Blood Metabolites and Profiling Stored Adipose Tissue Reveal the Differential Migratory Strategies of Eurasian Reed and Sedge Warblers
Abstract
Simple Summary
Abstract
1. Introduction
2. Methods
2.1. Study Site
2.2. Study Species
2.3. Mist-Netting
2.4. Blood and Fat Sampling
2.5. Blood Sample Analyses
2.6. Fat Sample Analyses
2.7. Data Analysis
3. Results
3.1. Blood Metabolites and Body Mass of ‘Non-Fasting’ Sedge and Eurasian Reed Warblers
3.2. Blood Metabolites and Body Mass of ‘Fasting’ Sedge and Eurasian Reed Warblers
3.3. Blood Metabolites of ‘Post-Flight Fasting’ Sedge and Eurasian Reed Warblers during Autumnal Migration
3.4. Seasonal Variation in Fat Scores and Blood Metabolites of Non-Fasting Sedge and Eurasian Reed Warblers
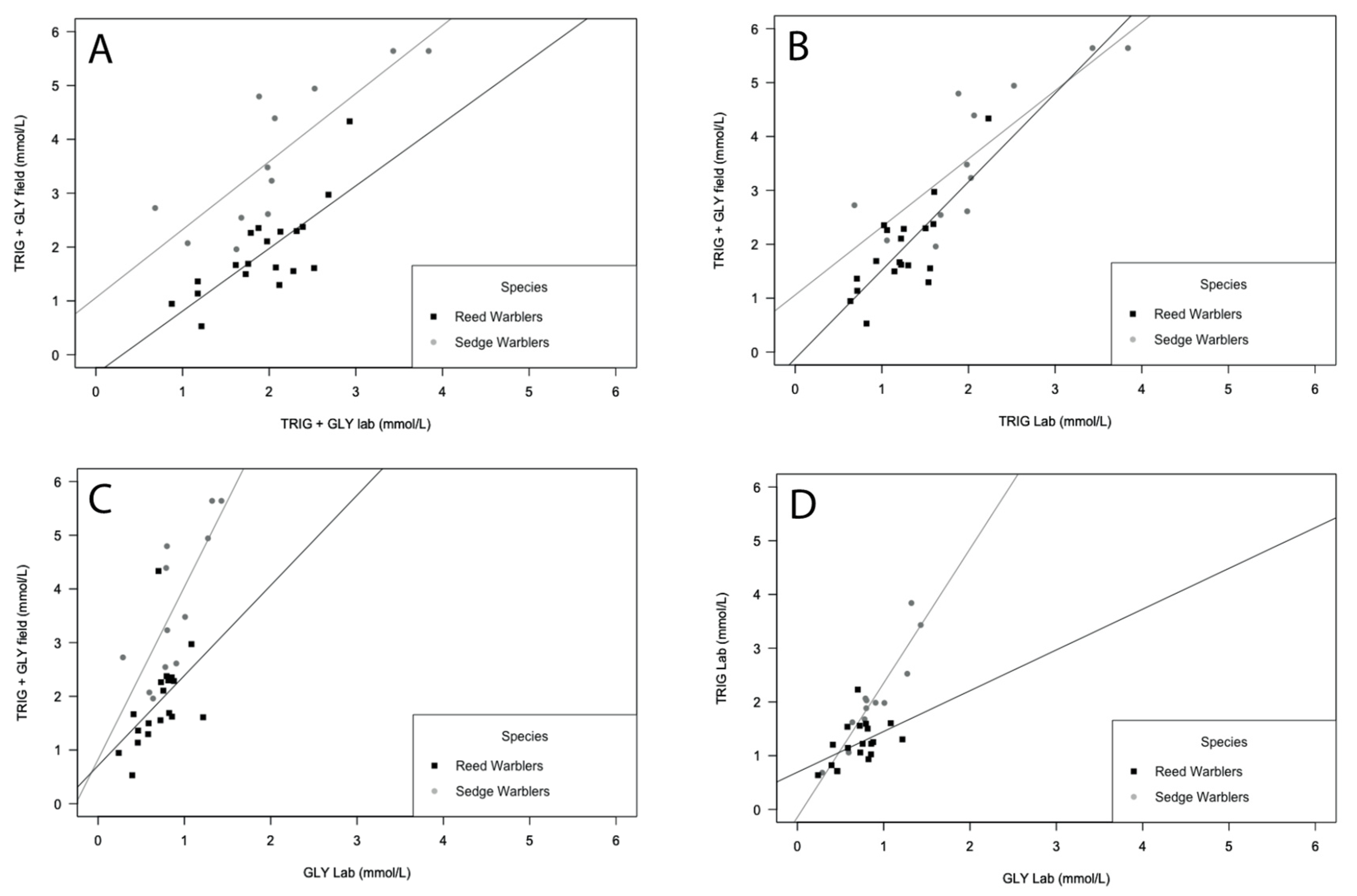
3.5. Circulating Blood Metabolites of Sedge and Eurasian Reed Warblers between Post-Flight Fasting and Non-Fasting Birds Using Portable Field Equipment
3.6. Comparing Fatty Acid Composition and Average Molecular Structure between Sedge and Eurasian Reed Warblers during Post-Flight Fasting
4. Discussion
Author Contributions
Funding
Institutional Review Board Statement
Informed Consent Statement
Data Availability Statement
Acknowledgments
Conflicts of Interest
References
- Alerstam, T.; Hedenström, A. The development of bird migration theory. J. Avian Biol. 1998, 29, 343–369. [Google Scholar] [CrossRef]
- Price, E.R.; Krokfors, A.; Guglielmo, C.G. Selective mobilization of fatty acids from adipose tissue in migratory birds. J. Exp. Biol. 2007, 211, 29–34. [Google Scholar] [CrossRef] [PubMed]
- Jenni-Eiermann, S.; Jenni, L. Plasma metabolite levels predict individual body-mass changes in a small long-distance migrant, the Garden Warbler. Auk 1994, 111, 888–899. [Google Scholar] [CrossRef]
- Guglielmo, C.G.; Cesarale, D.J.; Eldermire, C. A field validation of plasma metabolite profiling to assess refueling performance of migratory birds. Physiol. Biochem. Zool. 2005, 78, 116–125. [Google Scholar] [CrossRef]
- Cesarale, D.J.; Guglielmo, C.G. An integrative assessment of the effects of Tamarisk on stopover ecology of a long-distance migrant along the San Pedro River, Arizona. Auk 2010, 127, 636–646. [Google Scholar] [CrossRef]
- Jenni-Eeiermann, S.; Jenni, L. Fuel deposition rates in migrating birds: Causes, constraints and consequences. In Avian Migration; Berthold, P., Gwinner, E., Sonnenschein, Eds.; Springer: New York, NY, USA, 2003; pp. 293–306. [Google Scholar]
- Jenni-Eiermann, S.; Jenni, L. Metabolic responses to flight and fasting in night-migrating passerines. J. Comp. Physiol. B 2003, 161, 465–474. [Google Scholar] [CrossRef]
- Jenni-Eiermann, S.; Jenni, L. High plasma triglyceride levels in small birds during migratory flight: A new pathway for fuel supply during endurance locomotion at very high mass-specific metabolic rates? Physiol Zool. 1992, 65, 112–123. [Google Scholar] [CrossRef]
