho et al. [32] observed that track settlement remained unchanged or increased in certain bridge approaches remediated using techniques such as approach slabs, cement treatment, Geocell, and hot-mix asphalt (HMA). The settlement values ranged from 13 mm to 47.3 mm, with corresponding differential settlement ranging from 0.1 mm to 10.9 mm.
In addition, elastic deformations have increased in some remediated transition zones, which highlights the limited efficiency of the selected remedial approaches [32]. Across different types of track transitions, these elastic deformations ranged from 0.5 mm to 15 mm. These results also indicate that hanging sleepers, even after remediation, remain a significant source of dynamic amplification for both elastic and plastic responses [28,29,32,33,34].
Considering the challenges and the growing demand for heavier axle loads and higher operating speeds, there is a pressing need to improve the design, construction, and maintenance practices at the rail track transitions. Such improvements require an in-depth understanding of track transition response and performance achieved by advanced field instrumentation and analytical/numerical modeling. Root causes contributing to the differential settlement problem and amplified load must be identified and studied. The time-dependent behavior of track transitions necessitates the application of field instrumentation methods that collect continuous data over time. Track behavior can vary significantly along the transition zone. For example, the size of gaps beneath hanging sleepers can change significantly as the distance from the stiff structure to the embankment increases. Therefore, the instrumentation systems should provide data along the length of the track transition rather than only providing point-based measurements.

2. Research Objective and Methodology

This review compiles findings from recent field investigations and numerical studies focusing on track transitions. The objectives are to (1) understand and clarify core challenges in transition zones, (2) categorize existing research efforts, (3) identify the research gaps, and (4) propose technologies that enhance track transition monitoring and provide effective analysis.
This overview addresses the following three key questions: (1) What aspects of track transition behavior have been overlooked? (2) What limitations exist in current instrumentation and performance monitoring systems? (3) What additional features should a modern track monitoring system include to enhance understanding of track transition behavior?
As a promising solution, this study introduces optical fiber-based monitoring systems. It provides an overview of optical fiber sensors (OFSs) and summarizes existing studies that have used OFSs in track condition monitoring. By the end of this paper, readers will (1) have an extensive understanding of key challenges at track transitions, (2) gain insight into past instrumentation and numerical modeling approaches, (3) identify the potential of OFSs to enhance the monitoring approach and the maintenance strategies, and (4) understand the challenges and limitations of OFS-based monitoring systems.
The reviewed papers were identified through a structured process, which is aligned with the research objectives. To address the research questions, recent studies on track transition zone behavior, field investigations, numerical studies, and optical sensing systems were collected. The search keywords included terms related to track transitions, bridge approaches, dynamic behavior, differential settlement, stiffness variation, hanging sleepers, track vertical deformation and accelerations, dynamic wheel–rail interaction, ballast stress analysis, finite element method, discrete element method, track condition monitoring, track remediating methods, and fiber optic sensors (FBG, FPI, DAS, DOFS).
The collected papers were subsequently organized into thematic clusters representing the four major components of this review: (1) track transition zone behavior and field performance, (2) numerical modelling and parametric studies on track transitions, (3) conventional monitoring techniques, and (4) optical sensing technologies. This structure enabled a sensor-centric review of the literature and supported the identification and evaluation of the existing and potential instrumentation approaches, emphasizing their advantages and limitations.

3. Field Performance Monitoring and Numerical Modelling of Track Transition

Numerous field investigations and modeling studies have been conducted to assess the track transitions’ dynamic behavior and long-term performance. Understanding track transition behavior requires investigation of the key factors contributing to track settlement, stiffness variations, and dynamic load amplification. These factors lead to the progression of deterioration in the transition zone. The investigations can be performed through a combination of field instrumentation, analytical approaches, and numerical modeling. Standard instrumentation techniques employed at track transitions include multi-depth deflectometers (MDDs) equipped with a series of Linear Variable Differential Transformers (LVDTs), geophones, accelerometers, Digital Image Correlation (DIC), linear potentiometers (LP), strain gauges, Position-Sensitive Detector (PSD), and optical fiber sensors (OFSs).

3.1. Field Investigations

Mishra et al. [16,21] used MDDs and strain gauges to investigate the transient response and long-term performance of problematic track transitions along Amtrak’s Northeast Corridor (Figure 4a,b). Strain gauges were mounted on the rail’s neutral axis at crib locations and on both sides of the sleeper to measure vertical wheel loads and sleeper reaction forces, respectively (Figure 4b). Sensors were installed at two distinct locations relative to the bridge abutment: (1) near the bridge location (NBL), and (2) at the open-track location (OTL) (Figure 4c). The results confirmed that the ballast layer was the primary contributor to both the transient deformation and settlement at the NBL and OTL. The transient vertical deflection at the NBL was 75% greater than at the OTL. In addition, measurement of the wheel load and sleeper reaction forces accurately detected poor support conditions associated with hanging sleepers. A 25% increase in wheel load was observed at the NBL compared to the OTL, which was defined as the ‘dynamic load amplification factor’.
Boler et al. [35] evaluated the efficiency of stoneblowing as a remedial measure for differential settlement at the same track transitions that were previously instrumented by [16,21]. Stoneblowing is a technique that involves inserting uniformly graded stones beneath crossties to improve their support conditions. Boler et al. [35] reported that stoneblowing led to a 50% reduction in the maximum transient downward deflection and eliminated the significant upward deflection that was previously reported by [16,21]. In addition, they observed an average 70% reduction in maximum layer acceleration under train loading. Stoneblowing also reduced the gaps at the sleeper–ballast interface by up to 60%.
Pinto et al. [34] used PSD sensors to measure rail vertical deflection at three locations within a wedge-shaped transition zone remediated with a cement-treated soil mixture near an underpass structure (Figure 5). In this monitoring system, a diode module is positioned at a distance from the railway track and emits a laser beam. The PSD detects the position of the laser beam spotlight to determine the rail deflection (Figure 6). The maximum recorded rail vertical deflection occurred at D1 (δdownward = 0.6 mm), and the minimum was at D3 (δdownward = 0.45 mm). In addition, the authors compared the accuracy of the PSD-based monitoring system to that of LVDTs. They concluded that this method should be incorporated into continuous monitoring systems to provide valuable information on track degradation at transition zones. They also recommended that the distance between the laser and the detector should be below 3 m, since measurement errors can exceed 10% at greater distances.
Wang et al. [7] measured elastic rail vertical deflection and generated dynamic track profiles for three railroad tracks at bridge transitions. A dynamic profile is defined as the average maximum elastic deformation recorded at each point over multiple train passages. They used DIC techniques on the approaching sides of the bridges. Their measurements revealed that the transition zone extended approximately 4.5 m from the bridge, and the rail deflection remained relatively constant beyond this distance (Figure 7a,b). For movements from embankment to bridge (E-B), the maximum rail deflection occurred 0.3 m from the bridge, while for bridge to embankment (B-E) movements, the peak occurred 0.9–1.5 m away from the bridge end. The poor track support condition, particularly with the presence of hanging sleepers, nearly doubled rail vertical deflection in the transition zone near the bridge (see Figure 7a,b). The maximum B-E deflection was approximately 30% larger than that for the E-B. The authors quantified the track support condition using a key performance index (KPI): the ratio of the average elastic rail vertical deflection in the transition zone to that in the open track zone. A high ratio indicates poor support conditions and severe degradation of the transition zone. However, this ratio can vary significantly depending on local track configurations and train speed. Therefore, further research is required to improve how this KPI is defined, either by refining the current ratio or by developing additional performance measures.
Wang et al. [6] used satellite Synthetic Aperture Radar Interferometry (InSAR) to measure millimeter-level track settlements and settlement rates. The measurements were taken near a steel bridge transition every two to three weeks. InSAR measurements were validated against data collected using a measuring coach (maximum speed:120 km/h) and DIC systems. The spatial resolutions for InSAR, measuring coach, and DIC were 0.5 m, 0.25 m, and 0.6 m, respectively. The InSAR system captured the track settlement under unloaded conditions. In contrast, the measuring coach recorded relative transient deformation and differential settlement between the bridge and transition zone under loaded conditions. In addition, the DIC system measured only the elastic deformations during the train passage. The InSAR-based settlement history revealed that settlement rates were significantly higher near the bridge–embankment interface than in the areas farther from the bridge. Both InSAR and measuring coach recorded stable settlements on the bridge and fluctuating settlements in the transition zone (Figure 8a,b). The DIC-measured elastic deformation near the bridge end was approximately seven-times greater than that at locations farther from the bridge. Large elastic deformations were associated with hanging sleepers, while significant settlement fluctuations reflected pronounced differential settlement within the transition zone. Results from the three different monitoring systems illustrated appropriate agreement. The researchers found that the InSAR offers key advantages over conventional methods. This system provides cost-effective, high-frequency, and long-term monitoring over long distances to identify critical zones along the railroad track.
Sañudo et al. [36] performed short-term monitoring at a track transition and collected four types of measurements: (1) sleeper vertical acceleration using accelerometers, (2) rail shear stress using extensometer gauges, (3) relative vertical deflection between rail and sleepers using potentiometers, and (4) sleeper vertical deflection using LVDTs (Figure 9). Sensors were installed on the slab track and the adjacent embankment track. The transition zone was remediated by adding inner and outer rails alongside the main rails and by using under-sleeper pads with different stiffnesses to reduce abrupt stiffness variation. The sleeper pads on the slab side were softer than those on the embankment side, while the pads used on the open track were the stiffest. Tests were conducted under train movements in both directions, from slab track to embankment (SE) and from embankment to slab track (ES), at speeds ranging from 20 to 80 km/h. Measurements indicated that sleeper acceleration increased with train speed in both the transition and open-track areas; however, acceleration stabilized along the open track. In addition, the recorded acceleration at the transition zone remained within a typical range for normal track conditions (3–11 g) (Figure 10a). Shear strain measurements on the rail web demonstrated that neither train speed nor the travel direction had a significant impact on rail shear stress.
Additionally, the measured shear stress values remained well below the typical range (72–92 MPa) for the specific rail section in the field (Figure 10b). Investigating the sleeper-rail and sleeper vertical deflection showed that the remediation approach could effectively restrain deflections to less than 1 mm. An exception occurred near the embankment–slab interface, probably due to hanging sleepers. Similarly, the deflections were independent of travel direction and speed (Figure 10c). Since the measurements were performed without actual train traffic, the authors recommended long-term monitoring to validate the results under real operational conditions. Nevertheless, no significant maintenance operation was needed for the monitored transition zones over three years.
Huang et al. [37] studied four sections of a railroad track–culvert transition zone over two phases: a 33-day construction period and a 207-day operational period. The transition zone was remediated by foamed concrete (FC), which was implemented in an inverse trapezoidal configuration (Figure 11). They monitored long-term stress and settlement distribution in the subgrade base and studied transient behavior by measuring elastic deformation, acceleration, and stress variation within the transition zone. Compared to conventional fillers in transition zones, FC reduced base stress by 56% along the transition zone (within sections #2, #3, and #4). This stress reduction resulted in a more uniform base stress profile across the remediated sections. During the operational phase, the maximum base settlement was stable and remained as low as 6.21 mm near the culvert at section #4. Moreover, the differential settlement between sections #4 and #2 was below 4 mm, which indicates good uniformity in the transition zone. The sleeper elastic deformation near the culvert was approximately 1.8-times smaller than in the open-track zone (section #1). Elastic deformation in the substructure layer attenuated with increasing subgrade depth. At the subgrade surface, it remained below 0.7 mm throughout the transition zone, reaching a minimum of 0.2 mm near the culvert. The maximum sleeper acceleration near the culvert was 0.43 m/s2, about 74% lower than in more distant sections, justified by the higher stiffness of the FC-remediated zone. The authors also believed that the porous nature of FC absorbed more vibration energy, thereby reducing acceleration levels relative to the open-track zone.
Nasrollahi et al. [38] monitored the transient and long-term performance of a track transition on a heavy-haul line using four optical sensor clusters (C1 to C4; see Figure 12) installed along a 6 m track segment. Figure 12 shows the type and quantity of sensors used at each cluster. Their objective was to assess track support conditions by measuring rail bending moments, sleeper vertical deflection, and accelerations. Optical sensors based on Fiber Bragg Grating (FBG) were used to measure axial strain on the rail web and vertical deflection in the sleepers (note: FBG technology will be described in detail in the following sections). The cumulative distribution of the rail bending moment per sleeper revealed that sleepers S#5 and #8 had the lowest values, whereas S#3 and #11 exhibited the highest (Figure 13a). This distribution suggested that the sleepers with the most significant bending moments had poor support conditions. This finding aligned with vertical deflection measurements, which showed that S#3, located closest to the ballasted-to-slab track interface, had the most considerable deflection of approximately 6.5 mm (Figure 13b). This study confirmed the accuracy of the FBG-based monitoring system in capturing the track transition’s dynamic behavior. Additionally, it approved the adequacy of the sensor’s spatial resolution for analyzing the rail bending moment.

