Next Article in Journal
Efficacy of Naltrexone/Bupropion in Treatment of Binge Eating: A Systematic Review and Meta-Analysis
Previous Article in Journal
Night Eating Syndrome: A Review of Etiology, Assessment, and Suggestions for Clinical Treatment
 
 
Font Type:
Arial Georgia Verdana
Font Size:
Aa Aa Aa
Line Spacing:
Column Width:
Background:
Article

Exploring the Interplay between Family History of Depression, Negative Life Events, and Social Support in First-Episode Major Depression: Insights from a Pilot Case-Control Study

by
Andrei Gabriel Mangalagiu
1,*,
Sorin Riga
2,3 and
Octavian Vasiliu
1
1
Department of Psychiatry, «Dr. Carol Davila» University Emergency Central Military Hospital, 010825 Bucharest, Romania
2
Department of Stress Research and Prophylaxis, “Prof. Dr. Alexandru Obregia” Clinical Hospital of Psychiatry, 041914 Bucharest, Romania
3
Romanian Academy of Medical Sciences, 927180 Bucharest, Romania
*
Author to whom correspondence should be addressed.
Psychiatry Int. 2024, 5(3), 305-322; https://doi.org/10.3390/psychiatryint5030021
Submission received: 19 February 2024 / Revised: 18 June 2024 / Accepted: 21 June 2024 / Published: 26 June 2024

Abstract

Although the intricate network of interactions between vulnerability, resilience, and precipitating factors in a first episode of major depression (FEMD) has been investigated from many psychological, social, and neurobiological perspectives, a definitive model that encompasses all these elements is still far from being validated. Integrated into this exploratory approach, the current pilot project examines the influence of social support, life events, and family history of major depression disorder (MDD) on FEMD, providing insights for larger-scale research. The study included 40 participants, 20 with FEMD and 20 age- and gender-matched controls, and examined characteristics of MDD, perceived social support, family history, and stressful life events. The results showed that a higher rate of negative life events increased depression risk, but better social support decreased this risk. The family history of MDD did not predict depression onset, nor did life event exposure affect treatment response, but these results may be related to the small study sample. In conclusion, social support protects against significant depression and unpleasant life experiences, according to this pilot study. Future research should use larger, diverse samples and longitudinal designs to better understand depression’s etiology and improve prevention and therapy.

1. Introduction

Depression is a major global cause of impairment that affects millions of people regardless of their cultural, economic, or geographic background [1,2]. Its effects go beyond personal suffering by impacting families, communities, and international health systems. It is accompanied by enduring depressed mood, loss of interest, and a variety of physical and mental symptoms [3]. The etiology of depression is complex and involves a range of biological, psychological, and social variables [4]. As a result, understanding and treating this widespread mental health issue can be difficult [5,6]. Because of this intricacy, research must take an integrative approach, examining not just the biological foundations but also the interactions between genetic and environmental factors [7,8].

1.1. Background on Depression

Depression manifests clinically in a variety of ways, ranging from mild, transitory episodes to severe, chronic illnesses that considerably impede daily functioning [7]. It has far-reaching social consequences, frequently resulting in diminished productivity, damaged relationships, and higher healthcare utilization [9]. Depression has an influence on economic systems and public health policy in addition to individual well-being [10].
Current research has made significant advances in our understanding of depression, yet gaps remain, notably in determining the complicated interaction of its causes. While pharmaceutical and psychological treatments help many patients diagnosed with major depressive disorder (MDD), a significant number of people with depression do not react satisfactorily to available treatments [6,11,12,13].
In order to improve the quality of preventative and therapeutic measures, researchers have focused on identifying predictors and modifiable risk factors for depression. Among these, the study of genetic predispositions, life experiences, and the role of social support has gained popularity [14]. Understanding these characteristics helps not only to identify at-risk individuals but also to establish more focused, effective treatment modalities [14].

1.2. Diathesis–Stress Model

The diathesis–stress paradigm provides an appealing framework for comprehending depression’s multifaceted character. According to this paradigm, MDD is caused by the interplay of an individual’s innate susceptibility (diathesis) and external stressors. In this context, diathesis is defined by genetic vulnerability factors, such as those found in a family history of depression [15]. These genetic variables enhance the probability of developing the disorder but do not predetermine it [16].
Environmental variables, such as negative life events and a lack of social support, can operate as stressors, triggering or exacerbating depressive episodes in people who are predisposed [12]. This model emphasizes the importance of both inherited and experienced factors in the development of depression, going beyond the concept of depression as a mainly hereditary or environmental outcome [17]. It underlines the dynamic interaction in which various life experiences may have a greater influence on individuals with a certain genetic background, impacting the development, severity, and duration of depression [18]. Understanding this interaction is critical for creating more tailored and effective interventions, especially for persons at high risk, given their familial history of disorder.

1.3. Importance of Family History

A family history of depression is an important factor in determining individual risk profiles. It is a composite indicator of genetic susceptibility that reflects the combined influence of many different genes linked to depression [19]. This genetic susceptibility, when combined with a shared familial environment, offers a new viewpoint on an individual’s susceptibility to depression [20]. Individuals with a family history of depression are at a higher risk for developing MDD, according to available data in the literature, not only because of shared genetic characteristics but also because of common environmental stressors within familial settings [21]. The study of family history goes beyond identifying single genetic markers, providing a more complete picture of risks that includes gene-environment interactions [22]. Assessing family history in the context of MDD aids in identifying high-risk populations, allowing for early intervention strategies [23]. It also contributes to a better understanding of the complicated etiology of depression, in which genetic predisposition combines with life events to impact mental health outcomes [24].
When discussing genetic predisposition to depression, it is critical to consider the role of environmental factors, specifically how individuals’ exposure to stressful life events is influenced by both their personal and family history. According to Adler et al. (1994) and Lantz et al. (2005), socioeconomic status, a key aspect of one’s environment, can have a significant impact on the nature and frequency of these stressors [25]. Cohen et al. (2019) expand on this point by demonstrating how individual and familial socioeconomic contexts can shape stress exposure, thereby influencing depression risk [26]. This intersection of genetic susceptibility and exposure to environmental stress, particularly in the context of family history, highlights the complex dynamics at work in the development of depression [26].

1.4. Role of Life Events and Social Support

In the diathesis–stress hypothesis of depression, life events and social support are critical environmental determinants. Significant life experiences, particularly traumatic or stressful ones, might act as important MDD triggers in people who are susceptible [27]. These events’ type, severity, and timing can all have a major impact on the onset and course of depressive episodes [28]. Meanwhile, social support has a double role: it can buffer the impact of stressful life events and reduce the likelihood of depression, or it might aggravate vulnerabilities if absent [29]. Strong social networks and supportive interactions have been found in studies to be protective against the onset and severity of depression [30,31]. This emphasizes the need to take these factors into account in both research and therapeutic practice and the need for a comprehensive knowledge of how social dynamics and life experiences interact with individual vulnerabilities to impact mental health outcomes [32,33].

1.5. Impact of Negative Life Events on Treatment Outcomes

An examination of how life events influence treatment responses in individuals with recurrent MDD was carried out in 1992 by Monroe et al. [34]. Through the examination of patient data both before and throughout the first six weeks of therapy, they discovered that significant stresses and unfavorable life events may function as markers of a less favorable prognosis for therapy, therefore prolonging the time required for treatment response. These findings emphasize the importance of conducting a complete and early stress evaluation in order to improve the precision of the treatment’s results prediction [34].
Additionally, the effect of major life events on the effectiveness of MDD treatment was investigated in a comprehensive meta-analysis incorporating data from six randomized controlled trials comprising 2858 adult primary care patients [35]. Interestingly, life events, including interpersonal disputes and unemployment, were linked to poorer therapeutic outcomes [35].
This highlights the significance of incorporating such social variables into case management and clinical research. An in-depth understanding of how societal dynamics, life experiences, and personal vulnerability factors interact is essential for influencing mental health outcomes [31].

