Influence of Nutrient Medium Composition on the Redistribution of Valuable Metabolites in the Freshwater Green Alga Tetradesmus obliquus (Chlorophyta) Under Photoautotrophic Growth Conditions
Abstract
1. Introduction
2. Materials and Methods
2.1. Strain and Its Maintainence
2.2. Cultivation in the Photobioreactor
2.3. Assessment of Biomass and Its Composition
2.4. Analytical Methods
2.5. Statistical Analysis
3. Results
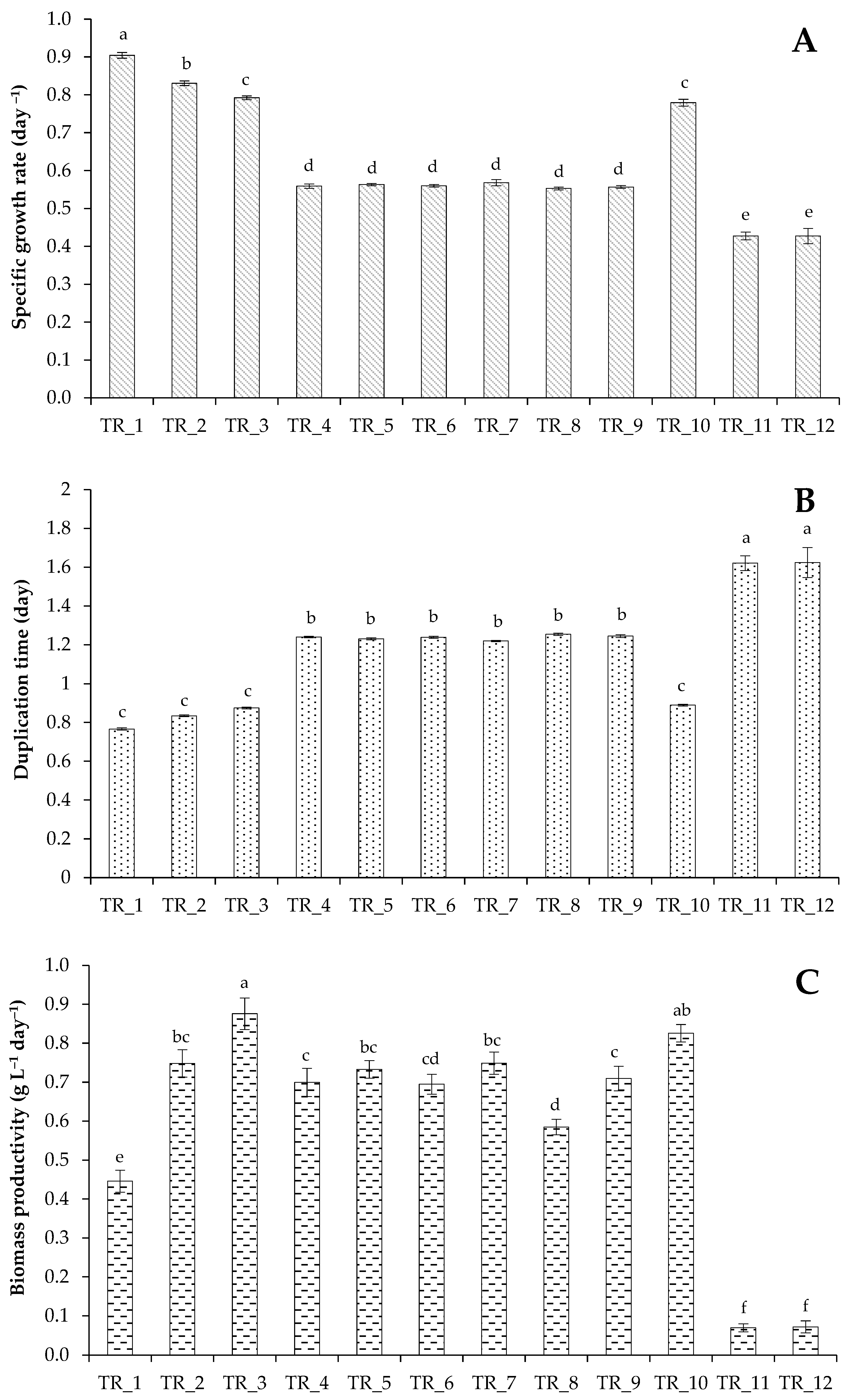
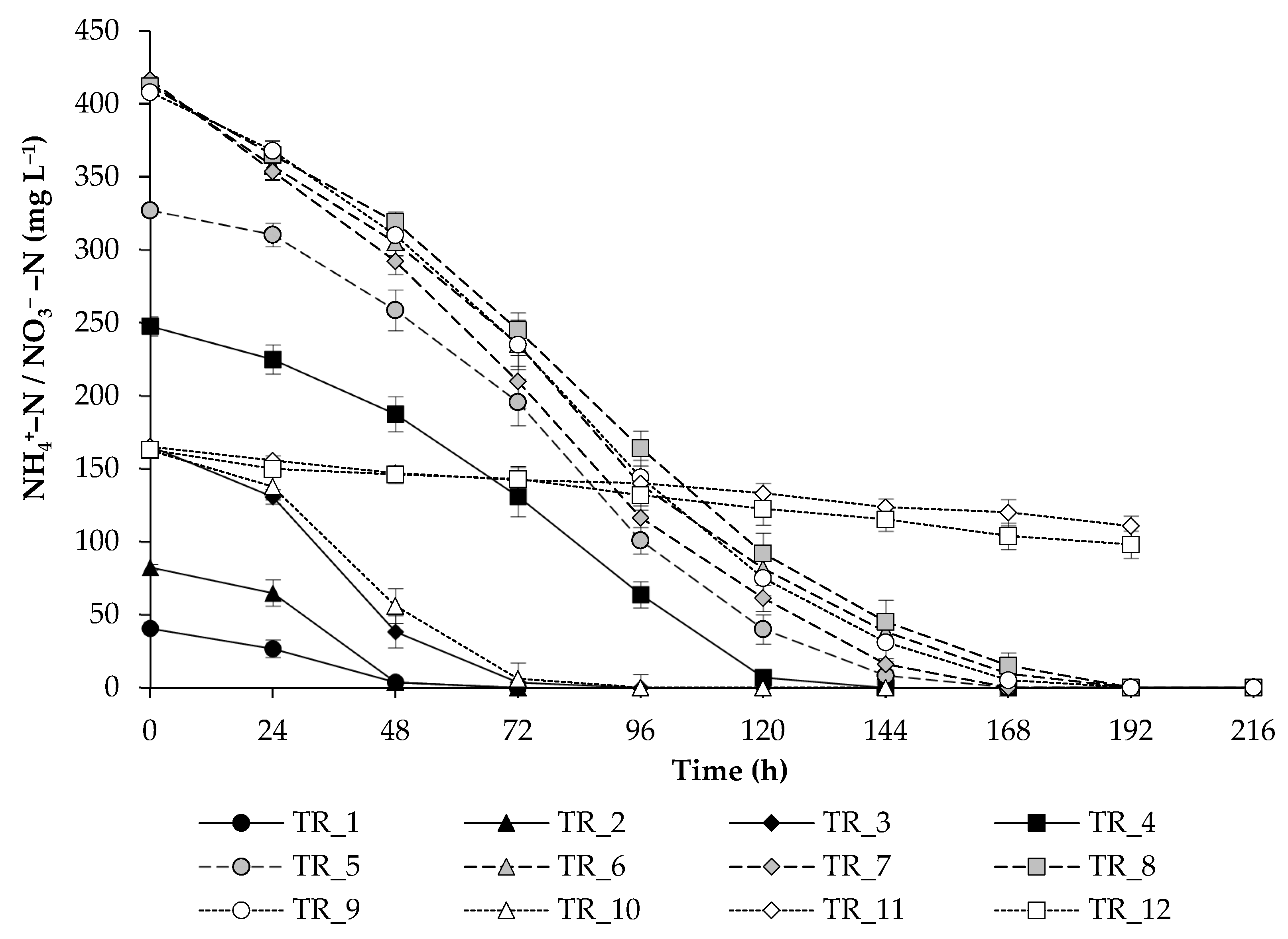
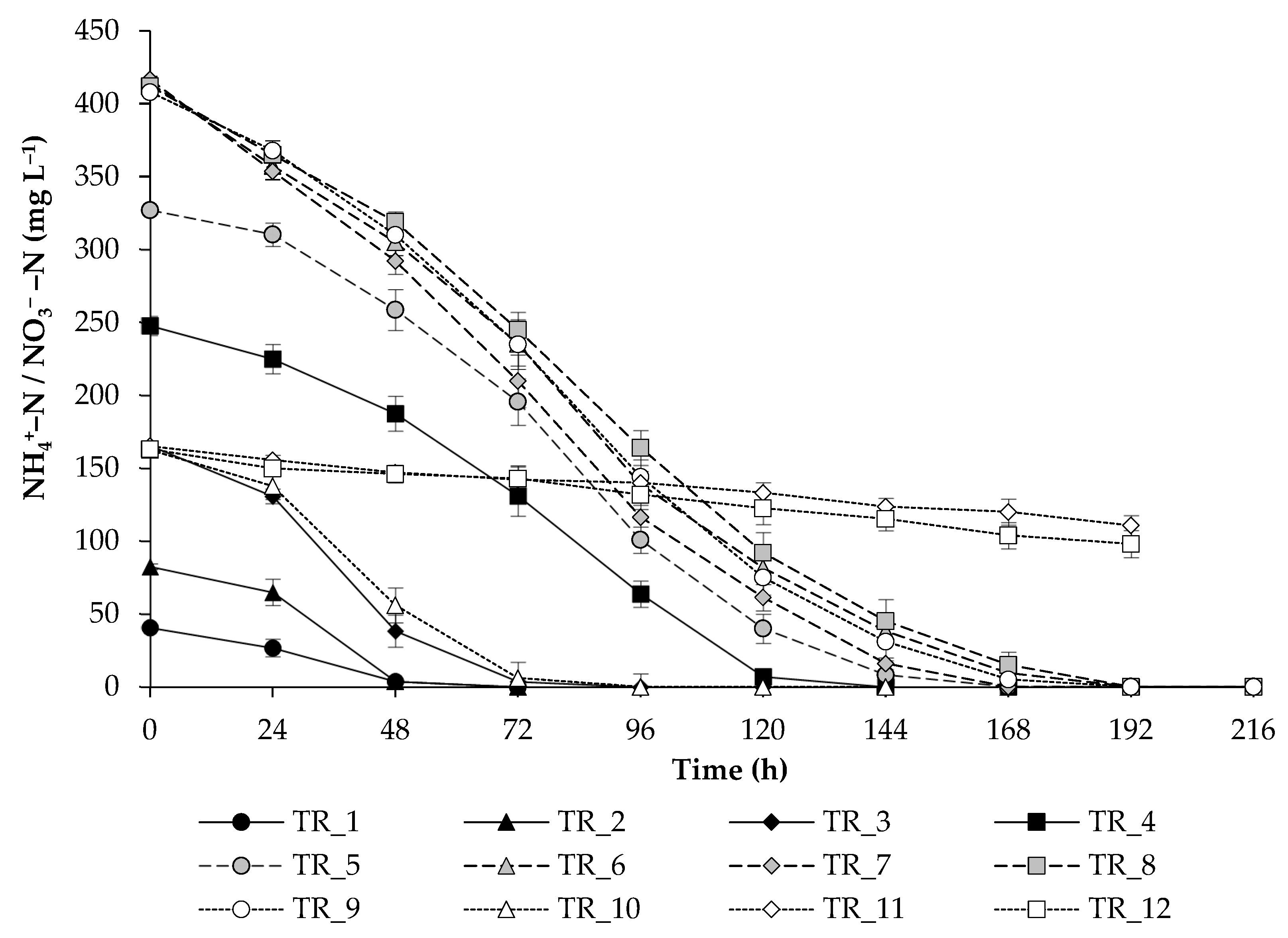
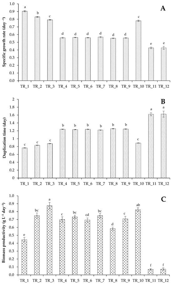
3.1. Growth, Productivity, and Nutrient Uptake
3.2. Effect of Nutrient Loading on the Biochemical Composition of T. obliquus Cells
4. Discussion
5. Conclusions
Author Contributions
Funding
Institutional Review Board Statement
Informed Consent Statement
Data Availability Statement
Conflicts of Interest
References
- Yaacob, N.S.; Abdullah, H.; Ahmad, M.F.; Maniyam, M.N.; Sjahrir, F. Microalgae biotechnology: Emerging biomedical applications. In Algal Biotechnology; Elsevier: Amsterdam, The Netherlands, 2022; pp. 335–346. [Google Scholar]
- Khan, M.I.; Shin, J.H.; Kim, J.D. The promising future of microalgae: Current status, challenges, and optimization of a sustainable and renewable industry for biofuels, feed, and other products. Microb. Cell Fact. 2018, 17, 36. [Google Scholar] [CrossRef]
- Olguín, E.J.; Sánchez-Galván, G.; Arias-Olguín, I.I.; Melo, F.J.; González-Portela, R.E.; Cruz, L.; De Philippis, R.; Adessi, A. Microalgae-based biorefineries: Challenges and future trends to produce carbohydrate enriched biomass, high-added value products and bioactive compounds. Biology 2022, 11, 1146. [Google Scholar] [CrossRef]
- Vildanova, G.I.; Allaguvatova, R.Z.; Kunsbaeva, D.F.; Sukhanova, N.V.; Gaysina, L.A. Application of Chlorella vulgaris Beijerinck as a biostimulant for growing cucumber seedlings in hydroponics. BioTech 2023, 12, 42. [Google Scholar] [CrossRef]
- Yan, N.; Fan, C.; Chen, Y.; Hu, Z. The potential for microalgae as bioreactors to produce pharmaceuticals. Int. J. Mol. Sci. 2016, 17, 962. [Google Scholar] [CrossRef]
- Khavari, F.; Saidijam, M.; Taheri, M.; Nouri, F. Microalgae: Therapeutic potentials and applications. Mol. Biol. Rep. 2021, 48, 4757–4765. [Google Scholar] [CrossRef]
- O’Neill, E.A.; Rowan, N.J. Microalgae as a natural ecological bioindicator for the simple real-time monitoring of aquaculture wastewater quality including provision for assessing impact of extremes in climate variance—A comparative case study from the Republic of Ireland. Sci. Total Environ. 2022, 802, 149800. [Google Scholar] [CrossRef]
- Salazar, J.; Santana-Sánchez, A.; Näkkilä, J.; Sirin, S.; Allahverdiyeva, Y. Complete N and P removal from hydroponic greenhouse wastewater by Tetradesmus obliquus: A strategy for algal bioremediation and cultivation in Nordic countries. Algal Res. 2023, 70, 102988. [Google Scholar] [CrossRef]