- Mccue, M.D. Starvation physiology: Reviewing the different strategies animals use to survive a common challenge. Comp. Biochem. Phys. A 2010, 156, 1–18. [Google Scholar] [CrossRef] [PubMed]
- Braun, E.J.; Sweazea, K.L. Glucose regulation in birds. Comp. Biochem. Phys. B 2008, 151, 1–9. [Google Scholar] [CrossRef] [PubMed]
- Scanes, C.G.; Braun, E. Avian metabolism: Its control and evolution. Front. Biol. 2013, 8, 134–159. [Google Scholar] [CrossRef]
- Gerson, A.R.; Guglielmo, C.G. Energetics and metabolite profiles during early flight in American Robins (Turdus Migratorius). Comp. Biochem. Phys. B 2013, 183, 983–991. [Google Scholar] [CrossRef] [PubMed]
- Guglielmo, C.G.; Gerson, A.R.; Price, E.R.; Hays, Q.R. The effects of dietary macronutrients on flight ability, energetics, and fuel metabolism of Yellow-rumped Warblers Setophaga coronata. J. Avian Biol. 2017, 48, 133–148. [Google Scholar] [CrossRef]
- Klaassen, M.; Kvist, A. Flight costs and fuel composition of a bird migrating in a wind tunnel. Condor 2000, 102, 444–451. [Google Scholar] [CrossRef]
- Landys, M.M.; Piersma, T.; Guglielmo, C.G.; Jukema, J.; Ramenofsky, M.; Wingfield, J.C. Metabolic profile of long-distance migratory flight and stopover in a shorebird. P. Roy. Soc. B 2005, 272, 295–302. [Google Scholar] [CrossRef] [PubMed]
- Bauchinger, U.; Wohlmann, A.; Biebach, H. Flexible remodeling of organ size during spring migration of the Garden Warbler (Sylvia borin). Zoology 2005, 108, 97–106. [Google Scholar] [CrossRef] [PubMed]
- Viegas, I.; Araújo, P.M.; Rocha, A.D.; Villegas, A.; Jones, J.G.; Ramos, J.A.; Masero, J.A.; Alves, J.A. Metabolic plasticity for subcutaneous fat accumulation in a long-distance migratory bird traced by 2H2O. J. Exp. Biol. 2017, 220, 1072–1078. [Google Scholar] [CrossRef] [PubMed]
- Araújo, P.M.; Viegas, I.; Rocha, A.D.; Villegas, A.; Jones, J.G.; Ramos, J.A.; Masero, J.A.; Alves, J.A. Does fasting enhance lipogenesis during migration re-fuelling? A test between traditional and novel diets in a long-distance migratory bird. Sci. Rep. 2019, 9, 10065. [Google Scholar] [CrossRef] [PubMed]
- Price, E.R. Dietary lipid composition and avian migratory flight performance: Development of a theoretical. Comp. Biochem. Phy. A 2010, 157, 297–309. [Google Scholar] [CrossRef] [PubMed]
- Mcwilliams, S.R.; Guglielmo, C.G.; Pierce, B.J.; Klaassen, M. Flying, fasting, and feeding in birds during migration: A nutritional and physiological ecology perspective. J. Avian Biol. 2004, 35, 377–393. [Google Scholar] [CrossRef]
- Nagahuedi, S.; Popesku, J.T.; Trudeau, V.L.; Weber, J.M. Mimicking the natural doping of migrant sandpipers in sedentary quails: Effects of dietary n-3 fatty acids on muscle membranes and PPAR expression. J. Exp. Biol. 2009, 212, 1106–1114. [Google Scholar] [CrossRef] [PubMed]
