Next Article in Journal
Enhancing Power Quality in a PV/Wind Smart Grid with Artificial Intelligence Using Inverter Control and Artificial Neural Network Techniques
Previous Article in Journal
Correction: Taleb et al. Measurement and Evaluation of Voltage Unbalance in 2 × 25 kV 50 Hz High-Speed Trains Using Variable Integration Period. Electricity 2024, 5, 154–173
 
 
Font Type:
Arial Georgia Verdana
Font Size:
Aa Aa Aa
Line Spacing:
Column Width:
Background:
Article

Physics-Informed Learning for Predicting Transient Voltage Angles in Renewable Power Systems Under Gusty Conditions

Department of Civil, Environmental and Geomatic Engineering, University College London, London WC1E 6BT, UK
*
Author to whom correspondence should be addressed.
Electricity 2025, 6(2), 34; https://doi.org/10.3390/electricity6020034
Submission received: 17 April 2025 / Revised: 21 May 2025 / Accepted: 3 June 2025 / Published: 9 June 2025

Abstract

As renewable energy penetration and extreme weather events increase, accurately predicting power system behavior is essential for reducing risks and enabling timely interventions. This study presents a physics-informed learning approach to forecast transient voltage angles in power systems with integrated wind energy under gusty wind conditions. We developed a simulation framework that generates wind power profiles with significant gust-induced variations over a one-minute period. We evaluated the effectiveness of physics-informed neural networks (PINNs) by integrating them with LSTM (long short-term memory) and GRU (gated recurrent unit) architectures and compared their performance to standard LSTM and GRU models trained using only mean squared error (MSE) loss. The models were tested under three wind energy penetration scenarios—20%, 40%, and 60%. Results show that the predictive accuracy of PINN-based models improves as wind penetration increases, and the best-performing model varies depending on the penetration level. Overall, this study highlights the value of physics-informed learning for dynamic prediction under extreme weather conditions and provides practical guidance for selecting appropriate models based on renewable energy integration levels.

1. Introduction

As more renewable energy is integrated into power systems worldwide, the variability and uncertainty of these sources pose significant challenges to maintaining transient stability and overall grid reliability. For example, during gusty weather conditions, wind speeds can change rapidly within short time frames, leading to sudden fluctuations in wind power output. These fluctuations can cause voltage and frequency disturbances, and in some cases, may overload transmission lines and equipment [1]. Such transient disturbances are especially important to monitor, as they may signal the early stages of system instability and potentially trigger cascading failures. Therefore, analyzing transient stability has become increasingly critical to ensure the reliable operation of power systems, particularly as renewable energy penetration continues to rise [2,3].
As renewable energy penetration increases, it can significantly alter the transient behavior of power systems [4]. Beyond just the penetration rate, the spatial and temporal variability of renewable generation adds further complexity to maintaining transient stability [5]. To address these challenges, recent research has focused on evaluating the risks, impacts, and vulnerabilities introduced by these changes, with the goal of improving system security and resilience [6,7]. In addition, some studies have explored the use of transient state measurements for rapid fault detection and have proposed strategies to enhance transient stability in systems with high levels of renewable integration [8,9,10].
Given the importance of transient stability analysis, many studies have proposed methods to predict the transient state of power systems. Among these, data-driven approaches have gained significant attention for their ability to model system dynamics under the uncertainty introduced by renewable energy sources. Techniques such as convolutional neural networks (CNN) [11,12,13,14], long short-term memory (LSTM) networks [15], Bayesian deep learning [16], graph-based learning [17], and transfer learning [18] have all been explored. These methods show strong potential for improving the accuracy of transient state predictions, which is essential for maintaining the security and stability of power systems as renewable energy integration continues to grow.
Additionally, physics-informed neural networks (PINNs) have gained growing attention for modeling power systems by combining observed data with underlying physical laws [19]. Their appeal lies in their ability to enforce physical consistency while learning from data, which helps ensure that model predictions remain realistic. PINNs also reduce dependence on large datasets, making them especially useful in real-world scenarios where data may be limited. Furthermore, for time-dependent systems described by ordinary differential equations (ODEs), PINNs offer a notable computational advantage over traditional numerical solvers.
Power systems are often represented by ordinary differential equations (ODEs), such as swing equations. For example, Ref. [20] applied PINNs to estimate dynamic states like rotor angles and frequencies, as well as to identify uncertain parameters like inertia and damping in single machine infinite bus (SMIB) systems, building upon methods outlined by [21]. Moreover, Ref. [22] expanded the use of PINNs to multi-bus networks, Refs. [23,24] implemented PINNs with graph neural networks (GNNs), and Refs. [25,26] focused on enhancing the efficiency of data utilization in these models. These developments highlight the growing potential of PINNs to improve predictive accuracy and risk mitigation in power systems integrated with renewable energy.
As the integration of renewable energy sources adds complexity to power system dynamics, this study focuses on incorporating wind power generation under gusty conditions into the analysis. To reflect the stochastic nature of wind, wind power generation is modeled using randomly generated gust profiles. Physics-informed neural networks (PINNs) are then applied to predict voltage angles, allowing the dynamic analysis to account for the variability introduced by wind power. An overview of the proposed framework is presented in Figure 1. The main contributions of this study are as follows:
  • This study introduces a physics-informed learning approach to accurately predict dynamic voltage angle changes in wind-integrated power systems under gusty conditions, where wind speed varies significantly over short time periods.
  • A wind simulation framework is developed to generate gust events on a one-minute timescale, capturing rapid increases and decreases in wind speed.
  • The analysis considers three wind penetration levels—20% (Scenario 1), 40% (Scenario 2), and 60% (Scenario 3)—each combined with gust conditions to evaluate the system’s response.
  • The proposed PINN-based model is compared with the LSTM and GRU models. The results highlight that model performance depends on the level of renewable penetration, offering guidance for selecting suitable prediction models in varying scenarios.
The structure of this paper is organized as follows: Section 2 outlines the methods for wind power data generation and the physical modeling of the power system. Section 3 presents the implementation of the PINN model on the IEEE 9-bus system. Section 4 details the model’s performance across three wind penetration scenarios and evaluates its effectiveness. Section 5 discusses the limitations of the current approach and proposes directions for future research. Finally, Section 6 provides the conclusions of the study.

