Abstract
This study investigates rainfall-induced slope instability in fine-grained clayey soils through a probabilistic and sensitivity analysis framework that integrates spatial variability. Moving beyond traditional deterministic methods, Monte Carlo simulations were employed to quantify uncertainty in geotechnical parameters—unit weight, cohesion, and friction angle—modeled as random fields with a 1 m spatial resolution. This approach realistically captures natural soil heterogeneity and its influence on slope behavior during rainfall events. Transient seepage and slope stability analyses were performed using SEEP/W and SLOPE/W, respectively, with the Spencer method ensuring full equilibrium. This study examined how slope height, inclination, rainfall intensity and duration, and soil properties affect the factor of safety (FS). The results showed that higher rainfall intensity and longer durations significantly increase failure risk. For example, under 9 mm/h rainfall for 48 h, slopes taller than 10 m at 45° inclination exhibited failure probabilities over 30%. At 20 m, FS dropped to 0.68 with a 100% probability of failure. Sensitivity analysis confirmed cohesion and friction angle as key stabilizing factors, though their impact diminishes with infiltration. A dataset of 9984 slope scenarios was generated, supporting future machine learning applications for risk assessment and climate-resilient slope design.
1. Introduction
Understanding the stability of slopes composed of fine-grained clayey soils under varying rainfall intensities, durations, and geotechnical conditions is critical for assessing and mitigating the risks associated with rainfall-induced failures. These failures pose substantial threats to human safety, infrastructure resilience, and economic stability, particularly in regions prone to extreme precipitation events [1,2,3,4]. The ability to accurately predict slope instability is therefore essential for enhancing engineering designs and informing disaster preparedness strategies, ultimately reducing the risk of catastrophic failures [5,6,7,8,9,10,11].
Traditional slope stability assessments predominantly rely on deterministic methods, which estimate stability based on a single-valued factor of safety (FS). While these methods provide useful baseline assessments, they do not explicitly account for the inherent variability and uncertainty associated with geotechnical parameters, such as cohesion, friction angle, and unit weight [12,13]. As a result, deterministic approaches may lead to overly conservative or insufficiently safe designs [14]. To address these limitations, probabilistic analysis has been increasingly adopted, offering a more comprehensive means of quantifying uncertainty in geotechnical evaluations. Monte Carlo simulation (MCS), in particular, has emerged as a widely used probabilistic technique, enabling the systematic assessment of the influence of parameter variability on slope stability [15,16,17,18]. In addition to modeling parameter uncertainty through statistical distributions, recent advances have emphasized the importance of incorporating spatial variability—the natural fluctuation of soil properties across the slope domain. Spatially variable modeling recognizes that strength parameters such as cohesion and friction angle are not uniformly distributed in real soils but instead vary gradually with depth and across horizontal extents [19,20,21,22]. By simulating this heterogeneity using random field theory, spatial variability provides a more realistic framework for evaluating slope failure mechanisms, particularly in heterogeneous materials like fine-grained clays. In this study, spatial variability is explicitly incorporated into the probabilistic analysis by assigning random fields to unit weight, cohesion, and friction angle, with a sampling distance of 1 m. This resolution enables the model to capture localized zones of weakness or strength, which are critical in defining failure surfaces and estimating the true probability of failure. By combining Monte Carlo simulation with spatially variable inputs, the analysis offers a more rigorous and field-representative assessment of slope stability under rainfall-induced conditions, marking a significant advancement over conventional probabilistic approaches that assume spatial homogeneity.
Sensitivity analysis serves as a complementary tool to probabilistic approaches, offering insights into the relative influence of key geotechnical parameters such as cohesion, internal friction angle, and unit weight on slope stability [23]. By systematically varying these parameters and analyzing their impact on FS, sensitivity analysis helps identify the most critical factors governing slope behavior. This information is instrumental in refining engineering designs and optimizing mitigation measures to enhance slope stability.
The integration of probabilistic and sensitivity analyses provides a strong foundation for developing machine learning models capable of predicting slope failures under varying geotechnical and environmental conditions [24,25]. By constructing a comprehensive dataset derived from probabilistic simulations and sensitivity studies, machine learning algorithms can be trained to assess slope stability with improved accuracy and efficiency [26]. Such predictive models have the potential to revolutionize geotechnical risk assessment, enabling proactive decision-making and timely interventions to mitigate slope failures in fine-grained clayey soils. This study aims to develop a robust dataset that facilitates the application of machine learning in slope stability prediction, contributing to the advancement of data-driven approaches in geotechnical engineering.
1.1. Probabilistic Analysis Configuration
Probabilistic analysis is conducted using the Monte Carlo simulation (MCS) method within GeoStudio software (version 24.1.0.1406). Monte Carlo simulation is a numerical method that uses statistical sampling techniques to simulate the probability density function (PDF) of a given performance function, in this case, the factor of safety (FS) of slopes. It functions by assigning probability distributions to soil input variables such as cohesion, internal friction angle, and unit weight, then randomly generating numerous samples from these distributions. Each set of samples constitutes a unique scenario that is analyzed deterministically to produce a corresponding FS.
In this study, the soil strength parameters (i.e., cohesion and internal friction angle) along with unit weight are assumed to follow a normal distribution, a widely adopted assumption in probabilistic slope stability analysis [13,17,27,28]. The normal distribution is commonly used in geotechnical reliability assessments due to its suitability in representing natural variations in soil properties while avoiding skewed probabilities that may arise from lognormal or other asymmetric distributions [12]. Some studies have alternatively applied truncated normal distributions to limit physically unrealistic values [27], while others have explored bimodal distributions for specific soil conditions [29]. However, the normal distribution remains the most frequently utilized approach when sufficient empirical data are available to support its application. Importantly, the probabilistic analysis in this study also incorporated spatial variability in the soil properties to reflect the inherent heterogeneity present in natural soil deposits. This was achieved by defining random fields for cohesion, friction angle, and unit weight, with a sampling distance of 1 m, allowing the parameters to vary continuously across the slope domain. This approach enables the simulation of localized zones of weakness and strength that significantly influence failure mechanisms, thereby offering a more realistic representation of slope behavior under rainfall-induced loading. The integration of spatial variability into the MCS framework distinguishes this study from conventional analyses that assume spatial homogeneity, enhancing the reliability and relevance of the failure probability estimates.
Figure 1 presents the slope analyzed in this study, which has specific geometrical and hydrological boundary conditions designed to replicate realistic rainfall infiltration and groundwater scenarios. Rainfall intensity is represented through water flux (mm/h) applied over boundary lines 3–6, with potential seepage review enabled to account for infiltration dynamics. The groundwater table is modeled along lines 7–8. To simulate impermeable conditions, no-flow boundaries (Q = 0 m3/s) are defined for lines 1–2, 3–8, and 6–7, ensuring that water could not enter or exit the slope through the sides or the bottom. A groundwater table depth (Hw) of 5 m and an inclination of 7° are chosen based on Rahardjo et al. [30]. Impermeable boundaries are defined on the slope sides and base, preventing lateral or basal water flow. For probabilistic analysis, matric suction is fixed at a lower value of 20 kPa to conservatively assess slope stability under wetter conditions, reflecting more critical rainfall-induced instability scenarios [31]. A total of 10,000 simulations are conducted to ensure statistical robustness, generating a comprehensive probability distribution for the slope’s FS.
Figure 1.
Slope geometry for analysis.
1.2. Sensitivity Analysis Configuration
Complementing the probabilistic study, sensitivity analysis is performed to identify and quantify the relative influence of critical parameters on slope stability. The parameters analyzed include soil unit weight, cohesion, and internal friction angle; slope inclination and height; and rainfall intensity and duration [32,33,34]. These factors are selected for their known significant impact on the stability of fine-grained clayey soil slopes. To explore the influence of geometry, four slope inclinations (26.6°, 33.7°, 45°, and 63.4°) and four slope heights (5 m, 10 m, 15 m, and 20 m) are analyzed under varying rainfall conditions, with matric suction consistently fixed at 75 kPa. This higher matric suction value represents relatively drier soil conditions, enabling differentiation between the effects of variations in soil mechanical properties and moisture content fluctuations. This choice facilitates a clearer understanding of how mechanical properties independently influence slope stability [35,36].
The considered rainfall conditions cover intensities ranging from moderate to extreme (3.6 mm/h, 9 mm/h, 50 mm/h, 80 mm/h) and four rainfall durations (12 h, 24 h, 36 h, 48 h), to capture a broad spectrum of realistic scenarios. The sensitivity analysis systematically assesses how each parameter independently and interactively affects the FS, highlighting the most critical factors. By clearly identifying these influential variables, this study provides valuable insights into rainfall-induced slope instability mechanisms, guiding the development of effective predictive models and targeted risk mitigation strategies.
