Identification of Serum Cytokine Biomarkers Associated with Multidrug Resistant Tuberculosis (MDR-TB)
Abstract
1. Introduction
2. Materials and Methods
2.1. Study Participants and Sampling
2.2. Quantification of Serum Cytokines
2.3. Statistical Analysis
3. Results
3.1. Characteristics of Participants
3.2. Analyzing Biosignatures of Patients with MDR-TB and DS-TB
3.3. Ability of Cytokine Responses to Discriminate between Groups
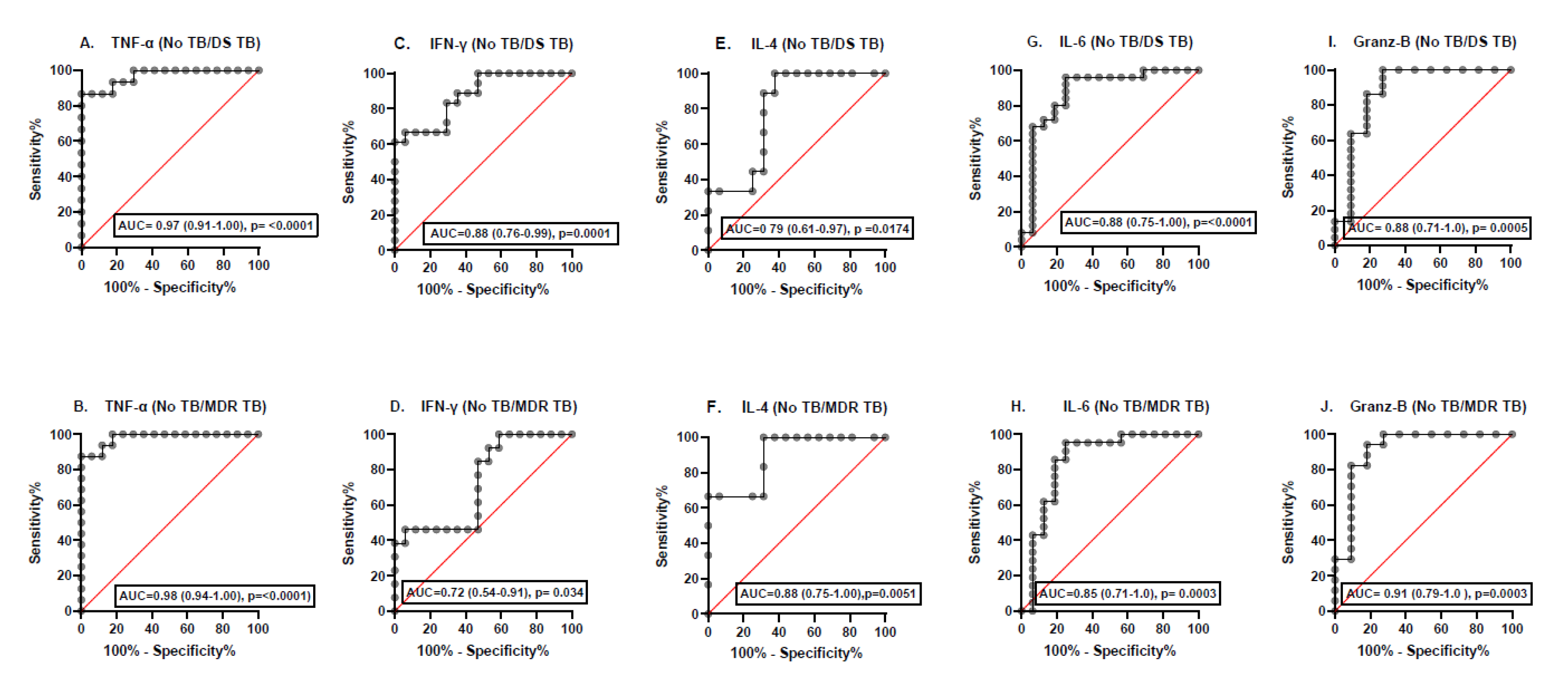
3.4. Receiver Operating Characteristic (ROC) Analyses
3.5. Correlation between the Eight Serum Cytokines
4. Discussion
5. Conclusions
Author Contributions
Funding
Informed Consent Statement
Data Availability Statement
Acknowledgments
Conflicts of Interest
References
- Gandhi, N.R.; Nunn, P.; Dheda, K.; Schaaf, H.S.; Zignol, M.; van Soolingen, D.; Jensen, P.; Bayona, J. Multidrug-resistant and extensively drug-resistant tuberculosis: A threat to global control of tuberculosis. Lancet 2010, 375, 1830–1843. [Google Scholar] [CrossRef]
- Diandé, S.; Sangaré, L.; Kouanda, S.; Dingtoumda, B.I.; Mourfou, A.; Ouédraogo, F.; Sawadogo, I.; Nébié, B.; Gueye, A.; Sawadogo, L.T.; et al. Risk factors for multidrug-resistant tuberculosis in four centers in Burkina Faso, West Africa. Microb. Drug Resist. 2009, 15, 217–221. [Google Scholar] [CrossRef] [PubMed]
- WHO. Global Tuberculosis Report. 2019. Available online: https://www.who.int/teams/global-tuberculosis-programme/tb-reports/global-report-2019 (accessed on 20 June 2021).