1.6. Aim and Objectives

The aim of this pilot project was to explore the interaction between genetic and environmental factors in patients with a first episode of major depression.
More specifically, the objectives of this phase, which consists of 20 cases and 20 controls, were the following: (1) to analyze psychosocial profiles, i.e., to compare family history, life events, and social support between groups to uncover psychosocial factors potentially influencing depression onset; (2) to identify risk indicators, meaning that by examining patterns in the depression group, we aim to pinpoint specific psychosocial risk factors; (3) to assess treatment responses: linking treatment responses to psychosocial profiles among cases will provide early insights into personalizing treatment approaches; (4) to evaluate methodology: testing the effectiveness and practicality of our data collection and measurement tools will refine our methods for future research; and (5) to develop preliminary hypotheses, focused on gaining insights on how to guide hypothesis formulation for the comprehensive study, particularly regarding the diathesis–stress model’s role in MDD.
This pilot project will thus establish a foundational basis for the larger study, focusing on the intricate relationship between life events, genetic predispositions, and treatment responses in depression.

2. Materials and Methods

2.1. Study Design

This pilot case-control study, conducted at the Psychiatric Department of “Carol Davila” Central University Military Emergency Hospital, sought to evaluate the feasibility of recruitment procedures and the effectiveness of diverse assessment instruments in preparation for a forthcoming, larger-scale investigation.
The primary focus of the upcoming study will be to explore the intricate relationship between the first episode of major depression (FEMD) and various contributing factors, including social support, familial history of depression, and negative life events.
Additionally, it aims to scrutinize therapy responses among patients undergoing their first severe depressive episode, with a specific emphasis on elucidating the impact of life event exposure on these therapeutic outcomes.

2.2. Recruitment of Participants

Between February and July 2022, a total of 22 cases and 22 controls were enrolled for this study after 8 cases were excluded due to not meeting inclusion/exclusion criteria (Figure 1). The “cases” group consisted of people seeking treatment at the psychiatric department, who were going through severe FEMD and were treated with selective serotonin reuptake inhibitors (SSRIs). Hypnotics or sedatives were also allowed if needed, within the therapeutic range, according to the summary of product characteristics of each pharmacological agent. The “controls” were carefully selected from the general population after a rigorous screening procedure to ensure that they had no past history of mental illness. Both groups were individually matched with respect to sex and age, adhering to a stringent age difference criterion of ±2 years.
It is noteworthy that during the course of this study, two participants from the “cases” group withdrew their informed consent (unwillingness to participate in the follow-up visit, N = 1, and unspecified reason, N = 1). Consequently, their corresponding control participants were also excluded from the final analysis.
Participants experiencing their inaugural severe depressive episode were identified either through incident cases at our clinic or through referrals from our colleagues. Conversely, for the control group, recruitment efforts extended to individuals within the broader community, encompassing those participating in routine health assessments at various local health centers. This comprehensive recruitment strategy was devised to enhance the external validity of our findings by providing a more diverse and representative community sample.

2.3. Inclusion Criteria

For cases, the primary inclusion criterion for our study was “individuals presenting for the first time at a psychiatric facility, who had no prior history of psychiatric treatment, and were experiencing their initial severe depressive episode”. This diagnosis was confirmed through the Structured Clinical Interview for DSM IV Disorders (SCID-I), supplemented by a Hamilton Depression Rating Scale (HAM-D17) score of 24 or higher, to ensure the severity of the depressive episode.
For controls, the HAM-D17 score ≤ 7 was required, as well as the absence of psychiatric disorders in the personal history and lack of any Axis I diagnosis determined at the time of the interview.

2.4. Exclusion Criteria

For cases, exclusion criteria were the presence of any past manic or hypomanic episode in the patient’s history, including such episodes triggered by the use of antidepressants; the existence of uncontrolled acute or chronic medical conditions; and the emergence of psychotic symptoms, severe suicidal thoughts, or laboratory/imaging findings suggestive of an organic explanation for depressive symptoms. Additionally, a need to change the treatment before the follow-up visit due to worsening of symptomatology or tolerability or the introduction of other psychotropic medication (including antipsychotics or mood stabilizers) would lead to exclusion from the analysis of response to treatment at 6 weeks.
For controls, any history of psychiatric disorders or the presence of uncontrolled acute or chronic medical conditions were exclusionary criteria.

2.5. Assessment Tools and Administration

In the conducted study, unstructured interviews were utilized to assess demographic data, life events, and family history of depression. Additionally, a comprehensive evaluation encompassing the Multidimensional Scale of Perceived Social Support (MSPSS), HAM-D17, Hamilton Anxiety Rating Scale (HAM-A), and Global Assessment of Functioning Scale (GAFS) was carried out.
After collecting the primary data, participants were instructed to fill out feedback surveys. The purpose of these questionnaires was to collect information about the participants’ level of comfort with the time it took to complete the study’s procedures, the clarity of the questions asked, and their opinions on how effective the unstructured interviews were in obtaining detailed information about life events and family history related to MDD. This stage was essential in evaluating the practicality and participant’s acceptance of our study approach.

2.6. Data Analysis

In our pilot case-control study, comprehensive data collection was conducted, including unstructured interviews and the use of various scales, such as HAM-D17, HAM-A, GAFS, and MSPSS. During these interviews, we gathered demographic data and information on a family history of major depressive disorder, noting its presence in first-degree relatives as either absent or present. Furthermore, the presence of negative life events was documented as occurring 6 months prior to the onset. Consistent with Zimmerman’s findings, we opted for a simple count of these events, as weighted scores generally do not significantly improve the stress–illness correlation [36].
The assessment process for each participant experiencing the first severe depressive episode was divided into two sessions. In the first session, the SCID-I was administered, which required approximately 60–90 min for diagnostic purposes. In the second session, an unstructured interview was conducted, taking around 45 min. Additionally, participants completed the MSPSS (5–10 min) and were administered HAM-D17 (20–30 min) and HAM-A (10–15 min) scales during this session.
This approach was designed with consideration for the comfort of the participants and the potential burden of their depressive symptoms. As a result, the overall time commitment for each participant ranged from a minimum of approximately 135 min (2 h and 15 min) to a maximum of around 180 min (3 h), depending on the scale administration duration.
All statistical analyses were performed using R software, version 4.3.2. We assessed the normality of baseline scores and of score changes after 6 weeks of treatment using the Shapiro–Wilk test. Based on these results, we applied Student’s t-tests for data with normal distributions and the Mann–Whitney U test or Wilcoxon signed-rank test for data not normally distributed. For the comparison of categorical data, we used Fisher’s exact test or the chi-square test, determined by the number of observations. Additionally, multiple logistic regression was utilized to investigate the relationship between case/control status and factors such as MSPSS scores, the number of negative events, and family history of MDD.
In our study, internal consistency of the scales was evaluated using Cronbach’s alpha, ensuring the reliability of our instruments. The HAM-D17, HAM-A, and MSPSS scales demonstrated good internal consistency, with Cronbach’s alpha values of 0.82 and 0.79 for HAM-D17 among controls and cases, respectively; 0.92 and 0.86 for HAM-A among controls and cases, respectively; and 0.78 and 0.83 for MSPSS among controls and cases, respectively. However, it is important to note that these results are subject to confirmation with a larger sample.