3.2. Numerical Studies

Traditional field studies on the dynamic behavior of track transitions have mainly depended on single-point or localized measurements conducted on individual transition types under unique operational conditions. Additionally, long-term field studies have been limited. To address this limitation, numerical modeling validated by field measurements can provide a more comprehensive understanding of the dynamic behavior and long-term performance of transition zones. Recent studies have investigated the effect of contributing factors on both the transient and long-term responses of track transitions.
Numerical studies using both two- and three-dimensional (2D and 3D) modelling approaches exist in the railroad engineering literature; however, 3D studies are far more common in transition zones, indicating the significance of their predominantly three-dimensional behavior. These zones are highly spatially variable in both longitudinal and transverse directions, particularly due to variation in track stiffness, the formation of hanging sleepers, the possibility of asymmetric load distribution between sleepers, and the complexity of stress distribution in underlying layers. For example, the study by [11] showed that stress distributions in the ballast layer varied in both the longitudinal and transverse directions of the sleeper, and that this stress is highly variable from sleeper to sleeper within the transition zone. Similarly, Paixao et al. [39] reported that ballast stress distribution varied along both the longitudinal and transverse axes of the track. Moreover, in numerical modelling, special attention must be given to the material model and the interaction between the track components. In the most recent numerical studies, the track foundation is assumed to behave as linear elastic. However, the actual behavior of the track foundation is notably non-linear and stress-dependent, with cumulative plastic deformation under repetitive train loading [1,8,39]. Therefore, simplified linear elastic behavior does not capture the ballast degradation and actual stress distribution in the ballast, sub-ballast, and subgrade layers, while they are critical in transition zones. There are two main approaches to modelling the contact behavior between track components. A simplified approach assumes that the components are constrained/tied to each other [40], but this method cannot account for the non-linearity of contact behavior. For example, in the case of a hanging sleeper, the sleeper and ballast lose contact, resulting in zero contact stiffness, while the stiffness begins to increase after the gap closure. Accordingly, constant stiffness cannot describe this behavior; instead, it requires a non-linear/bi-linear formulation [11,39].
Wang and Markine [11] performed a numerical study on the dynamic behavior of an untreated bridge transition zone (i.e., a plain bridge). The model was validated using field data from [6]. The numerical model included three key features of track transitions, including abrupt vertical stiffness variation, hanging sleepers, and differential settlement (as high as 4 mm). To isolate the effect of differential settlement, they compared the numerical results with and without this condition. The study revealed that differential settlement significantly changed the mechanical response of the transition zone. Disregarding the differential settlement, the applied load near the bridge (i.e., whether E-B or B-E sides) increased by only 2% on average. In contrast, the presence of differential settlement raised the applied load by 18% to 43%, with greater amplification on the B-E side. The length of the zone affected by the amplified load was also greater on the B-E side than on the E-B side. This length, on the E-B side, was governed by bogie length and differential settlement, whereas on the B-E side, train speed was an additional contributing factor. Figure 14a illustrates the mechanisms behind this load amplification on either side of the bridge. Higher applied loads resulted in increased vertical velocities of the sleepers. In addition, when differential settlement was incorporated, ballast–sleeper contact stress increased by up to 21%; however, in its absence, the stress increase was minimal, not exceeding 2%. The ballast stresses were lower at locations near the bridge due to the rail’s constrained bending behavior, which reduces sleeper impact on the ballast. Additional details on ballast stress distribution are summarized in Figure 14b. The results confirmed that differential settlement had a more significant effect on track transition response than vertical stiffness variation.
Ballast degradation frequently occurs in transition zones due to high-impact loads at the sleeper–ballast interface. Countermeasures such as rubber mats and under-sleeper pads (USP) effectively mitigate these impacts and help extend the ballast service life.
Cati et al. [40] developed a three-dimensional (3D) finite element (FE) model of a track transition located near a bridge. They studied the vibrational behavior of the transition, with a specific focus on the effect of USPs. The model was validated using experimental measurements collected from a transition zone that did not include USP. For this validation, three accelerometers were installed on the rail web, sleeper, and ballast surface. The measurements were made on both the bridge and embankment sides of the ballasted transition zone. They studied two loading scenarios, hammer impact load and train moving load, considering two sleeper conditions: with and without USP. Experimentally, without USP, peak accelerations on the embankment side were 1.1-, 1.15-, and 3.8-times higher for the rail, sleeper, and ballast surface, respectively, than on the bridge side. This was associated with the lower stiffness of the embankment. The numerical results under the train moving load showed that the USP decreased the amplitudes of ballast acceleration by 25% on both the bridge and embankment sides, due to its damping effect. However, the use of USP increased the rail and sleeper accelerations by 9% and 74%, respectively. These values were similarly greater on the embankment side due to its lower stiffness. From the modeling perspective, they found that the numerical model overestimated rail and sleeper accelerations under mid-frequency excitations (i.e., low-speed train moving load). This discrepancy was justified by the model’s linear material assumption and simplified contact behavior for the track components, which contributed to the overestimation of system stiffness.
Time-dependent plastic deformation of geomaterials, whether on the embankment or the stiff structure side, can result in progressive differential settlement. This settlement amplifies the railway track’s dynamic response, including applied wheel load, stresses, and accelerations in track components. Consequently, the dynamic behavior of the transition zones evolves with time under repeated train loading due to the accumulation of substructure deformations.
Paixão et al. [39] developed a 3D FE model to study the long-term behavior of a track transition under repeated load cycles. They used advanced material models and contact formulations to represent ballast stress dependency, degradation, and progressive development of hanging sleepers. The numerical model simulated a hypothetical bridge approach remediated with a cement-treated backfill. In the transition zone, the track stiffness increased by 60% over a distance of 3 m. The subgrade and backfill materials were assumed to be fully stabilized with no further plastic deformation. Therefore, the numerical model considered solely the settlement evolution of the ballast layer over the embankment and bridge deck. The numerical analysis showed that in the long term, settlement on the bridge side developed rapidly and reached greater values than on the embankment side (Figure 15a). However, the developed differential settlement in the transition zone remained minimal. Investigating sleeper–ballast contact force confirmed that the development of hanging sleepers near the embankment–bridge deck interface reduced the contact force by 22% over time (Figure 15b). The authors believed that in the case of a non-stabilized subgrade and backfill, there would be a greater settlement on the embankment side and, consequently, a larger differential settlement in the transition zone. Thus, this low differential settlement in the numerical results highlighted the importance of the proper compaction and stabilization of the embankment at the transition zone.
Jain et al. [41] developed a two-dimensional (2D) FE model to study the track transition behavior under both the isolated and combined effects of stiffness variation and differential settlement. Their analysis focused on the dynamic response of a bridge approach, with emphasis on rail vertical deflection and resulting stress levels in both superstructure and substructure layers. Five cases of transition zone configurations were modeled, each combining stiffness variation and differential settlement in different ways. The stiffness variation was incorporated into the model by assigning varying mechanical properties to the track materials. This stiffness variation led to differential elastic deformation in the transition zone. Accordingly, the substructure layers at the embankment–bridge interface were modeled to exhibit either relative or coupled elastic deformation. Coupled deformation was simulated by tying the embankment–bridge interface. The differential settlement was also introduced to the model by considering hanging sleepers on the embankment side. The results showed that hanging sleepers were most critical, increasing elastic rail deflection by 95% and dynamic substructure stress by 50%, with minimal impact on the subgrade. The three most important cases were compared to derive two key design and maintenance recommendations for the track transitions (Figure 16). The case with varying material properties and a tied interface at the transition zone (C#1) resulted in the lowest stress amplification in substructural layers. As a reduced stress level mitigates settlement, the design should provide a tied deformation between the stiff structure and embankment in transition zones. Another case (C#2) with free relative deformation at the interface and varying material properties at the transition zone was compared to a similar case (C#3) that considered a hanging sleeper. This comparison revealed that the subgrade stress level should be maintained at a minimum to prevent the development of hanging sleepers and conditions similar to case #3.
Table 1 summarizes various conventional monitoring systems employed in different track transitions, while Table 2 presents recent studies on transition zones and their instrumentations.

4. Discussion: Directions for Advancing Track Transition Performance Assessment

Reviewing the literature on track transitions indicated a clear need for further numerical modeling and field studies to improve understanding of their behavior. Such research helps support a robust design, enhance performance, and ultimately reduce track maintenance costs. The following outlines the key reasons and recommended directions for further research on track transitions:
  • Track transition behavior is complex, and measuring a single parameter cannot detect its actual performance. For example, measuring sleeper acceleration alone does not give information on the support condition, and it should be interpreted in combination with deformation measurement. Similarly, the rail vertical deflection measurement should be combined with the sleeper reaction force measurement to recognize and quantify the hanging sleeper. Therefore, multiple measurements are required at a single point. Conventional monitoring systems are electrical-based and need extensive wiring and support equipment. However, there are space constraints for installing and running conventional monitoring systems on railroad tracks.
  • A limited number of studies have specifically addressed the track transition behavior over stiff structures. Current research indicates that variations in track design significantly affect their long-term mechanical response. These variations comprise ballasted or ballastless configurations on bridge decks and embedded rail systems. Track deformation, applied loads, and stress distribution over stiff structures require further investigation under both short- and long-term conditions to better understand their interaction with adjacent softer zones.
  • Track transition zones span a long segment of railway lines, which makes both the monitoring setup and data collection challenging. To date, field monitoring of these zones has relied on conventional electrical sensors, such as DIC, LVDTs, accelerometers, and strain gauges. These instrumentation systems provide point-based measurements. However, practical assessment of transition zones requires monitoring over extended lengths. Additionally, the simultaneous deployment of multiple traditional sensors is costly, time-consuming, and demands extensive calibration procedures and multiple data acquisition units.
  • Considering the challenges and progressive deterioration in transition zones, their behavior is time-dependent, which necessitates temporal continuous monitoring systems. However, few field investigations have addressed the long-term performance of these zones with real-time monitoring approaches. The current understanding of track transition behavior is mainly based on short-term measurements and transient response analyses. Certain monitoring systems, such as DIC, are not sustainable for long-term conditions due to their limitations in stability, durability, and operational feasibility. The most used sensors for long-term performance monitoring, such as strain gauges and LVDTs, also pose challenges in terms of quantity, multiplexing, and installation difficulties. A few monitoring plans have explored less common methods like InSAR, providing continuous measurement. However, their limited measurement frequency and lack of real-time data make them less effective for transient analyses.

5. Necessity and Application of Optical Fiber Sensors for Railroad Track Monitoring

Based on the identified research gaps, there is a clear need for advanced monitoring systems that provide high-accuracy and continuous measurements across a wide frequency range. Optical fiber sensor (OFS) technology is a promising solution for long-term monitoring of the railroad tracks. Unlike conventional systems, OFS-based sensors can be multiplexed to support multiple measurement points using a single system and detection unit [44]. These features of OFS significantly reduce the cost and complexity of data collection, which facilitates its growing adoption among researchers and practitioners in the railway industry.
OFS has been used to continuously measure the temperature, vibration, strain, wheel and seating loads, and vertical deflections. It also offers high-frequency measurements with high sensitivity and durability in aggressive environments (e.g., corrosion and high temperatures) and immunity to electromagnetic interference (EMI) [44,45]. The OFS-based system can detect changes in track stiffness by capturing dynamic stresses and deformations [14,42,43]. Its capability for long-distance measurements enables early detection of structural and geotechnical problems. To support a better understanding of OFS, this manuscript introduces its working principles and summarizes related field studies in railroad tracks. Further information on the studies is presented in Table A1 in Appendix A.

5.1. Introduction to Optical Fiber Sensors (OFSs)

A typical OFS is shown in Figure 17a. An OFS cable is composed of three main concentric layers: the core, cladding, and buffer (or coating). The core carries a single mode of light that travels along the fiber axis. The cladding, mostly made of pure silica, has a lower refractive index than the core. This difference leads to light reflection at the cladding–core interface and prevents loss of light to the surrounding medium. A plastic coating layer protects the core and cladding. The distinction between single-mode and multimode fibers is also illustrated in Figure 17b. The OFS sensing mechanism relies on detecting changes in the light’s physical characteristics in response to any external perturbation. These characteristics include the intensity, wavelength, phase, and polarization of the light (i.e., orientation of the light wave oscillation). To achieve accurate and reliable measurement using OFS, careful considerations of fiber length (sensing range), sampling interval (spatial resolution), and measurement frequency are required [44,46,47].
The OFS can be broadly categorized into discrete and distributed sensing systems. Fiber Bragg Grating (FBG), Long-Period Grating (LPG), and Fabry–Perot interferometers (FPI) are examples of discrete sensors. In contrast, distributed sensing systems are based on Brillouin, Raman, and Rayleigh backscattering measurement techniques. FBG and LPG are grating-based, FPI is interferometry-based, and Brillouin, Raman, and Rayleigh are reflectometry/scattering-based sensors.
The OFS can be mounted at different locations on the track depending on the purpose of monitoring and target parameters. Insights gained from conventional instrumentation can guide the placement of OFS and their data analysis [50]. Depending on the sensing technology, the number of measurement points, and the sensing range, OFS data can be demodulated in wavelength, time, and frequency domains. Discrete grating-based sensors typically use wavelength demodulation and are practical for monitoring fewer than 100 sensing points. However, for discrete systems with a large number of measurement points (over 100), or for distributed systems, time- and frequency-domain demodulation methods are preferred [46].
Discrete optical sensors can be multiplexed for multipoint measurements. Among them, FPI sensors with a cavity inside have a high signal loss, which makes them challenging to multiplex [51]. The FPI features will be explained later in the subsequent sections. In contrast, FBG sensors offer more straightforward multiplexing capabilities. For long-distance measurements, FBG sensors can be serially linked to form a quasi-distributed system along a single fiber that monitors multiple points across its length. FBGs use a specific multiplexing technique known as Wavelength Division Multiplexing (WDM). In this technique, each sensor has a unique central (Bragg) wavelength, which changes within a particular bandwidth. This characteristic allows individual sensors to be distinguished in a series. To prevent spectral overlapping during multiplexing, the Bragg wavelengths must be carefully selected [52,53].
Different factors affect the OFS system specifications for railroad applications, including gauge length, sampling interval, interrogation range, strain sensitivity, and amplitude range. In discrete systems (e.g., FBG sensors), gauge length is the physical length of the sensor, whereas in distributed systems (e.g., Distributed Acoustic Sensing, DAS), it refers to the length of fiber over which strain is measured or averaged. The interrogation range defines the total length of fiber or array of FBGs that can be monitored simultaneously. Strain sensitivity refers to the change in light properties in response to induced strain; higher sensor sensitivity facilitates the detection of smaller strains. Amplitude range denotes the maximum strain that a sensor can measure. To ensure reliable measurement, high data resolution, accuracy, and cost-effectiveness, an optimal balance between these factors should be considered when selecting and deploying the system.