- Ziganshina, E.E.; Bulynina, S.S.; Ziganshin, A.M. Semi-continuous cultivation of indigenous Chlorella sorokiniana for biomass and pigment production. E3S Web Conf. 2023, 431, 01021. [Google Scholar] [CrossRef]
- Shareefdeen, Z.; Elkamel, A.; Babar, Z.B. Recent developments on the performance of algal bioreactors for CO2 removal: Focusing on the light intensity and photoperiods. BioTech 2023, 12, 10. [Google Scholar] [CrossRef] [PubMed]
- Elisabeth, B.; Rayen, F.; Behnam, T. Microalgae culture quality indicators: A review. Crit. Rev. Biotechnol. 2021, 41, 457–473. [Google Scholar] [CrossRef] [PubMed]
- Guieysse, B.; Plouviez, M. Microalgae cultivation: Closing the yield gap from laboratory to field scale. Front. Bioeng. Biotechnol. 2024, 12, 1359755. [Google Scholar] [CrossRef]
- Yaakob, M.A.; Mohamed, R.M.S.R.; Al-Gheethi, A.; Gokare, R.A.; Ambati, R.R. Influence of nitrogen and phosphorus on microalgal growth, biomass, lipid, and fatty acid production: An overview. Cells 2021, 10, 393. [Google Scholar] [CrossRef]
- Huang, H.; Lang, Y.; Wang, S.; Zhou, M. Microalgae-based drug delivery systems in biomedical applications. Eng. Regen. 2024, 5, 361–374. [Google Scholar] [CrossRef]
- Kumar, N.; Shukla, P. Microalgal-based bioremediation of emerging contaminants: Mechanisms and challenges. Environ. Pollut. 2023, 337, 122591. [Google Scholar] [CrossRef]
- Bulynina, S.S.; Ziganshina, E.E.; Ziganshin, A.M. Growth efficiency of Chlorella sorokiniana in synthetic media and unsterilized domestic wastewater. BioTech 2023, 12, 53. [Google Scholar] [CrossRef] [PubMed]
- Araújo, R.; Calderón, V.F.; López, J.S.; Azevedo, I.C.; Bruhn, A.; Fluch, S. Current status of the algae production industry in Europe: An emerging sector of the blue bioeconomy. Front. Mar. Sci. 2021, 7, 626389. [Google Scholar] [CrossRef]
- Barouh, N.; Wind, J.; Chuat, V.; Gagnaire, V.; Valence, F.; Bourlieu-Lacanal, C.; Subileau, M. Variations in Chlorella lipid content in commercial and in-lab produced biomass. OCL 2024, 31, 9. [Google Scholar] [CrossRef]
- An, Y.; Kim, T.; Byeon, H.; Rayamajhi, V.; Lee, J.; Jung, S.; Shin, H. Improved production of astaxanthin from Haematococcus pluvialis using a hybrid open–closed cultivation system. Appl. Sci. 2024, 14, 1104. [Google Scholar] [CrossRef]
- Gifuni, I.; Pollio, A.; Safi, C.; Marzocchella, A.; Olivieri, G. Current bottlenecks and challenges of the microalgal biorefinery. Trends Biotechnol. 2019, 37, 242–252. [Google Scholar] [CrossRef]
- Novoveská, L.; Nielsen, S.L.; Eroldoğan, O.T.; Haznedaroglu, B.Z.; Rinkevich, B.; Fazi, S.; Robbens, J.; Vasquez, M.; Einarsson, H. Overview and challenges of large-scale cultivation of photosynthetic microalgae and cyanobacteria. Mar. Drugs 2023, 21, 445. [Google Scholar] [CrossRef] [PubMed]