2.7. Follow-Up Procedures

Participants in the cases group were examined at the 6-week follow-up visit to determine their response to SSRI antidepressant medication. This evaluation used the HAM-D17 and the GAFS measures to estimate changes in depressive symptoms and overall functioning. An effective treatment response was defined as a 50% or higher reduction in HAM-D17 scores [37].
The major purpose of this research was to explore and compare treatment responses among participants exposed to life events against those not exposed, with the goal of analyzing the influence of life event exposure on treatment response at this time point.

2.8. Ethical Considerations

The study maintained all ethical standards, obtaining informed consent from all participants and ensuring confidentiality. Ethical approval was granted by the “Carol Davila” Central University Military Emergency Hospital Ethics Committee—approval number 549/10.02.2022. All procedures followed were in accordance with the ethical standards of the Helsinki Declaration of 1975, as revised in 2000. Measures to mitigate distress, such as providing support and allowing participant withdrawal, were implemented.

3. Results

3.1. Participant Demographics

This pilot study comprised 40 participants, evenly divided into cases (N = 20) and controls (N = 20). The average age for cases was 38.10 years (SD = 11.02), with a median of 35 years, while controls had an average age of 37.75 years (SD = 10.84), with a median of 35.5 years. Both groups were predominantly female, each comprising 80% women (Figure 2).
In our study, the age group of 26–35 years was the most represented among both cases and controls, accounting for 40% of cases and 33.3% of controls. The subsequent age groups, 36–45 and 46–55 years, were equally represented across both cohorts, each comprising one-third of the respective groups. The younger (18–25 years) and older (56–65 years) age brackets, while constituting smaller proportions, showed a balanced presence in both cases and controls) (Figure 3).
Regarding marital status, 75% of cases were married, with 25% being divorced or separated, while in controls, 80% were married, 15% were unmarried, and 5% were divorced/separated (Figure 3). Fisher’s exact test was applied to these distributions, yielding a p-value of 0.05864. While this result does not reach the conventional threshold for statistical significance, it approaches it closely, suggesting a potential trend in how marital status distributions might differ between cases and controls.
In our analysis of educational backgrounds among study participants, we observed a wide range of educational achievements in both cases and controls, notably including secondary and university levels. Utilizing Fisher’s exact test to assess differences across five educational levels—from less than 12 years of schooling to postgraduate studies—we found that the variations in educational attainment did not reach statistical significance (with p-values ranging from 0.1818 to 1.0 across the levels). Specifically, while the analysis indicated a potential variance at the high school/post-secondary education level (OR = 6.07226, p = 0.1818), this did not constitute a statistically significant association, suggesting that within the context of our study, educational background alone does not significantly differentiate between the case and control groups (Figure 4).
In our sample, employment rates were closely aligned between the groups, with 70% of cases and 75% of controls being employed. The similarity in employment rates was statistically examined using Pearson’s chi-squared test with Yates’ continuity correction, which confirmed no significant difference in occupational status between cases and controls (X-squared = 0, df = 1, p-value = 1), underscoring the non-discriminatory role of employment status across the study groups (Figure 5).

3.2. Clinical Scores and Treatment Response

For cases, the depressive symptoms were severe at the initial visit, i.e., HAM-D17 scores ≥24, while for controls, the inclusion criteria were a HAM-D17 score between 0 and 7, suggesting minimal to no depressive symptoms. The median baseline score for cases was 28 (SD = 3.34), which decreased to 12.5 (SD = 5.13) after 6 weeks of treatment. Given the non-normal distribution of score changes (Shapiro–Wilk p = 0.03415), the significant reduction was confirmed using the Wilcoxon signed-rank test (p-value < 0.0001) (Figure 6).
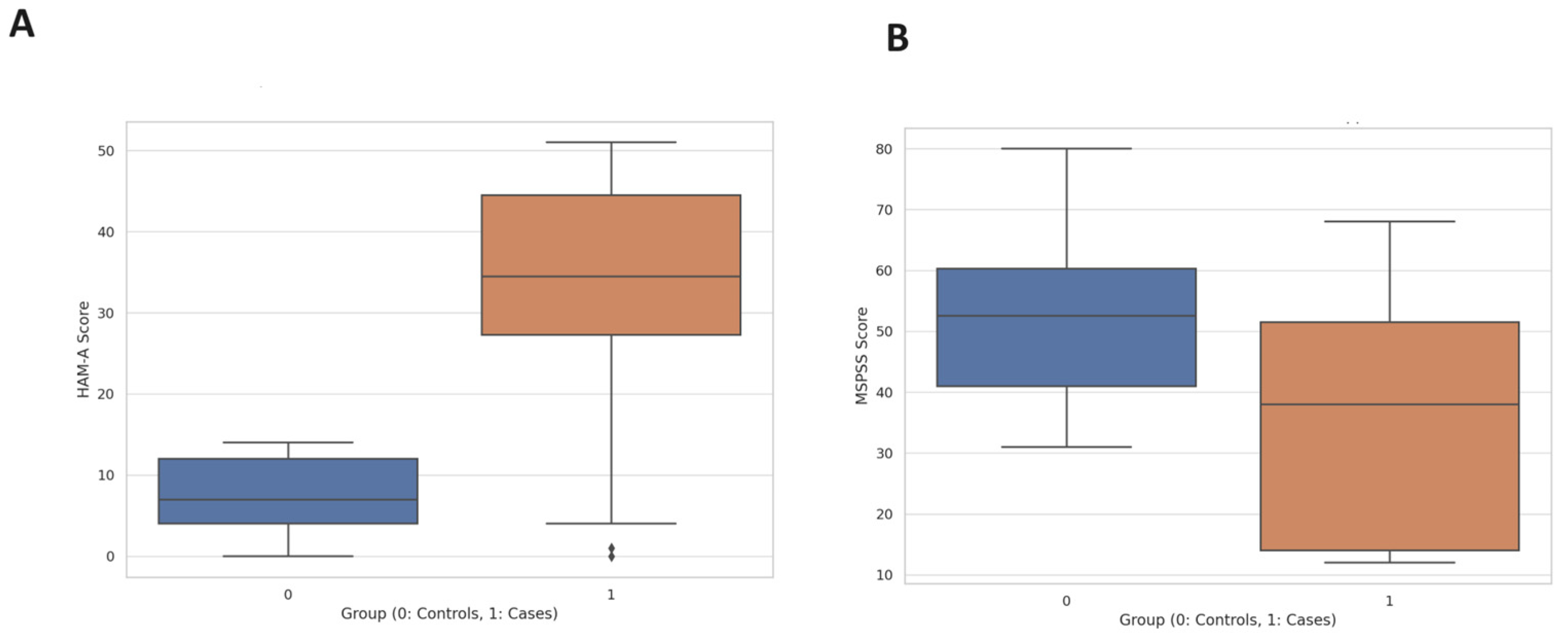
Anxiety symptoms, evaluated by HAM-A, were more severe initially for cases (median HAM-A score = 34.5, mean = 31.75, SD = 15.63) compared to controls (median = 7, mean = 7.95, SD = 4.63). The Shapiro–Wilk test revealed a non-normal distribution of HAM-A scores in cases (p = 0.02328), which led to using the Wilcoxon test, confirming a significant difference in anxiety levels between cases and controls (p < 0.0001) (Figure 7A). For social support (MSPSS), cases scored lower (mean 35.8, median 38, SD 18.70) than controls (mean 53.8, median 52.5, SD 13.67), with significant differences between groups (Wilcoxon p = 0.005074) (Figure 7B).
Functional assessment (GAFS) scores’ evolution showed a significant improvement among cases, with median GAFS scores increasing from 45 (SD = 3.62) to 74 (SD = 11.31) after 6 weeks of treatment. This improvement was statistically confirmed with a one-sample t-test (t = 12.563, df = 19, p-value < 0.00001), indicating a significant average increase of 29.25 points within a normal range of score changes (Shapiro–Wilk p = 0.6359) (Figure 8).