2. Fine-Grained Clayey Soil
The mechanical behavior of fine-grained clayey soils is primarily governed by their high plasticity, fine particle size, and significant water-retention characteristics. These attributes strongly influence critical geotechnical parameters such as cohesion, internal friction angle, and unit weight, which are essential for evaluating slope stability, bearing capacity, and soil response to environmental changes and loading conditions. The sensitivity of these soils to variations in moisture content and stress conditions underscores the need for careful analysis, particularly under rainfall-induced instability scenarios.
The unit weight (γ) of fine-grained clayey soils is a key parameter influenced by the soil’s density, compaction, and moisture content. These soils typically exhibit unit weights ranging from 14 to 18 kN/m3, with softer or more organic clays occupying the lower end of this range and denser, compacted clays at the higher end. Variations in unit weight are directly linked to the soil’s moisture content, void ratio, and degree of compaction, which play critical roles in determining slope stability and overall soil behavior under loading [37,38,39].
Cohesion (c) in fine-grained clayey soils arises from a combination of interparticle forces, including van der Waals forces, capillary action, and the intrinsic bonding properties of clay minerals. In natural conditions, cohesion values for these soils typically range between 10 and 30 kPa, depending on factors such as compaction, moisture content, and overconsolidation. Lower cohesion values are commonly associated with softer or saturated clays, where interparticle bonding is diminished. Conversely, higher cohesion values are observed in compacted or overconsolidated soils, where increased particle bonding enhances shear strength. This parameter is particularly critical in unsaturated conditions, where matric suction further contributes to apparent cohesion [39,40].
The internal friction angle (ϕ′) of fine-grained clayey soils is generally lower than that of granular soils due to the smooth, plate-like structure of clay particles and their tendency to deform rather than interlock under stress. Typical friction angle values range from 5° to 15°, reflecting the limited ability of these soils to resist shear forces, especially in saturated conditions. The friction angle is influenced by factors such as mineralogy, plasticity, and the presence of water films on particle surfaces, which reduce effective stress and hinder resistance to shear [39,40,41].
2.1. Shear Strength
The shear strength of fine-grained clayey soils is a critical parameter in slope stability analysis, as it determines the soil’s ability to resist shearing forces under applied loads. For the fine-grained clayey soil analyzed in this study, the base shear strength parameters are selected as follows: unit weight (γ) = 17 kN/m3, cohesion (c′) = 20 kPa, and friction angle (ϕ′) = 10°. These values fall within the typical range reported for fine-grained clayey soils and were chosen based on established geotechnical guidelines and field observations [30]. The relationship between matric suction and shear strength was modeled using the Vanapalli et al. (1996) [42] equation, which is expressed as
where τ is the shear strength, c′ is the effective cohesion, (σ − ua) is the net normal stress, (ua − uw) is the matric suction, ϕ′ is the effective angle of internal friction, θw represents the volumetric water content, θs is the saturated volumetric water content, and θr is the residual water content. This equation was implemented in the SEEP/W software (version 24.1.0.1406) for parametric analysis. The selected unit weight of γ = 17 kN/m3 represents moderately compacted clay, balancing natural density and compaction effects. Cohesion (c′ = 20 kPa) reflects a medium degree of interparticle bonding, which is consistent with undisturbed clayey soils that have not been subjected to extreme overconsolidation. The internal friction angle (ϕ′ = 10°) aligns with the low frictional resistance typical of clayey soils due to their fine particle size and smooth particle surfaces. Table 1 presents the soil parameters used in the analysis and their statistical parameters.
Table 1.
Statistical soil parameters used for slope stability analysis.
These parameters are grounded in geotechnical literature and standards that emphasize their relevance for fine-grained clayey soils [37,43]. For instance, studies on clayey soil shear strength have demonstrated that effective cohesion values between 10 and 30 kPa and friction angles between 5° and 15° are common for soils with moderate plasticity and natural compaction. Similarly, the adopted unit weight reflects field conditions where moisture content and density interplay to influence the overall stability of slopes.
In the context of this study, these base values serve as the foundation for probabilistic and sensitivity analyses, allowing for systematic exploration of how variations in shear strength parameters influence the factor of safety under different environmental conditions, particularly during rainfall infiltration events.
2.2. Soil Water Characteristic Curve
The soil water characteristic curve (SWCC) is a fundamental tool in unsaturated soil mechanics, describing the relationship between matric suction and the soil’s water content. This curve is crucial for understanding how fine-grained clayey soils retain and release water under varying moisture conditions, which directly impacts their hydraulic conductivity, shear strength, and stability. In this study, the SWCC for the fine-grained clayey soil is modeled using the Fredlund and Xing (1994) [44] equation. This widely accepted model provides a robust framework for estimating the volumetric water content (θ) as a function of matric suction (ψ), taking into account the effects of soil structure, pore size distribution, and air-entry value. The equation is expressed as
where Θw is the volumetric water content, Cψ is the correction function, Θs is the saturated volumetric water content, e is the natural number (2.71828), Ψ is the negative pore water pressure and a, n, and m are curve fitting parameters. Cψ = 1 [45]. The SWCC is particularly critical for modeling rainfall-induced instability in slopes, as it governs the redistribution of water within the soil profile. For fine-grained clayey soils, the curve typically exhibits a steep slope at lower matric suctions due to the soil’s high water retention capacity, followed by a gradual decrease as the soil approaches its residual water content. This behavior highlights the significant role of matric suction in maintaining the shear strength of unsaturated soils. By integrating the SWCC into the probabilistic and sensitivity analyses, this study captures the dynamic interactions between rainfall infiltration, matric suction, and slope stability. This comprehensive approach enhances the understanding of the mechanisms leading to failure in fine-grained clayey slopes.
2.3. Hydraulic Conductivity
Hydraulic conductivity is a key parameter in geotechnical engineering that governs water flow through soil pores, directly influencing slope stability by affecting pore water pressure and effective stress. In fine-grained clayey soils, where permeability is significantly lower compared to granular soils, hydraulic conductivity plays a critical role in controlling infiltration, drainage, and suction dissipation, which ultimately affect shear strength and the factor of safety.
The permeability function for the fine-grained clayey soil used in this study, shown in Figure 2, was derived using the equation proposed by Leong and Rahardjo (1997) [46]. The curve illustrates the variation of hydraulic conductivity (kw) with negative water pressure (matric suction). The saturated hydraulic conductivity (ks) is 1 × 10−6 m/s, which corresponds to conditions where the soil is fully saturated, allowing for relatively high water flow. As matric suction increases, hydraulic conductivity sharply decreases due to the progressive air entry into soil pores, reducing water mobility. Beyond the air-entry value, permeability continues to decline, eventually reaching residual conditions where water movement is extremely limited.
where kw is the coefficient of permeability with respect to water for unsaturated soil, ks is the saturated coefficient of permeability, Θ is equal to θw/θs, and p is the fitting parameter corresponding to the slope of the permeability function. The fitting parameters for the soil water characteristic curve are shown in Table 2. Figure 2 shows the hydrological properties for the fine-grained sandy soil used in the analysis. This nonlinear permeability function is essential for analyzing rainfall-induced slope instability. The rate of infiltration and pore pressure response depend on the soil’s ability to transmit water, which, in turn, influences shear strength. When hydraulic conductivity is low, as is typical for fine-grained soils, water infiltration occurs gradually, leading to a delayed but sustained reduction in matric suction. This reduction weakens the soil by decreasing apparent cohesion, increasing the likelihood of failure under prolonged rainfall conditions. The incorporation of hydraulic conductivity into the probabilistic and sensitivity analyses in this study allows for a more accurate assessment of how infiltration and water retention impact slope stability over time. Understanding these permeability characteristics is critical for developing reliable predictive models for rainfall-induced landslides in fine-grained soils.
Figure 2.
Hydrological properties for the fine-grained clayey soil: (a) SWCC and (b) hydraulic conductivity.
Table 2.
Soil water characteristic curve (SWCC) and hydraulic conductivity parameters for fine-grained clayey soil.
3. Analysis
Probabilistic and sensitivity analyses are conducted using GeoStudio [47], leveraging both SEEP/W for transient seepage analysis and SLOPE/W for stability analysis to evaluate the stability of fine-grained clayey soil slopes under rainfall conditions. This study examines the effects of slope height, slope inclination, soil unit weight, cohesion, friction angle, rainfall intensity, and rainfall duration on the factor of safety (FS). To ensure a rigorous assessment of slope stability, the Spencer method is employed as the primary limit equilibrium method, as it satisfies both force and moment equilibrium, making it more reliable than simplified equilibrium approaches [48].