5.2. Operating Principles and Mechanisms of Grating-, Interferometry-, and Reflectometry-Based Sensors

5.2.1. Fiber Bragg Grating Sensor (FBG)

Grating-based sensors include Fiber Bragg Grating (FBG), Long-Period Grating (LPG), and Tilted Fiber Bragg Grating (TFBG), among which FBGs are widely used in structural health monitoring applications and experimental studies [46]. FBGs consist of short periodic gratings inscribed into a single-mode optical fiber. These gratings cause periodic modulation in the refractive index that filters the light traveling through the fiber. As a result, each FBG reflects a certain wavelength of light, which is known as the Bragg wavelength, while the remaining wavelengths are transmitted [51]. This sensing mechanism is illustrated in Figure 18. When the sensor is subjected to strain, the Bragg wavelength shifts, and this shift is independent of the light source intensity [54].
At a strain-free stage, the Bragg wavelength is calculated using Equation (1) [51,55]:
λ B = 2 n e f f Λ
where n e f f is the effective refractive index, and Λ is the period of grating (i.e., grating distance).
When the sensor is attached to the rail, variations in temperature, mechanical strains, and vibrations in the rail disturb the fiber, which leads to changes in both n e f f and Λ . These changes result in a shift in the Bragg wavelength ( Δ λ B ), as shown in Figure 18. This shift can be correlated with the induced strain and temperature variation, as both n e f f and Λ are dependent on these parameters. The shift in Bragg wavelength due to temperature variation and strain is described by Equations (2) and (3) [54,55,56]:
Δ λ B / λ B = α + η   T
Δ λ B / λ B = 1 ρ e ε L
ρ e = n e f f 2   [ P 12 ν ( P 11 + P 12 ) ] 2
where α is the coefficient of thermal expansion of the silica material in the fiber core, and η is the thermo-optic coefficient, which depends on the refractive index of the FBG. ∆T is the temperature variation (°C). L is the gauge length of the FBG sensor (mm), and the strain in the fiber is assumed to be equal to the strain in the FBG gratings. ρ e is the effective photo-elastic coefficient, which is a constant determined by the core material (see Equation (4)). P i j represents the silica photo-elastic tensor components, and ν is Poisson’s ratio of silica. The typical values for these parameters are P 11 = 0.113 ,   P 12 = 0.252 , ν = 0.16 , n e f f = 1.482 [55,57].
By combining Equations (2) and (3), the Bragg wavelength shift created by temperature variation or mechanically induced strain is expressed in Equation (5) [46,58]:
Δ λ B / λ B = k ε ε + k T Δ T
where k ε and k T are the strain and temperature coefficients of FBG sensors, respectively. ε represents the longitudinal strain in sensors, and Δ T refers to the temperature variation.
FBG sensors typically show a strain sensitivity of approximately 1–1.2 p m / μ ε and temperature sensitivities ranging from 13 to 23.8 pm/°C. The Bragg wavelength shift is positive under tensile and negative under compressive strain.
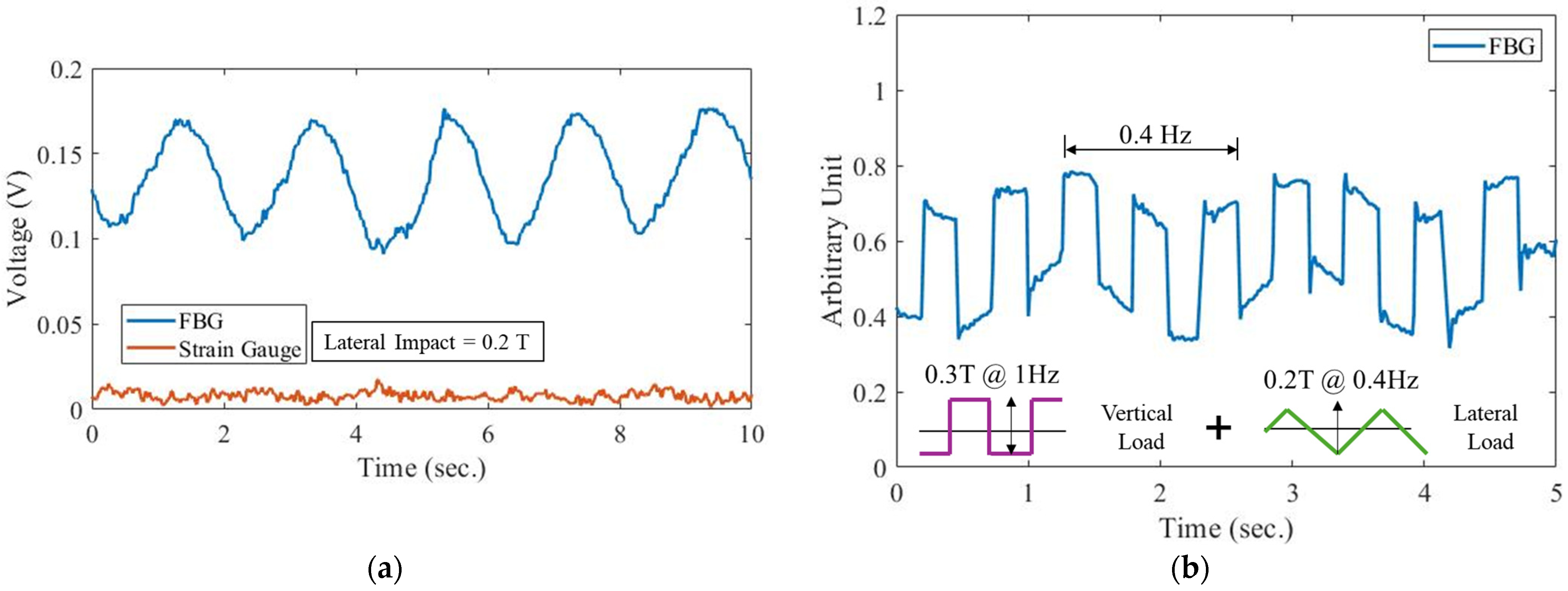
Ou [59] compared the performance of the FBG and strain gauge by investigating their noise levels and sensitivity. In a load-controlled test, both sensors were installed on the rail and subjected to sinusoidal vertical and lateral loads at different frequencies (Figure 19). According to the results, the FBG showed a lower noise and significantly higher strain sensitivity and resolution than the strain gauge (Figure 19a). FBG sensor measurements were also evaluated under two loading conditions: vertical load alone and combined vertical and lateral loads. The FBG outputs were clearly distinguishable and could effectively detect both loading types. Additionally, the loading frequencies were identifiable in FBG-recorded data (i.e., identification of square-shaped vertical loading and triangular-shaped lateral loading, as shown in Figure 19b). The high resolution and sensitivity of FBG sensors to different loading conditions enabled simultaneous measurement of the vertical and lateral loads, along with isolation of their individual effects by signal subtraction.
  • Applications for FBG Sensors:
Train Traffic Monitoring (Train Detection, Axle Counting, Train Speed, and Acceleration): A single FBG sensor can detect the train passage and count the number of train axles passing over the rail. When one or two FBGs are installed on the rail, they can also determine the train’s speed and direction [48,50,60,61]. A train’s speed is typically calculated based on the known axle load spacing and the time interval between two sharp shifts in the Bragg wavelength. Furthermore, by comparing the estimated speeds of the train’s first and last cars, the train’s acceleration can be inferred.
Wheel Flat Detection: Wheel imperfections, such as flats, generate periodic fluctuations in sensor signals, which are detectable through frequency domain analysis. The characteristic frequencies associated with the rolling wheel load and wheel defects are shown in Equation (6) [62]:
f r o l l i n g   w h e e l H z = T r a i n   S p e e d   ( m / s ) π   D   ( m )
where D is the wheel diameter.
The Fourier transform of the strain signal reveals its frequency content. A periodic peak at the calculated characteristic frequency associated with the rolling wheel load indicates the presence of a wheel defect.
Dynamic wheel load and Sleeper Reaction Force: Four FBGs are installed on the rail web at 45 degrees relative to the rail’s neutral axis between two sleepers (Figure 20a). This sensor configuration measures the principal axial strains (from ε 1 through ε 4 as shown in Figure 20), which are transformed into maximum shear strain using standard strain transformation relations. Based on the elastic theory, the difference in shear stress between the two sets of FBGs, located on either side of the applied load, estimates the dynamic wheel load (Equation (7)). When the sensors are installed on the rail on both sides of a sleeper (Figure 20b), the measured dynamic load corresponds to the resultant force acting on the sleeper. This force represents the difference between the wheel load and the sleeper reaction force (P-R) in Equation (8), where R denotes the sleeper reaction force [48,50].
P ( x , t ) = E I t ( ε 1 ε 2 + ε 3 ε 4 )   Q ( 1 + ν )
P x , t R ( x , t ) = E I t ( ε 1 ε 2 + ε 3 ε 4 )   Q ( 1 + ν )
where E is young’s modulus, t is the rail web thickness at the neutral axis, I is the moment of inertia of the rail section, Q is the first moment of area of the portion of the rail section about the neutral axis, and ν is Poisson’s ratio.
Internal forces of the rail section: According to Hooke’s law, the vertical, lateral, and longitudinal loads applied on the rail beam produce axial strains in the rail cross-section, and these strains are correlated with the internal forces. This correlation is expressed in Equation (9) [63]:
ε x = ε 1 = N x E A + M y d 1 E I y M z d 5 E I z + β T ε 2 = N x E A M y d 2 E I y M z d 3 E I z + β T ε 3 = N x E A + M y d 1 E I y + M z d 4 E I z + β T
where M y and M z are the internal bending moments about the y- and z-axes, respectively; N x is the internal axial force; T is the temperature variation; and β is the rail thermal expansion coefficient.
The strain is measured by the sensors configured in the rail section, as shown in Figure 21.

5.2.2. Fabry–Perot Interferometer-Based Sensors (FPI)

Fabry–Perot sensors are interferometry-based devices, which consist of a single-mode optical fiber with a cavity, known as the sensing region. The cavity is placed between two parallel reflective surfaces (Figure 22), forming two mirrors of the sensor. The mirror reflectivity level can vary depending on the sensor design. In one configuration, both surfaces can be semi-reflective, allowing for the partial transmission of a light beam through the second surface. Alternatively, the first surface is partially reflective, while the second is fully reflective. When light is transmitted through the fiber, two light beams are reflected at both interfaces and interfere with each other. The resulting intensity of the interfered lights is described by Equation (10) [46,64,65].
I = I i R 1 + R 2 2 R 1 R 2 c o s φ
φ = φ i n i t i a l + φ L + φ T + φ f
φ i n i t i a l = 4 π n L λ = 4 π n f L c
φ L = 4 π λ ( n Δ L + L Δ n )
φ f = 4 π L c ( n + f n f )
φ T = 4 π λ ( L f T + n L T )
where I i denotes the intensity of the optical source; φ is the light phase shift (radians), which occurs when the light travels between the two reflective surfaces (i.e., the phase shift between the interfering signals) (Equation (11)).  λ , f , and c  represent the light wavelength (nm), frequency (Hz), and velocity (m/s), respectively.  R 1  and R 2  denote the reflective power of the two surfaces;  L  is the cavity length (unit of length: mm or m);  n  is the refractive index of the material inside the cavity. The initial phase shift can be calculated using the baseline values of these optical parameters, as given in Equation (12). According to Equations (13)–(15),  Δ L , Δ n , f , and Δ T  represent the changes in the cavity length (unit of length: mm or m), refractive index, optical frequency (Hz), and temperature (°C), respectively. These changes cause corresponding variations in the phase shift (i.e.,  φ L ,   φ f ,   φ T ), as described in Equations (13)–(15).
The variation in the intensity of the total interference signal ( I ) is used to determine changes in the phase shift. Variations in cavity length can result from thermal expansion, pressure fluctuations, or mechanical longitudinal strain induced in the sensor.
Therefore, according to Equations (13)–(15), FPI sensors can be used for temperature, mechanical vibration, gas and fluid pressure, and strain sensing. They exhibit high strain sensitivity, typically ranging from 3.15 p m / μ ε to 4.06 p m / μ ε [65].
  • Applications for FPI:
The cavities in FPI sensors are difficult to handle, which makes them unsuitable for the harsh environment of the railroad track. Due to this difficulty, only a few studies have explored the use of FPI in railways, and its application in the railroad industry remains limited.
Dynamic Railway Traffic: An FPI can be installed on the bottom of the rail foot to capture the maximum bending deformation induced by train movement (Figure 23). As the train passes, the sensor’s signal intensity changes. The passage of each wheel axle produces a peak in the signal, and, thereby, the number of axles is identified. The time interval between these peaks, combined with known bogie and axle configurations, can be used to calculate the train speed. In addition, signal peaks occurring at consistent periods can indicate wheel imperfections.