3.3. Life Events and Familial History of MDD

The cases reported a higher number of negative life events (mean = 0.50, SD = 0.61) than the controls (mean = 0.10, SD = 0.31). The observed difference is statistically significant (Wilcoxon rank sum test p = 0.01411) (Figure 9).
Additionally, a family history of MDD was more prevalent in cases (25%) than in controls (10%). The observed difference is not statistically significant—Fisher’s exact test for count data yielded a p-value of 0.4075 (Figure 10).

3.3.1. Analysis of Negative Life Events Patterns

In the analysis of negative life events, we aimed to identify patterns within these occurrences. The following were observed:
  • Personal security incidents—among individuals experiencing severe FEMD, two reported being victims of robbery, compared to one report in the control group.
  • Loss events—a participant from the control group reported the loss of a pet, whereas in the group with a severe depressive episode, the death of a close relative was reported.
  • Relationship breakdowns—in the severe depressive episode group, there was one report of a divorce and three instances of marital conflict. The control group did not report similar events.
  • Financial and employment challenges—exclusive to the severe depressive episode group were reports of financial difficulties, including the inability to pay debts and job loss.
These preliminary findings align with those of more comprehensive investigations concerning depression and are applicable to major life occurrences as well as episodes of severe depression. While personal security incidents are not explicitly investigated, they are categorized as stressful life events, which have been associated with an elevated susceptibility to depression (Kendler et al., 1995) [38,39]. Disruptions in relationships, including divorces and bereavement, particularly the death of a close relative, align with the notion that interpersonal “loss” plays a substantial role in the development of depression [17,38,39,40]. Financial and employment difficulties are “dependent” events that are more predictive of the onset of depression [39,40].

3.3.2. Analysis of Psychosocial Factors Influencing First Severe Depressive Episodes

In this preliminary analysis, we investigated factors associated with experiencing a first severe depressive episode using logistic regression. The analysis focused on the following predictors: MSPSS, family history of MDD, and negative life events (Table 1).

3.3.3. Preliminary Findings

MSPSS revealed a significant negative correlation with the likelihood of a severe FEMD, identified by an odds ratio (OR) of −0.92 and a p-value of 0.014. This finding implies that individuals with higher levels of perceived social support have a lower chance of experiencing such an episode. In contrast, having a family history of MDD did not show a significant association with the onset of a first severe depressive episode; the analysis resulted in an OR of 3.59 and a p-value of 0.239.
The statistical analysis showed a significant positive association between negative life events and the onset of FEMD, with an odds ratio (OR) of 15.29 (95% CI: 1.06 to 127.75) and a p-value of 0.012. The wide confidence interval around the odds ratio points to considerable uncertainty in the effect size, highlighting the necessity of interpreting these results with caution and underscoring the importance of further research to confirm these findings.
Regarding the preliminary model fit, the pseudo R-squared value was 0.375, which points to a moderate level of explanation provided by the model. The -2 log likelihood statistic was 34.676, reflecting how well the model fits the observed data.

3.4. Life Events Exposure and Treatment Response in First Severe Depressive Episode

Fisher’s exact test was employed to evaluate the relationship between exposure to life events and treatment response at 6 weeks among individuals experiencing their first severe depressive episode. This method was selected due to the small sample size of our study, providing a more accurate assessment in cases where data distribution in contingency tables is uneven. The analysis using Fisher’s exact test revealed an odds ratio of 0.7143 and a p-value of 1.0. The p-value indicates a high probability that any observed differences in treatment response between individuals exposed to negative life events and those not exposed could occur by chance, suggesting no statistically significant difference.
This outcome implies that within the context of this study, the categorization of exposure to life events does not significantly influence treatment response in individuals with their first severe depressive episode. However, it is important to consider the possibility of a more nuanced relationship between life events and treatment response, or the impact of other influential factors on treatment outcomes. The limitations of the study, particularly the relatively small sample size, should be acknowledged in the interpretation of these results.

3.5. Post Hoc Power Analysis

A post hoc power analysis was conducted using R for the Wilcoxon rank sum tests, Fisher’s exact test, and logistic regression with simulated data (1000 iterations based on our model coefficients). The Wilcoxon tests showed a power of 90.6% for MSPSS scores, indicating a high probability of detecting significant differences in social support between cases and controls. For life events, the power was 69.2%, suggesting a moderate probability of detecting differences in the number of negative life events between cases and controls, though below the commonly accepted threshold of 80%. The Fisher’s exact test for familial history of MDD had a low power of 13.7%, indicating insufficient power to detect significant associations. Logistic regression power analysis yielded 7.7% for MSPSS, 23.9% for familial history of MDD, and 84.3% for life events, indicating a high likelihood of detecting significant effects for life events but low likelihood for MSPSS and familial history of MDD.
Caution is warranted with post hoc power analyses, as they can be misleading by providing unreliable estimates of power based on the observed data.