- Putra, I.W.G.A.E.; Kurniasari, N.M.D.; Dewi, N.P.E.P.; Suarjana, I.K.; Duana, I.M.K.; Mulyawan, I.K.H.; Riono, P.; Alisjahbana, B.; Probandari, A.; Notobroto, H.B.; et al. The implementation of early detection in tuberculosis contact investigation to improve case finding. J. Epidemiol. Glob. Health 2019, 9, 191. [Google Scholar] [CrossRef]
- Boakye-Appiah, J.K.; Steinmetz, A.R.; Pupulampu, P.; Ofori-Yirenkyi, S.; Tetteh, I.; Frimpong, M.; Oppong, P.; Opare-Sem, O.; Norman, B.R.; Stienstra, Y.; et al. High prevalence of multidrug-resistant tuberculosis among patients with rifampicin resistance using GeneXpert Mycobacterium tuberculosis/rifampicin in Ghana. Int. J. Mycobacteriology 2016, 5, 226–230. [Google Scholar] [CrossRef]
- Cliff, J.M.; Lee, J.-S.; Constantinou, N.; Cho, J.-E.; Clark, T.G.; Ronacher, K.; King, E.C.; Lukey, P.T.; Duncan, K.; Van Helden, P.D.; et al. Distinct phases of blood gene expression pattern through tuberculosis treatment reflect modulation of the humoral immune response. J. Infect. Dis. 2012, 207, 18–29. [Google Scholar] [CrossRef]
- Denkinger, C.M.; Pai, M.; Patel, M.; Menzies, D. Gamma interferon release assay for monitoring of treatment response for active tuberculosis: An explosion in the spaghetti factory. J. Clin. Microbiol. 2013, 51, 607–610. [Google Scholar] [CrossRef] [PubMed][Green Version]
- Butov, D.; Kuzhko, M.M.; Makeeva, N.I.; Butova, T.; Stepanenko, H.L.; Dudnyk, A.B. Association of interleukins genes polymorphisms with multi-drug resistant tuberculosis in Ukrainian population. Adv. Respir. Med. 2016, 84, 168–173. [Google Scholar] [CrossRef] [PubMed]
- Domingo-Gonzalez, R.; Prince, O.; Cooper, A.; Khader, S.A. Cytokines and chemokines in Mycobacterium tuberculosis infection. Microbiol. Spectr. 2016, 4, 4–5. [Google Scholar] [CrossRef]
- Djoba Siawaya, J.F.; Beyers, N.; Van Helden, P.; Walzl, G. Differential cytokine secretion and early treatment response in patients with pulmonary tuberculosis. Clin. Exp. Immunol. 2009, 156, 69–77. [Google Scholar] [CrossRef] [PubMed]
- Tan, Q.; Xie, W.P.; Min, R.; Dai, G.Q.; Xu, C.-C.; Pan, H.Q.; Miao, C.D.; Yang, Z.; Xu, W.G.; Wang, H. Characterization of Th1- and Th2-type immune response in human multidrug-resistant tuberculosis. Eur. J. Clin. Microbiol. Infect. Dis. 2011, 31, 1233–1242. [Google Scholar] [CrossRef]
- Flynn, J.L.; Chan, J.; Triebold, K.J.; Dalton, D.K.; Stewart, T.A.; Bloom, B.R. An essential role for interferon gamma in resistance to Mycobacterium tuberculosis infection. J. Exp. Med. 1993, 178, 2249–2254. [Google Scholar] [CrossRef]
- Sauzullo, I.; Mengoni, F.; Lichtner, M.; Massetti, A.P.; Rossi, R.; Iannetta, M.; Marocco, R.; Del Borgo, C.; Soscia, F.; Vullo, V.; et al. In vivo and in vitro effects of antituberculosis treatment on mycobacterial interferon-γ T cell response. PLoS ONE 2009, 4, e5187. [Google Scholar] [CrossRef][Green Version]
