Effect of Low-Temperature Storage of Kefir Grains and Trehalose Addition on the Production of the Exopolysaccharide Kefiran
Abstract
1. Introduction
2. Materials and Methods
2.1. Materials
2.2. Kefir Grain Activation
2.3. Experimental Design
2.3.1. Effect of Low-Temperature Storage of Kefir Grains on Kefiran Production
2.3.2. Effect of Fermentation Temperature on Kefiran Production
2.4. Determination of Increase in Kefir Grain Mass
2.5. Kefiran Isolation and Purification
2.6. Physicochemical Analyses
2.6.1. Determination of pH Value
2.6.2. Chemical Composition of Kefir Grains
2.6.3. Chemical Composition of Kefiran
2.7. Rheological Properties
2.8. Statistical Analysis
3. Results and Discussion
3.1. Chemical Composition of Kefir Grains and Isolated Kefiran
3.2. Low-Temperature Storage of Kefir Grains With or Without the Presence of Trehalose
3.2.1. Evaluation of pH Values
3.2.2. Increase in Kefir Grain Mass
3.2.3. Kefiran Production
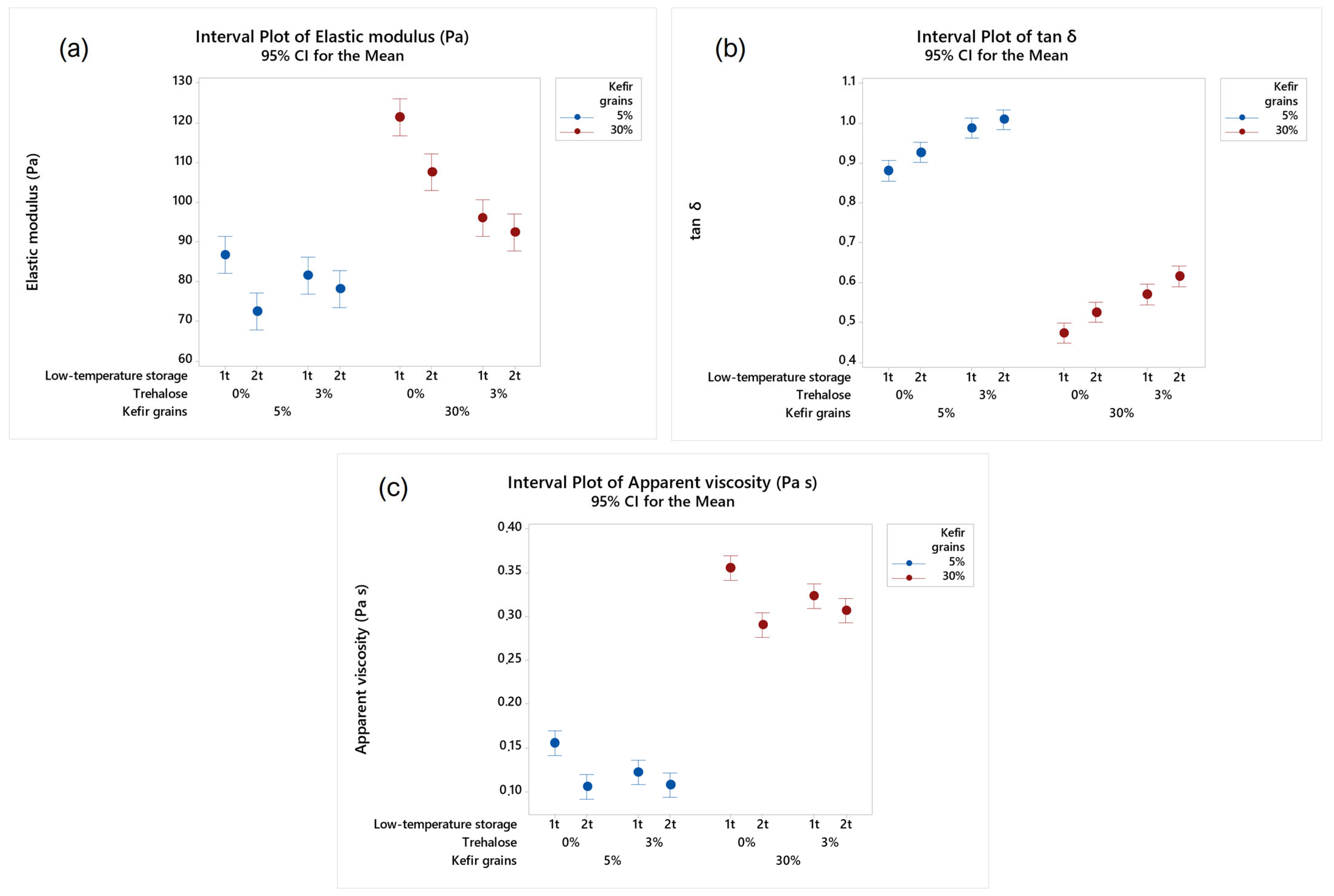
3.2.4. Evaluation of Rheological Behavior
3.3. Fermentation of Kefir Grains With or Without the Presence of Trehalose
4. Conclusions
Author Contributions
Funding
Data Availability Statement
Conflicts of Interest
References
- Abid, Y.; Azabou, S. Exopolysaccharides from Lactic Acid Bacteria. In Polysaccharides of Microbial Origin; Springer: Cham, Switzerland, 2022; pp. 415–437. ISBN 978-3-030-42215-8. [Google Scholar]
- Maeda, H.; Zhu, X.; Omura, K.; Suzuki, S.; Kitamura, S. Effects of an Exopolysaccharide (Kefiran) on Lipids, Blood Pressure, Blood Glucose, and Constipation. BioFactors 2004, 22, 197–200. [Google Scholar] [CrossRef] [PubMed]
- Rodrigues, K.L.; Caputo, L.R.G.; Carvalho, J.C.T.; Evangelista, J.; Schneedorf, J.M. Antimicrobial and Healing Activity of Kefir and Kefiran Extract. Int. J. Antimicrob. Agents 2005, 25, 404–408. [Google Scholar] [CrossRef] [PubMed]
- Salari, A.; Hashemi, M.; Afshari, A. Functional Properties of Kefiran in the Medical Field and Food Industry. Curr. Pharm. Biotechnol. 2022, 23, 388–395. [Google Scholar] [CrossRef] [PubMed]
- Gentry, B.; Cazón, P.; O’Brien, K. A Comprehensive Review of the Production, Beneficial Properties, and Applications of Kefiran, the Kefir Grain Exopolysaccharide. Int. Dairy J. 2023, 144, 105691. [Google Scholar] [CrossRef]
- Moradi, Z.; Kalanpour, N. Kefiran, a Branched Polysaccharide: Preparation, Properties and Applications: A Review. Carbohydr. Polym. 2019, 223, 115100. [Google Scholar] [CrossRef]