4. Discussion

Our participants’ feedback, gathered via questionnaires following their interviews, provided important insights into our research methods. Most participants stated that they were comfortable with the time commitment required for the study and understood the questions posed. They also found the unstructured interviews useful for gathering detailed information about their personal life events and family history of MDD. This feedback helps us understand how participants received our methods and provides guidance for future research design, emphasizing the importance of clear and replicable methods in psychiatric studies.
Having reflected on our methodological approach, we now turn to our key findings, focusing on the relationship between family history, life events, and social support in the development of MDD.
The observed negative association between social support and the likelihood of a first severe depressive episode echoes the findings of Monroe et al. (2009) [41]. This suggests that increased social support might be a protective factor against depression. Our findings indicate a potential avenue for a larger study to investigate the extent and mechanisms through which social support mitigates depression risk. This could have significant implications for developing preventive strategies and interventions.
The lack of a significant association between a family history of MDD and the occurrence of a first severe depressive episode, divergent from the established literature, raises intriguing questions [42]. This may suggest that the relationship between family history and depression is more complex than was previously recognized, justifying the need for additional research with a larger sample size. Following this observation, we consider resilience as a potentially influential factor. Resilience, the ability to overcome hardship, stress, and trauma, may explain these findings [43]. The literature suggests that resilient individuals may be protected from depressive symptoms despite a hereditary propensity to MDD [44]. Key components of psychological resilience, such as strong social support networks, effective coping techniques, and proficient emotional regulation, play a crucial role in this protective mechanism. [44]. Incorporating these findings, interventions such as community support programs, stress management workshops, and emotional regulation training could significantly lower depression risk in those with genetic predispositions [45].
The positive correlation between the number of negative life events and the onset of a first severe depressive episode supports previous research [41]. This finding reinforces the need to study comprehensively how different types and severity of life stressors contribute to depression. A larger-scale study could more precisely quantify the impact of life stressors exposure on depression onset.
Our preliminary findings that life events do not impact treatment response in first-episode depression contrast with prior research. While Bulmash et al. (2009) observed a treatment-specific impact of life events, particularly with antidepressants, our results did not align with this observation [46]. Similarly, Fournier et al. (2009) found no significant association, reflecting the variability and complexity in understanding the influence of life events [47]. Monroe et al. (1992) supported a more direct impact, a view our preliminary findings might challenge, suggesting a nuanced interaction in first-episode cases [34]. Steinert et al. (2014) highlighted the importance of social support in this dynamic, underscoring the multifaceted nature of depression treatment [48].
Also, the genetic component of the diathesis–stress model for MDD has been explored, starting from a gene x environment interaction effect on the risk for depression [49]. The effects of polygenic risk scores and stressful life events were investigated by Arnau-Soler et al. (2019) in a group of 4919 individuals, and a significant gene x environment interaction was found in women [49]. High polygenic risk scores increased the risk of depression in individuals who reported a high number of stressful life events [46]. In individuals who had no recent stressful life events, higher polygenic risk scores increased the risk of depressive symptoms in men but had a protective effect in women [49]. A genome-wide association study (GWAS) that included individuals from the UK and Scotland supported the existence of gene x environment effects in predicting depressive symptom scores [50]. Another GWAS with African Americans and Hispanic/Latina women concluded that, although heritability estimates for depressive manifestations and stressful life events were <10% each, their genetic correlation was strong [50]. However, the involvement of genetic factors in mediating the relationship between stress exposure and MDD is far from being elucidated, although this topic was intensively explored [51,52,53].
These variances in findings underscore the need for further research to elucidate the complex interplay between life events, treatment modalities, and individual patient characteristics in depression treatment. Defining the role of the diathesis–stress model in FEMD is important not only for the case management of the first MDD episode but also for the prophylaxis and treatment of further new depressive episodes [54,55,56,57,58]. The evaluation of functioning levels after FEMD and approaching the sensitive subject of residual depressive symptoms and their impact on MDD recurrence can benefit from elucidating the role of interaction between vulnerability factors, resilience variables, and stressful events [57,58,59,60,61,62].
We identified several methodological limitations relevant to our findings and their extension to future research in our pilot study, which investigated the etiology of depression using the diathesis–stress model.
The selection of 40 participants for our pilot study was influenced by the objectives of a preliminary investigation. This sample size allows for a manageable and focused exploration of our research methodology, ensuring we can effectively test the recruitment process and the applicability of our assessment tools. With 20 participants in each group, our study is well-positioned to identify trends and collect preliminary data. We acknowledge, however, that this sample size may not enable statistical significance for all research questions. This approach sets the groundwork for identifying potential patterns and areas requiring deeper investigation in the future.
The small sample size, appropriate for a preliminary investigation, highlighted the need for future studies to include a larger number of participants. A larger and more diverse cohort would not only validate the findings but also deepen our understanding of them.
While effective, the combination of clinician-administered scales (HAM-D17 and HAM-A) and self-reported MSPSS revealed several limitations. The clinician assessments, subject to interpretive variability, as well as the inherent biases in self-reported data, required careful interpretation of the results. The modest number of participants, suitable for the scope of a pilot study, may introduce the risk of type-1 errors, where significant findings could emerge by chance. The post hoc power analysis supports this by revealing that while the study was well-powered for detecting differences in MSPSS scores and life events, it was underpowered for evaluating the impact of these variables on case status in logistic regression and for detecting differences in familial history of MDD. Thus, while our results offer valuable preliminary insights, they should be regarded as exploratory and interpreted with caution. These findings underscore the necessity for larger-scale studies with more diverse populations to confirm our observations and reduce the risk of type-1 errors. Such expanded research efforts are crucial to solidifying our understanding of the complex interactions between life events, genetic predispositions, and treatment responses in the context of depression. The limitations of our case-control design, while effective in uncovering correlations, further highlight the need for broader research that can provide more definitive causal inferences.

5. Conclusions

In summary, our preliminary investigation has yielded valuable insights that will inform a more extensive study. Grounded in the diathesis–stress perspective and planning to utilize larger sample sizes, this forthcoming research aims to examine the relationship between the onset of depression, family history of major depression, life stressors, and social support. We are hoping to uncover practical implications that include the development of more effective prevention and treatment strategies for depression, centered on personalized approaches. Based on this foundation, the upcoming study will investigate several key hypotheses:
a. The “social support hypothesis” will examine if individuals experiencing their first severe depressive episode report lower levels of perceived social support than controls, aiming to clarify the impact of social support on depression development;
b. The study will assess the prevalence of a family history of major depressive disorder (MDD) in individuals experiencing their first severe depressive episode versus controls, highlighting the genetic vulnerability aspect of the diathesis–stress model;
c. The “life stressors hypothesis” investigates the correlation between the experience of negative life events and the occurrence of severe depressive episodes, focusing on how life stressors contribute to depression;
d. Treatment response and “life stressors hypothesis” explore how negative life events influence treatment outcomes for individuals in their first severe depressive episode;
e. Assumption of symptom severity probes the relationship between exposure to negative life events and the severity of symptoms in those experiencing their first severe depressive episode.

Author Contributions

Conceptualization, A.G.M.; methodology, A.G.M.; software, A.G.M.; validation, A.G.M., S.R. and O.V.; formal analysis, A.G.M.; investigation, A.G.M.; resources, A.G.M.; data curation, A.G.M.; writing—original draft preparation, A.G.M.; writing—review and editing, A.G.M. and O.V.; visualization, A.G.M. and S.R.; supervision, S.R. and O.V. All authors have read and agreed to the published version of the manuscript.

Funding

This research received no external funding.

Institutional Review Board Statement

The study was conducted in accordance with the Declaration of Helsinki. Ethical approval was granted by the "Carol Davila” Central University Military Emergency Hospital Ethics Committee—approval number 549 (Approval Date: 10 February 2022).

Informed Consent Statement

Informed consent was obtained from all subjects involved in the study.

Data Availability Statement

All raw data can be provided upon reasonable request from the corresponding author.

Conflicts of Interest

The authors declare no conflicts of interest.