- Udayan, A.; Pandey, A.K.; Sirohi, R.; Sreekumar, N.; Sang, B.I.; Sim, S.J.; Kim, S.H.; Pandey, A. Production of microalgae with high lipid content and their potential as sources of nutraceuticals. Phytochem. Rev. 2023, 22, 833–860. [Google Scholar] [CrossRef]
- Villaró-Cos, S.; Franco, M.C.; García-Vaquero, M.; Morán, L.; Alarcón, F.J.; Lafarga, T. Composition of microalgae produced using different types of water and nutrient sources. Algal Res. 2024, 78, 103394. [Google Scholar] [CrossRef]
- Olsen, M.F.L.; Pedersen, J.S.; Thomsen, S.T.; Martens, H.J.; Petersen, A.; Jensen, P.E. Outdoor cultivation of a novel isolate of the microalgae Scenedesmus sp. and the evaluation of its potential as a novel protein crop. Physiol. Plant 2021, 173, 483–494. [Google Scholar] [CrossRef] [PubMed]
- Oliveira, C.Y.B.; Oliveira, C.D.L.; Prasad, R.; Ong, H.C.; Araujo, E.S.; Shabnam, N.; Gálvez, A.O. A multidisciplinary review of Tetradesmus obliquus: A microalga suitable for large-scale biomass production and emerging environmental applications. Rev. Aquac. 2021, 13, 1594–1618. [Google Scholar] [CrossRef]
- Bagchi, S.K.; Patnaik, R.; Rao, P.S.; Sonkar, S.; Koley, S.; Mallick, N. Establishment of an efficient tray-drying process for qualitative biodiesel production from a locally isolated microalga Tetradesmus obliquus cultivated in polyhouse raceway ponds. Algal Res. 2022, 64, 102674. [Google Scholar] [CrossRef]
- Dias, F.G.; Vargas, J.V.C.; Martins, L.S.; Rosa, M.P.; Balmant, W.; Mariano, A.B.; Parise, J.A.R.; Ordonez, J.C.; Kava, V.M. Modeling, simulation, and optimization of hydrogen production from microalgae in compact photobioreactors. Algal Res. 2023, 71, 103065. [Google Scholar] [CrossRef]
- Torbati, S.; Yekan Motlagh, P.; Khataee, A. Toxicity of ZnFe-SO4 layered double hydroxide in Tetradesmus obliquus and evaluation of some physiological responses of the microalgae for stress management. Sci. Rep. 2024, 14, 975. [Google Scholar] [CrossRef]
- Gao, B.; Wang, F.; Huang, L.; Liu, H.; Zhong, Y.; Zhang, C. Biomass, lipid accumulation kinetics, and the transcriptome of heterotrophic oleaginous microalga Tetradesmus bernardii under different carbon and nitrogen sources. Biotechnol. Biofuels 2021, 14, 4. [Google Scholar] [CrossRef]
- de Lira, S.G.; Severo, I.A.; Ferraz, F.A.; Costa, I.G.; Guimarães, M.M.; Zattoni, I.F.; Bianchini, L.F.; Vargas, J.V.C.; Taher, D.M.; Mariano, A.B. Multiparametric evaluation of Tetradesmus obliquus biomass: An integrated approach including antioxidant, nutritional, and energy properties. Microorganisms 2025, 13, 1583. [Google Scholar] [CrossRef]
- Silva, M.E.T.; Correa, K.P.; Martins, M.A.; Matta, S.L.P.; Martino, H.S.D.; Coimbra, J.S.R. Food safety, hypolipidemic and hypoglycemic activities, and in vivo protein quality of microalga Scenedesmus obliquus in Wistar rats. J. Funct. Foods 2020, 65, 103711. [Google Scholar] [CrossRef]
- Ma, S.; Yu, Y.; Cui, H.; Li, J.; Feng, Y. Utilization of domestic wastewater as a water source of Tetradesmus obliquus PF3 for the biological removal of nitric oxide. Environ. Pollut. 2020, 262, 114243. [Google Scholar] [CrossRef] [PubMed]