5.2.3. Distributed Optical Fiber Sensors (DOFSs):

In DOFSs, a laser source transmits incident light into the fiber core. Variations in the optical properties of the fiber core cause the light to scatter as it propagates. This scattered light shows distinct peaks in its wavelength or frequency spectrum. The central peak, known as Rayleigh scattering, occurs at the same frequency as the incident light. Additional peaks, called Brillouin and Raman scatterings, appear at frequency shifts relative to the incident light.
As incident light continues through the fiber, a small fraction of the scattered light photons is reflected backward, returning as a backscattered optical signal to the detection unit (Figure 24a,b). This backscattered light also contains the same three main scattering components as described earlier, Rayleigh, Brillouin, and Raman, which all carry information on the fiber’s local condition (Figure 24c). In a DOFS system, the entire optical fiber acts as a long, continuous sensor. Any external variations in temperature, strain, and vibration along the fiber are detected by the corresponding changes in the frequency (Brillouin), amplitude ratio (Raman), and amplitude or phase (Rayleigh) of the backscattered light. For example, as indicated in Figure 24d, the Brillouin component of the backscattered light shows a frequency shift relative to the incident light. This shift can be analyzed by signal processing in the frequency domain using a Fourier transform. To determine where these variations occur along the fiber and quantify their magnitude, interrogation techniques such as Optical Frequency Domain Reflectometry (OFDR) and Optical Time-Domain Reflectometry (OTDR) are commonly used [44,45,67].
The Raman-OTDR technique only monitors temperature variations, offering a sensing range from 1 to 37 km with spatial resolutions between 1 cm and 17 m. Brillouin and Rayleigh-based scattering are the most widely used types of DOFS in the railway systems for measuring both strain and temperature variations. Brillouin-scattering-based sensors can be interrogated using OTDR, OFDR, and Brillouin Optical Time-Domain Analysis (BOTDA) techniques. These sensors have demonstrated capabilities in detecting the number of wheel axles, axle spacing, train speed, dynamic wheel load, and local track deformations [46,68,69,70]. However, they have limitations, including relatively low spatial resolution, which is inappropriate for short-distance monitoring. Additionally, Brillouin-based sensors have lower strain sensitivity than Rayleigh-based systems. Rayleigh-scattering-based sensors provide several advantages over both Raman and Brillouin-based systems, such as higher sampling rates and strain resolution [47,71]. These sensors are typically interrogated by OTDR, OFDR, or phase-OTDR ( φ O T D R ). Compared to OTDR, the OFDR technique offers shorter gauge length and higher spatial resolution, while its sensing range is relatively limited.
Figure 24. Principle of backscattered light in DOFS using the OFDR interrogation technique; (a,b) scattered and backscattered light; (c) frequency components of scattered light; (d) signal processing of backscattered light in the frequency domain [72].
Figure 24. Principle of backscattered light in DOFS using the OFDR interrogation technique; (a,b) scattered and backscattered light; (c) frequency components of scattered light; (d) signal processing of backscattered light in the frequency domain [72].
Geotechnics 06 00025 g024
Rayleigh-based sensors combined with the OFDR interrogation technique offer a spatial resolution of 1 mm and a typical sensing range between 50 m and 70 m. In this technique, the initial pattern of Rayleigh scatter light is recorded under unperturbed conditions and stored as a reference signal. When the optical fiber is subjected to temperature variations or mechanical strain, a probe signal is re-transmitted through the fiber, and the resulting Rayleigh backscattered light is measured. Both the reference and probe signals are transformed into the frequency domain using Fourier analysis and then, the resulting spectra are cross-correlated to detect the spectral shifts. These shifts correspond to the induced strain or temperature variations along the fiber [44,46].
In contrast, Rayleigh-based sensors used with φ O T D R  interrogation techniques can monitor a long distance, though it comes with an increased gauge length and limited spatial resolution [45,47]. A typical example of this sensor configuration is the Rayleigh-based Distributed Acoustic Sensing (DAS) system, which also uses the φ O T D R . The DAS system can detect high-frequency vibrations over long distances (i.e., a typical sensing range of tens of kilometers), while providing a suitable spatial resolution for railway monitoring [47,71,73].
As indicated in Figure 25, a Rayleigh-based DAS system analyzes the backscattered signal between two points, A and B, each located at both ends of a selected gauge length. These two points span a distance w , which corresponds to the length covered during the time that the probe pulse travels through the fiber. When a pulse of light travels and is backscattered along the fiber, the interrogator unit (IU) measures the phase difference between points A and B over the gauge length, as shown in Equation (16) [47,73,74]:
Φ L = φ A φ B = 4 π n λ L × 0.78 + ϑ
where Φ ( L ) is the phase shift under unstrained conditions of the sensor (radians), λ is the wavelength of the transmitted optical pulse, ϑ is a fixed random phase of light at the two endpoints, L is the sensing gauge length.
When the gauge length changes due to rail deflection or any source of vibrations and local perturbations (Figure 25), the phase shift also changes, as described in Equation (17) [47,73,74]:
Φ L ± L = φ A φ B = 4 π n λ ( L ± L ) × 0.78 + ϑ
Therefore, the change in fiber length is correlated with the phase shift variation, allowing identification of the axial strain along the fiber.
  • Applications for DOFS:
Track traffic information: This system provides continuous monitoring of the strain variations along the rail. Typically, DOFS based on Brillouin and Rayleigh scatterings, specifically Rayleigh-based DAS technology, has been widely applied for real-time track traffic monitoring, such as train detection, and axle counting [68,69,70,71,75,76].
Detecting railroad track defects: DOFS can detect a range of geometric and structural defects, including hanging sleepers, differential settlement, track deformation, wheel flats, rail cracks, and broken rails. Continuous data collection with high spatial resolution and sampling rates can be paired with data-driven methods to identify rail defects such as broken or breaking rails [77]. Furthermore, DOFS-collected data, when integrated with rail beam theory, can provide insight into rail deflection, applied dynamic loads, and sleeper reaction forces. These parameters are essential for monitoring the track support modulus and overall track performance [42,43,47]. Figure 26 presents the specifications of recent DOFS studies conducted in the field. Results demonstrate that the OFS-based monitoring system can accurately capture the variations in sleeper reaction forces. This variation represented the system’s high resolution in detecting changes in the magnitude of the applied load as well as the degraded support condition, such as hanging sleepers [47]. However, Wheeler et al. [42,43] observed some degradation in the quality of the signal from the start to the end points of a 7.5 m long optical fiber. In addition, the optical signal quality was very sensitive during the train passage, depending on the amount of vibration it generates on the rail.

5.3. Potential Application of OFS for Distributed Temperature/Strain Sensing

Railroad tracks are subjected to longitudinal forces resulting from locomotive traction and braking, thermal expansion and contraction effects. High-temperature variation is especially critical for Continuous Welded Rails (CWRs), where considerable thermal expansion during hot weather can induce significant axial stresses. In addition, axial stresses are pronounced in track transition zones where material differences and unequal thermal expansion at the embankment–stiff structure interface create critical discontinuities. Although properly designed railroad tracks should withstand both mechanical and thermal longitudinal stresses, variations in support conditions, train loading, and environmental exposure can compromise their structural integrity. Rail failures such as buckling and creeping can occur when the rail loses lateral and longitudinal restraint, leading to structural instability. For this reason, continuous monitoring of the axial strain, stress, and temperature is essential for evaluating track condition and predicting potential failure.
Beyond OFSs’ capability for distributed strain measurement, they can also be used for distributed temperature sensing and longitudinal stress monitoring. For instance, Wang et al. [63] used both optical and electrical sensors, including FBG, LVDTs, and thermocouples, to measure axial stress, rail curvature, joint displacement, and temperature variations. These changes were caused by thermal expansion and rail–bridge interaction in CWR. As previously shown in Figure 21, three optical sensors were installed at different levels relative to the rail’s neutral axis. The monitoring system incorporated a warning mechanism that gives an alarm when rail stress levels approach the buckling limits. Wang et al. [78] proposed a bi-directional FBG arrangement for high-speed rail applications. This configuration enabled measurement of axial and vertical strains, as well as temperature-induced axial forces, which result from track–bridge interactions (Figure 27a). Barker et al. [79] investigated mechanically induced axial forces in the railroad track. They performed a field test to measure longitudinal strain and the rail forces generated during locomotive braking conditions. They compared two monitoring systems, Rayleigh-based DOFS and discrete electrical strain gauges (Figure 27b). Their results confirmed that DOFS-based technology effectively captured the strain profile under dynamic loading.

6. Conclusions

A review of the literature on the transient behavior and long-term performance of track transition zones showed that multiple factors contribute to their behavioral complexity. The factors include operational conditions (e.g., travel speed, direction, passenger or freight services), types of transition zone (e.g., slab track, ballasted track, bridge decks, level crossings, switches, and diamond crossings), design variations for transitions (e.g., plain versus remediated sections), and uncertainties in geotechnical conditions and construction quality (e.g., poorly stabilized subgrade or ballast layers, recently tamped ballast). These factors, whether individually or in combination, can affect track response, such as applied loads, settlement, and track degradation. Recent field studies have examined many of these individual variables.
Key findings from field studies of track transitions indicate that ballast conditions and the existence of hanging sleepers are the primary contributors to the transient deformation and settlement. A few long-term field studies further indicated that the transition zone behavior is highly sensitive to stiffness variation and poor support conditions. The extent of a transition zone widely varies, ranging from 4 to 30 m. Remediating methods, such as stoneblowing, foamed concrete, sleeper pads for stiffness adjustment, additional rail installation, and approach sections, can improve the track transition performance, but they have not completely eliminated the underlying problem. Conventional measurement systems for track transitions, such as InSAR, DIC, PSD, accelerometers, and strain gauges, provide valuable insights into their behavior but also have specific limitations. Numerical studies on track transitions confirmed that differential settlement has a greater effect on stress distribution and applied load magnitude than stiffness variation alone. However, stabilizing the embankment side and creating a tied interface between stiff and flexible structures can mitigate stress amplification and settlement.
Despite these findings, results are often case-specific and cannot be applied to different transition zone conditions. Furthermore, the severity and influence of individual factors can vary over time under repeated loading cycles, and a single parameter cannot accurately characterize the behavior of transition zones. This behavioral complexity necessitates effective monitoring of track transitions, providing simultaneous measurements of multiple parameters. Most conventional systems rely on point-based measurements, and their multiplexed configurations are often costly, massive, and unsustainable for long-term deployment. These challenges necessitate the continuous, temporal, and spatial monitoring of track transitions.
In contrast, studies have demonstrated that optical fiber sensors (OFSs) offer a reliable alternative to conventional monitoring systems. Their unique features support a wide range of applications within a single-unit monitoring setup. These features are as follows:
  • According to manufacturers’ guidelines, optical sensors are durable, immune to electromagnetic interference (EMI), and offer a higher sensitivity than the electrical-based sensors.
  • OFS technologies, both distributed and discrete, provide continuous measurement of strain and temperature with high sensitivity and appropriate spatial and temporal resolution. Discrete optical sensors can be multiplexed along a single fiber, which enables long-distance deployment with fewer installation challenges and higher measurement accuracy.
  • Both quasi-distributed and fully distributed OFS-based systems can independently supply data to estimate various track parameters, including stress–strain behavior, rail deflection, internal forces, dynamic wheel loads, and sleeper reaction forces within a single integrated system.
  • OFS-based monitoring systems with continuous and multi-parameter measurement can improve the understanding of track transition behavior and support condition, and provide early detection of structural and geotechnical defects in railroad tracks.
  • OFS-based continuous, high-resolution data collection with high sampling rates can be combined with data-driven methods to detect other critical rail and wheel defects, such as broken or breaking rails and wheel flats.
Although the OFS technologies have proven to be effective, there are still some specific limitations and challenges related to their monitoring systems:
  • Cross-sensitivity of OFS to both temperature and mechanical strain, requiring temperature compensation to separate thermal from mechanical-induced strains.
  • Constraints on OFS monitoring parameters influence their measurement accuracy. The monitoring parameters, such as gauge length, strain sensitivity, monitoring length, and sampling frequency, should be optimally designed to enhance the measurement accuracy.
  • Difficulty in multiplexing certain types of OFS, such as FPI sensors, makes them unsuitable for continuous measurement purposes. In addition, there is a possibility of significant signal degradation over long optical fibers in both distributed and quasi-distributed OFS configurations.
  • Long-distance monitoring with distributed optical fiber sensors (DOFSs) may suffer from a relatively low spatial resolution of data collection.
  • OFS preparation and field installation require careful handling, along with special protective measures, to ensure the sensor and optical cables’ robustness and promote their practical application in the railroad tracks during operation and maintenance activities.
Several research gaps in OFS-based monitoring systems remain to be discussed in future studies. Focusing on recent studies indicates the following limitations:
  • Durability and long-term performance: While OFSs are known for resisting harsh environments and erosion, very few studies have examined their long-term performance under significant temperature variations. Recent studies do not provide a consistent picture of the durability challenges of OFS-based monitoring systems.
  • Measurement quality and accuracy: Few studies have assessed the feasibility of the OFS-based monitoring system under different operating conditions. Issues like signal quality and noise in OFS measurements under moving loads (from light to heavy loads at low to high travel speeds) over long sections remain challenging and require further laboratory and field investigations. In addition, the OFS measurement accuracy is rarely validated in comparison to theoretical and numerical models.
  • Interpretation framework and performance indices: Although the OFS-based monitoring system can theoretically measure multiple track parameters, limited studies have focused on developing frameworks for analyzing and interpreting OFS-measured data or on generating standardized performance indices, such as track modulus and track stiffness, solely from OFS measurements.
  • Complexity in sensor design and configuration: Efficient OFS-based systems require careful determination of sensor gauge length, optimal spatial resolution, sensor placement on the rail, sampling frequency, and interrogating method.
  • Guidelines for deployment and data processing: Two main mounting methods are used to install the OFS on the rail: gluing and welding. Selecting the optimal mounting approach requires careful consideration of the OFS durability, measurement quality, and track operating conditions. On the other hand, considering the long-distance monitoring of track transitions, methods of data reduction and signal processing also require further discussion.
  • Cost analysis: OFS-based monitoring is an emerging system with unit prices comparable to conventional systems. Accordingly, the system currently requires a comprehensive cost–benefit analysis for large-scale implementations compared to the existing conventional alternatives.

Author Contributions

The authors confirm contributions to the paper as follows: conceptualization, D.M.; data curation, M.G. and M.F.R.; formal analysis, M.G.; funding acquisition, D.M.; investigation, M.G., M.F.R. and D.M.; methodology, D.M., M.G. and M.F.R.; project administration, D.M.; supervision, D.M.; visualization, M.G.; writing—original draft preparation, M.G. and M.F.R.; writing—review and editing, D.M., M.G. and M.F.R. All authors have read and agreed to the published version of the manuscript.

Funding

This research was funded by the Federal Railroad Administration (FRA).

Institutional Review Board Statement

Not applicable.

Informed Consent Statement

Not applicable.

Data Availability Statement

No new data were created or analyzed in this study. Data sharing is not applicable to this article.

Conflicts of Interest

The authors declare no conflict of interest.

Appendix A. Overview of the Case Studies by the OFS Monitoring System in Railroad Tracks