References

  1. World Health Organization. Depressive Disorders (Depression). Available online: https://www.who.int/news-room/fact-sheets/detail/depression (accessed on 19 November 2023).
  2. Vasiliu, O.; Mangalagiu, A.G.; Petrescu, B.M.; Cândea, C.A.; Tudor, C.; Vasile, D. Analysis of COVID-19-related psychiatric disorders- clinical manifestations and therapeutic considerations. Rom. J. Miliary Med. 2022, 125, 382–391. [Google Scholar] [CrossRef]
  3. Marcus, M.; Yasamy, M.T.; van Ommeren, M.; Chrisholm, D.; Saxena, S. Depression: A global public health concern. In WHO Department of Mental Health and Substance Abuse 2012; World Health Organisation: Geneva, Switzerland, 2012; pp. 6–8. [Google Scholar]
  4. Remes, O.; Mendes, J.F.; Templeton, P. Biological, Psychological, and Social Determinants of Depression: A Review of Recent Literature. Brain Sci. 2021, 11, 1633. [Google Scholar] [CrossRef] [PubMed]
  5. Fekadu, N.; Shibeshi, W.; Engidawork, E. Major Depressive Disorder: Pathophysiology and Clinical Management. J. Depress. Anxiety 2017, 6, 255–257. [Google Scholar] [CrossRef]
  6. Vasiliu, O. Efficacy, tolerability, and safety of toludesvenlafaxine for the treatment of major depressive disorder-A narrative review. Pharmaceuticals 2023, 16, 411. [Google Scholar] [CrossRef] [PubMed]
  7. Scotto, J.C.; Farisse, J. Clinical expressions of depression. Rev. Prat. 1999, 49, 701–706. [Google Scholar] [PubMed]
  8. Riga, S.; Riga, D.; Mihailescu, A.; Motoc, D.; Mos, L.; Schneider, F. Longevity health sciences and mental health as future medicine. Ann. N. Y. Acad. Sci. 2010, 1197, 184–187. [Google Scholar] [CrossRef] [PubMed]
  9. Cuijpers, P.; Beekman, A.T.F.; Reynolds, C.F. 3rd. Preventing depression: A global priority. JAMA 2012, 307, 1033–1034. [Google Scholar] [CrossRef] [PubMed]
  10. Greenberg, P.E.; Birnbaum, H.G. The economic burden of depression in the US: Societal and patient perspectives. Expert Opin. Pharmacother. 2005, 6, 369–376. [Google Scholar] [CrossRef]
  11. Chaudhry, S. Depression and its Dilemma. IP J. Surg. Allied Sci. 2020, 2, 81–88. [Google Scholar] [CrossRef]
  12. Pérez-Wehbe, A.I.; Perestelo-Pérez, L.; Bethencourt- Pérez, J.M.; Cuéllar-Pompa, L.; Peñate-Castro, W. Treatment-resistant depression: A systematic review of systematic reviews. Int. J. Clin. Health Psychol. 2014, 14, 145–153. [Google Scholar] [CrossRef][Green Version]
  13. Tanaka, M.; Bohár, Z.; Martos, D.; Telegdy, G.; Vécsei, L. Antidepressant-like effects of kynurenic acid in a modified forced swim test. Pharmacol. Rep. 2020, 72, 449–455. [Google Scholar] [CrossRef] [PubMed]
  14. Hammen, C. Risk Factors for Depression: An Autobiographical Review. Annu. Rev. Clin. Psychol. 2018, 14, 1–28. [Google Scholar] [CrossRef] [PubMed]
  15. Colodro-Conde, L.; Couvy-Duchesne, B.; Zhu, G.; Coventry, W.L.; Byrne, E.M.; Gordon, S.; Wright, M.; Montgomery, G.W.; Madden, P.A.; Ripke, S.; et al. A direct test of the diathesis-stress model for depression. Mol. Psychiatry 2017, 23, 1590–1596. [Google Scholar] [CrossRef] [PubMed]
  16. Patten, S.B. Major depression epidemiology from a diathesis-stress conceptualization. BMC Psychiatry 2013, 13, 19. [Google Scholar] [CrossRef] [PubMed]
  17. Tennant, C. Life Events, Stress and Depression: A Review of Recent Findings. Aust. N. Z. J. Psychiatry 2002, 36, 173–182. [Google Scholar] [CrossRef] [PubMed]
  18. Nabeshima, T.; Kim, H.C. Involvement of Genetic and Environmental Factors in the Onset of Depression. Exp. Neurobiol. 2013, 22, 235–243. [Google Scholar] [CrossRef] [PubMed]
  19. Warren, B.J. The Synergistic Influence of Life Experiences and Cultural Nuances on Development of Depression: A Cognitive Behavioral Perspective. Issues Ment. Health Nurs. 2020, 41, 3–6. [Google Scholar] [CrossRef] [PubMed]
  20. Docherty, A.R.; Edwards, A.C.; Yang, F.; Peterson, R.E.; Sawyers, C.; Adkins, D.E.; Moore, A.A.; Webb, B.T.; Bacanu, S.A.; Flint, J.; et al. Age of onset and family history as indicators of polygenic risk for major depression. Depress. Anxiety 2017, 34, 446–452. [Google Scholar] [CrossRef] [PubMed]
  21. Zeng, Y.; Navarro, P.; Xia, C.; Amador, C.; Fernandez-Pujals, A.M.; Thomson, P.A.; Campbell, A.; Nagy, R.; Clarke, T.-K.; Hafferty, J.D.; et al. Shared Genetics and Couple-Associated Environment Are Major Contributors to the Risk of Both Clinical and Self-Declared Depression. EBioMedicine 2016, 14, 161–167. [Google Scholar] [CrossRef]
  22. van Sprang, E.D.; Maciejewski, D.F.; Milaneschi, Y.; Elzinga, B.M.; Beekman, A.T.F.; Hartman, C.A.; van Hemert, A.M.; Penninx, B.W.J.H. Familial risk for depressive and anxiety disorders: Associations with genetic, clinical, and psychosocial vulnerabilities. Psychol. Med. 2020, 52, 696–706. [Google Scholar] [CrossRef]
  23. Zalar, B.; Blatnik, A.; Maver, A.; Klemenc-Ketis, Z.; Peterlin, B. Family History As an Important Factor for Stratifying Participants in Genetic Studies of Major Depression. Balkan J. Med. Genet. 2018, 21, 5–12. [Google Scholar] [CrossRef] [PubMed]
  24. Gotlib, I.H.; Joormann, J.; Foland-Ross, L.C. Understanding Familial Risk for Depression. Perspect. Psychol. Sci. 2014, 9, 94–108. [Google Scholar] [CrossRef] [PubMed]
  25. Adler, N.E.; Boyce, T.; Chesney, M.A.; Cohen, S.; Folkman, S.; Kahn, R.L.; Syme, S.L. Socioeconomic status and health: The challenge of the gradient. Am. Psychol. 1994, 49, 15–24. [Google Scholar] [CrossRef] [PubMed]
  26. Cohen, S.; Murphy, M.L.M.; Prather, A.A. Ten Surprising Facts About Stressful Life Events and Disease Risk. Annu. Rev. Psychol. 2019, 70, 577–597. [Google Scholar] [CrossRef] [PubMed]
  27. Avenevoli, S.; Merikangas, K.R. Implications of high-risk family studies for prevention of depression. Am. J. Prev. Med. 2006, 31 (Suppl. 1), S126–S135. [Google Scholar] [CrossRef] [PubMed]
  28. Phillips, A.C.; Carroll, D.; Der, G. Negative life events and symptoms of depression and anxiety: Stress causation and/or stress generation. Anxiety Stress Coping 2015, 28, 357–371. [Google Scholar] [CrossRef] [PubMed]
  29. Marum, G.F.; Clech-Aas, J.; Nes, R.B.; Raanaas, R.K. The relationship between negative life events, psychological distress and life satisfaction: A population-based study. Qual. Life Res. 2013, 23, 601–611. [Google Scholar] [CrossRef] [PubMed]
  30. Paykel, E.S. Life events, Social support and depression. Acta Psychiatr. Scand. 1994, 89, 50–58. [Google Scholar] [CrossRef] [PubMed]
  31. Gariépy, G.; Honkaniemi, H.; Quesnel-Vallée, A. Social support and protection from depression: Systematic review of current findings in Western countries. Br. J. Psychiatry 2016, 209, 284–293. [Google Scholar] [CrossRef]
  32. Kendler, K.S.; Markowski, L.M.; Prescott, C.A. Causal relationship between stressful life events and the onset of major depression. Am. J. Psychiatry 1999, 156, 837–841. [Google Scholar] [CrossRef]
  33. Santini, Z.I.; Koyanagi, A.; Tyrovolas, S.; Mason, C.; Haro, J.M. The association between social relationships and depression: A systematic review. J. Affect. Disord. 2015, 175, 53–65. [Google Scholar] [CrossRef] [PubMed]
  34. Monroe, S.M.; Kupfer, D.J.; Frank, E.F. Life stress and treatment course of recurrent depression: I. Response during index episode. J. Consult. Clin. Psychol. 1992, 60, 718–724. [Google Scholar] [CrossRef] [PubMed]
  35. Buckman, J.E.J.; Saunders, R.; Arundell, L.L.; Oshi, I.D.; Cohen, Z.D.; O’Driscoll, C.; Barnett, P.; Stott, J.; Ambler, G.; Gilbody, S.; et al. Life Events and Treatment Prognosis for Depression: A Systematic Review and Individual Patient Data Meta-Analysis. J. Affect. Disord. 2022, 299, 298–308. [Google Scholar] [CrossRef] [PubMed]
  36. Zimmerman, M. Weighted versus Unweighted Life Event Scores: Is there a Difference? J. Hum. Stress 1983, 9, 30–35. [Google Scholar] [CrossRef] [PubMed]
  37. Nierenberg, A.A.; DeCecco, L.M. Definitions of antidepressant treatment response, remission, nonresponse, partial response, and other relevant outcomes: A focus on treatment-resistant depression. J. Clin. Psychiatry 2001, 62 (Suppl. 16), 5–9. [Google Scholar] [PubMed]
  38. Kendler, K.S.; Kessler, R.C.; Walters, E.E.; MacLean, C.; Neale, M.C.; Heath, A.C.; Eaves, L.J. Stressful life events, genetic liability, and onset of an episode of major depression in women. Am. J. Psychiatry 1995, 152, 833–842. [Google Scholar] [CrossRef] [PubMed]
  39. Hammen, C. Stress and depression. Annu. Rev. Clin. Psychol. 2005, 1, 293–319. [Google Scholar] [CrossRef] [PubMed]
  40. Paykel, E.S.; Cooper, Z.; Ramana, R.; Hayhurst, H. Life Events, Social Support and Marital Relationships in the Outcome of Severe Depression. Psychol. Med. 1996, 26, 121–133. [Google Scholar] [CrossRef] [PubMed]
  41. Monroe, S.M.; Reid, M.W. Life Stress and Major Depression. Curr. Dir. Psychol. Sci. 2009, 18, 68–72. [Google Scholar] [CrossRef]
  42. Monroe, S.M.; Slavich, G.M.; Gotlieb, I.H. Life stress and family history for depression: The moderating role of past depressive episodes. J. Psychiatr. Res. 2014, 49, 90–95. [Google Scholar] [CrossRef]
  43. Friedberg, A.; Malefakis, D. Resilience, Trauma, and Coping. Psychodyn. Psychiatry 2022, 50, 382–409. [Google Scholar] [CrossRef] [PubMed]
  44. Dai, Q.; Smith, G.D. Resilience to depression: Implication for psychological vaccination. Front. Psychiatry 2023, 14, 1071859. [Google Scholar] [CrossRef]
  45. Helmreich, I.; Kunzler, A.; Chmitorz, A.; König, J.; Binder, H.; Wessa, M.; Lieb, K. Psychological interventions for resilience enhancement in adults. Cochrane Database Syst. Rev. 2017, 2017, CD012527. [Google Scholar] [CrossRef]
  46. Bulmash, E.; Harkness, K.L.; Stewart, J.G.; Bagby, R.M. Personality, Stressful Life Events, and Treatment Response in Major Depression. J. Consult. Clin. Psychol. 2009, 77, 1067–1077. [Google Scholar] [CrossRef]
  47. Fournier, J.C.; DeRubeis, R.J.; Shelton, R.C.; Hollon, S.D.; Amsterdam, J.D.; Gallop, R. Prediction of response to medication and cognitive therapy in the treatment of moderate to severe depression. J. Consult. Clin. Psychol. 2009, 77, 775–787. [Google Scholar] [CrossRef] [PubMed]