- Cesário, C.C.; Soares, J.; Cossolin, J.F.S.; Almeida, A.V.M.; Sierra, J.J.B.; de Oliveira, M.L. Biochemical and morphological characterization of freshwater microalga Tetradesmus obliquus (Chlorophyta: Chlorophyceae). Protoplasma 2022, 259, 937–948. [Google Scholar] [CrossRef] [PubMed]
- Breuer, G.; Lamers, P.P.; Martens, D.E.; Draaisma, R.B.; Wijffels, R.H. Effect of light intensity, pH, and temperature on triacylglycerol (TAG) accumulation induced by nitrogen starvation in Scenedesmus obliquus. Bioresour. Technol. 2013, 143, 1–9. [Google Scholar] [CrossRef]
- León-Saiki, G.M.; Carreres, B.M.; Remmers, I.M.; Wijffels, R.H.; Martins dos Santos, V.A.P.; van der Veen, D.; Schaap, P.J.; Suarez-Diez, M.; Martens, D.E. Evaluation of diurnal responses of Tetradesmus obliquus under nitrogen limitation. Algal Res. 2020, 49, 101937. [Google Scholar] [CrossRef]
- Nichols, H.W.; Bold, H.C. Trichosarcina polymorpha Gen. et Sp. Nov. J. Phycol. 1965, 1, 34–38. [Google Scholar] [CrossRef]
- Ziganshina, E.E.; Bulynina, S.S.; Ziganshin, A.M. Comparison of the photoautotrophic growth regimens of Chlorella sorokiniana in a photobioreactor for enhanced biomass productivity. Biology 2020, 9, 169. [Google Scholar] [CrossRef]
- Vieira, H.H.; Bagatini, I.L.; Guinart, C.M.; Vieira, A.A.H. tufA gene as molecular marker for freshwater Chlorophyceae. Algae 2016, 31, 155–165. [Google Scholar] [CrossRef]
- Ziganshina, E.E.; Bulynina, S.S.; Yureva, K.A.; Ziganshin, A.M. Optimization of photoautotrophic growth regimens of Scenedesmaceae alga: The influence of light conditions and carbon dioxide concentrations. Appl. Sci. 2023, 13, 12753. [Google Scholar] [CrossRef]
- Ziganshina, E.E.; Bulynina, S.S.; Yureva, K.A.; Ziganshin, A.M. Growth parameters of various green microalgae species in effluent from biogas reactors: The importance of effluent concentration. Plants 2022, 11, 3583. [Google Scholar] [CrossRef] [PubMed]
- Salbitani, G.; Carfagna, S. Ammonium utilization in microalgae: A sustainable method for wastewater treatment. Sustainability 2021, 13, 956. [Google Scholar] [CrossRef]
- Griffiths, M.J.; Garcin, C.; van Hille, R.P.; Harrison, S.T. Interference by pigment in the estimation of microalgal biomass concentration by optical density. J. Microbiol. Methods 2011, 85, 119–123. [Google Scholar] [CrossRef] [PubMed]
- Molina-Miras, A.; Morales-Amador, A.; de Vera, C.R.; López-Rosales, L.; Sánchez-Mirón, A.; Souto, M.L.; Fernández, J.J.; Norte, M.; García-Camacho, F.; Molina-Grima, E. A pilot-scale bioprocess to produce amphidinols from the marine microalga Amphidinium carterae: Isolation of a novel analogue. Algal Res. 2018, 31, 87–98. [Google Scholar] [CrossRef]
- Nayak, M.; Karemore, A.; Sen, R. Performance evaluation of microalgae for concomitant wastewater bioremediation, CO2 biofixation and lipid biosynthesis for biodiesel application. Algal Res. 2016, 16, 216–223. [Google Scholar] [CrossRef]