2. Methods

This section introduces the three core components used to predict transient voltage angles under gust conditions: the physical modeling of the power system, the simulation of wind speed during gust events, and the architecture of the proposed physics-informed learning model.

2.1. Power System Dynamical Representation

The swing equation is a fundamental tool in transient stability analysis, as it effectively models the dynamic behavior of three-phase synchronous generators during system disturbances. By capturing changes in rotor angle, it provides critical insights into how the power system responds to sudden shifts—such as those caused by fluctuations in renewable energy generation. This makes it particularly well-suited for the present study, which focuses on transient responses under gust-induced wind power variability. The swing equation for generator k, adapted from [27,28], is presented in Equation (1) and illustrated in Figure 2.
m k δ k ¨ + d k δ k ˙ + j B k j V k V j sin ( δ k δ j ) P k = 0
In this context, m k denotes the inertia constant of generator k , while d k is the damping coefficient. B k j refers to a particular value in the bus susceptance matrix between buses k and j . P k represents the mechanical power of generator k . V k and V J are the voltage magnitudes at buses k and j , respectively. δ k and δ j denote the voltage angles. The angular frequency of generator k , denoted as δ k ˙ , is often expressed as ω k . δ k ¨ represents the angular acceleration.

2.2. Wind Speed Simulation During Gust

Wind gusts—sudden and rapid changes in wind speed—can place significant stress on wind turbines, contributing to mechanical fatigue and reducing the lifespan of their components [27,28]. These abrupt wind variations lead to quick fluctuations in power output, which in turn cause rapid voltage changes in the grid. Such voltage instability increases the complexity of grid management and can negatively impact the reliability of electricity distribution.
In this study, wind power is the sole renewable energy source considered. Wind speed was simulated using MATLAB v9.14, and the corresponding power output was calculated based on turbine characteristics. This power output was then applied to the IEEE 9-bus system to compute transient voltage angles, enabling analysis of the system’s response to abnormal wind fluctuations. The complete workflow for wind speed generation is illustrated in Figure 2.
Renewable energy penetration levels were set at 20%, 40%, and 60%, representing different degrees of future integration into the power grid. The simulated wind speed data reflect significant fluctuations over a 60 s period. A gust event was introduced between the 20th and 30th seconds, during which the wind speed dropped sharply before and after the event, with a rapid spike in wind speed occurring during the gust itself.
The simulation was repeated multiple times—typically around 50 iterations—to generate diverse wind speed scenarios, as outlined in Algorithm 1. This approach is particularly valuable for statistical analysis and training machine learning models. Wind speed w s t was generated using a normal distribution to introduce natural variability, with a minimum threshold applied to ensure all values remained realistic. To simulate real-world behavior, a gust event was introduced during a specific time window by artificially increasing wind speed. The generated wind data were then smoothed using a moving average to create a more continuous and realistic wind profile (Figure 3).
As shown in Equations (2)–(4), the wind speed w s t was adjusted to incorporate stochastic and gust effects. Wind turbine parameters—including cut-in speed s i n , cut-out speed s m a x , and rated speed s r a t e d —were used to calculate wind power output P w t , depending on the turbine’s operating regime, as shown in Equation (5).
w s t = w s a + σ × r a n d n ( t )
w s t = m a x ( w s t , w s m i n )
w s g u s t ( t ) = w s t × G         f o r         t ( 20, 30 )