The Spencer method assumes a constant interslice shear-to-normal force ratio across all slices, ensuring a statically determined solution. This method is particularly well suited for analyzing slope stability under transient conditions, such as rainfall-induced infiltration and pore water pressure variations. Given the impact of rainfall on slope instability, SEEP/W is used to simulate the seepage process, capturing how infiltration affects matric suction, effective stress, and the reduction in soil strength over time. The corresponding FS is then computed using SLOPE/W, incorporating the results from the seepage analysis. The governing equation for interslice shear force (X) and normal force (E) in the Spencer method is given as
where λ represents the interslice force function, which remains constant in Spencer’s method, ensuring accurate determination of FS across all slices. The probabilistic analysis was conducted to quantify the likelihood of slope failure, considering the inherent variability in soil properties. Monte Carlo simulations are used to model stochastic variations in geotechnical parameters, producing a distribution of FS values that reflect the uncertainties in soil strength and external loading conditions (rainfall). This approach allows for the determination of failure probabilities, providing a more comprehensive risk assessment than deterministic methods.
The general governing differential equation for two-dimensional seepage computed using SEEP/W can be expressed as
where the H is the total head, kx is the hydraulic conductivity in the x-direction, ky is the hydraulic conductivity in the y-direction, Q is the applied boundary flux, θ is the volumetric water content, and t is the time.
In addition, a sensitivity analysis is performed to determine the relative influence of each parameter on FS. By systematically varying one parameter at a time while keeping the others constant, this analysis identifies the most critical factors governing slope stability. The results indicate that slope inclination, rainfall intensity, and cohesion exert the most significant influence on FS, with steeper slopes and higher rainfall intensities leading to a rapid decline in FS. Lower cohesion values further contribute to instability, highlighting the crucial role of soil strength in resisting failure mechanisms. By integrating probabilistic and sensitivity analyses with seepage modeling, this study provides a comprehensive evaluation of slope stability under varying rainfall conditions. The findings contribute to the development of predictive models for landslide risk assessment and inform mitigation strategies for fine-grained clayey soil slopes subjected to extreme rainfall events.
The probabilistic framework used in this study integrates rainfall infiltration, moisture changes, matric suction variation, seepage characteristics, soil properties, and spatial variability to assess slope stability. Rainfall infiltration induces changes in gravimetric and volumetric moisture content, affecting matric suction and effective stress, which in turn reduce shear strength. This process alters the seepage characteristics, including hydraulic conductivity and water retention, which depend on the soil’s physical properties, such as cohesion, friction angle, and unit weight. To capture the inherent variability in these parameters, a spatial variability approach was implemented using a 1 m sampling distance, providing a more realistic representation of slope behavior. The slope stability is then evaluated using the Spencer method, and the resulting factor of safety (FS) is quantified through Monte Carlo simulations to assess the overall slope failure risk.
Model Validation
To ensure the reliability and accuracy of the numerical model developed for analyzing slope stability under rainfall infiltration, the validation is conducted by comparing the results with those obtained by Rahardjo et al. (2007) [30]. Rahardjo’s study serves as a well-established benchmark, as it extensively investigates the instability of homogeneous soil slopes under varying rainfall intensities, soil properties, and geometric configurations. Given that both studies focus on fine-grained clayey soils subjected to rainfall-induced instability, this comparison provides a robust framework for assessing the performance of the developed numerical model.
For validation, the boundary conditions, soil properties, and rainfall parameters from Rahardjo et al. (2007) [30] are carefully replicated to ensure consistency in the comparison (see Figure 3). The numerical simulation involved applying a continuous rainfall event over 24 h, during which the factor of safety (FS) exhibited a progressive decline, reflecting the reduction in shear strength due to increasing pore water pressures and the loss of matric suction. As the infiltration front advanced and the soil approached saturation, the FS reached a minimum threshold, indicating the most critical state of instability. Beyond this point, as rainfall ceased and pore pressures dissipated, the FS gradually increased, demonstrating the recovery of soil strength over time.

Figure 3.
Validation results for variation of FS with time (h): (a1,a2) for 26.6°; (b1,b2) for 33.7°; (c1,c2) for 45°; (d1,d2) for 63.4°. The graphs (a1,b1,c1,d1) represent the results obtained from [30], and the graphs (a2,b2,c2,d2) represent the results obtained from our numerical model.
Figure 3 compares the results obtained from the developed model with those presented in Rahardjo’s study. The comparison demonstrates that the results of the current study closely align with the trends observed in Rahardjo’s study, confirming the model’s capability to capture the transient behavior of slope stability under rainfall conditions. The agreement between the two studies validates the numerical framework, particularly in its ability to simulate the complex interactions between rainfall infiltration, pore pressure variations, and shear strength reduction in fine-grained clayey soils. This validation strengthens confidence in the model’s application for probabilistic and sensitivity analyses of rainfall-induced slope failures, ensuring its effectiveness in predicting slope stability under varying environmental conditions.
4. Results
4.1. Infiltration Analysis
The analysis of pore water pressure distribution is conducted for all slopes included in this study, considering different slope heights, inclinations, and rainfall conditions. However, for demonstration purposes, the results presented here correspond to a 10 m high slope with a 45° inclination, subjected to a constant rainfall intensity of 9 mm/h over durations of 12, 24, 36, and 48 h. The results presented in Figure 4 illustrate the progressive infiltration of rainwater into the soil matrix and its effect on pore water pressure development, which directly influences slope stability [49,50,51,52,53,54,55,56,57].

Figure 4.
The contours of pore water pressure distribution: (a) 12 h; (b) 24 h; (c) 36 h; (d) 48 h.
As rainfall progresses, pore water pressure increases within the slope, particularly in the upper and near-surface layers, where water infiltration is more pronounced [58,59,60,61,62]. In the initial stages (12 h), negative pore water pressures (suction) are still evident in most of the unsaturated regions, particularly at shallower depths. However, as rainfall continues beyond 24 and 36 h, the infiltration front advances, leading to the gradual loss of matric suction and the development of positive pore water pressures in localized zones, particularly near the crest and mid-slope regions. The increased saturation in these areas results in a reduction in effective stress, weakening the soil’s resistance to shear failure.
At 48 h, the effects of prolonged infiltration become more pronounced, with a more extensive zone of positive pore water pressure forming, particularly near the slope crest and within the failure-prone regions. This phenomenon significantly impacts slope stability, as the reduction in matric suction and increase in pore water pressure reduce shear strength, making the slope highly susceptible to instability. The formation of high pore pressure zones within the slope indicates areas where hydrostatic pressures are building up, which can serve as a trigger for progressive failure mechanisms in fine-grained clayey soils.
These findings confirm that rainfall duration plays a crucial role in slope destabilization, with longer rainfall events leading to increased pore pressure buildup and a subsequent decline in stability [63,64,65,66,67,68]. This reinforces the necessity of incorporating seepage modeling and transient pore water pressure analysis in slope stability assessments, particularly in fine-grained soils that exhibit low permeability and high-water retention capabilities. Understanding the development of pore pressures under different rainfall durations is essential for designing effective slope reinforcement and drainage strategies, minimizing the risk of rainfall-induced landslides.
4.2. Probabilistic Analysis Results
The probabilistic analysis was conducted to evaluate the variability and likelihood of failure for fine-grained clayey soil slopes subjected to rainfall-induced conditions. For demonstration purposes, the results presented in this section correspond to slopes with heights of 5, 10, 15, and 20 m, all with a 45° inclination and subjected to a constant rainfall intensity of 9 mm/h for 48 h. The probability density functions (PDFs) of the factor of safety (FS) were obtained using Monte Carlo simulations, incorporating spatial variability of soil strength parameters to reflect realistic subsurface heterogeneity.
Figure 5 illustrates a clear trend of decreasing mean FS with increasing slope height. For the 5 m slope (Figure 5a), the FS distribution exhibits a mean FS of 1.62 with no probability of failure (P [Failure] = 0%), indicating that the slope remains stable under the given conditions. At a height of 10 m (Figure 5b), the mean FS drops to 1.01 with a corresponding failure probability of 33.39%, signaling a transition toward instability as height increases. The trend becomes more critical at 15 m (Figure 5c), where the mean FS declines sharply to 0.80, and the failure probability reaches 100%, indicating that failure occurs in all realizations. At 20 m height (Figure 5d), this condition worsens, with a mean FS of just 0.68 and a continued 100% probability of failure, demonstrating that the slope is almost certainly unstable under these rainfall conditions.
Figure 5.
Probability density functions: (a) 5 m; (b) 10 m; (c) 15 m; (d) 20 m slope height.
The progressive leftward shift in the PDF with increasing slope height reflects an increased likelihood of failure due to the compounded effects of gravitational driving forces and pore water pressure accumulation. Moreover, the reliability index decreases substantially with height from 5.72 at 5 m to −13.07 at 20 m, quantifying the growing risk of instability as the mean FS moves further from the safety threshold (FS = 1.0). These findings highlight the critical role of slope geometry in governing rainfall-induced slope behavior and underscore the necessity of probabilistic approaches in evaluating failure risks in fine-grained clayey soils.