In this section, several publications about the OFSs are reviewed and summarized in Table A1.
Table A1. OFS application for railroad track monitoring.
Table A1. OFS application for railroad track monitoring.
AuthorLocationPurposeInstallation MethodOFS Properties
Lee et al. [80]Hong KongAssessment of rail derailment potential by measuring vertical and lateral wheel load on a twisted rail beam using strain gauge and FBG sensors Gluing FBG to the railTYP./QTY.3# FBGs in one array
Conclusion: Results from strain gauge and the FBG sensors demonstrated strong correlation with measurement errors remaining below 20%.
Chan et al. [81]Tsing Ma bridge
(Hong-Kong)
Investigating the feasibility of FBG sensors for structural health monitoring (SHM) by measuring dynamic strain and temperature variations and comparing their performance with conventional instruments.-TYP./QTY.40# FBGs on the bridge
Fs500 Hz
Conclusion: The findings demonstrated that FBG sensors performed well, and presented advantages over conventional instruments, such as remote sensing functionality, reduced maintenance costs, straightforward installation, and corrosion resistance.
Wang et al. [63]Field studyMeasurement of axial forces induced by thermal expansion and rail-bridge interaction in a Continuous Welded Rail (CWR) system. FBG sensors were used to monitor curvature and axial force, while LVDTs and extensometers measured displacement, and thermocouples recorded the temperature variations.Welding two anchor seats to the rail web for installation of FBGsTYP./QTY.132# FBG along 227 m length. Connected to 8 channels
Conclusion: FBG sensors could effectively monitor track-bridge interaction. A railway safety warning system was developed, where alarm and action thresholds were determined based on thermally induced rail stress and rail buckling strength theory. The alarm value was calculated as the critical temperature at which rail buckling occurs. At rail buckling strength, the maximum axial force was determined, and the corresponding temperature was identified. Additionally, the alarm threshold of longitudinal rail displacement was established through a statistical analysis of long-term monitoring data and estimating upper and lower limits of the axial displacements.
Filograno et al. [60,61]Madrid-Barcelona line
(250–300 km/h)
Identifying train type, axel loading, train speed, acceleration, wheel defects, and dynamic loads
  • Polishing and cleaning surface with alcohol
  • Pasting FBGs with a fast-curing epoxy
  • Protecting FBG by silicone and power tape
TYP./QTY.11# FBGs
GL7 mm
Fs4 kHz
Conclusion: A one-year inspection confirmed that the adhesive bonding method maintained a consistent performance. Dynamic load was measured by two diagonal sensors (oriented at 45 degrees) positioned on the rail’s neutral axis, with calculations based on mechanics of structure. These values were then compared to the nominal static load. OFS proved effective for railway safety monitoring. A single sensor under bending was identified as the optimal configuration for detecting wheel defects, as it produced large deformation and a corresponding optical signal that enhanced the visibility of wheel flats. The dynamic wheel load was found to be dependent on train speed. At 200 km/h and 300 km/h speeds, it was about 14.5% and 21% higher than the static load, respectively.
Kang et al. [82]Lab studyA laboratory study conducted on a 1/6th scale model of a gauge change facility, both under normal conditions and simulated rail malfunctions. Measurement of strain and development of a real-time monitoring system to assess the performance of the gauge change facility.-TYP./QTY.16# FBGs on 4 channels
GL10 mm
Fs200 Hz
Conclusion: A strain threshold for real-time field monitoring was established. It was defined as 70% of the maximum strain recorded at each location by individual FBG sensors. The train speed did not affect the measured strains; however, the strain variations were influenced by the train type, specifically the wheelset design.
Schroder et al. [83]Switzerland
(Lab and field study)
Measurement of the contact force in collector-catenary (Current Collector) (CC) of the trainsEmbedding sensors in CCTYP./QTY.6# and 3# FBGs for strain and temperature
Fs10 Hz
Conclusion: Sensor placement was optimized using FEM analysis to identify strain distribution and the location of the neutral axis under bending conditions. Additional FBG-based temperature sensors were installed near each mechanical strain sensor along the neutral axis to compensate for thermally induced strains. The CC was modeled as a bending beam with two types of end support, free and fixed supports. Sensors were spaced no more than 25 cm. Contact forces and their positions were calculated using strain measurements in combination with beam deflection theory.
Qiushi et al. [54]Chengdu Station in ChinaMonitoring vibration and temperature variations in the braking system. Measurement of wheel stress, wheel load, and train speed.Welding and attaching a metal holder ring to the rail surface and attaching the FBG to the holderTYP./QTY.12# FBGs on 9 m long rail. 4# FBG on the train, 2# FBG on the brake. It was linked to 4 channels.
Fs200 MHz
Conclusion: Train derailment risk was found to be predictable through installation of FBG sensors on both sides of the rail, which offered a cost-effective alternative to conventional systems such as wheel weighing system. The FBG sensors effectively detected load imbalances by identifying significant discrepancies between measured axle wheel loads. Thresholds were established to evaluate the status of the rail condition.
Roveri et al. [62]Milan-Italy (50–80 km/h) (80 trains per day)Monitoring the rail and wheel by measuring mechanical strains under the wheel-rail interaction.Pasting the FBG sensor on the rail with epoxy resin.TYP./QTY.4# FBGs at 45-degree near sleeper on neutral axis (NA). 2#–3# FBGs on NA for ambient temperature. FBG @ 10–20 cm.
Fs400 Hz
Conclusion: OFS installed along a 1.2 km section of the railway. Among all the deployed sensors, 21 sensors with the highest signal-to-noise ratio were selected for data analysis. Fourier transform analysis of the strain signal was performed to detect frequency peaks corresponding to rolling wheel impacts, indicating the presence of flat spots on the wheels.
Hussaini et al. [84]Large-scale lab studyMeasurement of lateral strain of the ballast foundation in tracks at different depths using LVDT and smart sensing sheet instrumented by FBG sensorsGluing FBG sensors to the sheet grooves using Cyanoacrylate adhesive.TYP./QTY.4# arrays of FBG
GL10 mm
Fs1.25 Hz
Conclusion: FBG sensors effectively captured both macroscopic (i.e., the overall lateral strains or movement) and microscopic responses (i.e., the inward and backward movements of the ballasts, which caused a fluctuation in the recorded strains). Their high sensitivity and resolution, fast response time, and immunity to electromagnetic and electrical interferences have enabled reliable detection of the ballast vibrations (i.e., movement fluctuations). Additionally, a linear relationship was established between the measured lateral strains and corresponding measured lateral displacement at each depth.
Lai et al. [85]Lab studyMeasurement of differential settlement in railway track-TYP./QTY.FBG-based liquid level sensor
Conclusion: Changes in the liquid level within the sensor induced tensional forces in the embedded FBG sensor. Sensor measurement errors were approximately ±1.3% across the temperature ranges of 30 °C to 80 °C, indicating greater reliability compared to conventional electronic-based instruments. The system shows strong potential for integration into a multiplex sensing network enabling measurement of differential settlement along extended railway section.
Kouroussis et al. [48]Lab and field study in BelgiumEvaluating FBG performance through both laboratory experiments and numerical simulations. Measuring train speed using FBG sensors installed on the rail foot, while detecting wheel loads using 45-degree-oriented FBG sensors positioned on the rail’s neutral axis.Gluing FBGs on the rail surfaceTYP./QTYLab: 9# FBGs @ 10 cm. Field: 4# FBGs on the rail neutral axis, 2# FBGs on the rail foot
Conclusion: Optimal FBG sensors placement was guided by prior experience with the strain gauges and validated by numerical simulation of a three-point flexural laboratory test under moving load conditions. The rail foot was identified as the critical position for measuring train speed and wheel position, while the measurement on the rail’s neutral axis was optimal for capturing train weight and detecting local wheel defects. A single FBG sensor was sufficient to measure the train speed when the train configuration was known; two FBG sensors enabled determination of both train speed and direction. Additionally, four FBG sensors positioned on the rail’s neutral axis accurately estimated the vertical wheel load.
Zhang et al. [86]Guangzhou-Shenzhen-Hong Kong railway (>300 km/h)Monitoring railway track temperature, axial rail displacement, stress, and strain along 1960 m railway-TYP./QTY.285# FBGs in
16 channels
Fs50 Hz
Accuracy50 mm
Conclusion: A real-time monitoring system was developed to assess rail track conditions. The developed monitoring system showed strong environmental compatibility and effectively estimated the condition of the high-speed railway track.
Yucel & Ozturk [56]Lab studyValidation of FBG sensor sensitivity and measuring the rail strain under vertical loading up to 200 kN-TYP./QTY.1# FBG at mid-length on the rail foot
Conclusion: A minor deviation was observed between the theoretical predictions and measured results. The error increased as the vertical load increased. The maximum discrepancy was 2.5%. In addition, the strain sensitivity (ratio of wavelength shift and strain) was about 1.38 pm/με.
Xu et al. [87]Shijiazhuang Tiedao UniversityValidation of the practicality of the FBG displacement sensors. Measuring the distance between the basic rail and sharp rail in railway turnouts.A steel shell is mounted on the bottom of the basic rail using a mounting hole and fixed to the sharp rail from the sleeve sideTYP./QTY.2# FBGs on a cantilever beam
Sensitivity
/Resolution
24.8 pm/mm
0.04 mm
Conclusion: Monitoring the distance between the basic and sharp rail in turnouts is essential to ensure complete rail closure. Though the sensors measurement was accurate, their sensitivity did not fully align with the theoretical predictions. The FBG displacement sensors were deployed for a two-year period, during which the sensor durability was challenging.
Martincek et al. [66]Field study in Slovak RepublicMeasuring the number of wheel axles and train speed and detecting individual wheels under 30 train passages at a speed of 20–100 km/h.-TYP./QTY.Fabry-Perot Interferometer
Conclusion: Train speed was calculated using the time interval between interference centers ( I c ) and the known distance between the corresponding wheels. Repetitive shocks (i.e., local signal) were found during the wheel rotation, which indicated wheel imperfections or flat spots. The optical fiber sensor used for this measurement showed an error of less than 0.56%.
Kacik et al. [88]Field studyMonitoring the rail strain under a train speed of 15.47 km/h-TYP./QTY.Fabry-Perot Interferometer
Conclusion: The designed configuration, in which the optical sensors were mounted on an aluminum profile, proved to be a reliable technique for installation on the rail and for monitoring the rail deflection.
Van Esbeen et al. [89]Field and lab studyIn the lab: performing a 3-point bending test to identify the optimal FBG sensor position for axle counting. In the field: train detection, axle counting, and measurement of train speed through installing a metal pad containing FBG sensors underside of the rail foot.In the lab: Gluing FBG on the rail using UV15DC80 adhesive. The rail surface was not grinded.
In the field: Polishing the rail surface. Gluing a metal pad containing the FBG sensors to the rail using the PTOTAC 7300 adhesive.
TYP./QTY.9# and 4# FBGs in lab and field
GL8 mm
Sensitivity32.08 pm/ton
Conclusion: The FBG sensors installed underside of the rail foot exhibited the highest load sensitivity (wavelength shift per unit load), which makes it the optimal position for axel counting. Two of those metal pads equipped with four FBG sensors were required for effective train detection, axle counting, and train speed measurement.
Nasrollahi et al. [38]Field studyMonitoring track degradation through measuring sleeper deflection, rail bending moment, and accumulated differential settlement using optical and electrical sensors.
  • Polishing the rail surface
  • Welding FBG sensors on the rail web at a 31 mm distance to the rail neutral axis
  • Protecting sensors and cables with aluminum covers and cable conduits
TYP./QTY2# FBG-based displacement transducer on sleeper, 1# FBG-based accelerometer on sleeper, 4 arrays of 4# FBG-based strain measurements on the rail web @ 10 mm–75 mm, 4# FBG-based temperature measurement on the rail web
Fs2 kHz
Conclusions: An array of axial strain was measured along the rail web above four sleepers. The Euler–Bernoulli beam theory correlated the axial strains with the rail curvature and bending moment. Additionally, two half-bridge strain gauges were used on opposite sides of the rail web to measure the applied load, and their results overlapped, confirming negligible influence of the lateral load. Accordingly, a single line of axial strain measurement was adequate for curvature estimation. A strong correlation was obtained between bending moment distribution, sleeper deflection, and track support conditions. The rail section with a larger bending moment aligned with locations where sleeper foundation was poor, as indicated by larger sleeper deflection.
Peng et al. [75]Field testReal-time monitoring of train location and speedThe optical cables were buried in the ground at a depth of 0.7–1.5 m with a distance of 15–20 m from the railway trackTYP./QTY.DOFS for 10.2 km
Interrogator φ O T D R
Conclusion: The train position was successfully identified through vibration detection in optical cables. The train movement generated vibrations that produced two distinct peaks in vibration distribution along the cable. These two peaks correspond to the leading (head) and trailing (tail) edges of the train within the monitoring zone. A waterfall plot of vibration data was obtained by detecting the peaks over time and normalizing the vibration curve. In this plot, the vibration edges were detectable, and the slope of the vibration edges provided accurate estimation of the train speed.
Wheeler et al. [42]Lab test and field study in a level crossing- Ontario, CanadaValidating optimal position of DOFS by laboratory test on a 2.8-m long rail under static and cyclic load (0.5 Hz). Investigating the applicability of the DOFS in measuring rail strain under dynamic low-frequency and high-frequency passenger train loading in a 7.5-m long rail. Using 5# Linear Potentiometers (LPs) and 4# DICs to measure the rail deflection. Determination of wheel load location, applied load, and track support condition.
  • Preparing rail surface by two methods (optimal and minimal preparation methods)
  • Gluing optical fiber to the rail with cyanoacrylate adhesive
TYP./QTYDOFS, Rayleigh-based backscattered (4# lines)
InterrogatorOFDR
GL20 mm (in lab)
5.12 mm (in field)
Conclusion: Strain values measured under static and dynamic loading were comparable; however, dynamic strains exhibited noisier signals. The noise level was pronounced at the fiber end than at the start points due to increased frequency interference in reflected light from the fiber end. The sensor effectively captured local strain variations, enabling the detection of rail cracking, and early maintenance warnings. Rail curvature calculation was more accurate for two lines of fibers placed at a greater vertical distance. The accuracy of the curvature measurements of the OFS was validated by comparing calculated rail deflection with the deflection measured by LP, showing strong agreement. Measured rail curvature captured the track support condition. Comparing the rail curvature and deflection envelopes revealed poorly supported zone exhibited an increased positive curvature with downward rail deflection; however, a well-supported zone showed considerable negative curvature with small downward rail deflection. The monitoring system was found to be less suitable for detecting high-frequency vibrations associated with high-speed train operations in the field conditions.
Wheeler et al. [43]level crossing in Quebec, CanadaInvestigating the applicability of the DOFS in measuring rail strain under heavy dynamic low-frequency (freight train with a speed of 8–11 km/h) load on a 7.5-m long rail. Measuring rail deflection by 3# DICs to measure rail deflection and investigating the track support condition.
  • Preparing rail surface by minimal preparation method
  • Gluing the OFS by cyanoacrylate adhesive
TYP./QTY.DOFS, 2# lines (Rayleigh)
InterrogatorOFDR
GL5.12 mm
Resolution2.56 mm
Fs50 Hz
Conclusion: DOFS successfully recorded data under the influence of freight trains operating at reduced speeds. Comparing the sleeper reaction force from DOFS-based static calculation and theoretical values based on Beam on Elastic Foundation (BOEF) showed an uneven force distribution, which indicated the presence of voids under some sleepers. The combination of DOFS-based calculation of wheel load and DIC-based deflection measurements enabled the characterization of the track’s load-deflection behavior. Comparing the magnitude of the void, inferred from the load-deflection of each sleeper, with the sleeper reaction force revealed that the load carried by each sleeper is a function of the void and support condition of adjacent sleepers. These findings highlighted the necessity of monitoring multiple consecutive sleepers to accurately interpret overall track support conditions.
Milne et al. [47]Field studyMonitoring a 10.4-m long rail with some poor sleeper foundation. Measuring strain using strain gauges and DOFS and recording track deflection with both DOFS and DIC.Gluing optical cable to the top and bottom of the rail surfaceTYP./QTY.DOFS, 2# lines (Rayleigh)
Interrogator φ O T D R (DAS)
Conclusion: The studies showed that different factors influence the monitoring system’s performance, which requires trade-offs between the factors to achieve precise measurement. The most critical factors were gauge length, sampling frequency, strain sensitivity, and bandwidth of the interrogator. The DAS system demonstrated reliable strain measurement capabilities, which can be used to quantify both track deflection and applied loads on the rail. In addition, the system is suitable for continuous measurement, either as a permanent or temporary monitoring solution, over a long segment of the track.
He et al. [90]Lab and field in Shanghai, ChinaValidating the sensors through lab tests on a 6-m long rail with two supporting conditions. Estimating the rail deflection with a length of 48 m using DOFS.-TYP./QTY.A line of DOFS and 1# FBG at mid-length
Conclusion: Laboratory results from FBG and DOFS were compared with theoretical calculations and numerical simulations based on FEM. The predicted strain value in FEM was slightly larger than the FBG measured values. The FBG-measured strain values were slightly larger than those from DOFS, with pronounced discrepancies under heavier loads. Under a simply supported condition, the maximum differences between theoretical strain and measured values were 1.79% for FBG and 5.02% for DOFS. Also, for the continuously supported rail condition, the deviation between the sensor measurement and FEM predictions was less than 40 με. This difference was justified by the effect of gauge length and spatial resolution of the sensor on strain accuracy. In field testing, three adjacent fasteners (spaced 65 cm apart) were removed, and the rail was displaced upwards in stages. DOFS performed effectively in the field measurement but showed sensitivity to ambient temperature and emphasizing temperature compensation for strain measurement in field applications.
Zhou et al. [91]Field testInvestigating the characteristics of the track subgrade layer using DOFS data to evaluate the layer’s modulus. Instrumenting a 4.5-km section of railroad track with DOFS and analyzing data for three specific selected sections. Comparing the results of subgrade modulus derived from DOFS with the values collected by Dynamic Cone Penetration (DCP) test.The DOFS cables were buried at a depth of 0.9 m and a distance of 4.5 m away from the center track line.TYP./QTY.DOFS, 1# line (4.5 km) (Rayleigh)
InterrogatorOTDR (DAS)
ResolutionGauge length 10 m, Spatial sampling 1 m
Conclusion: DAS was primarily used to collect track traffic information, such as train length and speed. Additionally, the buried DOFS signals adequately captured the pattern of the surface wave propagation within the track substructure. By transforming the collected signal into the frequency domain and analyzing the phase velocity in the wavelength domain, the fundamental mode of vibrations was identified (i.e., characterized by the slowest phase velocity with the highest amplitude per wavelength). The corresponding phase velocity was then used to calculate the shear wave velocity of the subgrade. Considering linear elastic theory, the shear wave velocity is correlated with the elastic modulus, which enabled the generation of a depth profile of the subgrade’s elastic modulus. Comparing the results with those from DCP test on the subgrade confirmed that DAS-based data analysis can reliably estimate subgrade properties under train moving loads.
Zhou et al. [92]Lab testAssessment of sleeper support conditions in the transverse direction of the track with small-scale modeling of the sleepers using wooden pieces (30 cm long) and instrumenting of the top and bottom center of the sleeper. Simulating different sleeper support conditions by altering the number and placement of wooden support sticks beneath the sleeper segment.Gluing the optical cable with M-Bond 200 adhesive to the wood surfaceTYP./QTY.DOFS, 2# lines (Rayleigh)
Resolution5.2 mm (64# points)
Fs30 Hz
Conclusion: The Euler–Bernoulli beam theory was applied to correlate the measured strain with the force distribution along the sleeper. The sleeper support condition was accordingly studied based on this force distribution. A high-order B-spline function represented the strain distribution along the sleeper length. The shear force profile was used to assess the sleeper support condition and calculate the applied force. The calculated force distribution showed a strong agreement with theoretical predictions. The predicted applied force was initially overestimated; nevertheless, accuracy improved when the number of wooden support sticks (representing the sleeper support) increased.
Remarks: TYP.: Type, QTY: Quantity, GL: Gauge Length, Fs: Frequency of Sampling.