- Chai, S.; Shi, J.; Huang, T.; Guo, Y.; Wei, J.; Guo, M.; Li, L.; Dou, S.; Liu, L.; Liu, G. Characterization of Chlorella sorokiniana growth properties in monosaccharide-supplemented batch culture. PLoS ONE 2018, 17, e0199873. [Google Scholar] [CrossRef] [PubMed]
- Wellburn, A.R. The spectral determination of chlorophylls a and b, as well as total carotenoids, using various solvents with spectrophotometers of different resolution. J. Plant Physiol. 1994, 144, 307–313. [Google Scholar] [CrossRef]
- Ziganshina, E.E.; Sagitov, I.I.; Akhmetova, R.F.; Saleeva, G.T.; Kiassov, A.P.; Gogoleva, N.E.; Shagimardanova, E.I.; Ziganshin, A.M. Comparison of the microbiota and inorganic anion content in the saliva of patients with gastroesophageal reflux disease and gastroesophageal reflux disease-free individuals. BioMed Res. Intern. 2020, 2020, 2681791. [Google Scholar] [CrossRef]
- Markou, G.; Vandamme, D.; Muylaert, K. Microalgal and cyanobacterial cultivation: The supply of nutrients. Water Res. 2014, 65, 186–202. [Google Scholar] [CrossRef]
- Zachleder, V.; Brányiková, I. Starch overproduction by means of algae. In Algal Biorefineries; Bajpai, R., Prokop, A., Zappi, M., Eds.; Springer: Dordrecht, The Netherlands, 2014; Volume 1, pp. 217–240. [Google Scholar]
- Colusse, G.A.; Mendes, C.R.B.; Duarte, M.E.R.; Carvalho, J.C.; Noseda, M.D. Effects of different culture media on physiological features and laboratory scale production cost of Dunaliella salina. Biotechnol. Rep. 2020, 27, 32775232. [Google Scholar] [CrossRef]
- Fernandes, T.; Cordeiro, N. Microalgae as sustainable biofactories to produce high-value lipids: Biodiversity, exploitation, and biotechnological applications. Mar. Drugs 2021, 19, 573. [Google Scholar] [CrossRef]
- Maltsev, Y.; Kulikovskiy, M.; Maltseva, S. Nitrogen and phosphorus stress as a tool to induce lipid production in microalgae. Microb. Cell Fact. 2023, 22, 239. [Google Scholar] [CrossRef]
- Collos, Y.; Harrison, P.J. Acclimation and toxicity of high ammonium concentrations to unicellular algae. Mar. Pollut. Bull. 2014, 80, 8–23. [Google Scholar] [CrossRef]
- Ho, S.H.; Chan, M.C.; Liu, C.C.; Chen, C.Y.; Lee, W.L.; Lee, D.J.; Chang, J.S. Enhancing lutein productivity of an indigenous microalga Scenedesmus obliquus FSP-3 using light-related strategies. Bioresour. Technol. 2014, 152, 275–282. [Google Scholar] [CrossRef]
- Akgül, R. Growth performance and biochemical composition of Tetradesmus obliquus (Turpin) M.J. Wynne in media with different nitrogen concentrations. Ciência Rural. 2024, 54, 20230269. [Google Scholar]
- Umetani, I.; Janka, E.; Sposób, M.; Hulatt, C.J.; Kleiven, S.; Bakke, R. Bicarbonate for microalgae cultivation: A case study in a chlorophyte, Tetradesmus wisconsinensis isolated from a Norwegian lake. J. Appl. Phycol. 2021, 33, 1341–1352. [Google Scholar] [CrossRef]