The probabilistic analysis further provides insights into the variability and convergence of the factor of safety (FS) over multiple simulation runs, illustrating the impact of spatially variable soil properties on slope stability under rainfall infiltration. The FS evolution is presented for slope heights of 5, 10, 15, and 20 m, all with a 45° inclination and subjected to a constant rainfall intensity of 9 mm/h for 48 h. In the Monte Carlo simulations, the black line represents the running mean FS as simulations progress, while the red line denotes the final FS value after 10,000 realizations.
As shown in Figure 6, the FS initially exhibits fluctuations across early simulation runs, reflecting the randomness introduced by the spatial distribution of geotechnical properties such as cohesion, friction angle, and unit weight. However, as the number of realizations increases, the mean FS stabilizes for all slope heights, confirming statistical convergence. For the 5 m slope (Figure 6a), the FS converges around 1.606, consistent with a stable slope condition. In contrast, the 10 m slope (Figure 6b) exhibits a lower final FS of approximately 1.02, nearing the threshold of instability. The convergence trend becomes more critical for the 15 m (Figure 6c) and 20 m (Figure 6d) slopes, where final FS values stabilize at approximately 0.804 and 0.681, respectively, confirming high failure probabilities observed in the probability density functions.
Figure 6.
Variation of the FS over multiple simulation runs: (a) 5 m; (b) 10 m; (c) 15 m; (d) 20 m slope height.
These results reinforce the observation that taller slopes are more susceptible to failure due to increased gravitational driving forces and enhanced pore water pressure development under rainfall. The stability of the FS over numerous runs also demonstrates the reliability of the probabilistic approach, particularly when spatial variability is considered. Unlike deterministic analyses, which assume uniform properties, this method accounts for realistic subsurface heterogeneity, offering a more robust evaluation of slope performance under uncertain conditions. These findings underscore the importance of using probabilistic methods to better quantify rainfall-induced slope failure risk, especially in fine-grained clayey soils where spatial variability significantly influences stability outcomes.
The cumulative distribution functions (CDFs) of the factor of safety (FS), obtained from the probabilistic analysis considering spatial variability, provide a clear representation of the likelihood of slope failure under rainfall-induced conditions. The analysis was performed for slopes with heights of 5, 10, 15, and 20 m, each inclined at 45°, subjected to a constant rainfall intensity of 9 mm/h sustained over a duration of 48 h. Spatial variability of the soil parameters cohesion, friction angle, and unit weight was modeled using a random field with a 1 m sampling interval to realistically simulate subsurface heterogeneity.
The results (see Figure 7) demonstrate a systematic reduction in slope stability with increasing height. The 5 m slope exhibits a distribution function that transitions gradually, with the majority of realizations maintaining FS values above the failure threshold (FS = 1.0), indicating stable behavior. As the slope height increases to 10 m, the distribution shifts toward lower FS values, and a significant portion of the realizations fall below FS = 1.0, suggesting an elevated probability of failure. This trend becomes markedly more severe on the 15 m and 20 m slopes, where the FS distributions shift further to the left, indicating a high concentration of realizations with FS values below 1.0. In particular, the 20 m slope shows an abrupt transition, with all realizations resulting in failure, signifying near-certain instability.
Figure 7.
Probability density functions (PDFs).
These results confirm that slope height exerts a dominant influence on failure probability under prolonged rainfall, primarily due to increased driving forces and elevated pore water pressures. The use of spatially variable soil properties enhances the reliability of the probabilistic assessment by capturing the effects of localized weaknesses, which are often overlooked in conventional homogeneous analyses. This highlights the necessity of incorporating spatial variability in probabilistic slope stability evaluations, especially in fine-grained clayey soils subjected to adverse hydrological conditions.
4.3. Sensitivity Analysis
The sensitivity analysis was performed to evaluate the influence of key geotechnical parameters, specifically unit weight, cohesion, and friction angle, on the factor of safety (FS) in fine-grained clayey slopes [69,70,71]. This analysis provides critical insights into the extent to which variations in soil properties affect slope stability, thereby identifying the most influential parameters governing failure mechanisms. For clarity and demonstration purposes, the results presented in this section correspond to a slope height of 10 m, ensuring a focused and representative assessment of the parameter interactions under controlled conditions.
4.3.1. Soil Unit Weight
Unit weight (γ) is a fundamental parameter in soil mechanics as it directly influences the stability of slopes and the overall strength of the soil. It represents the weight of soil per unit volume and is a key factor in determining the stresses acting on a soil mass. In the context of slope stability, the unit weight contributes to both the driving forces, which promote downslope movement, and the resisting forces, which counteract this movement. An increase in unit weight amplifies gravitational stress along the potential failure surface, thereby increasing the driving forces. However, the resisting forces, which depend on the soil’s cohesion and friction angle, remain unchanged, resulting in a reduction in the factor of safety. Consequently, understanding the role of unit weight in soil strength is critical for accurately evaluating slope stability under various conditions.
Figure 8 presents the variation of the factor of safety (FS) with the unit weight for slopes under varying rainfall intensities. The results demonstrate that the factor of safety (FS) decreases as the unit weight (γ) increases, consistent with the theoretical understanding of slope stability. As the unit weight rises, the driving forces acting on the slope increase due to greater gravitational stress, while the shear strength of the soil remains constant, resulting in a reduction in FS. This trend is observed across all slope inclinations and rainfall intensities considered in this study.

Figure 8.
Variation of the factor of safety (FS) with the unit weight for slopes under varying rainfall intensities: (a) 12 h; (b) 24 h; (c) 36 h; (d) 48 h.
The influence of rainfall intensity on this relationship is also evident. At higher rainfall intensities, such as 80 mm/h, the infiltration of water into the soil significantly reduces matric suction, diminishing the soil’s apparent cohesion and shear strength. This loss of resistance, coupled with increased driving forces from the higher unit weight, leads to a pronounced decline in FS. In contrast, at lower rainfall intensities, such as 3.6 mm/h, the reduction in matric suction is less severe, preserving a greater proportion of the soil’s shear strength. As a result, the FS decreases more gradually with increasing unit weight under these conditions.
For example, at a slope inclination of 45° and a rainfall intensity of 3.6 mm/h, the FS exhibits a relatively gradual decline as unit weight increases. This behavior reflects the limited reduction in matric suction and the relatively moderate slope geometry, which together mitigate the rate at which FS decreases. Conversely, steeper slopes, such as 63.4°, and higher rainfall intensities show more rapid FS reductions due to the combined effects of higher driving forces and greater infiltration-induced shear strength loss. These findings highlight the critical role of unit weight in determining slope stability, particularly when combined with varying rainfall intensities and slope inclinations.
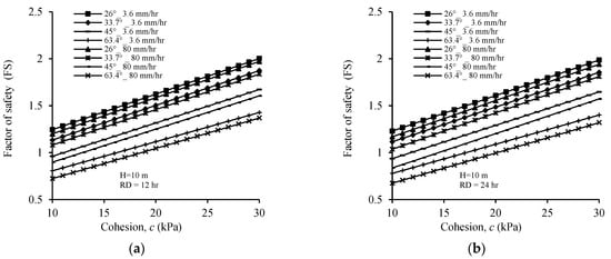
4.3.2. Cohesion
Figure 9 illustrates the variation of the factor of safety (FS) with cohesion under varying rainfall intensities. The results from the sensitivity analysis illustrate the relationship between cohesion (c) and the factor of safety (FS) for various slope inclinations and rainfall intensities over different rainfall durations. The graphs indicate a clear positive correlation between cohesion and FS, demonstrating that an increase in soil cohesion enhances slope stability by providing greater resistance to shear failure. This trend is consistent across all cases, as cohesion represents the intrinsic bonding strength between soil particles, which counteracts the gravitational driving forces acting downslope.

Figure 9.
Variation of factors of safety (FSs) with cohesion under varying rainfall intensities: (a) 12 h; (b) 24 h; (c) 36 h; (d) 48 h.
The effect of cohesion on FS is particularly evident in steeper slopes and under high-intensity rainfall conditions. For all slope inclinations, FS increases almost linearly with cohesion, confirming that cohesive forces play a dominant role in stabilizing fine-grained clayey slopes. At low cohesion values (10–15 kPa), FS is significantly reduced, making slopes more vulnerable to instability. As cohesion increases to 30 kPa, FS values rise, indicating a substantial improvement in slope stability.
The graphs also highlight the impact of rainfall intensity on slope stability. For lower rainfall intensities (3.6 mm/h), the FS values remain relatively higher across all cohesion levels, as less infiltration occurs, leading to reduced pore pressure buildup and limited loss of shear strength. However, for higher rainfall intensities (80 mm/h), FS is consistently lower, reflecting the adverse effects of water infiltration, which leads to increased pore water pressures, reduced matric suction, and consequently, decreased effective cohesion. This effect is more pronounced in steeper slopes, where higher gravitational stresses further exacerbate instability.