References

  1. Indraratna, B.; Sajjad, M.B.; Ngo, T.; Correia, A.G.; Kelly, R. Improved performance of ballasted tracks at transition zones: A review of experimental and modelling approaches. Transp. Geotech. 2019, 21, 100260. [Google Scholar] [CrossRef]
  2. Hölscher, P.; Meijers, P. Literature Study of Knowledge and Experience of Transition Zones; Report (415990-0011); GeoDelf: Delft, The Netherlands, 2007. [Google Scholar]
  3. Varandas, J.N.; Hölscher, P.; Silva, M.A. Dynamic behaviour of railway tracks on transitions zones. Comput. Struct. 2011, 89, 1468–1479. [Google Scholar] [CrossRef]
  4. Sasaoka, C.; Davis, D. Long Term Performance of Track Transition Solutions in Revenue Service; Technology Digest TD-05-036; Transportation Technology Center Inc.; Association of American Railroads: Washington, DC, USA, 2005. [Google Scholar]
  5. Hyslip, J.P.; Li, D.; McDaniel, C.R. Railway bridge transition case study. In Bearing Capacity of Roads, Railways and Airfields, Proceedings of the 8th International Conference (BCR2A’09), Champaign, IL, USA, 29 June–2 July 2009; CRC Press: Boca Raton, FL, USA, 2009. [Google Scholar]
  6. Wang, H.; Chang, L.; Markine, V. Structural health monitoring of railway transition zones using satellite radar data. Sensors 2018, 18, 413. [Google Scholar] [CrossRef]
  7. Wang, H.; Markine, V.; Liu, X. Experimental analysis of railway track settlement in transition zones. Proc. Inst. Mech. Eng. Part. F J. Rail Rapid Transit. 2018, 232, 1774–1789. [Google Scholar] [CrossRef]
  8. Li, D.; Hyslip, J.; Sussmann, T.; Chrismer, S. Railway Geotechnics; CRC Press: Boca Raton, FL, USA, 2015. [Google Scholar]
  9. Nicks, J.E. The Bump at the End of the Railway Bridge. Ph.D. Dissertation, Texas A&M University, College Station, TX, USA, December 2009. [Google Scholar]
  10. Sañudo, R.; Dell’Olio, L.; Casado, J.A.; Carrascal, I.A.; Diego, S. Track transitions in railways: A review. Constr. Build. Mater. 2016, 112, 140–157. [Google Scholar] [CrossRef]
  11. Wang, H.; Markine, V. Dynamic behavior of the track in transitions zones considering the differential settlement. J. Sound. Vib. 2019, 459, 114863. [Google Scholar] [CrossRef]
  12. Hunt, G.A. EUROBALT optimises ballasted track. Railw. Gaz. Int. 2000, 156, 813. [Google Scholar]
  13. Pita, A.L.; Teixeira, P.F.; Robuste, F. High speed and track deterioration: The role of vertical stiffness of the track. Proc. Inst. Mech. Eng. Part. F J. Rail Rapid Transit. 2004, 218, 31–40. [Google Scholar] [CrossRef]
  14. Castillo-Mingorance, J.M.; Sol-Sánchez, M.; Moreno-Navarro, F.; Rubio-Gámez, M.C. A critical review of sensors for the continuous monitoring of smart and sustainable railway infrastructures. Sustainability 2020, 12, 9428. [Google Scholar] [CrossRef]
  15. Zhang, S.; Xiao, X.; Wen, Z.; Jin, X. Effect of unsupported sleepers on wheel/rail normal load. Soil. Dyn. Earthq. Eng. 2008, 28, 662–673. [Google Scholar] [CrossRef]
  16. Mishra, D.; Qian, Y.; Huang, H.; Tutumluer, E. An integrated approach to dynamic analysis of railroad track transitions behavior. Transp. Geotech. 2014, 1, 188–200. [Google Scholar] [CrossRef]
  17. Lundqvist, A.; Dahlberg, T. Load impact on railway track due to unsupported sleepers. Proc. Inst. Mech. Eng. Part. F J. Rail Rapid Transit. 2005, 219, 67–77. [Google Scholar] [CrossRef]
  18. Wang, H.; Markine, V.L.; Shevtsov, I.Y.; Dollevoet, R.P.B.J. Analysis of the dynamic behaviour of a railway track in transition zones with differential settlement. In Proceedings of the ASME/IEEE Joint Rail Conference, San Jose, CA, USA, 23-26 March 2015; American Society of Mechanical Engineers: New York, NY, USA, 2015; Volume 56451, p. V001T01A024. [Google Scholar] [CrossRef]
  19. Mishra, D.; Boler, H.; Tutumluer, E.; Hou, W.; Hyslip, J.P. Deformation and dynamic load amplification trends at railroad bridge approaches: Effects caused by high-speed passenger trains. Transp. Res. Rec. 2017, 2607, 43–53. [Google Scholar] [CrossRef]
  20. Mishra, D.; Tutumluer, E.; Stark, T.D.; Hyslip, J.P.; Chrismer, S.M.; Tomas, M. Investigation of differential movement at railroad bridge approaches through geotechnical instrumentation. J. Zhejiang Univ. Sci. A 2012, 13, 814–824. [Google Scholar] [CrossRef]
  21. Mishra, D.; Tutumluer, E.; Boler, H.; Hyslip, J.P.; Sussmann, T.R. Railroad track transitions with multidepth deflectometers and strain gauges. Transp. Res. Rec. 2014, 2448, 105–114. [Google Scholar] [CrossRef]
  22. Stark, T.D.; Wilk, S.T. Root cause of differential movement at bridge transition zones. Proc. Inst. Mech. Eng. Part. F J. Rail Rapid Transit. 2016, 230, 1257–1269. [Google Scholar] [CrossRef]
  23. Kerr, A.D.; Moroney, B.E. Track transition problems and remedies. Bulletin 1993, 742, 267–298. [Google Scholar]
  24. Namura, A.; Suzuki, T. Evaluation of countermeasures against differential settlement at track transitions. Q. Rep. RTRI 2007, 48, 176–182. [Google Scholar] [CrossRef]
  25. Plotkin, D.; Davis, D. Bridge Approaches and Track Stiffness; U.S. Department of Transportation, Federal Railroad Administration: Washington, DC, USA, 2008; Report No. DOT/FRA/ORD-08/01. [Google Scholar]
  26. Tutumluer, E.; Stark, T.D.; Mishra, D.; Hyslip, J.P. Investigation and mitigation of differential movement at railway transitions for U.S. high-speed passenger rail and joint passenger/freight corridors. In Proceedings of the ASME/IEEE Joint Rail Conference, Philadelphia, PA, USA, 17–19 April 2012; Volume 44656, pp. 75–84. [Google Scholar] [CrossRef]
  27. Li, D.; Davis, D. Transition of railroad bridge approaches. J. Geotech. Geoenviron. Eng. 2005, 131, 1392–1398. [Google Scholar] [CrossRef]
  28. Coelho, B.Z. Dynamics of Railway Transition Zones in Soft Soils. Ph.D. Dissertation, Delft University of Technology, Delft, The Netherlands, 13 May 2011. [Google Scholar]
  29. Le Pen, L.; Watson, G.; Powrie, W.; Yeo, G.; Weston, P.; Roberts, C. The behaviour of railway level crossings: Insights through field monitoring. Transp. Geotech. 2014, 1, 201–213. [Google Scholar] [CrossRef]
  30. Markine, V.; Wang, H.; Shevtsov, I. Experimental analysis of the dynamic behaviour of a railway track in transition zones. In Proceedings of the Ninth International Conference on Engineering Computational Technology, Naples, Italy, 2–5 September 2014; pp. 2–5. [Google Scholar]
  31. ProRail. Constructive Measures to Prevent Settlement of the Track (in Dutch Constructieve Maatregelen ter Voorkoming Van Ontoelaatbare Zakkingen Van Het Spoor); ProRail: Utrecht, The Netherlands, 2010. [Google Scholar]
  32. Zuada Coelho, B.; Priest, J.; Hölscher, P. Dynamic behaviour of transition zones in soft soils during regular train traffic. Proc. Inst. Mech. Eng. Part F J. Rail Rapid Transit 2018, 232, 645–662. [Google Scholar] [CrossRef]
  33. Coelho, B.; Hölscher, P.; Priest, J.; Powrie, W.; Barends, F. An assessment of transition zone performance. Proc. Inst. Mech. Eng. Part F J. Rail Rapid Transit 2011, 225, 129–139. [Google Scholar] [CrossRef]
  34. Pinto, N.; Ribeiro, C.A.; Gabriel, J.; Calçada, R. Dynamic monitoring of railway track displacement using an optical system. Proc. Inst. Mech. Eng. Part F J. Rail Rapid Transit 2015, 229, 280–290. [Google Scholar] [CrossRef]
  35. Boler, H.; Mishra, D.; Tutumluer, E.; Chrismer, S.; Hyslip, J.P. Stone blowing as a remedial measure to mitigate differential movement problems at railroad bridge approaches. Proc. Inst. Mech. Eng. Part F J. Rail Rapid Transit 2019, 233, 63–72. [Google Scholar] [CrossRef]
  36. Sañudo, R.; Jardí, I.; Martínez, J.-C.; Sánchez, F.-J.; Miranda, M.; Alonso, B.; dell’Olio, L.; Moura, J.-L. Monitoring Track Transition Zones in Railways. Sensors 2021, 22, 76. [Google Scholar] [CrossRef]
  37. Huang, Z.; Su, Q.; Huang, J.; He, X.; Pei, Y.; Yang, C. Field assessment of a subgrade-culvert transition zone constructed with foamed concrete in the ballasted railway. Int. J. Rail Transp. 2023, 12, 391–413. [Google Scholar] [CrossRef]
  38. Nasrollahi, K.; Dijkstra, J.; Nielsen, J.C. Towards real-time condition monitoring of a transition zone in a railway structure using Fibre Bragg Grating sensors. Transp. Geotech. 2024, 44, 101166. [Google Scholar] [CrossRef]
  39. Paixão, A.; Varandas, J.N.; Fortunato, E. Dynamic behavior in transition zones and long-term railway track performance. Front. Built Environ. 2021, 7, 658909. [Google Scholar] [CrossRef]
  40. Çati, Y.; Gökçeli, S.; Anil, Ö.; Korkmaz, C.S. Experimental and numerical investigation of usp for optimization of transition zone of railway. Eng. Struct. 2020, 209, 109971. [Google Scholar] [CrossRef]
  41. Jain, A.; van Dalen, K.N.; Metrikine, A.V.; Faragau, A.B.; Steenbergen, M.J.M.M. Comparative analysis of the dynamic amplifications due to inhomogeneities at railway transition zones. In Proceedings of the Fifth International Conference on Railway Technology: Research, Development and Maintenance; Pombo, J., Ed.; Civil-Comp Press: Edinburgh, UK, 2023; Volume CCC 1. [Google Scholar] [CrossRef]
  42. Wheeler, L.N.; Pannese, E.; Hoult, N.A.; Take, W.A.; Le, H. Measurement of distributed dynamic rail strains using a Rayleigh backscatter-based fiber optic sensor: Lab and field evaluation. Transp. Geotech. 2018, 14, 70–80. [Google Scholar] [CrossRef]
  43. Wheeler, L.N.; Take, W.A.; Hoult, N.A.; Le, H. Use of fiber optic sensing to measure distributed rail strains and determine rail seat forces under a moving train. Can. Geotech. J. 2019, 56, 1–13. [Google Scholar] [CrossRef]
  44. Lu, P.; Lalam, N.; Badar, M.; Liu, B.; Chorpening, B.T.; Buric, M.P.; Ohodnicki, P.R. Distributed optical fiber sensing: Review and perspective. Appl. Phys. Rev. 2019, 6, 041302. [Google Scholar] [CrossRef]
  45. Sasy Chan, Y.W.; Wang, H.P.; Xiang, P. Optical Fiber Sensors for Monitoring Railway Infrastructures: A Review towards Smart Concept. Symmetry 2021, 13, 2251. [Google Scholar] [CrossRef]
  46. Du, C.; Dutta, S.; Kurup, P.; Yu, T.; Wang, X. A review of railway infrastructure monitoring using fiber optic sensors. Sens. Actuators A Phys. 2020, 303, 111728. [Google Scholar] [CrossRef]
  47. Milne, D.; Masoudi, A.; Ferro, E.; Watson, G.; Le Pen, L. An analysis of railway track behavior based on distributed optical fibre acoustic sensing. Mech. Syst. Signal Process. 2020, 142, 106769. [Google Scholar] [CrossRef]
  48. Kouroussis, G.; Kinet, D.; Moeyaert, V.; Dupuy, J.; Caucheteur, C. Railway structure monitoring solutions using fibre Bragg grating sensors. Int. J. Rail Transp. 2016, 4, 135–150. [Google Scholar] [CrossRef]
  49. M2 Optics. Key Differences Between Single Mode and Multimode Optical Fibers. Available online: https://www.m2optics.com/blog/understanding-the-difference-between-single-mode-and-multimode-fiber (accessed on 26 April 2021).
  50. Kouroussis, G.; Caucheteur, C.; Kinet, D.; Alexandrou, G.; Verlinden, O.; Moeyaert, V. Review of trackside monitoring solutions: From strain gages to optical fibre sensors. Sensors 2015, 15, 20115–20139. [Google Scholar] [CrossRef]
  51. Fomitchov, P.; Krishnaswamy, S. Response of a fiber Bragg grating ultrasonic sensor. Opt. Eng. 2003, 42, 956–963. [Google Scholar] [CrossRef]
  52. Takeda, N. Characterization of microscopic damage in composite laminates and real-time monitoring by embedded optical fiber sensors. Int. J. Fatigue 2002, 24, 281–289. [Google Scholar] [CrossRef]
  53. Arsenault, T.J.; Achuthan, A.; Marzocca, P.; Grappasonni, C.; Coppotelli, G. Development of an FBG based distributed strain sensor system for wind turbine structural health monitoring. Smart Mater. Struct. 2013, 22, 075027. [Google Scholar] [CrossRef]
  54. Qiushi, M.; Xiaorong, G.; Hongna, Z.; Zeyong, W.; Quanke, Z. Composite railway health monitoring system based on fiber optic bragg grating sensing array. In Proceedings of the 2014 IEEE Far East Forum on Nondestructive Evaluation/Testing; IEEE: New York, NY, USA, 2014; pp. 259–264. [Google Scholar] [CrossRef]