- Kamyab, H.; Lee, C.T.; Din, M.F.M.; Ponraj, M.; Mohamad, S.E.; Sohrabi, M. Effects of nitrogen source on enhancing growth conditions of green algae to produce higher lipid. Desalin. Water Treat. 2014, 52, 3579–3584. [Google Scholar] [CrossRef]
- Nagappan, S.; Devendran, S.; Tsai, P.C.; Jayaraman, H.; Alagarsamy, V.; Pugazhendhi, A.; Ponnusamy, V.K. Metabolomics integrated with transcriptomics and proteomics: Evaluation of systems reaction to nitrogen deficiency stress in microalgae. Process Biochem. 2020, 91, 1–14. [Google Scholar] [CrossRef]
- Fernández, E.; Llamas, Á.; Galván, A. Nitrogen assimilation and its regulation. In The Chlamydomonas Sourcebook, 2nd ed.; Harris, E.H., Stern, D.B., Witman, G.B., Eds.; Academic Press: London, UK, 2009; pp. 69–113. [Google Scholar]
- Aguda, R.; Stelly, C.; Fonseca, L.; LeBoeuf, S.; Massiha, S.; Chistoserdov, A.E.; Holmes, W.E.; Hernandez, R.; Zappi, M.E.; Revellame, E.D. Effect of macronutrient levels on Chlorella vulgaris cultivation for long duration spaceflights and space settlements. Acta Astronaut 2023, 206, 206–217. [Google Scholar] [CrossRef]
- Latagan, M.J.D.; Nagarajan, D.; Huang, W.M.; de Luna, M.D.G.; Chen, J.H.; Rollon, A.P.; Ng, I.S.; Lee, D.J.; Chang, J.S. Bicarbonate-based microalgal cultivation technologies: Mechanisms, critical strategies, and future perspectives. Chem. Eng. J. 2024, 502, 157998. [Google Scholar] [CrossRef]
- Nayak, M.; Rath, S.S.; Manikkannan, T.; Panda, P.; Mishra, B.K.; Mohanty, R.C. Maximizing biomass productivity and CO2 biofixation of microalga, Scenedesmus sp. by using sodium hydroxide. J. Microbiol. Biotechnol. 2013, 23, 1260–1268. [Google Scholar] [CrossRef]
- Song, C.; Liu, Q.; Qi, Y.; Chen, G.; Song, Y.; Kansha, Y.; Kitamura, Y. Absorption-microalgae hybrid CO2 capture and biotransformation strategy—A review. Int. J. Greenh. Gas Control 2019, 88, 109–117. [Google Scholar] [CrossRef]
- Moazami-Goudarzi, M.; Colman, B. Changes in carbon uptake mechanisms in two green marine algae by reduced seawater pH. J. Exp. Mar. Biol. Ecol. 2012, 41, 94–99. [Google Scholar] [CrossRef]
- Kim, G.Y.; Roh, K.; Han, J.I. The use of bicarbonate for microalgae cultivation and its carbon footprint analysis. Green Chem. 2019, 21, 5053. [Google Scholar] [CrossRef]
- Li, J.; Li, C.; Lan, C.Q.; Liao, D. Effects of sodium bicarbonate on cell growth, lipid accumulation, and morphology of Chlorella vulgaris. Microb. Cell Fact. 2018, 17, 111. [Google Scholar] [CrossRef]
- Singh, R.P.; Yadav, P.; Kumar, A.; Hashem, A.; Al-Arjani, A.F.; Abd Allah, E.F.; Rodríguez Dorantes, A.; Gupta, R.K. Physiological and biochemical responses of bicarbonate supplementation on biomass and lipid content of green algae Scenedesmus sp. BHU1 isolated from wastewater for renewable biofuel feedstock. Front. Microbiol. 2022, 13, 839800. [Google Scholar] [CrossRef]