The critical conditions for slope failure are observed at low cohesion values (10–15 kPa), steep slopes (63.4°), and high rainfall intensity (80 mm/h). Under these conditions, FS falls below 1.0, indicating that the slope is in a failure-prone state. Furthermore, as the rainfall duration increases from 12 to 48 h, FS continues to decline, suggesting that prolonged rainfall exacerbates instability by progressively saturating the soil, reducing effective stress, and weakening cohesive forces.
Overall, the findings emphasize the crucial role of cohesion in maintaining slope stability, particularly under adverse environmental conditions. Fine-grained clayey soils with low cohesion are highly susceptible to rainfall-induced failures, especially when exposed to prolonged and intense rainfall. The results underscore the importance of incorporating accurate cohesion values in probabilistic and sensitivity analyses for reliable slope stability predictions and risk assessments.
4.3.3. Friction Angle
Figure 10 exhibits the variation of the factor of safety (FS) with the friction angle under varying rainfall intensities. The sensitivity analysis results demonstrate a positive correlation between the internal friction angle (ϕ′) and the factor of safety (FS), indicating that an increase in friction angle enhances slope stability. This relationship is expected, as the friction angle represents the soil’s ability to resist shear forces through interparticle friction. A higher friction angle leads to greater shear strength, increasing the resistance forces and improving slope stability.
Figure 10.
Variation of factors of safety (FSs) with friction angle under varying rainfall intensities: (a) 12 h; (b) 24 h; (c) 36 h; (d) 48 h.
The graphs illustrate that for all slope inclinations and rainfall intensities, FS increases nearly linearly with friction angle. At lower friction angles (5–10°), FS remains relatively low, making slopes more susceptible to failure. As the friction angle increases to 15°, FS improves significantly, demonstrating the critical role of interparticle friction in preventing instability.
The effect of rainfall intensity is also evident in the results. At low rainfall intensities (3.6 mm/h), FS values are higher across all friction angle values, as less water infiltration occurs, leading to limited reductions in effective stress. Conversely, for high rainfall intensities (80 mm/h), FS is consistently lower, as increased infiltration results in higher pore water pressures, reducing the effective normal stress and decreasing shear strength. This effect is particularly pronounced in steeper slopes, where gravitational forces further increase the driving forces.
The critical conditions for slope failure occur at low friction angles (5–7°), steep slopes (63.4°), and high rainfall intensity (80 mm/h). Under these conditions, FS values approach or drop below 1.0, indicating potential failure. Furthermore, as rainfall duration increases from 12 to 48 h, FS continues to decrease, highlighting the progressive weakening of the soil structure due to prolonged water infiltration.
Overall, the findings underscore the importance of the internal friction angle as a key factor in slope stability, particularly under rainfall-induced conditions. Fine-grained clayey soils with low friction angles are more prone to instability, especially when subjected to prolonged and intense rainfall. These results emphasize the necessity of incorporating accurate friction angle values in probabilistic and sensitivity analyses to enhance slope stability predictions and develop effective mitigation strategies.
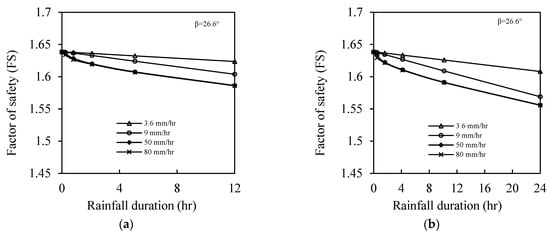
4.3.4. Rainfall Intensity and Duration
The rainfall intensities considered for this parametric study were 3.6, 9, 50, and 80 mm/h. According to the World Meteorological Organization (WMO) 2023 [72], these intensities are moderate, heavy, or violent, with classifications of slight (<2.5 mm/h), moderate (2.5–10 mm/h), heavy (10–50 mm/h), and violent (>50 mm/h).
The results presented in Figure 11 illustrate the effect of rainfall intensity and duration on the factor of safety (FS) for a slope inclination of 26.6° under different rainfall exposure periods (12, 24, 36, and 48 h). These findings provide critical insights into the destabilizing effects of rainfall infiltration on fine-grained clayey slopes and highlight the significance of rainfall characteristics in triggering instability.

Figure 11.
Rainfall intensity and duration affecting the factor of safety (FS): (a) 12 h; (b) 24 h; (c) 36 h; (d) 48 h.
The analysis demonstrates a consistent reduction in FS with increasing rainfall duration and intensity, reflecting the progressive weakening of the slope due to sustained infiltration. The FS decreases more rapidly at higher rainfall intensities, as increased infiltration leads to a greater buildup of pore water pressure and a reduction in matric suction. This phenomenon directly affects the effective stress within the soil, decreasing its shear strength and increasing the likelihood of failure.
For all cases, the initial FS is highest at the onset of rainfall and subsequently declines as water infiltrates the soil matrix. The rate of FS reduction is more pronounced for higher rainfall intensities (50 mm/h and 80 mm/h), where increased water infiltration results in faster saturation of the soil and a more significant decrease in effective cohesion. In contrast, lower rainfall intensities (3.6 mm/h and 9 mm/h) exhibit a slower decline in FS, as the infiltration process is more gradual, allowing for a longer retention of shear strength.
The duration of rainfall exposure further influences FS trends. At shorter durations (12 h), the FS reduction is moderate, as the soil retains some degree of suction and drainage mechanisms help dissipate excess water. However, as rainfall persists beyond 24, 36, and 48 h, FS continues to decrease, reflecting the cumulative effect of prolonged saturation. This trend is particularly evident for high-intensity rainfall events, where extended exposure exacerbates instability due to sustained pore pressure accumulation and progressive saturation of the soil profile.
The most critical conditions for slope instability occur for longer rainfall durations (36–48 h) combined with high-intensity rainfall (80 mm/h). Under these conditions, FS approaches critical values, indicating a significant reduction in slope stability. This finding underscores the importance of considering both intensity and duration when assessing rainfall-induced slope failures, as even moderate rainfall events can become hazardous if sustained over extended periods.
These results emphasize the necessity of incorporating rainfall variability into slope stability analyses to accurately predict failure risks. The findings also reinforce the need for effective drainage and mitigation strategies in geotechnical engineering, particularly in regions susceptible to prolonged and intense rainfall events that can lead to progressive slope instability.
4.3.5. Effect of Slope Height
Figure 12 presents the effect of slope height on the factor of safety (FS). The results indicate a consistent decrease in the factor of safety (FS) with increasing slope height, confirming that taller slopes are more susceptible to failure due to greater gravitational forces and higher driving stresses. Shorter slopes, particularly those with a height of 5 m, exhibit significantly higher FS values, suggesting more stable conditions. However, as the slope height increases to 10, 15, and 20 m, FS progressively declines, with the steepest slopes (63.4°) and the highest rainfall intensity (80 mm/h) experiencing the most significant reductions. At a slope height of 20 m, FS values approach 1.0 or lower, indicating conditions where slope failure is imminent.
Figure 12.
Effect of slope height on the factor of safety (FS).
The effect of rainfall intensity on slope stability is also evident. For moderate rainfall intensities, such as 3.6 mm/h, FS remains relatively higher as lower infiltration rates allow for better dissipation of pore water pressures. Conversely, for higher rainfall intensities, such as 80 mm/h, FS declines at a faster rate due to the increased infiltration, which elevates pore water pressures and reduces matric suction. This leads to a decrease in effective stress and a subsequent loss of shear strength, accelerating the onset of instability.
An important observation is that the 45° slope with a rainfall intensity of 3.6 mm/h and a height of 5 m exhibits a higher FS than the 33.7° slope with a rainfall intensity of 80 mm/h at the same height. While it might seem counterintuitive that a steeper slope is more stable than a gentler one, this result can be attributed to the dominant role of rainfall intensity in controlling slope stability. In the 45° slope under low-intensity rainfall, infiltration is minimal, allowing matric suction to be retained, which enhances the soil’s shear strength. Additionally, for a short slope height, the gravitational forces driving instability are relatively low, making the slope more stable despite its steeper inclination.
In contrast, the 33.7° slope subjected to a rainfall intensity of 80 mm/h experiences rapid infiltration, which leads to a significant increase in pore water pressure, reducing effective stress and weakening the soil’s shear strength. This reduction in resistance outweighs the stabilizing effect of the lower slope inclination, making the 33.7° slope less stable than the steeper 45° slope under dry conditions. This finding highlights that rainfall intensity can sometimes have a more pronounced impact on slope stability than slope inclination alone, especially when high infiltration rates rapidly saturate the soil.