- Tan, K.-X.; Chamundeswari, V.N.; Loo, S.C.J. Prospects of Kefiran as a Food-Derived Biopolymer for Agri-Food and Biomedical Applications. RSC Adv. 2020, 10, 25339–25351. [Google Scholar] [CrossRef]
- Simonelli, N.; Gagliarini, N.; Medrano, M.; Piermaria, J.A.; Abraham, A.G. Kefiran. In Polysaccharides of Microbial Origin; Springer: Cham, Switzerland, 2022; pp. 99–116. ISBN 978-3-030-42215-8. [Google Scholar]
- Schoevers, A.; Britz, T.J. Influence of Different Culturing Conditions on Kefir Grain Increase. Int. J. Dairy Technol. 2003, 56, 183–187. [Google Scholar] [CrossRef]
- Farnworth, E. Kefir—A Complex Probiotic. Food Sci. Technol. Bull. Funct. Foods 2005, 2, 1–17. [Google Scholar] [CrossRef]
- Londero, A.; Hamet, M.F.; Antoni, G.L.D.; Garrote, G.L.; Abraham, A.G. Kefir Grains as a Starter for Whey Fermentation at Different Temperatures: Chemical and Microbiological Characterisation. J. Dairy Res. 2012, 79, 262–271. [Google Scholar] [CrossRef]
- Bengoa, A.A.; Iraporda, C.; Garrote, G.L.; Abraham, A.G. Kefir Micro-organisms: Their Role in Grain Assembly and Health Properties of Fermented Milk. J. Appl. Microbiol. 2019, 126, 686–700. [Google Scholar] [CrossRef]
- Ghasemlou, M.; Khodaiyan, F.; Jahanbin, K.; Gharibzahedi, S.M.T.; Taheri, S. Structural Investigation and Response Surface Optimisation for Improvement of Kefiran Production Yield from a Low-Cost Culture Medium. Food Chem. 2012, 133, 383–389. [Google Scholar] [CrossRef] [PubMed]
- Cheirsilp, B.; Shimizu, H.; Shioya, S. Enhanced Kefiran Production by Mixed Culture of Lactobacillus kefiranofaciens and Saccharomyces cerevisiae. J. Biotechnol. 2003, 100, 43–53. [Google Scholar] [CrossRef] [PubMed]
- Cheirsilp, B.; Suksawang, S.; Yeesang, J.; Boonsawang, P. Co-Production of Functional Exopolysaccharides and Lactic Acid by Lactobacillus kefiranofaciens Originated from Fermented Milk, Kefir. J. Food Sci. Technol. 2018, 55, 331–340. [Google Scholar] [CrossRef] [PubMed]
- Guzel-Seydim, Z.; Kok-Tas, T.; Ertekin-Filiz, B.; Seydim, A.C. Effect of Different Growth Conditions on Biomass Increase in Kefir Grains. J. Dairy Sci. 2011, 94, 1239–1242. [Google Scholar] [CrossRef]
- Zajšek, K.; Goršek, A.; Kolar, M. Cultivating Conditions Effects on Kefiran Production by the Mixed Culture of Lactic Acid Bacteria Imbedded within Kefir Grains. Food Chem. 2013, 139, 970–977. [Google Scholar] [CrossRef]
