Investigating the Relationship Between Topographic Variables and Wildfire Burn Severity
Abstract
1. Introduction
2. Materials and Methods
2.1. Study Domain and Fire-Event Inventory
2.2. Topographic Stratification
3. Results
3.1. CBI Variation Across Elevation Belts
3.2. CBI Variation Across Slope Classes
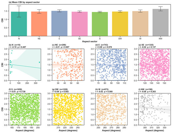
3.3. CBI Variation Across Aspect Sectors
3.4. Additive and Interaction Effects
4. Discussion
4.1. Comparison with Previous Studies
4.2. Methodological Considerations
4.3. Limitations
5. Conclusions
Author Contributions
Funding
Data Availability Statement
Acknowledgments
Conflicts of Interest
References
- Li, Z.; Angerer, J.P.; Wu, X.B. The Impacts of Wildfires of Different Burn Severities on Vegetation Structure across the Western United States Rangelands. Sci. Total Environ. 2022, 845, 157214. [Google Scholar] [CrossRef]
- Roshan, A.; Biswas, A. Fire-Induced Geochemical Changes in Soil: Implication for the Element Cycling. Sci. Total Environ. 2023, 868, 161714. [Google Scholar] [CrossRef]
- Moazeni, S.; Cerdà, A. The Impacts of Forest Fires on Watershed Hydrological Response. A Review. Trees For. People 2024, 18, 100707. [Google Scholar] [CrossRef]
- Meira-Neto, J.A.A.; Clemente, A.; Oliveira, G.; Nunes, A.; Correia, O. Post-Fire and Post-Quarry Rehabilitation Successions in Mediterranean-like Ecosystems: Implications for Ecological Restoration. Ecol. Eng. 2011, 37, 1132–1139. [Google Scholar] [CrossRef]
- Daum, K.L.; Hansen, W.D.; Gellman, J.; Plantinga, A.J.; Jones, C.; Trugman, A.T. Do Vegetation Fuel Reduction Treatments Alter Forest Fire Severity and Carbon Stability in California Forests? Earth’s Future 2024, 12, e2023EF003763. [Google Scholar] [CrossRef]
- Meigs, G.W.; Dunn, C.J.; Parks, S.A.; Krawchuk, M.A. Influence of Topography and Fuels on Fire Refugia Probability under Varying Fire Weather Conditions in Forests of the Pacific Northwest, USA. Can. J. For. Res. 2020, 50, 636–647. [Google Scholar] [CrossRef]
- Sultan, Y.E.D.; Pillai, K.R.A.; Sharma, A.; Gautam, S. Comprehensive Assessment of Fire Risk in Latakia Forests: Integrating Indices for Vegetation, Topography, Weather and Human Activities. Geosystems Geoenvironment 2025, 100419. [Google Scholar] [CrossRef]
- Zahura, F.T.; Bisht, G.; Li, Z.; McKnight, S.; Chen, X. Impact of Topography and Climate on Post-Fire Vegetation Recovery across Different Burn Severity and Land Cover Types through Random Forest. Ecol. Inform. 2024, 82, 102757. [Google Scholar] [CrossRef]
- Lee, H.-J.; Choi, Y.E.; Lee, S.-W. Complex Relationships of the Effects of Topographic Characteristics and Susceptible Tree Cover on Burn Severity. Sustainability 2018, 10, 295. [Google Scholar] [CrossRef]