  55. da Cunha, J.R.A.; Alcantara, P.; Brígida, A.S.; Borges, G.; Costa, J.W. New approach to the strain analysis of bragg grating sensors. Photonic Sens. 2013, 3, 74–80. [Google Scholar] [CrossRef]
  56. Yucel, M.; Ozturk, N.F. Real-time monitoring of railroad track tension using a fiber Bragg grating-based strain sensor. Instrum. Sci. Technol. 2018, 46, 519–533. [Google Scholar] [CrossRef]
  57. Othonos, A. Fiber bragg gratings. Rev. Sci. Instrum. 1997, 68, 4309–4341. [Google Scholar] [CrossRef]
  58. Tosi, D. Review and analysis of peak tracking techniques for fiber Bragg grating sensors. Sensors 2017, 17, 2368. [Google Scholar] [CrossRef]
  59. Ou, W. Fiber Bragg Gratings Strain Sensors for Railway Applications. Master’s. Thesis, University of Illinois at Urbana-Champaign, Champaign, IL, USA, 1 June 2009. [Google Scholar]
  60. Filograno, M.L.; Guillén, P.C.; Rodríguez-Barrios, A.; Martín-López, S.; Rodríguez-Plaza, M.; Andrés-Alguacil, Á.; González-Herráez, M. Real-time monitoring of railway traffic using fiber Bragg grating sensors. IEEE Sens. J. 2011, 12, 85–92. [Google Scholar] [CrossRef]
  61. Filograno, M.L.; Corredera, P.; Rodriguez-Plaza, M.; Andres-Alguacil, A.; Gonzalez-Herraez, M. Wheel flat detection in high-speed railway systems using fiber Bragg gratings. IEEE Sens. J. 2013, 13, 4808–4816. [Google Scholar] [CrossRef]
  62. Roveri, N.; Carcaterra, A.; Sestieri, A. Real-time monitoring of railway infrastructures using fibre Bragg grating sensors. Mech. Syst. Signal Process. 2015, 60, 14–28. [Google Scholar] [CrossRef]
  63. Wang, C.Y.; Tsai, H.C.; Chen, C.S.; Wang, H.L. Railway track performance monitoring and safety warning system. J. Perform. Constr. Facil. 2011, 25, 577–586. [Google Scholar] [CrossRef]
  64. Chtcherbakov, A.A. Reflective Interferometric Fibre Optic Sensors. Ph.D. Dissertation, University of Johannesburg, Johannesburg, South Africa, September 1997. [Google Scholar]
  65. Islam, M.; Ali, M.M.; Lai, M.H.; Lim, K.S.; Ahmad, H. Chronology of Fabry-Perot interferometer fiber-optic sensors and their applications: A review. Sensors 2014, 14, 7451–7488. [Google Scholar] [CrossRef]
  66. Martincek, I.; Kacik, D.; Horak, J. Interferometric optical fiber sensor for monitoring of dynamic railway traffic. Opt. Laser Technol. 2021, 140, 107069. [Google Scholar] [CrossRef]
  67. Pendão, C.; Silva, I. Optical Fiber Sensors and Sensing Networks: Overview of the Main Principles and Applications. Sensors 2022, 22, 7554. [Google Scholar] [CrossRef]
  68. Minardo, A.; Porcaro, G.; Giannetta, D.; Bernini, R.; Zeni, L. Real-time monitoring of railway traffic using slope-assisted Brillouin distributed sensors. Appl. Opt. 2013, 52, 3770–3776. [Google Scholar] [CrossRef]
  69. Zeni, L.; Minardo, A.; Porcaro, G.; Giannetta, D.; Bernini, R. Monitoring railways with optical fibers. SPIE Newsroom 2013, 3–5. [Google Scholar] [CrossRef]
  70. Klug, F.; Lackner, S.; Lienhart, W. Monitoring of railway deformations using distributed fiber optic sensors. In Proceedings of the Joint International Symposium on Deformation Monitoring (JISDM), Wien, Austria, 30 March–1 April 2016; Volume 1. [Google Scholar]
  71. Rahman, M.A.; Taheri, H.; Dababneh, F.; Karganroudi, S.S.; Arhamnamazi, S. A review of distributed acoustic sensing applications for railroad condition monitoring. Mech. Syst. Signal Process. 2024, 208, 110983. [Google Scholar] [CrossRef]
  72. Berrocal, C.G.; Fernandez, I.; Rempling, R. Crack monitoring in reinforced concrete beams by distributed optical fiber sensors. Struct. Infrastruct. Eng. 2021, 17, 124–139. [Google Scholar] [CrossRef]
  73. Chen, M.; Masoudi, A.; Brambilla, G. Performance analysis of distributed optical fiber acoustic sensors based on φ-OTDR. Opt. Express 2019, 27, 9684–9695. [Google Scholar] [CrossRef]
  74. Masoudi, A.; Pilgrim, J.A.; Newson, T.P.; Brambilla, G. Subsea cable condition monitoring with distributed optical fiber vibration sensor. J. Light. Technol. 2019, 37, 1352–1358. [Google Scholar] [CrossRef]
  75. Peng, F.; Duan, N.; Rao, Y.J.; Li, J. Real-time position and speed monitoring of trains using phase-sensitive OTDR. IEEE Photonics Technol. Lett. 2014, 26, 2055–2057. [Google Scholar] [CrossRef]
  76. Zhang, G.; Song, Z.; Osotuyi, A.G.; Lin, R.; Chi, B. Railway traffic monitoring with trackside fiber-optic cable by distributed acoustic sensing Technology. Front. Earth Sci. 2022, 10, 990837. [Google Scholar] [CrossRef]
  77. Wagner, A.; Nash, A.; Michelberger, F.; Grossberger, H.; Lancaster, G. The effectiveness of distributed acoustic sensing (DAS) for broken rail detection. Energies 2023, 16, 522. [Google Scholar] [CrossRef]
  78. Wang, P.; Xie, K.; Shao, L.; Yan, L.; Xu, J.; Chen, R. Longitudinal force measurement in continuous welded rail with bi-directional FBG strain sensors. Smart Mater. Struct. 2015, 25, 015019. [Google Scholar] [CrossRef]
  79. Barker, C.; Hoult, N.; Zhang, M. Longitudinal strain monitoring of rails using distributed and discrete sensors. In Proceedings of the 9th European Workshop on Structural Health Monitoring (EWSHM 2018), Manchester, UK, 10–13 July 2018; e-Journal of Nondestructive Testing; Volume 23. Available online: https://www.ndt.net/?id=23383 (accessed on 10 February 2026).
  80. Lee, K.Y.; Lee, K.K.; Ho, S.L. Exploration of using FBG sensor for derailment detector. WSEAS Trans. Top. Syst. 2004, 3, 2433–2439. [Google Scholar]
  81. Chan, T.H.; Yu, L.; Tam, H.Y.; Ni, Y.Q.; Liu, S.Y.; Chung, W.H.; Cheng, L.K. Fiber Bragg grating sensors for structural health monitoring of Tsing Ma bridge: Background and experimental observation. Eng. Struct. 2006, 28, 648–659. [Google Scholar] [CrossRef]
  82. Kang, D.; Kim, D.H.; Jang, S. Design and development of structural health monitoring system for smart railroad-gauge-facility using FBG sensors. Exp. Tech. 2014, 38, 39–47. [Google Scholar] [CrossRef]
  83. Schröder, K.; Ecke, W.; Kautz, M.; Willett, S.; Jenzer, M.; Bosselmann, T. An approach to continuous on-site monitoring of contact forces in current collectors by a fiber optic sensing system. Opt. Lasers Eng. 2013, 51, 172–179. [Google Scholar] [CrossRef]
  84. Hussaini, S.K.; Indraratna, B.; Vinod, J.S. Application of optical-fiber Bragg grating sensors in monitoring the rail track deformations. Geotech. Test. J. 2015, 38, 387–396. [Google Scholar] [CrossRef]
  85. Lai, C.C.; Au, H.Y.; Liu, M.S.; Ho, S.L.; Tam, H.Y. Development of level sensors based on fiber Bragg grating for railway track differential settlement measurement. IEEE Sens. J. 2016, 16, 6346–6350. [Google Scholar] [CrossRef]
  86. Zhang, Y.; Liu, F.; Jing, Y.; Li, W. Application of FBG sensing technique for monitoring and early warning system of high-speed railway track conditions. In Proceedings of the 2017 25th Optical Fiber Sensors Conference (OFS), Jeju, Republic of Korea, 24-28 April 2017; IEEE: New York, NY, USA, 2017; pp. 1–4. [Google Scholar] [CrossRef]
  87. Xu, H.B.; Li, F.; Zhao, W.G.; Tian, X.S.; Du, Y.L.; Gao, Y. Fiber optic displacement sensor used in railway turnout contact monitoring system. Optoelectron. Lett. 2019, 15, 165–169. [Google Scholar] [CrossRef]
  88. Kacik, D.; Martincek, I.; Maciak, J.; Goraus, M. Fabry–Pérot interferometer monitoring system for counting train axle. IEEE Trans. Instrum. Meas. 2022, 71, 7005409. [Google Scholar] [CrossRef]
  89. Van Esbeen, B.; Finet, C.; Vandebrouck, R.; Kinet, D.; Boelen, K.; Guyot, C.; Kouroussis, G.; Caucheteur, C. Smart railway traffic monitoring using fiber Bragg grating strain gauges. Sensors 2022, 22, 3429. [Google Scholar] [CrossRef]
  90. He, J.; Li, P.; Zhang, S. Continuous deformation measurement for track based on distributed optical fiber sensor. Struct. Monit. Maint. 2020, 7, 1–12. [Google Scholar] [CrossRef]
  91. Zhou, Y.; Huang, H.; Pudel, A. Continuous Railroad Track Health Monitoring Using Distributed Fiber Optic; American Railway Engineering and Maintenance-of-Way Association: Indiana, Indianapolis, 2023. [Google Scholar]
  92. Zhou, Y.; Huang, H.; Shen, S.; Wang, X. Measuring under-tie support condition: An approach using distributed fiber-optic strain sensors. Measurement 2024, 227, 114279. [Google Scholar] [CrossRef]
Figure 1. Challenges encountered at track transition (note: stiff structures may include bridge decks, tunnel slabs, and culverts).
Figure 1. Challenges encountered at track transition (note: stiff structures may include bridge decks, tunnel slabs, and culverts).
Geotechnics 06 00025 g001
Figure 2. (a) Settlement in the transition zone of a bridge approach, (b) track profile of a transition zone under train loading (note: the vertical rail displacement is highlighted by a red dashed line) (photo credit: corresponding author).
Figure 2. (a) Settlement in the transition zone of a bridge approach, (b) track profile of a transition zone under train loading (note: the vertical rail displacement is highlighted by a red dashed line) (photo credit: corresponding author).
Geotechnics 06 00025 g002
Figure 3. Deformation components in a track transition after multiple train loadings [6,7].
Figure 3. Deformation components in a track transition after multiple train loadings [6,7].
Geotechnics 06 00025 g003
Figure 4. (a) MDD used to measure vertical deformation in track substructure layers; (b) strain gauge circuits to measure vertical wheel loads and sleeper reaction forces (photo credit: corresponding author); (c) distance from the bridge abutment to instrumented locations [16,21].
Figure 4. (a) MDD used to measure vertical deformation in track substructure layers; (b) strain gauge circuits to measure vertical wheel loads and sleeper reaction forces (photo credit: corresponding author); (c) distance from the bridge abutment to instrumented locations [16,21].
Geotechnics 06 00025 g004
Figure 5. Locations of PSD sensors (D1, D2, and D3) in a track transition [34].
Figure 5. Locations of PSD sensors (D1, D2, and D3) in a track transition [34].
Geotechnics 06 00025 g005
Figure 6. PSD and acquisition unit used for vertical deflection measurement in a transition zone [34]. The components are indicated using a color-coding scheme (red, blue, green, etc.), as defined within the figure.
Figure 6. PSD and acquisition unit used for vertical deflection measurement in a transition zone [34]. The components are indicated using a color-coding scheme (red, blue, green, etc.), as defined within the figure.
Geotechnics 06 00025 g006
Figure 7. Dynamic profile of two track transitions with different support conditions: (a) good and (b) poor support conditions [7].
Figure 7. Dynamic profile of two track transitions with different support conditions: (a) good and (b) poor support conditions [7].
Geotechnics 06 00025 g007
Figure 8. Track transition monitoring: (a) long-term track settlement heat map derived from InSAR data; (b) rail height derived from measuring coach data [6].
Figure 8. Track transition monitoring: (a) long-term track settlement heat map derived from InSAR data; (b) rail height derived from measuring coach data [6].
Geotechnics 06 00025 g008
Figure 9. Sensor location in a remediated track transition [36] (note: additional inner rails are part of the remediation approach in track transitions).
Figure 9. Sensor location in a remediated track transition [36] (note: additional inner rails are part of the remediation approach in track transitions).
Geotechnics 06 00025 g009
Figure 10. (a) Sleeper vertical acceleration; (b) shear stress in rail web; (c) rail–sleeper and sleeper vertical deflection [36].
Figure 10. (a) Sleeper vertical acceleration; (b) shear stress in rail web; (c) rail–sleeper and sleeper vertical deflection [36].
Geotechnics 06 00025 g010
Figure 11. The geometric configuration of the remediated railroad–culvert transition zone and arrangement of the used sensors [37].
Figure 11. The geometric configuration of the remediated railroad–culvert transition zone and arrangement of the used sensors [37].