- Blandón, L.M.; Noseda, M.D.; Islan, G.A.; Castro, G.R.; de Melo Pereira, G.V.; Thomaz-Soccol, V.; Soccol, C.R. Optimization of Culture Conditions for Kefiran Production in Whey: The Structural and Biocidal Properties of the Resulting Polysaccharide. Bioact. Carbohydr. Diet. Fibre 2018, 16, 14–21. [Google Scholar] [CrossRef]
- Yokoi, H.; Watanabe, T.; Fuji, Y.; Toba, T.; Adachi, S. Isolation and Characterization of Polysaccharide-Producing Bacteria from Kefir Grains. J. Dairy Sci. 1990, 73, 1684–1689. [Google Scholar] [CrossRef]
- Mıdık, F.; Tokatlı, M.; Bağder Elmacı, S.; Özçelik, F. Influence of Different Culture Conditions on Exopolysaccharide Production by Indigenous Lactic Acid Bacteria Isolated from Pickles. Arch. Microbiol. 2020, 202, 875–885. [Google Scholar] [CrossRef]
- Nguyen, P.-T.; Nguyen, T.-T.; Bui, D.-C.; Hong, P.-T.; Hoang, Q.-K.; Nguyen, H.-T. Exopolysaccharide Production by Lactic Acid Bacteria: The Manipulation of Environmental Stresses for Industrial Applications. AIMS Microbiol. 2020, 6, 451–469. [Google Scholar] [CrossRef]
- Rimada, P.S.; Abraham, A.G. Polysaccharide Production by Kefir Grains during Whey Fermentation. J. Dairy Res. 2001, 68, 653–661. [Google Scholar] [CrossRef]
- Pop, C.; Apostu, S.; Salanţă, L.; Rotar, A.M.; Sindic, M.; Mabon, N.; Socaciu, C. Influence of Different Growth Conditions on the Kefir Grains Production, used in the Kefiran Synthesis. Bull. UASVM Food Sci. Technol. 2014, 71, 147–153. [Google Scholar] [CrossRef]
- Gao, X.; Li, B. Chemical and Microbiological Characteristics of Kefir Grains and Their Fermented Dairy Products: A Review. Cogent Food Agric. 2016, 2, 1272152. [Google Scholar] [CrossRef]
- Chen, A.; Tapia, H.; Goddard, J.M.; Gibney, P.A. Trehalose and Its Applications in the Food Industry. Compr. Rev. Food Sci. Food Saf. 2022, 21, 5004–5037. [Google Scholar] [CrossRef] [PubMed]
- Zayed, G.; Roos, Y.H. Influence of Trehalose and Moisture Content on Survival of Lactobacillus salivarius Subjected to Freeze-Drying and Storage. Process Biochem. 2004, 39, 1081–1086. [Google Scholar] [CrossRef]
- Argüelles, J.C. Physiological Roles of Trehalose in Bacteria and Yeasts: A Comparative Analysis. Arch. Microbiol. 2000, 174, 217–224. [Google Scholar] [CrossRef]
- Exarhopoulos, S.; Raphaelides, S.N.; Kontominas, M.G. Conformational Studies and Molecular Characterization of the Polysaccharide Kefiran. Food Hydrocoll. 2018, 77, 347–356. [Google Scholar] [CrossRef]
- AOAC. Official Methods of Analysis of the Association of Official Analytical Chemists: Official Methods of Analysis of AOAC International, 21st ed.; AOAC: Washington, DC, USA, 2019. [Google Scholar]
