Time Series Analysis of Sea Ice Production in Polynyas in the Amery Ice Shelf in Antarctica †
Abstract
:1. Introduction
2. Methods
2.1. Extraction of Polynya Areas
2.2. Calculation of Sea Ice Production
3. Results and Discussion
3.1. Analysis of Polynya Areas
3.1.1. Accuracy Assessment of Polynya Areas
3.1.2. Time Series Analysis of Polynya Areas
3.2. Analysis of Sea Ice Production in the Polynyas
3.2.1. Accuracy Assessment of Sea Ice Production in the Polynyas
3.2.2. Spatial Distribution of SIP in the Polynyas
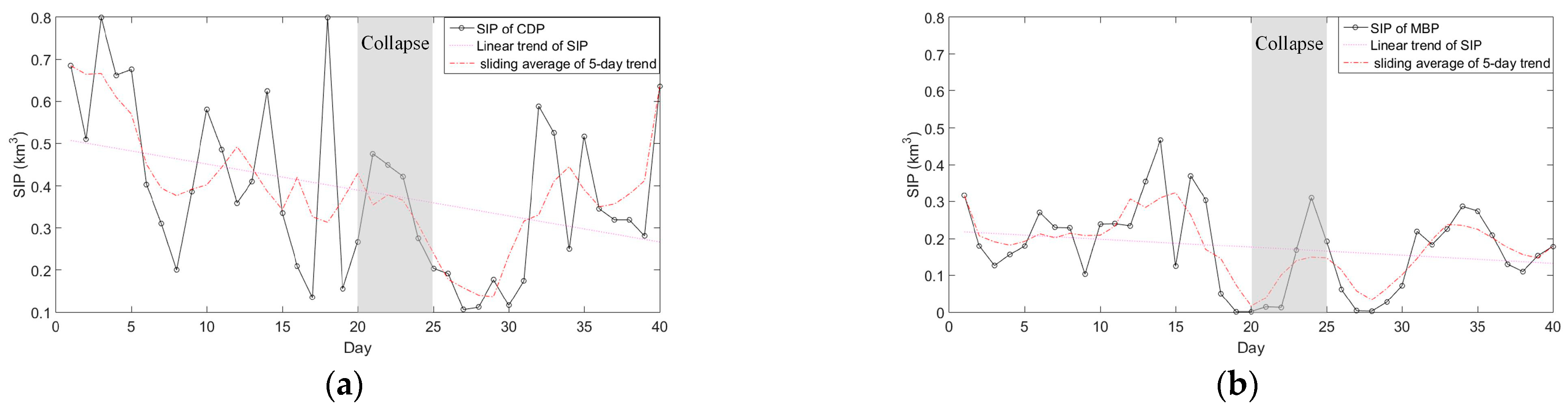
3.2.3. Time Series Analysis of Sea Ice Production in the Polynyas
3.3. Impact of the Collapse Event on Sea Ice Production
4. Conclusions
Funding
Institutional Review Board Statement
Informed Consent Statement
Data Availability Statement
Conflicts of Interest
References
- Morales Maqueda, M.A.; Willmott, A.J.; Biggs, N.R.T. Polynya Dynamics: A Review of Observations and Modeling. Rev. Geophys. 2004, 42, RG1004. [Google Scholar] [CrossRef]
- Maykut, G.A. Energy exchange over young sea ice in the central Arctic. J. Geophys. Res. Ocean 1978, 83, 3646–3658. [Google Scholar] [CrossRef]
- Tamura, T.; Ohshima, K.I.; Nihashi, S. Mapping of sea ice production for Antarctic coastal polynyas. Geophys. Res. Lett. 2008, 35, 284–298. [Google Scholar] [CrossRef]
- Gordon, A.L.; Orsi, A.H.; Muench, R.; Huber, B.A.; Zambianchi, E.; Visbeck, M. Western Ross Sea continental slope gravity currents. Deep. Sea Res. Part II Top. Stud. Oceanogr. 2009, 56, 796–817. [Google Scholar] [CrossRef]
- Mensah, V.; Nakayama, Y.; Fujii, M.; Nogi, Y.; Ohshima, K.I. Dense water downslope flow and AABW production in a numerical model: Sensitivity to horizontal and vertical resolution in the region off Cape Darnley polynya. Ocean. Model. 2021, 165, 101843. [Google Scholar] [CrossRef]
- Nihashi, S.; Ohshima, K.I. Circumpolar Mapping of Antarctic Coastal Polynyas and Landfast Sea Ice: Relationship and Variability. J. Clim. 2015, 28, 3650–3670. [Google Scholar] [CrossRef]
- Ohshima, K.I.; Fukamachi, Y.; Williams, G.D.; Nihashi, S.; Roquet, F.; Kitade, Y.; Tamura, T.; Hirano, D.; Herraiz-Borreguero, L.; Field, I.; et al. Antarctic Bottom Water production by intense sea-ice formation in the Cape Darnley polynya. Nat. Geosci. 2013, 6, 235–240. [Google Scholar] [CrossRef]
- Nihashi, S.; Ohshima, K.I.; Tamura, T. Sea-Ice Production in Antarctic Coastal Polynyas Estimated From AMSR2 Data and Its Validation Using AMSR-E and SSM/I-SSMIS Data. IEEE J. Sel. Top. Appl. Earth Obs. Remote Sens. 2017, 10, 3912–3922. [Google Scholar] [CrossRef]
- Ohshima, K.I.; Nihashi, S.; Iwamoto, K. Global view of sea-ice production in polynyas and its linkage to dense/bottom water formation. Geosci. Lett. 2016, 3, 13. [Google Scholar] [CrossRef]