- Yin, C.; Xing, M.; Yebra, M.; Liu, X. Relationships between Burn Severity and Environmental Drivers in the Temperate Coniferous Forest of Northern China. Remote Sens. 2021, 13, 5127. [Google Scholar] [CrossRef]
- Lindenmayer, D.; Taylor, C.; Blanchard, W. Empirical Analyses of the Factors Influencing Fire Severity in Southeastern Australia. Ecosphere 2021, 12, e03721. [Google Scholar] [CrossRef]
- Pereira, P.; Cerdà, A.; Lopez, A.J.; Zavala, L.M.; Mataix-Solera, J.; Arcenegui, V.; Misiune, I.; Keesstra, S.; Novara, A. Short-Term Vegetation Recovery after a Grassland Fire in Lithuania: The Effects of Fire Severity, Slope Position and Aspect. Land Degrad. Dev. 2016, 27, 1523–1534. [Google Scholar] [CrossRef]
- Estes, B.L.; Knapp, E.E.; Skinner, C.N.; Miller, J.D.; Preisler, H.K. Factors Influencing Fire Severity under Moderate Burning Conditions in the Klamath Mountains, Northern California, USA. Ecosphere 2017, 8, e01794. [Google Scholar] [CrossRef]
- Alizadeh, M.R.; Abatzoglou, J.T.; Adamowski, J.; Modaresi Rad, A.; AghaKouchak, A.; Pausata, F.S.R.; Sadegh, M. Elevation-Dependent Intensification of Fire Danger in the Western United States. Nat. Commun. 2023, 14, 1773. [Google Scholar] [CrossRef]
- Lee, S.-W.; Lee, M.-B.; Lee, Y.-G.; Won, M.-S.; Kim, J.-J.; Hong, S. Relationship between Landscape Structure and Burn Severity at the Landscape and Class Levels in Samchuck, South Korea. For. Ecol. Manag. 2009, 258, 1594–1604. [Google Scholar] [CrossRef]
- Oseghae, I.; Bhaganagar, K.; Mestas-Nuñez, A.M. The Dolan Fire of Central Coastal California: Burn Severity Estimates from Remote Sensing and Associations with Environmental Factors. Remote Sens. 2024, 16, 1693. [Google Scholar] [CrossRef]
- Parks, S.A.; Holsinger, L.M.; Panunto, M.H.; Jolly, W.M.; Dobrowski, S.Z.; Dillon, G.K. High-Severity Fire: Evaluating Its Key Drivers and Mapping Its Probability across Western US Forests. Environ. Res. Lett. 2018, 13, 044037. [Google Scholar] [CrossRef]
- Key, C.H.; Benson, N.C. Landscape Assessment (LA). In FIREMON: Fire Effects Monitoring and Inventory System; U.S. Department of Agriculture, Forest Service, Rocky Mountain Research Station: Fort Collins, CO, USA, 2006. [Google Scholar]
- Picotte, J.J.; Cansler, C.A.; Kolden, C.A.; Lutz, J.A.; Key, C.; Benson, N.C.; Robertson, K.M. Determination of Burn Severity Models Ranging from Regional to National Scales for the Conterminous United States. Remote Sens. Environ. 2021, 263, 112569. [Google Scholar] [CrossRef]
- Composite Burn Index (CBI) Data for the Conterminous US, Burned Areas Boundaries, Collected Between 1994 and 2018|USGS Science Data Catalog. Available online: https://data.usgs.gov/datacatalog/data/USGS:62e968e5d34e749ac04cc10a (accessed on 18 October 2024).