- Exarhopoulos, S.; Goulas, A.; Dimitreli, G. Biodegradable Films from Kefiran-Based Cryogel Systems. Macromol 2022, 2, 324–345. [Google Scholar] [CrossRef]
- Ben Omar, Z.; Raphaelides, S.; Kesteloot, R. Texture Evaluation of French Acid-Type Fresh Cheeses. J. Texture Stud. 1995, 26, 325–338. [Google Scholar] [CrossRef]
- Walstra, P.; Wouters, J.T.M.; Geurts, T.J. Dairy Science and Technology, 2nd ed.; CRC Press: Boca Raton, FL, USA, 2005; ISBN 978-0-429-11614-8. [Google Scholar]
- Damin, M.R.; Minowa, E.; Alcântara, M.R.; Oliveira, M.N. Effect of Cold Storage on Culture Viability and Some Rheological Properties of Fermented Milk Prepared with Yogurt and Probiotic Bacteria. J. Texture Stud. 2008, 39, 40–55. [Google Scholar] [CrossRef]
- Oliveira, M.; Damin, M.R.; Minowa, E.; Alcantara, M. Chemical and Viability Changes During Fermentation and Cold Storage of Fermented Milk Manufactured Using Yogurt and Probiotic Bacteria. IUFoST 2006, 635, 1271–1281. [Google Scholar] [CrossRef]
- Frengova, G.I.; Simova, E.D.; Beshkova, D.M.; Simov, Z.I. Exopolysaccharides Produced by Lactic Acid Bacteria of Kefir Grains. Z. Naturforsch. C 2002, 57, 805–810. [Google Scholar] [CrossRef]
- Bourne, M.C. Chapter 1—Texture, Viscosity, and Food. In Food Texture and Viscosity, 2nd ed.; Bourne, M.C., Ed.; Food Science and Technology; Academic Press: London, UK, 2002; pp. 1–32. ISBN 978-0-12-119062-0. [Google Scholar]
- Rimada, P.S.; Analía Graciela Abraham, A.G. Kefiran improves rheological properties of glucono-δ-lactone induced skim milk gels. Int. Dairy J. 2006, 16, 33–39. [Google Scholar] [CrossRef]
- Irigoyen, A.; Arana, I.; Castiella, M.; Torre, P.; Ibáñez, F.C. Microbiological, Physicochemical, and Sensory Characteristics of Kefir During Storage. Food Chem. 2005, 90, 613–620. [Google Scholar] [CrossRef]









| Low-Temperature Storage | Fermentation | |||||||||||||||
|---|---|---|---|---|---|---|---|---|---|---|---|---|---|---|---|---|
| Temperature (°C) | 4 | 25 | 30 | |||||||||||||
| Kefir grains (%) | 5 | 30 | 5 | 30 | 5 | 30 | ||||||||||
| Trehalose (%) | 0 | 3 | 0 | 3 | 0 | 3 | 0 | 3 | 0 | 3 | 0 | 3 | ||||
| Storage time (days) | 6 | 11 | 6 | 11 | 17 | 31 | 17 | 31 | 1 | |||||||
| Factors | ||||||
|---|---|---|---|---|---|---|
| Variables | Low-Temperature Storage | Trehalose | Kefir Grains | |||
| F-Values | p-Values | F-Values | p-Values | F-Values | p-Values | |
| pH | 5.60 | 0.036 | 9.99 | 0.008 | 16.55 | 0.002 |