  48. Steinert, C.; Hofmann, M.; Kruse, J.; Leichsenring, F. The Prospective Long-term Course of Adult Depression in General Practice and the Community: A Systematic Literature Review. J. Affect. Disord. 2014, 152–154, 65–75. [Google Scholar] [CrossRef]
  49. Arnau-Soler, A.; Adams, M.J.; Clarke, T.K.; MacIntyre, D.J.; Milburn, K.; Navrady, L.; Hayward, C.; McIntosh, A.; Thomson, P.A.; Scotland, G.; et al. A validation of the diathesis-stress model for depression in Generation Scotland. Transl. Psychiatry 2019, 9, 25. [Google Scholar] [CrossRef]
  50. Arnau-Soler, A.; Macdonald-Dunlop, E.; Adams, M.J.; Clarke, T.K.; MacIntyre, D.J.; Milburn, K.; Navrady, L.; Hayward, C.; McIntosh, A.M.; Thomson, P.A.; et al. Genome-wide by environment interaction studies of depressive symptoms and psychosocial stress in UK Biobank and Generation Scotland. Transl. Psychiatry 2019, 9, 14. [Google Scholar] [CrossRef]
  51. Pan, C.; Liu, L.; Cheng, S.; Yang, X.; Meng, P.; Zhang, N.; He, D.; Chen, Y.; Li, C.; Zhang, H.; et al. A multidimensional social risk atlas of depression and anxiety: An observational and genome-wide environmental interaction study. J. Glob. Health 2023, 13, 04146. [Google Scholar] [CrossRef]
  52. Mandelli, L.; Serretti, A. Gene-environment interaction studies in depression and suicidal behavior: An update. Neurosci. Biobehav. Rev. 2013, 37 Pt 1, 2375–2397. [Google Scholar] [CrossRef]
  53. Zhao, M.; Chen, L.; Yang, J.; Han, D.; Fang, D.; Qiu, X.; Yang, X.; Qiao, Z.; Ma, J.; Wang, L.; et al. BDNF Val66Met polymorphism, life stress and depression: A meta-analysis of gene-environment interaction. J. Affect. Disord. 2018, 227, 226–235. [Google Scholar] [CrossRef] [PubMed]
  54. Burcusa, S.L.; Iacomo, W.G. Risk for recurrence in depression. Clin. Psychol. Rev. 2007, 27, 959–985. [Google Scholar] [CrossRef] [PubMed]
  55. Spijker, J.; de Graaf, R.; Oldehinkel, A.J.; Nolen, W.A.; Ormel, J. Are the vulnerability effects of personality and psychosocial functioning on depression accounted for by subthreshold symptoms? Depress. Anxiety 2007, 24, 472–478. [Google Scholar] [CrossRef] [PubMed]
  56. Ormel, J.; Oldehinkel, A.J.; Vollebergh, W. Vulnerability before, during, and after a major depressive episode: A 3-wave population-based study. Arch. Gen. Psychiatry 2004, 61, 990–996. [Google Scholar] [CrossRef] [PubMed]
  57. Moraru, C.; Nafureanu, E.D.; Zavadovschi, I.; Floria, M.; Popescu, D.M. Posttraumatic stress disorder and cardiovascular disease. Rom. J. Mil. Med. 2022, 125, 97–111. [Google Scholar]
  58. Buist-Bouwman, M.A.; Ormel, J.; de Graaf, R.; Vollenbergh, W.A.M. Functioning after a major depressive episode: Complete or incomplete recovery? J. Affect. Disord. 2004, 82, 363–371. [Google Scholar] [CrossRef]
  59. van Tuijl, L.A.; Glashouwer, K.A.; Elgersma, H.J.; Bockting, C.L.H.; Penninx, B.W.J.H.; de Jong, P.J. Depression recurrence after recovery: Prognostic value of implicit and explicit self-depressed associations. Behav. Res. Ther. 2018, 107, 76–82. [Google Scholar] [CrossRef]
  60. Licu, M.; Ionescu, C.G.; Suciu, M.; Paun, S. Self-esteem, self-efficacy, and smoking prevalence: A cross-sectional study among military and civilian medical students. Rom. J. Mil. Med. 2023, 126, 502–511. [Google Scholar] [CrossRef]
  61. Petrescu, B.; Vasile, D.; Vasiliu, O.; Tudor, C.; Mangalagiu, A.; Ungureanu, D. SSRI dose escalation versus duloxetine in treatment of major depressive disorder not responding to initial SSRI. Eur. Neuropsychopharmacol. 2014, 24, S455–S456. [Google Scholar] [CrossRef]
  62. Lye, M.S.; Tey, Y.Y.; Tor, Y.S.; Shahabudin, A.F.; Ibrahim, N.; Ling, K.H.; Stanslas, J.; Loh, S.-P.; Rosli, R.; Lokman, K.A.; et al. Predictors of recurrence of major depressive disorder. PLoS ONE 2020, 15, e0230363. [Google Scholar] [CrossRef]
Figure 1. Recruitment process for cases and controls.
Figure 1. Recruitment process for cases and controls.
Psychiatryint 05 00021 g001
Figure 2. (A): Gender distribution in cases and controls. (B): Age distribution in cases and controls.
Figure 2. (A): Gender distribution in cases and controls. (B): Age distribution in cases and controls.
Psychiatryint 05 00021 g002
Figure 3. Marital status in cases and controls—marital status distribution among study groups. Analysis with Fisher’s exact test yielded a p-value of 0.05864, indicating a non-significant trend in the differences between cases and controls.
Figure 3. Marital status in cases and controls—marital status distribution among study groups. Analysis with Fisher’s exact test yielded a p-value of 0.05864, indicating a non-significant trend in the differences between cases and controls.
Psychiatryint 05 00021 g003
Figure 4. Educational backgrounds distribution—this figure displays educational levels analyzed via Fisher’s exact test, showing no significant association across levels (p = 0.1818 to 1.0).
Figure 4. Educational backgrounds distribution—this figure displays educational levels analyzed via Fisher’s exact test, showing no significant association across levels (p = 0.1818 to 1.0).
Psychiatryint 05 00021 g004
Figure 5. Occupational status—depicts employment rates—70% in cases, 75% in controls. Pearson’s chi-squared test (X-squared = 0, df = 1, p-value = 1) shows no significant difference in employment status between groups.
Figure 5. Occupational status—depicts employment rates—70% in cases, 75% in controls. Pearson’s chi-squared test (X-squared = 0, df = 1, p-value = 1) shows no significant difference in employment status between groups.
Psychiatryint 05 00021 g005
Figure 6. HAM-D17 score improvement over 6 weeks. The boxplot shows the significant decrease in median HAM-D17 scores among cases from baseline to 6 weeks, confirmed by the Wilcoxon signed-rank test (p-value < 0.0001), denoting substantial clinical progress.
Figure 6. HAM-D17 score improvement over 6 weeks. The boxplot shows the significant decrease in median HAM-D17 scores among cases from baseline to 6 weeks, confirmed by the Wilcoxon signed-rank test (p-value < 0.0001), denoting substantial clinical progress.
Psychiatryint 05 00021 g006
Figure 7. Group differences in HAM-A and MSPSS scores. Panel (A) illustrates the HAM-A scores, with cases exhibiting significantly higher anxiety levels than controls (Wilcoxon rank sum test, p-value < 0.0001). Panel (B) shows the MSPSS scores, indicating lower perceived social support in cases compared to controls (Wilcoxon rank sum test, p-value = 0.005074).
Figure 7. Group differences in HAM-A and MSPSS scores. Panel (A) illustrates the HAM-A scores, with cases exhibiting significantly higher anxiety levels than controls (Wilcoxon rank sum test, p-value < 0.0001). Panel (B) shows the MSPSS scores, indicating lower perceived social support in cases compared to controls (Wilcoxon rank sum test, p-value = 0.005074).
Psychiatryint 05 00021 g007
Figure 8. Comparative GAF at baseline and at 6 weeks after the initiation of treatment highlights significant functional progress, as confirmed by a one-sample t-test (p < 0.00001), indicating the effectiveness of the intervention.
Figure 8. Comparative GAF at baseline and at 6 weeks after the initiation of treatment highlights significant functional progress, as confirmed by a one-sample t-test (p < 0.00001), indicating the effectiveness of the intervention.
Psychiatryint 05 00021 g008
Figure 9. Negative life events count in cases and controls. The bar chart illustrates the disparity in negative life events experienced by both groups, with cases reporting more negative life events than controls—Wilcoxon rank sum test—p = 0.01411.
Figure 9. Negative life events count in cases and controls. The bar chart illustrates the disparity in negative life events experienced by both groups, with cases reporting more negative life events than controls—Wilcoxon rank sum test—p = 0.01411.
Psychiatryint 05 00021 g009
Figure 10. History of MDD distribution in cases and controls. A family history of depression is less prevalent in controls than in cases. However, this finding is not statistically significant (Fisher’s exact test: p = 0.4075).
Figure 10. History of MDD distribution in cases and controls. A family history of depression is less prevalent in controls than in cases. However, this finding is not statistically significant (Fisher’s exact test: p = 0.4075).
Psychiatryint 05 00021 g010
Table 1. Multiple logistic regression parameters. Legend: The table shows the results of a logistic regression analysis examining the factors associated with experiencing a first severe depressive episode. The dependent variable is the presence of a first severe depressive episode. The independent variables include MSPSS (Multidimensional Scale of Perceived Social Support), family history of MDD (major depressive disorder), and negative life events.
Table 1. Multiple logistic regression parameters. Legend: The table shows the results of a logistic regression analysis examining the factors associated with experiencing a first severe depressive episode. The dependent variable is the presence of a first severe depressive episode. The independent variables include MSPSS (Multidimensional Scale of Perceived Social Support), family history of MDD (major depressive disorder), and negative life events.
VariableCoefficientStd. Errorz-Valuep-Value95% CI Lower95% CI UpperOdds Ratio (OR)OR 95% CI LowerOR 95% CI Upper
Constant2.83151.5791.7930.073−0.26335.9263N/AN/AN/A
MSPSS−0.08380.034−0.4690.014−0.1504−0.01720.920.860.98
Family history of MDD1.27841.0861.1770.239−0.85023.40703.590.4330.17
Negative life events2.72741.0832.5180.0120.060474.850115.291.06127.75
MSPSS = Multidimensional Scale of Perceived Social Support, MDD = major depressive disorder, N/A = not applicable.
Disclaimer/Publisher’s Note: The statements, opinions and data contained in all publications are solely those of the individual author(s) and contributor(s) and not of MDPI and/or the editor(s). MDPI and/or the editor(s) disclaim responsibility for any injury to people or property resulting from any ideas, methods, instructions or products referred to in the content.