- Lecina-Diaz, J.; Alvarez, A.; Retana, J. Extreme Fire Severity Patterns in Topographic, Convective and Wind-Driven Historical Wildfires of Mediterranean Pine Forests. PLoS ONE 2014, 9, e85127. [Google Scholar] [CrossRef]
- Saltzgaber, C.; Kelson, J. Presence of Vegetation in Relation to Slope in Yosemite Valley, California. J. Emerg. Investig. 2021. [Google Scholar] [CrossRef] [PubMed]
- Holden, Z.A.; Morgan, P.; Evans, J.S. A Predictive Model of Burn Severity Based on 20-Year Satellite-Inferred Burn Severity Data in a Large Southwestern US Wilderness Area. For. Ecol. Manag. 2009, 258, 2399–2406. [Google Scholar] [CrossRef]
- Weatherspoon, C.P.; Skinner, C.N. An Assessment of Factors Associated with Damage to Tree Crowns from the 1987 Wildfires in Northern California. For. Sci. 1995, 41, 430–451. [Google Scholar] [CrossRef]






| Step | Operation | GEE Functions |
|---|---|---|
| 1. Load inputs | CBI plots were uploaded as a Shapefile and converted to an ee.FeatureCollection. The cleaned table contains the CBI location and values. DEM mosaic (USGS/SRTMGL1_003) was ingested as a single ee.Image. | ee.FeatureCollection, ee.Image, |
| 2. Re-Projection and masking | The DEM and CBI plots were re-projected to Albers Equal Area Conic (EPSG:4326) using reproject(), then clipped to the CONUS boundary to reduce computation. | ee.Image.reproject, ee.Image.clip |
| 3. Terrain derivatives | Slope and aspect rasters were generated with ee.Terrain.slope and ee.Terrain.aspect, followed by a 3 × 3 median filter to suppress speckle (focalMedian(1)). | ee.Terrain., ee.Image.focalMedian |
| 4. Buffer generation | For each plot centroid, a 90 m radius buffer (three DEM pixels) was created using geometry().buffer(90). The buffer geometry was stored in a new property geom_90 m to preserve the original point. | ee.Feature.geometry().buffer |
| 5. Zonal statistics extraction | The DEM, slope, and aspect images were stacked into a single multiband image. Mean values within each buffer were extracted via reduceRegions, specifying Reducer.mean() and scale = 30. Circular statistics for aspect were computed separately (sin/cos transformation inside map() before reduction). | ee.Image.addBands, ee.Image.reduceRegions, ee.Reducer.mean |
| 6. Attribute join and Cleaning | The resulting ee.FeatureCollection was merged back with the original plot attributes using join.saveAll() to ensure no records were lost. Features with any null terrain value (e.g., residual voids, water pixels) were filtered out (filter(ee.Filter.notNull([…]))). | ee.Join.saveAll, ee.Filter.notNull |
| 7. Export | The enriched table—now containing CBI and three terrain attributes—was exported as both a CSV (for statistical analyses) using Export.table.toDrive. | Export.table. |
| Predictor | Class Label | Numeric Range | Count | Conceptual Rationale |
|---|---|---|---|---|
| Elevation | E1 | ≤500 m | 1037 (16.9%) | Coastal/valley lowlands—short fuels, milder fire climate |
| E2 | 500–1000 m | 626 (10.2%) | Lower montane belt, frequent WUI fires | |
| E3 | 1000–1500 m | 1122 (18.2%) | Mid-montane—dense mixed-conifer fuels | |
| E4 | 1500–2000 m | 625 (10.2%) | Upper montane—known severity “hot zone” | |
| E5 | 2000–2500 m | 1767 (28.7%) | Sub-alpine transition—patchy fuels | |
| E6 | >2500 m | 973 (15.8%) | Alpine and krummholz—sparse fuels, short seasons | |
| Slope | S1 | ≤5° | 2021 (32.9%) | Valley floors and benches—poor flame tilt |
| S2 | 5–10° | 1719 (28%) | Gentle foot-slopes | |