| Increase in kefir grain mass (%) | 0.72 | 0.414 | 0.24 | 0.631 | 46.77 | 0.000 |
| Kefiran (mg/100 g kefir) | 10.01 | 0.011 | 6.83 | 0.028 | 106.43 | 0.000 |
| Elastic modulus | 6.26 | 0.028 | 8.17 | 0.014 | 49.33 | 0.000 |
| Tan δ | 32.22 | 0.000 | 169.70 | 0.000 | 312.15 | 0.000 |
| Apparent viscosity (Pa s) | 75.89 | 0.000 | 7.54 | 0.023 | 259.36 | 0.000 |
| Factors | ||||||
|---|---|---|---|---|---|---|
| Variables | Trehalose | Kefir Grains | Fermentation Temperature | |||
| F-Values | p-Values | F-Values | p-Values | F-Values | p-Values | |
| Increase in kefir grain mass (%) | 0.34 | 0.570 | 75.97 | 0.000 | 122.15 | 0.000 |
| Kefiran (mg/100 g kefir) | 0.05 | 0.831 | 253.76 | 0.000 | 144.05 | 0.000 |
| Elastic modulus | 0.05 | 0.828 | 34.01 | 0.000 | 97.23 | 0.000 |
| Tan δ | 0.22 | 0.647 | 24.97 | 0.000 | 387.45 | 0.000 |
| Apparent viscosity (Pa s) | 0.12 | 0.733 | 53.79 | 0.000 | 87.29 | 0.000 |
Disclaimer/Publisher’s Note: The statements, opinions and data contained in all publications are solely those of the individual author(s) and contributor(s) and not of MDPI and/or the editor(s). MDPI and/or the editor(s) disclaim responsibility for any injury to people or property resulting from any ideas, methods, instructions or products referred to in the content. |
© 2026 by the authors. Licensee MDPI, Basel, Switzerland. This article is an open access article distributed under the terms and conditions of the Creative Commons Attribution (CC BY) license.
Share and Cite
Arsou, L.; Exarhopoulos, S.; Goulas, A.; Dimitreli, G. Effect of Low-Temperature Storage of Kefir Grains and Trehalose Addition on the Production of the Exopolysaccharide Kefiran. Macromol 2026, 6, 3. https://doi.org/10.3390/macromol6010003
Arsou L, Exarhopoulos S, Goulas A, Dimitreli G. Effect of Low-Temperature Storage of Kefir Grains and Trehalose Addition on the Production of the Exopolysaccharide Kefiran. Macromol. 2026; 6(1):3. https://doi.org/10.3390/macromol6010003
Chicago/Turabian StyleArsou, Lydia, Stylianos Exarhopoulos, Athanasios Goulas, and Georgia Dimitreli. 2026. "Effect of Low-Temperature Storage of Kefir Grains and Trehalose Addition on the Production of the Exopolysaccharide Kefiran" Macromol 6, no. 1: 3. https://doi.org/10.3390/macromol6010003
APA StyleArsou, L., Exarhopoulos, S., Goulas, A., & Dimitreli, G. (2026). Effect of Low-Temperature Storage of Kefir Grains and Trehalose Addition on the Production of the Exopolysaccharide Kefiran. Macromol, 6(1), 3. https://doi.org/10.3390/macromol6010003