- Bafica, A.; Scanga, C.A.; Feng, C.; Leifer, C.; Cheever, A.; Sher, A. TLR9 regulates Th1 responses and cooperates with TLR2 in mediating optimal resistance to Mycobacterium tuberculosis. J. Exp. Med. 2005, 202, 1715–1724. [Google Scholar] [CrossRef]
- Adekambi, T.; Ibegbu, C.C.; Cagle, S.; Kalokhe, A.S.; Wang, Y.F.; Hu, Y.; Day, C.L.; Ray, S.M.; Rengarajan, J. Biomarkers on patient T cells diagnose active tuberculosis and monitor treatment response. J. Clin. Investig. 2015, 125, 1827–1838. [Google Scholar] [CrossRef]
- Jacobs, R.; Malherbe, S.; Loxton, A.; Stanley, K.; van der Spuy, G.; Walzl, G.; Chegou, N.N. Identification of novel host biomarkers in plasma as candidates for the immunodiagnosis of tuberculosis disease and monitoring of tuberculosis treatment response. Oncotarget 2016, 7, 57581–57592. [Google Scholar] [CrossRef] [PubMed]
- Kellar, K.L.; Gehrke, J.; Weis, S.E.; Mahmutovic-Mayhew, A.; Davila, B.; Zajdowicz, M.J.; Scarborough, R.; LoBue, P.A.; Lardizabal, A.A.; Daley, C.L.; et al. Multiple cytokines are released when blood from patients with tuberculosis is stimulated with Mycobacterium tuberculosis antigens. PLoS ONE 2011, 6, e26545. [Google Scholar] [CrossRef] [PubMed]
- Moideen, K.; Kumar, N.P.; Bethunaickan, R.; Banurekha, V.V.; Nair, D.; Babu, S. Heightened systemic levels of anti-inflammatory cytokines in pulmonary tuberculosis and alterations following anti-tuberculosis treatment. Cytokine 2020, 127, 154929. [Google Scholar] [CrossRef] [PubMed]
- Cavalcanti, Y.V.N.; Brelaz, M.C.A.; Neves, J.K.D.A.L.; Ferraz, J.C.; Pereira, V.R.A. Role of TNF-alpha, IFN-gamma, and IL-10 in the development of pulmonary tuberculosis. Pulm. Med. 2012, 2012, 745483. [Google Scholar] [CrossRef] [PubMed]
- Fortes, A.; Pereira, K.; Antas, P.R.Z.; Franken, C.L.M.C.; Dalcolmo, M.; Ribeiro-Carvalho, M.M.; Sampaio, E.P. Detection of in vitro interferon-γ and serum tumour necrosis factor-α in multidrug-resistant tuberculosis patients. Clin. Exp. Immunol. 2005, 141, 541–548. [Google Scholar] [CrossRef]
- Ferreira, C.M.; Barbosa, A.M.; Barreira-Silva, P.; Silvestre, R.; Cunha, C.; Carvalho, A.; Rodrigues, F.; Correia-Neves, M.; Castro, A.G.; Torrado, E. Early IL-10 promotes vasculature-associated CD4+ T cells unable to control Mycobacterium tuberculosis infection. JCI Insight 2021. [Google Scholar] [CrossRef]
- Geffner, L.; Yokobori, N.; Basile, J.; Schierloh, P.; Balboa, L.; Romero, M.M.; Ritacco, V.; Vescovo, M.; Montaner, P.G.; Lopez, B.; et al. Patients with multidrug-resistant tuberculosis display impaired Th1 responses and enhanced regulatory t-cell levels in response to an outbreak of multidrug-resistant Mycobacterium tuberculosis M and Ra strains. Infect. Immun. 2009, 77, 5025–5034. [Google Scholar] [CrossRef]