| S3 | 10–15° | 1029 (16.7%) | Lower midslopes—onset of convective alignment | |
| S4 | 15–20° | 685 (11.0%) | Typical midslopes—enhanced upslope spread | |
| S5 | 20–25° | 437 (7.1%) | Upper midslopes—pre-heating dominates | |
| S6 | >25° | 259 (4.2%) | Cliffs and ridges—fast run-ups, fuel discontinuity | |
| Aspect | A1 | E [67.5°, 112.5°) | 743 (12.1%) | Captures solar exposure and lee–wind effects |
| A2 | SW [202.5°, 247.5°) | 1228 (20%) | ||
| A3 | S [157.5°, 202.5°) | 1659 (27.0%) | ||
| A4 | NW [292.5°, 337.5°) | 198 (3.2%) | ||
| A5 | W [247.5°, 292.5°) | 673 (10.9%) | ||
| A6 | SE [112.5°, 157.5°) | 1335 (21.7%) | ||
| A7 | NE [22.5°, 67.5°) | 298 (4.8%) | ||
| A8 | N [337.5°, 22.5°) | 16 (0.3%) |
| Group1 | Group2 | Meandiff | p-Adj | Lower | Upper | Reject |
|---|---|---|---|---|---|---|
| 1000–1500 | 1500–2000 | 0.2456 | 0.0000 | 0.1218 | 0.3693 | True |
| 1000–1500 | 2000–2500 | −0.1424 | 0.0003 | −0.2370 | −0.0478 | True |
| 1000–1500 | <500 | −0.1754 | 0.0000 | −0.2821 | −0.0686 | True |
| 1500–2000 | 2000–2500 | −0.3879 | 0.0000 | −0.5033 | −0.2726 | True |
| 1500–2000 | 500–1000 | −0.3527 | 0.0000 | −0.4929 | −0.2125 | True |
| 1500–2000 | <500 | −0.4209 | 0.0000 | −0.5464 | −0.2954 | True |
| 1500–2000 | >2500 | −0.2331 | 0.0000 | −0.3602 | −0.1060 | True |
| 2000–2500 | >2500 | 0.1548 | 0.0001 | 0.0559 | 0.2538 | True |
| <500 | >2500 | 0.1878 | 0.0000 | 0.0772 | 0.2984 | True |
| Group1 | Group2 | Meandiff | p-Adj | Lower | Upper | Reject |
|---|---|---|---|---|---|---|
| 10–15 | 20–25 | 0.2941 | 0.0000 | 0.1524 | 0.4358 | True |
| 10–15 | <5 | −0.0966 | 0.0436 | −0.1917 | −0.0016 | True |
| 10–15 | >25 | 0.2626 | 0.0002 | 0.0901 | 0.4351 | True |
| 15–20 | 20–25 | 0.1771 | 0.0115 | 0.0252 | 0.3290 | True |
| 15–20 | 5–10 | −0.1417 | 0.0043 | −0.2538 | −0.0296 | True |
| 15–20 | <5 | −0.2137 | 0.0000 | −0.3234 | −0.1040 | True |
| 20–25 | 5–10 | −0.3188 | 0.0000 | −0.4517 | −0.1859 | True |
| 20–25 | <5 | −0.3908 | 0.0000 | −0.5217 | −0.2599 | True |
| 5–10 | >25 | 0.2873 | 0.0000 | 0.1219 | 0.4527 | True |
| <5 | >25 | 0.3592 | 0.0000 | 0.1955 | 0.5230 | True |
Disclaimer/Publisher’s Note: The statements, opinions and data contained in all publications are solely those of the individual author(s) and contributor(s) and not of MDPI and/or the editor(s). MDPI and/or the editor(s) disclaim responsibility for any injury to people or property resulting from any ideas, methods, instructions or products referred to in the content. |
© 2025 by the authors. Licensee MDPI, Basel, Switzerland. This article is an open access article distributed under the terms and conditions of the Creative Commons Attribution (CC BY) license (https://creativecommons.org/licenses/by/4.0/).
Share and Cite
Van, L.N.; Lee, G. Investigating the Relationship Between Topographic Variables and Wildfire Burn Severity. Geographies 2025, 5, 47. https://doi.org/10.3390/geographies5030047
Van LN, Lee G. Investigating the Relationship Between Topographic Variables and Wildfire Burn Severity. Geographies. 2025; 5(3):47. https://doi.org/10.3390/geographies5030047
Chicago/Turabian StyleVan, Linh Nguyen, and Giha Lee. 2025. "Investigating the Relationship Between Topographic Variables and Wildfire Burn Severity" Geographies 5, no. 3: 47. https://doi.org/10.3390/geographies5030047
APA StyleVan, L. N., & Lee, G. (2025). Investigating the Relationship Between Topographic Variables and Wildfire Burn Severity. Geographies, 5(3), 47. https://doi.org/10.3390/geographies5030047