The most critical stability conditions occur at greater slope heights (15–20 m), steep inclinations (63.4°), and high rainfall intensities (80 mm/h). Under these conditions, FS drops below 1.0, indicating that the slope is in a failure-prone state. This underscores the necessity of integrating both geometric and hydrological factors in slope stability assessments. While taller and steeper slopes are naturally more vulnerable, rainfall-induced pore pressure buildup can exacerbate failure risks, even in slopes with moderate inclinations. These results emphasize the need for effective drainage and stabilization strategies to mitigate the adverse effects of rainfall on slope stability, particularly in regions prone to intense and prolonged rainfall events.
5. Dataset for Machine Learning
The parametric study conducted in this research aimed to capture the complex behavior of fine-grained clayey soil slopes under varying geotechnical and environmental conditions. A total of 9984 unique combinations of slope height, slope inclination, soil unit weight, cohesion, friction angle, rainfall intensity, and rainfall duration were analyzed. This extensive dataset provides a comprehensive representation of slope stability variations, serving as a foundation for training machine learning models to predict slope failure risks with greater accuracy.
The results clearly demonstrate that each parameter significantly influences the factor of safety (FS). Increasing slope height and inclination lead to a pronounced decrease in FS, particularly under high-intensity and prolonged rainfall events [73,74,75,76,77,78,79,80,81]. This trend aligns with fundamental geotechnical principles, where taller and steeper slopes experience higher gravitational forces, and rainfall infiltration weakens shear strength by increasing pore water pressure and reducing matric suction.
For instance, the analysis shows that moderate slopes (β = 26.6°) exhibit FS values above 2.0 when subjected to lower rainfall intensities (e.g., 3.6 mm/h) for short durations. However, as rainfall intensity and duration increase, FS decreases significantly, particularly under conditions such as 50 mm/h for 12 h, where instability becomes more evident. For steeper slopes (β = 45° and 63.4°), the results indicate that FS drops below 1.5, even under moderate rainfall scenarios, highlighting the heightened vulnerability of these slopes to failure under increased water infiltration and prolonged saturation.
This dataset is generated using a sensitivity analysis in GeoStudio, systematically varying key geotechnical parameters to develop a robust database for machine learning model training. The extensive range of simulated conditions ensures that predictive algorithms can accurately assess slope stability across a wide spectrum of real-world scenarios. This dataset captures the unique behavior of fine-grained clayey soils, which exhibit lower permeability, higher plasticity, and greater dependence on matric suction for stability. These characteristics make clayey soils particularly susceptible to progressive failure mechanisms under prolonged rainfall infiltration, reinforcing the importance of predictive modeling in slope risk assessment.
The dataset developed in this study provides a valuable resource for future machine learning applications, enabling rapid slope stability assessments under diverse conditions. Future work will aim to expand the dataset by incorporating additional soil types (fine-grained silty soil) and environmental factors, further enhancing its applicability to broader geotechnical challenges. By leveraging advanced computational techniques, this research contributes to the development of more efficient and data-driven approaches for predicting rainfall-induced slope failures in fine-grained clayey soils.
6. Discussion and Conclusions
This study presents a rigorous investigation into the rainfall-induced instability of fine-grained clayey soil slopes, integrating probabilistic and sensitivity analyses within a spatially variable framework. The results reinforce that slope geometry, particularly height and inclination, combined with rainfall intensity and duration, are the primary factors influencing failure risk. Taller slopes exhibited significantly lower factors of safety and higher failure probabilities due to increased gravitational loading and pore water pressure accumulation under sustained infiltration.
A key innovation in this research lies in the explicit incorporation of spatial variability in the probabilistic analysis. Unlike traditional probabilistic models that assume homogeneous distributions, the current study applied a 1 m sampling distance for soil properties, enabling the simulation of realistic subsurface heterogeneity. This approach allowed for the identification of localized zones of weakness and offered a more representative estimate of slope failure probabilities. The findings revealed that even under moderate rainfall conditions (9 mm/h), spatial variability could shift the FS distribution leftward, leading to higher failure risks in slopes with critical geometries.
The sensitivity analysis further revealed that cohesion and internal friction angle are critical parameters for slope stability. However, their stabilizing influence is significantly diminished under high rainfall intensity and duration, emphasizing the dominant role of hydrological loading in triggering failures. Additionally, it was shown that rainfall intensity can outweigh slope inclination in controlling stability, particularly in shorter slopes where matric suction plays a stabilizing role. The creation of a dataset comprising 9984 slope configurations provides a valuable tool for training machine learning models to rapidly assess slope failure risks under diverse conditions. This study contributes to the advancement of data-driven geotechnical engineering by combining spatially variable probabilistic modeling, transient seepage analysis, and machine learning preparedness. Future work should extend this framework to other soil types, such as silts, and explore additional probabilistic approaches like Bayesian updating to enhance real-time risk prediction capabilities.
While this study provides valuable insights into slope stability assessment, it is limited by the assumption of homogeneous material properties within each spatial zone and the exclusion of factors like vegetation effects, seismic loading, and progressive failure mechanisms. Future work should explore these complexities to enhance the predictive accuracy of slope stability models. Additionally, the current analysis assumes effective stress principles without explicitly separating suction effects in cohesion and friction angle, which could be addressed in future studies to provide a more comprehensive understanding of unsaturated soil behavior. Nevertheless, the findings contribute significantly to the understanding of rainfall-induced slope failures, offering a robust dataset for machine learning applications and informing climate-resilient slope design strategies.
Author Contributions
S.A.E.F.: conceptualization, methodology, software, validation, formal analysis, writing—original draft. M.H.E.N.: conceptualization, methodology, project administration, resources, supervision, writing—review and editing. All authors have read and agreed to the published version of the manuscript.
Funding
We would like to thank the Natural Sciences and Engineering Research Council—Canada, principal investigator: M. Hesham El Naggar, grant No. RGPIN-2020-04761, and the National Secretariat for Science, Technology and Innovation of Panama (SENACYT), grant number 270-2022-067.
Data Availability Statement
All data and materials are available on request from the corresponding author. The data are not publicly available due to ongoing research using a part of the data.
Conflicts of Interest
The authors declare no conflicts of interest.
References
- Sassa, K.; Canuti, P. Landslides Disaster Risk Reduction; Springer: Berlin/Heidelberg, Germany, 2009. [Google Scholar]
- Leroueil, S. Natural slopes and cuts: Movement and failure mechanisms. Géotechnique 2001, 51, 197–243. [Google Scholar] [CrossRef]
- Tang, Q.; Gratchev, I.; Ravindran, S. Effect of Rainfall Intensity on Landslide Initiation: Flume Tests and Numerical Analysis. Geotechnics 2023, 3, 104–115. [Google Scholar] [CrossRef]
- Froude, M.J.; Petley, D.N. Global fatal landslide occurrence from 2004 to 2016. Nat. Hazards Earth Syst. Sci. 2018, 18, 2161–2181. [Google Scholar] [CrossRef]
- Lin, S.; Zheng, H.; Han, C.; Han, B.; Li, W. Evaluation and prediction of slope stability using machine learning approaches. Front. Struct. Civ. Eng. 2021, 15, 821–833. [Google Scholar] [CrossRef]