- Ashenafi, S.; Aderaye, G.; Bekele, A.; Zewdie, M.; Aseffa, G.; Hoang, A.T.N.; Carow, B.; Habtamu, M.; Wijkander, M.; Rottenberg, M.; et al. Progression of clinical tuberculosis is associated with a Th2 immune response signature in combination with elevated levels of SOCS3. Clin. Immunol. 2014, 151, 84–99. [Google Scholar] [CrossRef]
- Scriba, T.J.; Netea, M.G.; Ginsberg, A.M. Key recent advances in TB vaccine development and understanding of protective immune responses against Mycobacterium tuberculosis. Semin. Immunol. 2020, 50, 101431. [Google Scholar] [CrossRef]
- Shahemabadi, A.S.; Hosseini, A.Z.; Shaghsempour, S.; Masjedi, M.R.; Rayani, M.; Pouramiri, M. "Evaluation of T cell immune responses in multi-drug-resistant tuberculosis (MDR-TB) patients to Mycobacterium tuberculosis total lipid antigens. Clin. Exp. Immunol. 2007, 149, 285–294. [Google Scholar] [CrossRef] [PubMed]
- Lim, H.-J.; Park, J.S.; Cho, Y.-J.; Yoon, H.I.; Park, K.U.; Lee, C.-T.; Lee, J.H. CD4+FoxP3+ T regulatory cells in drug-susceptible and multidrug-resistant tuberculosis. Tuberculosis 2013, 93, 523–528. [Google Scholar] [CrossRef] [PubMed]
- Larson, R.P.; Shafiani, S.; Urdahl, K.B. Foxp3+ regulatory T cells in tuberculosis. In The New Paradigm of Immunity to Tuberculosis; Springer: New York, NY, USA, 2013; pp. 165–180. [Google Scholar]
- Hall, A.M.; Ward, F.J.; Vickers, M.A.; Stott, L.-M.; Urbaniak, S.J.; Barker, R.N. Interleukin-10–mediated regulatory T-cell responses to epitopes on a human red blood cell autoantigen. Blood J. Am. Soc. Hematol. 2002, 100, 4529–4536. [Google Scholar] [CrossRef] [PubMed]
- da Silva, M.V.; Tiburcio, M.G.S.; Machado, J.R.; Silva, D.A.A.; Rodrigues, D.B.R.; Rodrigues, V.; Oliveira, C.J.F. Complexity and controversies over the cytokine profiles of T helper cell subpopulations in tuberculosis. J. Immunol. Res. 2015, 2015, 639107. [Google Scholar] [CrossRef]
- Jankovic, D.; Trinchieri, G. IL-10 or not IL-10: That is the question. Nat. Immunol. 2007, 8, 1281–1283. [Google Scholar] [CrossRef] [PubMed]
- Fatima, N.; Shameem, M.; Nabeela; Khan, H. M. Changes in serum levels of TNF-α & IL-4 among New, under-treatment & MDR TB patients. Microbiol. Res. J. Int. 2015, 7, 159–166. [Google Scholar]
- Leem, A.Y.; Song, J.H.; Lee, E.H.; Lee, H.; Sim, B.; Kim, S.Y.; Chung, K.S.; Kim, E.Y.; Jung, J.Y.; Park, M.S.; et al. Changes in cytokine responses to TB antigens ESAT-6, CFP-10 and TB 7.7 and inflammatory markers in peripheral blood during therapy. Sci. Rep. 2018, 8, 1159. [Google Scholar] [CrossRef]
- Soto, G.F.F.; Cedeño, N.V.; de Fernández, C.A.; Lascano, P.P.; Nieto, M.F.; Ron, M.T.P. Mycobacterium tuberculosis infection: Participation of TH1, TH2, TH17 and regulatory T cells in the immune response. Acta Med. Iran. 2018, 56, 484–493. [Google Scholar]
- Sharma, S.; Bose, M. Role of cytokines in immune response to pulmonary tuberculosis. Asian Pac. J. Allergy Immunol. 2001, 19, 213. [Google Scholar] [PubMed]