- Nihashi, S.; Ohshima, K.I. Relationship between ice decay and solar heating through open water in the Antarctic sea ice zone. J. Geophys. Res. Ocean. 2001, 106, 16767–16782. [Google Scholar] [CrossRef]
- Cox, G.F.N.; Weeks, W.F. Salinity variations in sea ice. J. Glaciol. 1974, 13, 109–120. [Google Scholar] [CrossRef]
- Kalnay, E.; Kanamitsu, M.; Kistler, R.; Collins, W.; Deaven, D.; Gandin, L.; Iredell, M.; Saha, S.; White, G.; Woollen, J.; et al. The NCEP/NCAR 40-year reanalysis project. Bull. Am. Meteorol. Soc. 1996, 77, 437–472. [Google Scholar] [CrossRef]
- Hersbach, H.; Bell, B.; Berrisford, P.; Biavati, G.; Horányi, A.; Muñoz Sabater, J.; Nicolas, J.; Peubey, C.; Radu, R.; Rozum, I.; et al. ERA5 Hourly Data on Single Levels from 1940 to Present [Dataset]. Copernicus Climate Change Service (C3S) Climate Data Store (CDS). 2018. Available online: https://cds.climate.copernicus.eu/cdsapp#!/dataset/10.24381/cds.adbb2d47?tab=overview (accessed on 28 November 2023).






| Area of CDP (km2) | Area of MBP (km2) | |
|---|---|---|
| Based on Sentinel 1 | 6203 | 979 |
| Based on AMSR2 | 6400 | 900 |
| Difference | 197 | 79 |
| Proportion of the Difference | 3.2% | 8.1% |
Disclaimer/Publisher’s Note: The statements, opinions and data contained in all publications are solely those of the individual author(s) and contributor(s) and not of MDPI and/or the editor(s). MDPI and/or the editor(s) disclaim responsibility for any injury to people or property resulting from any ideas, methods, instructions or products referred to in the content. |
© 2023 by the author. Licensee MDPI, Basel, Switzerland. This article is an open access article distributed under the terms and conditions of the Creative Commons Attribution (CC BY) license (https://creativecommons.org/licenses/by/4.0/).
Share and Cite
Gu, M. Time Series Analysis of Sea Ice Production in Polynyas in the Amery Ice Shelf in Antarctica. Environ. Sci. Proc. 2024, 29, 42. https://doi.org/10.3390/ECRS2023-16368
Gu M. Time Series Analysis of Sea Ice Production in Polynyas in the Amery Ice Shelf in Antarctica. Environmental Sciences Proceedings. 2024; 29(1):42. https://doi.org/10.3390/ECRS2023-16368
Chicago/Turabian StyleGu, Miao. 2024. "Time Series Analysis of Sea Ice Production in Polynyas in the Amery Ice Shelf in Antarctica" Environmental Sciences Proceedings 29, no. 1: 42. https://doi.org/10.3390/ECRS2023-16368
APA StyleGu, M. (2024). Time Series Analysis of Sea Ice Production in Polynyas in the Amery Ice Shelf in Antarctica. Environmental Sciences Proceedings, 29(1), 42. https://doi.org/10.3390/ECRS2023-16368