- Xu, H.; He, X.; Sheng, D. Rainfall-Induced Landslides from Initialization to Post-Failure Flows: Stochastic Analysis with Machine Learning. Mathematics 2022, 10, 4426. [Google Scholar] [CrossRef]
- Lu, P.; Rosenbaum, M.S. Artificial Neural Networks and Grey Systems for the Prediction of Slope Stability. Nat. Hazards 2003, 30, 383–398. [Google Scholar] [CrossRef]
- Bai, G.; Hou, Y.; Wan, B.; An, N.; Yan, Y.; Tang, Z.; Yan, M.; Zhang, Y.; Sun, D. Performance Evaluation and Engineering Verification of Machine Learning Based Prediction Models for Slope Stability. Appl. Sci. 2022, 12, 7890. [Google Scholar] [CrossRef]
- Qi, C.; Tang, X. Slope stability prediction using integrated metaheuristic and machine learning approaches: A comparative study. Comput. Ind. Eng. 2018, 118, 112–122. [Google Scholar] [CrossRef]
- He, X.; Xu, H.; Sabetamal, H.; Sheng, D. Machine learning aided stochastic reliability analysis of spatially variable slopes. Comput. Geotech. 2020, 126, 103711. [Google Scholar] [CrossRef]
- Wang, Y.; Imai, K.; Miyashita, T.; Ariyoshi, K.; Takahashi, N.; Satake, K. Coastal tsunami prediction in Tohoku region, Japan, based on S-net observations using artificial neural network. Earth Planets Space 2023, 75, 154. [Google Scholar] [CrossRef]
- Chakraborty, R.; Dey, A. Probabilistic slope stability analysis: State-of-the-art review and future prospects. Innov. Infrastruct. Solut. 2022, 7, 177. [Google Scholar] [CrossRef]
- Chuaiwate, P.; Jaritngam, S.; Panedpojaman, P.; Konkong, N. Probabilistic Analysis of Slope against Uncertain Soil Parameters. Sustainability 2022, 14, 14530. [Google Scholar] [CrossRef]
- Sharma, R.K. Reliability Analysis of Slope Stability Using Monte Carlo Simulation and Comparison with Deterministic Analysis; Elsevier: Amsterdam, The Netherlands, 2000. [Google Scholar]
- Mahdiyar, A.; Hasanipanah, M.; Armaghani, D.J.; Gordan, B.; Abdullah, A.; Arab, H.; Majid, M.Z.A. A Monte Carlo technique in safety assessment of slope under seismic condition. Eng. Comput. 2017, 33, 807–817. [Google Scholar] [CrossRef]
- Wang, Y.; Cao, Z.; Au, S.-K. Practical reliability analysis of slope stability by advanced Monte Carlo simulations in a spreadsheet. Can. Geotech. J. 2011, 48, 162–172. [Google Scholar] [CrossRef]
- Alitabar, A.; Noorzad, R.; Qolinia, A. Evaluation of the Instability Risk of the Dam Slopes Simulated with Monte Carlo method (Case Study: Alborz Dam). Geotech. Geol. Eng. 2021, 39, 4237–4251. [Google Scholar] [CrossRef]
- Rahman, N.U.A. Investigation on Slope Stability Using Monte Carlo Simulation: A Case Study of Ulu Jelai Hydroelectric Project Slope Parameters & Design Concept. Mater. Today 2019, 19, 1216–1224. [Google Scholar] [CrossRef]
- Cho, S.E. Probabilistic Assessment of Slope Stability That Considers the Spatial Variability of Soil Properties. J. Geotech. Geoenvironmental Eng. 2010, 136, 975–984. [Google Scholar] [CrossRef]
- Zhang, W.; Gu, X.; Han, L.; Wu, J.; Xiao, Z.; Liu, M.; Wang, L. A short review of probabilistic slope stability analysis considering spatial variability of geomaterial parameters. Innov. Infrastruct. Solutions 2022, 7, 249. [Google Scholar] [CrossRef]
- Srivastava, A.; Babu, G.S.; Haldar, S. Influence of spatial variability of permeability property on steady state seepage flow and slope stability analysis. Eng. Geol. 2010, 110, 93–101. [Google Scholar] [CrossRef]
- Cho, S.E. Effects of spatial variability of soil properties on slope stability. Eng. Geol. 2007, 92, 97–109. [Google Scholar] [CrossRef]
- Montoya-Araque, E.A.; Montoya-Noguera, S. Sensitivity Analysis of a Physically Based Model to Assess Rainfall-Triggered Shallow Landslides. Geotech. Geol. Eng. 2023, 41, 2797–2814. [Google Scholar] [CrossRef]
- Chakraborty, A.; Goswami, D. Prediction of slope stability using multiple linear regression (MLR) and artificial neural network (ANN). Arab. J. Geosci. 2017, 10, 385. [Google Scholar] [CrossRef]
- Fukuhara, M.; Uchimura, T.; Wang, L.; Tao, S.; Tang, J. Study on the Prediction of Slope Failure and Early Warning Thresholds Based on Model Tests. Geotechnics 2023, 4, 1–17. [Google Scholar] [CrossRef]
- Espinosa, F.S.A.; El Naggar, M.H. Parametric Study of Rainfall-Induced Instability in Fine-Grained Sandy Soil. Geotechnics 2024, 4, 1159–1174. [Google Scholar] [CrossRef]
- Kavvadas, M.; Karlaftis, M.; Fortsakis, P.; Stylianidi, E. Probabilistic analysis in slope stability. In Proceedings of the 17th International Conference on Soil Mechanics and Geotechnical Engineering: The Academia and Practice of Geotechnical Engineering, Alexandria, Egypt, 5–9 October 2009; pp. 1650–1653. [Google Scholar] [CrossRef]
- Wu, X.Z. Development of fragility functions for slope instability analysis: Fragility functions for slope instability analysis. Landslides 2015, 12, 165–175. [Google Scholar] [CrossRef]
- Cho, S.E. Failure distribution analysis of shallow landslides under rainfall infiltration based on fragility curves. Landslides 2020, 17, 79–91. [Google Scholar] [CrossRef]
- Rahardjo, H.; Ong, T.H.; Rezaur, R.B.; Leong, E.C. Factors Controlling Instability of Homogeneous Soil Slopes under Rainfall. J. Geotech. Geoenviron. Eng. 2007, 133, 1532–1543. [Google Scholar] [CrossRef]
- Martinović, K.; Reale, C.; Gavin, K. Fragility curves for rainfall-induced shallow landslides on transport networks. Can. Geotech. J. 2018, 55, 852–861. [Google Scholar] [CrossRef]
- Hu, H.; Bao, Y.; Han, X.; Wang, W. Non-parametric fragility curves for probabilistic risk assessment of rainfall-triggered landslides. Comput. Geotech. 2024, 173, 106546. [Google Scholar] [CrossRef]
- He, Z.; Huang, Y.; Li, Y.; Li, X. Probabilistic fragility assessment of slopes considering uncertainty associated with temporal patterns of rainfall intensity. Comput. Geotech. 2024, 173, 106534. [Google Scholar] [CrossRef]
- Dou, H.-Q.; Han, T.-C.; Gong, X.-N.; Zhang, J. Probabilistic slope stability analysis considering the variability of hydraulic conductivity under rainfall infiltration-redistribution conditions. Eng. Geol. 2014, 183, 1–13. [Google Scholar] [CrossRef]
- Rahardjo, H.; Lim, T.; Chang, M.; Fredlund, D. Shear-strength characteristics of a residual soil. Can. Geotech. J. 1995, 32, 60–77. [Google Scholar] [CrossRef]
- Farouk, A.; Lamboj, L.; Kos, J. Influence of Matric Suction on the Shear Strength Behaviour of Unsaturated Sand. Acta Polytechnica 2004, 44. [Google Scholar] [CrossRef] [PubMed]
- Jigheh, H.S.; Rasulifard, A. Assessing the Potential Improvement of Fine-grained Clayey Soils by Plastic Wastes. Soils Rocks 2016, 39, 333–339. [Google Scholar] [CrossRef]
- Yamin, M.; Attom, M.F.; Atabay, S.; Vandanapu, R. The Effect of Compaction Effort on Shear Strength Parameters of Low/High Plasticity Clay Soils. Geotech. Eng. J. SEAGS AGSSEA 2021, 52, 1–8. [Google Scholar]
- KKayabali, K.; Yilmaz, N.P.; Balci, M.C.; Yılmaz, D. An Attempt to Predict the Effective Angle of Internal Friction for Remolded Clayey Soils Using the Vane Shear Test: Some Important Implications. Arab. J. Sci. Eng. 2024, 49, 5639–5651. [Google Scholar] [CrossRef]
- Lukić, D. Friction Angle of Soil and Rock. In Contemporary Achievements in Civil Engineering; Gradevinski Fakultet Subotica/Faculty of Civil Engineering Subotica: Subotica, Serbia, 2018; pp. 349–357. [Google Scholar] [CrossRef][Green Version]
- Yang, Z.; Xu, Z.; Qin, X.; Cai, G.; Ling, X.; Shi, W. Evaluation of correlation between plasticity indicator and residual friction angle of fine-grained soils based on the flow index. Bull. Eng. Geol. Environ. 2024, 83, 52. [Google Scholar] [CrossRef]
- Vanapalli, S.K.; Fredlund, D.G.; Pufahl, D.E.; Clifton, A.W. Model for the prediction of shear strength with respect to soil suction. Can. Geotech. J. 1996, 33, 379–392. [Google Scholar] [CrossRef]
- Razeghi, H.R.; Ensani, A. Clayey Sand Soil Interactions with Geogrids and Geotextiles Using Large-Scale Direct Shear Tests. Int. J. Geosynth. Ground Eng. 2023, 9, 24. [Google Scholar] [CrossRef]
- Fredlund, D.; Xing, A. Equations for the soil-water characteristic curve. Can. Geotech. J. 1994, 31, 521–532. [Google Scholar] [CrossRef]
- Leong, E.C.; Rahardjo, H. Review of soil-water characteristic curve equations. J. Geotech. Geoenviron. Eng. 1997, 123, 1106–1117. [Google Scholar] [CrossRef]
- Leong, E.C.; Rahardjo, H. Permeability functions for unsaturated soils. J. Geotech. Geoenviron. Eng. 1997, 123, 1118–1126. [Google Scholar] [CrossRef]
- GEO-SLOPE International Ltd., SLOPE/W for Stability Modeling: User’s Guide 2021, Seequent Limited, Calgary, Alberta, Canada: 8. Available online: https://www.geo-slope.com (accessed on 11 November 2024).