- Maillet, D.; Weber, J.M. Performance-enhancing role of dietary fatty acids in a long-distance migrant shorebird: The Semipalmated Sandpiper. J. Exp. Biol. 2006, 209, 2686–2695. [Google Scholar] [CrossRef] [PubMed]
- Klaiman, J.M.; Price, E.R.; Guglielmo, C.G. Fatty acid composition of pectoralis muscle membrane, intramuscular fat stores and adipose tissue of migrant and wintering White-throated Sparrows (Zonotrichia albicollis). J. Exp. Biol. 2009, 212, 3865–3872. [Google Scholar] [CrossRef] [PubMed]
- Andersson, M.N.; Wang, H.L.; Nord, A.; Salmón, P.; Isaksson, C. Composition of physiologically important fatty acids in Great Tits differs between urban and rural populations on a seasonal basis. Front. Ecol. Evol. 2015, 3, 522. [Google Scholar] [CrossRef]
- Moreau, R.E. The Palaearctic-African Bird Migration Systems; Academic Press: London, UK, 1972. [Google Scholar]
- Green, R.E.; Davies, N.B. Feeding ecology of Reed and Sedge warblers. Wicken Fen Group Rep. 1972, 4, 8–14. [Google Scholar]
- Green, R.E.; Bibby, C.J. Sedge Warblers and aphids. Wicken Fen Group Rep. 1973, 5, 7–11. [Google Scholar]
- Green, R.E. Adult survival rates for Reed and Sedge warblers. Wicken Fen Group Rep. 1976, 8, 23–26. [Google Scholar]
- Bibby, C.; Green, R. Autumn migration strategies of Reed and Sedge warblers. Ornis Scand. 1981, 12, 1–12. [Google Scholar] [CrossRef]
- Lee, M.; Viegas, I.; Norte, A.C.; Ramos, J.A.; Araújo, P.M. Assessing the fatty acid profile of migratory birds with different fuelling strategies. Ibis 2022, in press. [Google Scholar] [CrossRef]
- Bolshakov, C.V.; Bulyuk, V.N.; Mukhin, A.; Chernetsov, N. Body mass and fat reserves of Sedge Warblers during vernal nocturnal migration: Departure versus arrival. J. Field Ornithol. 2003, 74, 81–89. [Google Scholar] [CrossRef]
- Koskimies, P.; Saurola, P. Autumn migration strategy of the Sedge Warbler Acrocephalus schoenobaenus in Finland: A preliminary report. Ornis Fenn. 1985, 62, 145–152. [Google Scholar]
- Schaub, M.; Jenni, L. Variation of fuelling rates among sites, days and individuals in migrating passerine birds. Funct. Ecol. 2001, 15, 584–594. [Google Scholar] [CrossRef]
- Araújo, P.M.; Lopes, P.B.; da Silva, L.P.; Ramos, J.A. The importance of reedbeds and riparian areas for Cetti’s Warbler Cettia cetti along its annual cycle. Wetlands 2016, 36, 875–887. [Google Scholar] [CrossRef]
- Gannes, L.Z. Comparative fuel use of migrating passerines: Effects of fat stores, migration distance, and diet. Auk 2001, 118, 665–677. [Google Scholar] [CrossRef]
- Volek, J.S.; Noakes, T.; Phinney, S.D. Rethinking fat as a fuel for endurance exercise. Eur. J. Sport Sci. 2015, 15, 13–20. [Google Scholar] [CrossRef] [PubMed]