Geotechnics 06 00025 g011
Figure 12. Instrumentation plan in transition zone using optical sensors [38].
Figure 12. Instrumentation plan in transition zone using optical sensors [38].
Geotechnics 06 00025 g012
Figure 13. Cumulative distribution of (a) rail bending moment measured by FBG strain sensor #2 on top of sleepers #3, #5, #8, and #11; (b) vertical deflection of the selected sleepers [38].
Figure 13. Cumulative distribution of (a) rail bending moment measured by FBG strain sensor #2 on top of sleepers #3, #5, #8, and #11; (b) vertical deflection of the selected sleepers [38].
Geotechnics 06 00025 g013
Figure 14. (a) Predicted applied wheel load and (b) ballast–stress distribution in transition zone considering differential settlement [11] (note: red dashed line in (a) shows the actual wheel load; pitch motion in (a) refers to the rotation of the bogie frame around an axis perpendicular to the travel direction).
Figure 14. (a) Predicted applied wheel load and (b) ballast–stress distribution in transition zone considering differential settlement [11] (note: red dashed line in (a) shows the actual wheel load; pitch motion in (a) refers to the rotation of the bogie frame around an axis perpendicular to the travel direction).
Geotechnics 06 00025 g014
Figure 15. (a) Ballast settlement; (b) contact force between sleeper and ballast in a track transition under different numbers of load cycles [39].
Figure 15. (a) Ballast settlement; (b) contact force between sleeper and ballast in a track transition under different numbers of load cycles [39].
Geotechnics 06 00025 g015
Figure 16. Percentage increase in maximum stress of substructure layers in transition zone [41].
Figure 16. Percentage increase in maximum stress of substructure layers in transition zone [41].
Geotechnics 06 00025 g016
Figure 17. (a) Structure of a single-mode optical fiber [48], (b) single-mode fiber vs. multimode fiber in optical propagations [49] (note: the red arrows indicate the propagation of the optical signal through the fiber).
Figure 17. (a) Structure of a single-mode optical fiber [48], (b) single-mode fiber vs. multimode fiber in optical propagations [49] (note: the red arrows indicate the propagation of the optical signal through the fiber).
Geotechnics 06 00025 g017
Figure 18. Schematic illustration of the functionality of a Fiber Bragg Grating (FBG) sensor.
Figure 18. Schematic illustration of the functionality of a Fiber Bragg Grating (FBG) sensor.
Geotechnics 06 00025 g018
Figure 19. (a) Comparison of FBG and strain gauge outputs during a laboratory test on a rail subjected to the sinusoidal lateral load with magnitudes of 0.2 tons; (b) FBG response under simultaneous lateral and vertical loads with varying frequency and waveforms [59].
Figure 19. (a) Comparison of FBG and strain gauge outputs during a laboratory test on a rail subjected to the sinusoidal lateral load with magnitudes of 0.2 tons; (b) FBG response under simultaneous lateral and vertical loads with varying frequency and waveforms [59].
Geotechnics 06 00025 g019
Figure 20. (a) Crib circuit for measuring axle loads (P); (b) sleeper circuit for measuring sleeper reaction force (R).
Figure 20. (a) Crib circuit for measuring axle loads (P); (b) sleeper circuit for measuring sleeper reaction force (R).
Geotechnics 06 00025 g020
Figure 21. Axial strain measurement points on the rail cross-section [63].
Figure 21. Axial strain measurement points on the rail cross-section [63].
Geotechnics 06 00025 g021
Figure 22. Schematic of FPI sensor mechanism with full-reflective and semi-reflective surfaces.
Figure 22. Schematic of FPI sensor mechanism with full-reflective and semi-reflective surfaces.
Geotechnics 06 00025 g022
Figure 23. FPI sensor installed on the rail bottom for dynamic traffic monitoring [66].
Figure 23. FPI sensor installed on the rail bottom for dynamic traffic monitoring [66].
Geotechnics 06 00025 g023
Figure 25. Fundamentals of DAS and principles of strain measurement using φ O T D R interrogation technique [45,48,74].
Figure 25. Fundamentals of DAS and principles of strain measurement using φ O T D R interrogation technique [45,48,74].
Geotechnics 06 00025 g025
Figure 26. DOFS installations in the field: (a) Rayleigh-based system with OFDR interrogation technique [42]; (b) Rayleigh-based DAS system with φ O T D R interrogation technique [47].
Figure 26. DOFS installations in the field: (a) Rayleigh-based system with OFDR interrogation technique [42]; (b) Rayleigh-based DAS system with φ O T D R interrogation technique [47].
Geotechnics 06 00025 g026
Figure 27. Sensor configurations for (a) axial and vertical strain measurement [78]; (b) axial strain measurement for rail force calculation [79].
Figure 27. Sensor configurations for (a) axial and vertical strain measurement [78]; (b) axial strain measurement for rail force calculation [79].
Geotechnics 06 00025 g027
Table 1. Features of conventional monitoring systems used in track transitions.
Table 1. Features of conventional monitoring systems used in track transitions.
SensorSensing ParametersOperational Conditions
LVDT/MDDTrack deformation (Elastic and plastic) (Relative motion) (superstructure and substructure)Difficulty of mounting and stabilizing, Limitation on the depth of installation of MDD, Uncertainty in the fixity of the MDD anchor in a non-deformable layer, Point-based measurement, Sensitivity to EMI *, Difficulty of multiplexing
GeophoneVelocity and track deformation (Relative motion) (Elastic) (superstructure), Rail and wheel defects, Track traffic informationSpecific data analysis, Point-based measurement, Sensitivity to EMI, Difficulty of multiplexing
AccelerometerAcceleration, velocity, and track deformation (Absolute motion) (superstructure), Rail and wheel defects, Track traffic informationSpecific data analysis, Point-based measurement, Sensitivity to EMI, Difficulty of multiplexing
Strain GaugeRail micro-deformations (elastic and plastic), Sleeper Reaction Force, Wheel Load, Track traffic informationDifficulty of positioning and mounting, Sensitivity to EMI, Point-based measurement, Sensitivity to temperature variations, Difficulty of multiplexing
DICTrack deformation (Elastic) (Relative motion) (superstructure)Low accuracy for deflections smaller than pixel size, Sensitivity to ground and wind-generated vibrations, high cost of performance, Manual operation, Setting-up errors, Difficulty in camera positioning, Trade-off between the size of field-of-view and measurement accuracy, Limited monitoring length, Special post-processing of recorded data
PSDTrack deformation (Elastic) (Relative motion) (superstructure)Error in long laser distance, Limited range of deflection measurement, Specific mounting considerations, Point-based measurement
Measuring coachTrack geometry, Track photo and video, Acceleration of train componentsHigh cost of measurement, low frequency of measurement (twice per year), Limited to loaded deflection profile
InSARTrack deformation (plastic)Low frequency of measurement (bi-/tri-weekly), Variable and large spatial resolution, Sensitive to persistency and quality of scattering reflection from ground targets
* EMI: Electromagnetic interference.
Table 2. Summary of recent field studies on track transitions.
Table 2. Summary of recent field studies on track transitions.
ReferenceMonitoring
Period/No. of Train Passage
Train Speed
(km/h)
TRANSITION TYPEMeasurement
Location
Measured
Parameters
Monitoring Systems
Nasrollahi et al. [38]10 mos 160–80Ballasted track–slab trackEmbankment sideAc, P/ED, BM, VL(Acm, DS, T,) 16 SG
Huang et al. [37]8 and 1 mos 240–60Ballast on culvert–Ballasted trackEmbankment SideSSL, Ac, ED 11, PDAcm, PC, DS
Sanudo et al. [36]26 320–80Tunnel slab track–Ballasted trackEmbankment and slab sidesAc 12, SS, ED 13Acm, EXG, Pm, LVDT
Wheeler et al. [42,43]1 48–11, 129 9Level crossingEmbankment sideBM, ED, SF/R/L, OFS, DIC
Boler et al. [35]2 yrs40–177Open-deck bridge–Ballasted trackEmbankment sideEDS 14, VL, AcMDD 17, SG
Wang et al. [6]6 yrs, 30 5120 10Open deck bridge–Ballasted trackEmbankment and bridge sidesP/ED, TADIC, InSAR, MC
Wang et al. [7]4–42 6100Open-deck bridge–Ballasted trackEmbankment sideEDDIC
Mishra et al. [19,21]3 yrs177–241Ballast on bridge deck–Ballasted trackEmbankment sideVL, P/EDS 15SG, MDD
Pinto et al. [34]1 7220Ballast on culvert–Ballasted trackEmbankment and culvert sidesEDPSD
Le Pen et al. [29]2 8100–112Level crossingEmbankment sideED, TAGP, DIC, TRC
1 Test on an operational railway track with 45 trains per day. 2 8 and 1 months for long-term and transient measurements, respectively. 3 26 train passages with speeds ranging from 20, 40, 60, to 80 km/h per two remediated transition zones. 4 Single passage of one hi-rail vehicle and freight train at 8 km/h and single passage of passenger train at 129 km/h. 5 InSAR monitored for six years (recorded bi- or tri-weekly data), and DIC measured under 30 train passages. 6 Different numbers of train passages were considered for three different transition zones. 7 One passage of a high-speed train with a total of 24 axles. 8 Track recording car (TRC) measured track geometry for about two years. 9 Dynamic strain measurement was very noisy due to vibrations at this high train speed. 10 Drive speed of measuring coach. 11 Elastic deformations of super- and substructure layers. 12 Vertical accelerations of the sleeper. 13 The deformation includes the sleeper vertical deformation and relative vertical deformation between the sleeper and rail measured by LVDT and EXG, respectively. 14 Elastic deformations of substructure layers. 15 Elastic and plastic deformations of substructure layers. 16 The sensors are based on optical technology using Fiber Bragg Grating sensors. 17 Only the topmost LVDT of the MDD was used. Measured Parameters: Ac: Acceleration, SS: Shear Stress, SF: Shear Force, VL: Vertical Wheel Load, P/EDS: Plastic/Elastic Deformation of Substructure, SSL: Stresses of Substructure Layer, TA: Track Alignment, P/ED: Plastic/Elastic Deformation of Superstructure, BM: Rail Bending Moment, SL: Rail Seat Load, SR: Sleeper Reaction Force. Monitoring Systems: Acm: Accelerometer, EXG: Extensometer Gauge, Pm: Potentiometer, LVDT: Linear Variable Differential Transducer, DIC: Digital Imaging Correlation, SG: Strain Gauge, MC: Measuring Coach, InSAR: Satellite Synthetic Aperture Radar, PSD: Position Sensitive Detector, GP: Geophone, PC: Pressure Cell, DS: Displacement Sensor, T: Temperature sensor, TRC: Track Recording Car.
Disclaimer/Publisher’s Note: The statements, opinions and data contained in all publications are solely those of the individual author(s) and contributor(s) and not of MDPI and/or the editor(s). MDPI and/or the editor(s) disclaim responsibility for any injury to people or property resulting from any ideas, methods, instructions or products referred to in the content.

Share and Cite

MDPI and ACS Style

Gharizadehvarnosefaderani, M.; Rabbi, M.F.; Mishra, D. Track Transition Performance: A Sensor-Centric Literature Review and Optical Sensing Advances. Geotechnics 2026, 6, 25. https://doi.org/10.3390/geotechnics6010025

AMA Style

Gharizadehvarnosefaderani M, Rabbi MF, Mishra D. Track Transition Performance: A Sensor-Centric Literature Review and Optical Sensing Advances. Geotechnics. 2026; 6(1):25. https://doi.org/10.3390/geotechnics6010025

Chicago/Turabian Style

Gharizadehvarnosefaderani, Mahsa, Md. Fazle Rabbi, and Debakanta Mishra. 2026. "Track Transition Performance: A Sensor-Centric Literature Review and Optical Sensing Advances" Geotechnics 6, no. 1: 25. https://doi.org/10.3390/geotechnics6010025

APA Style

Gharizadehvarnosefaderani, M., Rabbi, M. F., & Mishra, D. (2026). Track Transition Performance: A Sensor-Centric Literature Review and Optical Sensing Advances. Geotechnics, 6(1), 25. https://doi.org/10.3390/geotechnics6010025

Article Metrics

Back to TopTop