- Li, Q.; Li, Q.; Wang, F.; Xu, N.; Wang, Y.; Bai, B. Settling behavior and mechanism analysis of kaolinite as a fracture proppant of hydrocarbon reservoirs in CO2 fracturing fluid. Colloids Surf. A Physicochem. Eng. Asp. 2025, 724, 137463. [Google Scholar] [CrossRef]
- Li, Q.; Zhao, D.; Yin, J.; Zhou, X.; Li, Y.; Chi, P.; Han, Y.; Ansari, U.; Cheng, Y. Sediment instability caused by gas production from hydrate-bearing sediment in Northern South China sea by horizontal wellbore: Evolution and mechanism. Nat. Resour. Res. 2023, 32, 1595–1620. [Google Scholar] [CrossRef]
- Roy, M.; Bera, S.; Mohanty, K. Nutrient starvation-induced oxidative stress-mediated lipid accumulation in Tetradesmus obliquus KMC24. J. Appl. Phycol. 2021, 33, 3617–3635. [Google Scholar] [CrossRef]
- Cabrita, A.R.J.; Guilherme-Fernandes, J.; Valente, I.M.; Almeida, A.; Lima, S.A.C.; Fonseca, A.J.M.; Maia, M.R.G. Nutritional composition and untargeted metabolomics reveal the potential of Tetradesmus obliquus, Chlorella vulgaris and Nannochloropsis oceanica as valuable nutrient sources for dogs. Animals 2022, 12, 2643. [Google Scholar] [CrossRef] [PubMed]
- Kopp, G.; Lauritano, C. Greener extraction solutions for microalgal compounds. Mar. Drugs 2025, 23, 269. [Google Scholar] [CrossRef] [PubMed]
- Campenni, L.; Nobre, B.P.; Santos, C.A.; Oliveira, A.C.; Aires-Barros, M.R.; Palavra, A.M.F.; Gouveia, L. Carotenoid and lipid production by the autotrophic microalga Chlorella protothecoides under nutritional, salinity, and luminosity stress conditions. Appl. Microbiol. Biotechnol. 2013, 97, 1383–1393. [Google Scholar] [CrossRef] [PubMed]






| # | Reagent | Final Concentration, mg L−1 |
|---|---|---|
| 1 | NaNO3 | 250 |
| 2 | MgSO4 7H2O | 75 |
| 3 | NaCl | 25 |
| 4 | K2HPO4 | 75 |
| 5 | KH2PO4 | 175 |
| 6 | CaCl2 2H2O | 25 |
| 7 | ZnSO4 7H2O | 8.82 |
| 8 | MnCl2 4H2O | 1.44 |
| 9 | Na2MoO4 2H2O | 1.19 |
| 10 | CuSO4 5H2O | 1.57 |
| 11 | Co(NO3)2 6H2O | 0.49 |
| 12 | H3BO3 | 11.42 |
| 13 | C10H14N2Na2O8 2H2O | 63.68 |
| 14 | KOH | 31 |
| 15 | FeSO4 7H2O | 4.98 |
| Treatment | NH4+-N, mg L−1 | NO3−-N, mg L−1 | PO43−-P, mg L−1 | SO42−-S, mg L−1 | Inorganic Carbon Source | |
|---|---|---|---|---|---|---|
| Continuous Supply of CO2, % | Controllable Supply of 1 M NaHCO3 | |||||
| TR_1 | 41 | 0.05 | 53 | 12 | 2.0 | − |
| TR_2 | 82 | 0.05 | 106 | 36 | 2.0 | − |
| TR_3 | 164 | 0.05 | 106 | 36 | 2.0 | − |
| TR_4 | 246 | 0.05 | 106 | 36 | 2.0 | − |
| TR_5 | 328 | 0.05 | 106 | 36 | 2.0 | − |
| TR_6 | 410 | 0.05 | 106 | 36 | 2.0 | − |
| TR_7 * | 410 | 0.1 | 106 | 36 | 2.0 | − |
| TR_8 * | 0 | 410.1 | 106 | 36 | 2.0 | − |
| TR_9 * | 410 | 0.1 | 106 | 36 | 2.0 | + |
| TR_10 | 164 | 0.05 | 106 | 36 | 2.0 | + |
| TR_11 | 164 | 0.05 | 106 | 36 | ~0.04 | − |
| TR_12 | 164 | 0.05 | 106 | 36 | ~0.04 | + |
| Treatment | Final OD750nm | Final Dry Weight, g L−1 | Volatile Solids, g L−1 | Final Pigments, % of Dry Weight | Enter to the Stationary Phase, Day | Period of Cultivation, Day |