- Jenni-Eiermann, S. Energy metabolism during endurance flight and the post-flight recovery phase. J. Comp. Physiol. A 2017, 203, 431–438. [Google Scholar] [CrossRef]
- Rocha, A.; Araújo, P.M.; Martinho, F.; Ramos, J.A.; Masero, J.A. A non-lethal biopsy technique for sampling subcutaneous adipose tissue of small and medium-sized birds. J. Field Ornithol. 2016, 87, 213–221. [Google Scholar] [CrossRef]
- Arizaga, J. Reed and Sedge warblers. In The Eurasian African Bird Migration Atlas, 1st ed.; Spina, F., Baillie, S.R., Bairlein, F., Fiedler, W., Thorup, K., Eds.; 2022; EURING/CMS; Available online: https://migrationatlas.org (accessed on 14 June 2022).
- Keller, V.; Herrando, S.; Voříšek, P.; Franch, M.; Kipson, M.; Milanesi, P.; Martí, D.; Anton, M.; Klvaňová, A.; Kalyakin, M.V. European Breeding Bird Atlas 2: Distribution, Abundance and Change; European Bird Census Council: Beek, The Netherlands; Lynx Edicions: Barcelona, Spain, 2020. [Google Scholar]
- Thomson, R.L.; Forsman, J.T.; Mönkkönen, M. Positive interactions between migrant and resident birds: Testing the heterospecific attraction hypothesis. Oecologia 2003, 134, 431–438. [Google Scholar] [CrossRef]
- Mukhin, A.; Chernetsov, A.; Kishkinev, D. Acoustic information as a distant cue for habitat recognition by nocturnally migrating passerines during landfall. Behav. Ecol. 2008, 19, 716–723. [Google Scholar] [CrossRef]
- Kaiser, A. A new multi-category classification of subcutaneous fat deposits of songbirds. J. Field Ornithol. 1993, 64, 246–255. [Google Scholar]
- Irvine, K.L.; Mans, C.; Friedrichs, K.R. Validation of 2 point-of-care meters for measuring triglycerides in chickens using whole blood and plasma. J. Vet. Diagnost. Investig. 2018, 30, 197–204. [Google Scholar] [CrossRef]
- Guglielmo, C.G.; Williams, T.D.; Zwingelstein, G.; Brichon, G.; Weber, J.M. Plasma and muscle phospholipids are involved in the metabolic response to long-distance migration in a shorebird. J. Comp. Physiol. B 2002, 172, 409–417. [Google Scholar] [CrossRef] [PubMed]
- Duarte, J.A.; Carvalho, G.F.; Pearson, M.; Horton, J.D.; Browning, J.D.; Jones, J.G.; Burgess, S.C. A high-fat diet suppresses de novo lipogenesis and desaturation but not elongation and triglyceride synthesis in mice. J. Lipid Res. 2014, 55, 2541–2553. [Google Scholar] [CrossRef] [PubMed]
- Pierce, B.J.; Mcwilliams, S.R. Seasonal changes in composition of lipids stores in migratory birds: Causes and consequences. Condor 2005, 107, 269–279. [Google Scholar] [CrossRef]
- Blem, C.R. Avian energy storage. Curr. Ornithol. 1990, 7, 59–113. [Google Scholar]
- Driedzic, W.R.; Crowe, K.L.; Hicklin, P.W.; Sephton, D.H. Adaptations in pectoralis muscle, heart mass, and energy metabolism during premigratory fattening in Semipalmated Sandpipers (Calidris pusilla). Can. J. Zool. 1993, 71, 1602–1608. [Google Scholar] [CrossRef]