Share and Cite

MDPI and ACS Style

Mangalagiu, A.G.; Riga, S.; Vasiliu, O. Exploring the Interplay between Family History of Depression, Negative Life Events, and Social Support in First-Episode Major Depression: Insights from a Pilot Case-Control Study. Psychiatry Int. 2024, 5, 305-322. https://doi.org/10.3390/psychiatryint5030021

AMA Style

Mangalagiu AG, Riga S, Vasiliu O. Exploring the Interplay between Family History of Depression, Negative Life Events, and Social Support in First-Episode Major Depression: Insights from a Pilot Case-Control Study. Psychiatry International. 2024; 5(3):305-322. https://doi.org/10.3390/psychiatryint5030021

Chicago/Turabian Style

Mangalagiu, Andrei Gabriel, Sorin Riga, and Octavian Vasiliu. 2024. "Exploring the Interplay between Family History of Depression, Negative Life Events, and Social Support in First-Episode Major Depression: Insights from a Pilot Case-Control Study" Psychiatry International 5, no. 3: 305-322. https://doi.org/10.3390/psychiatryint5030021

APA Style

Mangalagiu, A. G., Riga, S., & Vasiliu, O. (2024). Exploring the Interplay between Family History of Depression, Negative Life Events, and Social Support in First-Episode Major Depression: Insights from a Pilot Case-Control Study. Psychiatry International, 5(3), 305-322. https://doi.org/10.3390/psychiatryint5030021

Article Metrics

Back to TopTop