| Variables | MDR-TB n (%) | DS-TB | Chi-square | p-value |
|---|---|---|---|---|
| Sex | ||||
| Female | 9(42.9) | 15(60) | 1.3 | 0.253 |
| Male | 12(57.1) | 10(40) | ||
| Educational level | ||||
| Primary | 5(23.8) | 4(16) | ||
| Junior High | 6(28.6) | 8(32) | 2.4 | 0.085 |
| Senior High | 2(9.5) | 1(4) | ||
| Tertiary | 0(0) | 1(4) | ||
| None | 8(38.1) | 11(44) | ||
| Occupation | ||||
| Skilled | 2(9.5) | 4(16) | ||
| Unskilled | 9(42.9) | 9(36) | 5.8 | 0.463 |
| Retired | 1(4.8) | 2(8) | ||
| Unable to work | 9(42.9) | 10(40) | ||
| Marital status | ||||
| Married | 11(52.4) | 6(24) | ||
| Separated | 2(9.5) | 3(12) | 7 | 0.221 |
| Divorced | 5(23.8) | 14(56) | ||
| Never married | 3(14.3) | 2(8) | ||
| Smokes? | ||||
| Yes | 3(14.3) | 9(36) | 12.4 | 0.002 |
| No | 18(85.7) | 16(64) | ||
| Drinks alcohol? | ||||
| Yes | 10(47.6) | 15(60) | 4.5 | 0.301 |
| No | 11(52.4) | 10(40) | ||
| Under Dots? | ||||
| Yes | 18(85.7) | 8(32) | 13.6 | 0.001 |
| No | 3(14.3) | 17(68) | ||
| Previous TB history | ||||
| Yes | 21(100) | 2(8) | 16.8 | 0.0001 |
| No | 0(0) | 23(92) | ||
| Previous TB treatment | ||||
| Yes | 21(100) | 1(4) | 16.4 | 0.0002 |
| No | 0(0) | 24(96) |
Publisher’s Note: MDPI stays neutral with regard to jurisdictional claims in published maps and institutional affiliations. |
© 2021 by the authors. Licensee MDPI, Basel, Switzerland. This article is an open access article distributed under the terms and conditions of the Creative Commons Attribution (CC BY) license (https://creativecommons.org/licenses/by/4.0/).
Share and Cite
Mensah, G.I.; Boakye, A.N.; Basingnaa, A.; Owusu, E.; Antwi-Baffour, S.; Ofori, M.F.; Addo, K.K.; Jackson-Sillah, D.; Adekambi, T. Identification of Serum Cytokine Biomarkers Associated with Multidrug Resistant Tuberculosis (MDR-TB). Immuno 2021, 1, 400-409. https://doi.org/10.3390/immuno1040028
Mensah GI, Boakye AN, Basingnaa A, Owusu E, Antwi-Baffour S, Ofori MF, Addo KK, Jackson-Sillah D, Adekambi T. Identification of Serum Cytokine Biomarkers Associated with Multidrug Resistant Tuberculosis (MDR-TB). Immuno. 2021; 1(4):400-409. https://doi.org/10.3390/immuno1040028
Chicago/Turabian StyleMensah, Gloria Ivy, Alahaman Nana Boakye, Anthony Basingnaa, Enid Owusu, Samuel Antwi-Baffour, Michael Fokuo Ofori, Kennedy Kwasi Addo, Dolly Jackson-Sillah, and Toidi Adekambi. 2021. "Identification of Serum Cytokine Biomarkers Associated with Multidrug Resistant Tuberculosis (MDR-TB)" Immuno 1, no. 4: 400-409. https://doi.org/10.3390/immuno1040028
APA StyleMensah, G. I., Boakye, A. N., Basingnaa, A., Owusu, E., Antwi-Baffour, S., Ofori, M. F., Addo, K. K., Jackson-Sillah, D., & Adekambi, T. (2021). Identification of Serum Cytokine Biomarkers Associated with Multidrug Resistant Tuberculosis (MDR-TB). Immuno, 1(4), 400-409. https://doi.org/10.3390/immuno1040028