- Banerjee, S.; Chaturvedi, C.M. Migratory preparation associated alterations in pectoralis muscle biochemistry and proteome in Palearctic–Indian emberizid migratory finch, Red-headed Bunting, Emberiza bruniceps. J. Comp. Physiol. D 2016, 17, 9–25. [Google Scholar] [CrossRef]
- Yohannes, E.; Biebach, H.; Nikolaus, G.; Pearson, D.J. Passerine migration strategies and body mass variation along geographic sectors across East Africa, the Middle East and the Arabian Peninsula. J. Ornithol. 2009, 150, 369. [Google Scholar] [CrossRef][Green Version]
- Bairlein, F.; Fritz, J.; Scope, A.; Schwendenwein, I.; Stanclova, G.; van Dijk, G.; Meijer, H.A.J.; Verhulst, S.; Dittam, J. Energy expenditure and metabolic changes of free-flying migrating Northern Bald Ibis. PLoS ONE 2015, 10, e0134433. [Google Scholar] [CrossRef]
- Jenni, L.; Jenni-Eiermann, S. Fuel supply and metabolic constraints in migrating birds. J. Avian Biol. 1998, 29, 521–528. [Google Scholar] [CrossRef]
- Bayly, N. Extreme fattening by Sedge Warblers, Acrocephalus schoenobaenus, is not triggered by food availability alone. Ani. Behav 2007, 74, 471–479. [Google Scholar] [CrossRef]
- Villarán, A. Cettia cetti. Rev. Catalanes 2000, 17, 1–9. [Google Scholar]
- Nichols, D.S. Prokaryotes and the input of polyunsaturated fatty acids to the marine food web. FEMS Microbiol. Lett. 2003, 219, 1–7. [Google Scholar] [CrossRef]
- Wang, S.W.; Iverson, S.J.; Springer, A.M.; Hatch, S.A. Fatty acid signatures of stomach oil and adipose tissue of Northern Fulmars (Fulmarus glacialis) in Alaska: Implications for diet analysis of Procellariiform birds. J. Comp. Physiol. B 2007, 177, 893–903. [Google Scholar] [CrossRef]
- Weber, J.M. The physiology of long-distance migration: Extending the limits of endurance metabolism. J. Exp. Biol. 2009, 212, 593–597. [Google Scholar] [CrossRef] [PubMed]
- Maillet, D.; Weber, J.M. Relationship between n-3 PUFA content and energy metabolism in the flight muscles of a migrating shorebird: Evidence for natural doping. J. Exp. Biol. 2007, 21, 413–420. [Google Scholar] [CrossRef] [PubMed]
- Price, E.R.; Guglielmo, C.G. The effect of muscle phospholipid fatty acid composition on exercise performance: A direct test in the migratory White- throated Sparrow (Zonotrichia albicollis). Am. J. Physiol. 2009, 297, R775–R782. [Google Scholar] [CrossRef] [PubMed]
- Dick, M.F.; Guglielmo, C.G. Dietary polyunsaturated fatty acids influence flight muscle oxidative capacity but not endurance flight performance in a migratory songbird. Am. J. Physiol. 2019, 316, R362–R375. [Google Scholar] [CrossRef] [PubMed]