- Spencer, E. A method of analysis of the stability of embankments assuming parallel inter-slice forces. Geotechnique 1967, 17, 11–26. [Google Scholar] [CrossRef]
- Paswan, A.P.; Shrivastava, A. Modelling of rainfall-induced landslide: A threshold-based approach. Arab. J. Geosci. 2022, 15, 795. [Google Scholar] [CrossRef]
- Lee, K.; Suk, J.; Kim, H.; Jeong, S. Modeling of rainfall-induced landslides using a full-scale flume test. Landslides 2021, 18, 1153–1162. [Google Scholar] [CrossRef]
- Matziaris, V.; Marshall, A.M.; Heron, C.M.; Yu, H.S. Centrifuge model study of thresholds for rainfall-induced landslides in sandy slopes. In IOP Conference Series: Earth and Environmental Science; Institute of Physics Publishing: Bristol, UK, 2015. [Google Scholar] [CrossRef]
- Kim, J.; Kim, Y.; Jeong, S.; Hong, M. Rainfall-induced landslides by deficit field matric suction in unsaturated soil slopes. Environ. Earth Sci. 2017, 76, 808. [Google Scholar] [CrossRef]
- Liu, Y.; Tian, G.; Wang, S.; Satyanaga, A.; Zhai, Q. Parametric Analysis of Rainfall-Induced Loess Soil Slope Due to the Rainwater Infiltration. Urban. Sci. 2022, 6, 54. [Google Scholar] [CrossRef]
- Oh, S.; Lu, N. Slope stability analysis under unsaturated conditions: Case studies of rainfall-induced failure of cut slopes. Eng. Geol. 2015, 184, 96–103. [Google Scholar] [CrossRef]
- Rahardjo, H.; Lee, T.T.; Leong, E.C.; Rezaur, R.B. Response of a residual soil slope to rainfall. Can. Geotech. J. 2005, 42, 340–351. [Google Scholar] [CrossRef]
- Dhanai, P.; Singh, V.P.; Soni, P. Rainfall Triggered Slope Instability Analysis with Changing Climate. Indian. Geotech. J. 2022, 52, 477–492. [Google Scholar] [CrossRef]
- Yan, G.; Li, Z.; Torres, S.A.G.; Scheuermann, A.; Li, L. Transient Two-Phase Flow in Porous Media: A Literature Review and Engineering Application in Geotechnics. Geotechnics 2022, 2, 32–90. [Google Scholar] [CrossRef]
- Tohari, A.; Nishigaki, M.; Komatsu, M. Laboratory Rainfall-Induced Slope Failure with Moisture Content Measurement. J. Geotech. Geoenviron. Eng. 2007, 133, 575–587. [Google Scholar] [CrossRef]
- Wu, L.Z.; Huang, R.Q.; Xu, Q.; Zhang, L.M.; Li, H.L. Analysis of physical testing of rainfall-induced soil slope failures. Environ. Earth Sci. 2015, 73, 8519–8531. [Google Scholar] [CrossRef]
- Krisnanto, S.; Rahardjo, H. Characteristics of rainfall-induced slope instability in Cisokan Region, Indonesia. J. Eng. Technol. Sci. 2021, 53, 210504. [Google Scholar] [CrossRef]
- Yubonchit, S.; Chinkulkijniwat, A.; Horpibulsuk, S.; Jothityangkoon, C.; Arulrajah, A.; Suddeepong, A. Influence Factors Involving Rainfall-Induced Shallow Slope Failure: Numerical Study. Int. J. Geomech. 2017, 17, 04016158. [Google Scholar] [CrossRef]
- Wang, S.; Idinger, G.; Wu, W. Centrifuge modelling of rainfall-induced slope failure in variably saturated soil. Acta Geotech. 2021, 16, 2899–2916. [Google Scholar] [CrossRef]
- Askarinejad, A.; Akca, D.; Springman, S.M. Precursors of instability in a natural slope due to rainfall: A full-scale experiment. Landslides 2018, 15, 1745–1759. [Google Scholar] [CrossRef]
- Hung, W.-Y.; Tran, M.-C.; Yeh, F.-H.; Lu, C.-W.; Ge, L. Centrifuge modeling of failure behaviors of sandy slope caused by gravity, rainfall, and base shaking. Eng. Geol. 2020, 271, 105609. [Google Scholar] [CrossRef]
- Rahardjo, H.; Leong, E.C.; Deutscher, M.S.; Gasmo, J.M.; Tang, S.K. Rainfall-Induced Slope Failures. 2000. Available online: https://dr.ntu.edu.sg (accessed on 7 April 2025).
- Ling, H.; Ling, H.I.; Asce, M. Centrifuge Model Simulations of Rainfall-Induced Slope Instability. J. Geotech. Geoenviron. Eng. 2012, 138, 1151–1157. [Google Scholar] [CrossRef]
- Sorbino, G.; Nicotera, M.V. Unsaturated soil mechanics in rainfall-induced flow landslides. Eng. Geol. 2013, 165, 105–132. [Google Scholar] [CrossRef]
- Wu, L.; Zhou, Y.; Sun, P.; Shi, J.; Liu, G.; Bai, L. Laboratory characterization of rainfall-induced loess slope failure. Catena 2017, 150, 1–8. [Google Scholar] [CrossRef]
- Sagitaningrum, F.H.; Bahsan, E. Parametric study on the effect of rainfall pattern to slope stability. In MATEC Web of Conferences; EDP Sciences: Les Ulis, France, 2017. [Google Scholar] [CrossRef]
- Özçelik, F.V.; Selçuk, M.E. Parametric Analysis of Factors that Affects the Rainfall Induced Slope Stability. Turk. J. Geosci. 2022, 3, 49–57. [Google Scholar] [CrossRef]
- Mburu, J.W.; Li, A.-J.; Lin, H.-D.; Lu, C.-W. Investigations of Unsaturated Slopes Subjected to Rainfall Infiltration Using Numerical Approaches—A Parametric Study and Comparative Review. Sustainability 2022, 14, 14465. [Google Scholar] [CrossRef]
- World Meteorological Organization (WMO). Guide to Instruments and Methods of Observation Volume I—Measurement of Meteorological Variables, Vol. 1. WMO, 2023. Available online: https://library.wmo.int/idurl/4/68695 (accessed on 18 October 2024).
- Igwe, O.; Mode, W.; Nnebedum, O.; Okonkwo, I.; Oha, I. The analysis of rainfall-induced slope failures at Iva Valley area of Enugu State, Nigeria. Environ. Earth Sci. 2014, 71, 2465–2480. [Google Scholar] [CrossRef]
- Liao, W.; Ji, J. Time-dependent reliability analysis of rainfall-induced shallow landslides considering spatial variability of soil permeability. Comput. Geotech. 2021, 129, 103903. [Google Scholar] [CrossRef]
- Collins, B.D.; Asce, S.M.; Znidarcic, D.; Asce, M. Stability Analyses of Rainfall Induced Landslides. J. Geotech. Geoenviron. Eng. 2004, 130, 362–372. [Google Scholar] [CrossRef]
- Cai, F.; Ugai, K. Numerical Analysis of Rainfall Effects on Slope Stability. Int. J. Géoméch. 2004, 4, 69–78. [Google Scholar] [CrossRef]
- Zhang, L.L.; Zhang, J.; Zhang, L.M.; Tang, W.H. Stability analysis of rainfall induced slope failure: A review. Proc. Inst. Civ. Eng. Geotech. Eng. 2011, 164, 299–316. [Google Scholar] [CrossRef]
- Zhao, X.; Sun, Y.; Feng, Q. Analysis on the influence of heavy rainfall on slope stability. In IOP Conference Series: Earth and Environmental Science; Institute of Physics Publishing: Bristol, UK, 2018. [Google Scholar] [CrossRef]
- Caine, N. The Rainfall Intensity: Duration Control of Shallow Landslides and Debris Flows. Geogr. Ann. Ser. A Phys. Geogr. 1980, 62, 3–27. [Google Scholar]
- Ng, C.W.W.; Shi, Q. Influence of Rainfall Intensity and Duration on Slope Stability in Unsaturated Soils 1998. Available online: https://www.lyellcollection.org (accessed on 7 April 2025).
- Tsutsumi, D.; Fujita, M. Relative importance of slope material properties and timing of rainfall for the occurrence of landslides. Int. J. Eros. Control. Eng. 2008, 1, 79–89. [Google Scholar] [CrossRef][Green Version]
Disclaimer/Publisher’s Note: The statements, opinions and data contained in all publications are solely those of the individual author(s) and contributor(s) and not of MDPI and/or the editor(s). MDPI and/or the editor(s) disclaim responsibility for any injury to people or property resulting from any ideas, methods, instructions or products referred to in the content. |
© 2025 by the authors. Licensee MDPI, Basel, Switzerland. This article is an open access article distributed under the terms and conditions of the Creative Commons Attribution (CC BY) license (https://creativecommons.org/licenses/by/4.0/).