|---|---|---|---|---|---|---|
| TR_1 | 4.6 ± 0.17 f | 2.24 ± 0.14 e | 2.14 ± 0.14 e | 0.34 ± 0.02 f | 5 | 8 |
| TR_2 | 7.3 ± 0.21 e | 4.50 ± 0.21 d | 4.34 ± 0.19 d | 0.42 ± 0.02 f | 6 | 8 |
| TR_3 | 12.8 ± 0.20 c | 6.14 ± 0.28 bc | 5.92 ± 0.27 bc | 1.30 ± 0.06 e | 7 | 10 |
| TR_4 | 13.4 ± 0.25 bc | 7.01 ± 0.36 ab | 6.75 ± 0.33 ab | 1.68 ± 0.09 de | 10 | 12 |
| TR_5 | 14.0 ± 0.32 ab | 7.34 ± 0.23 a | 6.77 ± 0.21 ab | 2.27 ± 0.07 cd | 10 | 12 |
| TR_6 | 13.5 ± 0.31 bc | 6.96 ± 0.25 ab | 6.40 ± 0.23 abc | 2.78 ± 0.10 bc | 10 | 12 |
| TR_7 | 14.7 ± 0.24 a | 7.50 ± 0.28 a | 7.21 ± 0.24 a | 3.16 ± 0.12 b | 10 | 12 |
| TR_8 | 12.6 ± 0.35 cd | 5.86 ± 0.20 c | 5.60 ± 0.19 c | 4.37 ± 0.15 a | 10 | 12 |
| TR_9 | 13.1 ± 0.21 bc | 7.11 ± 0.32 a | 6.81 ± 0.30 ab | 3.31 ± 0.15 b | 10 | 12 |
| TR_10 | 11.7 ± 0.30 d | 5.79 ± 0.16 c | 5.58 ± 0.15 c | 1.32 ± 0.04 e | 7 | 10 |
| TR_11 | 1.0 ± 0.07 g | 0.50 ± 0.07 f | 0.47 ± 0.07 f | 2.26 ± 0.32 cd | 7 | 8 |
| TR_12 | 1.0 ± 0.14 g | 0.52 ± 0.11 f | 0.49 ± 0.09 f | 2.22 ± 0.42 cd | 7 | 8 |
Disclaimer/Publisher’s Note: The statements, opinions and data contained in all publications are solely those of the individual author(s) and contributor(s) and not of MDPI and/or the editor(s). MDPI and/or the editor(s) disclaim responsibility for any injury to people or property resulting from any ideas, methods, instructions or products referred to in the content. |
© 2025 by the authors. Licensee MDPI, Basel, Switzerland. This article is an open access article distributed under the terms and conditions of the Creative Commons Attribution (CC BY) license (https://creativecommons.org/licenses/by/4.0/).
Share and Cite
Ziganshina, E.E.; Ziganshin, A.M. Influence of Nutrient Medium Composition on the Redistribution of Valuable Metabolites in the Freshwater Green Alga Tetradesmus obliquus (Chlorophyta) Under Photoautotrophic Growth Conditions. BioTech 2025, 14, 60. https://doi.org/10.3390/biotech14030060
Ziganshina EE, Ziganshin AM. Influence of Nutrient Medium Composition on the Redistribution of Valuable Metabolites in the Freshwater Green Alga Tetradesmus obliquus (Chlorophyta) Under Photoautotrophic Growth Conditions. BioTech. 2025; 14(3):60. https://doi.org/10.3390/biotech14030060
Chicago/Turabian StyleZiganshina, Elvira E., and Ayrat M. Ziganshin. 2025. "Influence of Nutrient Medium Composition on the Redistribution of Valuable Metabolites in the Freshwater Green Alga Tetradesmus obliquus (Chlorophyta) Under Photoautotrophic Growth Conditions" BioTech 14, no. 3: 60. https://doi.org/10.3390/biotech14030060
APA StyleZiganshina, E. E., & Ziganshin, A. M. (2025). Influence of Nutrient Medium Composition on the Redistribution of Valuable Metabolites in the Freshwater Green Alga Tetradesmus obliquus (Chlorophyta) Under Photoautotrophic Growth Conditions. BioTech, 14(3), 60. https://doi.org/10.3390/biotech14030060