- Pierce, B.J.; McWilliams, S.R. The fat of the matter: How dietary fatty acids can affect exercise performance. Integr. Comp. Biol. 2014, 54, 903–912. [Google Scholar] [CrossRef] [PubMed]
- Mustonem, A.M.; Pyykonen, T.; Paakkonen, T.; Ryokkynen, A.; Asikainen, J.; Aho, J.; Mononen, J.; Nieminen, P. Adaptations to fasting in the American mink (Mustela vison): Carbohydrate and lipid metabolism. J. Comp. Physiol. A 2005, 140, 195–202. [Google Scholar] [CrossRef]





| Eurasian Reed Warbler (N = 321) | Sedge Warbler (N = 141) | |||||
|---|---|---|---|---|---|---|
| Spring Migration | TRIG + GLY Field (103) | TRIG + GLY Lab (0) | GLUC Field (81) | TRIG + GLY Field (17) | TRIG + GLY Lab (0) | GLUC Field (15) |
| Post-flying fasting | 35 | 0 | 41 | 5 | 0 | 5 |
| Non-fasting | 68 | 0 | 40 | 12 | 0 | 10 |
| Autumn Migration | TRIG + GLY Field (86) | TRIG + GLY Lab (16) | GLUC Field (51) | TRIG + GLY Field (59) | TRIG + GLY Lab (10) | GLUC Field (50) |
| Post-flying fasting | 25 | 16 | 31 | 19 | 10 | 19 |
| Non-fasting | 61 | 0 | 20 | 40 | 0 | 31 |
| Eurasian Reed Warbler (N = 10) | Sedge Warbler (N = 10) | |
|---|---|---|
| % SFA | 40.5 ± 3.3 | 31.1 ± 1.8 * |
| % UFA | 59.5 ± 3.3 | 69.0 ± 1.8 * |
| % PUFA | 16.1 ± 1.5 | 21.7 ± 1.8 * |
| % MUFA | 42.6 ± 2.4 | 47.3 ± 2.0 |
| % n-3 FA | 0.02 ± 0.01 | 0.04 ± 0.04 |
Publisher’s Note: MDPI stays neutral with regard to jurisdictional claims in published maps and institutional affiliations. |
© 2022 by the authors. Licensee MDPI, Basel, Switzerland. This article is an open access article distributed under the terms and conditions of the Creative Commons Attribution (CC BY) license (https://creativecommons.org/licenses/by/4.0/).
Share and Cite
Araújo, P.M.; Viegas, I.; Da Silva, L.P.; Lopes, P.B.; Tavares, L.C.; Ramos, J.A. Blood Metabolites and Profiling Stored Adipose Tissue Reveal the Differential Migratory Strategies of Eurasian Reed and Sedge Warblers. Birds 2022, 3, 359-373. https://doi.org/10.3390/birds3040024
Araújo PM, Viegas I, Da Silva LP, Lopes PB, Tavares LC, Ramos JA. Blood Metabolites and Profiling Stored Adipose Tissue Reveal the Differential Migratory Strategies of Eurasian Reed and Sedge Warblers. Birds. 2022; 3(4):359-373. https://doi.org/10.3390/birds3040024
Chicago/Turabian StyleAraújo, Pedro M., Ivan Viegas, Luis P. Da Silva, Pedro B. Lopes, Ludgero C. Tavares, and Jaime A. Ramos. 2022. "Blood Metabolites and Profiling Stored Adipose Tissue Reveal the Differential Migratory Strategies of Eurasian Reed and Sedge Warblers" Birds 3, no. 4: 359-373. https://doi.org/10.3390/birds3040024
APA StyleAraújo, P. M., Viegas, I., Da Silva, L. P., Lopes, P. B., Tavares, L. C., & Ramos, J. A. (2022). Blood Metabolites and Profiling Stored Adipose Tissue Reveal the Differential Migratory Strategies of Eurasian Reed and Sedge Warblers. Birds, 3(4), 359-373. https://doi.org/10.3390/birds3040024