P w t = P r a t e d × w s t s i n s r a t e d s i n       if   w s t s r a t e d P r a t e d                                                 if   w s t > s r a t e d
where w s a is the average wind speed, σ is the wind speed standard deviation, and r a n d n t generates random values from a normal distribution. The gust effect was applied between 20 and 30 s and was modeled as a multiplication of the wind speed by a gust factor, G . The wind farm’s power output P w t was determined based on the wind speed w s t . s r a t e d represents rated speed, and s i n represents the cut-in speed of the wind turbine.
Algorithm 1: Simulation of Wind Power System Output
Input:  w s a , σ , time t , wind turbine parameter P r a t e d , s i n , s o u t
Output: Simulated wind speed w s t and P w t
1for iteration = 1 to 50 do
2 Simulate wind speed data with through w s a and σ normal distribution;
3 Set gust factor G
4 Apply gust factor to wind speed in the time range t ( 20, 30 ) seconds;
5 Smooth wind speed using moving average over a window of 4 data points;
6 Calculate wind power data through wind turbine parameter
7 for i = 1 to length(tdo
8 if  s i n w i n d   s p e e d s o u t  then
9 Calculate power output proportionally;
10 else
11 Set power output to rated power;
12 end
13 end
14 save power output and wind speed
15end
return 50 scenarios of wind speed and power output

2.3. Physics-Informed Leaning

PINNs combine the strengths of both model-based and data-driven approaches for state estimation, ensuring that predictions remain consistent with physical laws while capturing the complex dynamics between synchronous generators and renewable sources. Recent studies have shown that wind speed predictions during gust events can be directly linked to voltage angle estimation in the grid using PINNs [29]. This enables accurate and real-time transient state prediction, enhancing voltage angle forecasting under gust conditions and supporting overall grid stability. Therefore, PINNs are well-suited for this study and provide a robust framework to address the variability introduced by wind energy into modern power systems.
In the general formulation of PINNs, a neural network is trained to solve a partial differential equation (PDE) by minimizing a loss function that consists of two key components, as shown in Figure 4. The first component is the data-driven loss M S E u , which measures the difference between the observed data and the neural network’s predictions. The second component is the physics loss M S E f , which represents the residual of the PDE. To incorporate physical constraints, the network is trained to satisfy the governing equations by computing the derivatives of its outputs with respect to the input variables. These derivatives are then combined with the PDE to form the physics loss. By minimizing both losses, the neural network learns to provide solutions that not only fit the data but also respect the underlying physical laws of the system. This approach allows PINNs to approximate solutions to PDEs while ensuring adherence to both data and physics.
M S E = M S E u + M S E f
This study leverages the framework of PINNs to predict transient bus voltage angles δ k , under fluctuating wind speed during gusts. Simulated wind speed data is initially used to calculate the bus voltage angles. These voltage angles, together with time and wind power data over a 60 s interval, are then utilized as inputs for training the PINN model. The training process begins by initializing the PINN and minimizing a loss function that incorporates both empirical data and the governing physical laws. This iterative training continues until the desired model accuracy or the specified number of epochs is achieved. The loss function for training the PINN is
M S E = M S E u + M S E f = 1 N u i N u u t u i , x u i , w u i u i 2 + 1 N f i N f f t f i , x f i , w f i 2   .
In this context, N u refers to the total number of training data points, while N f represents the number of points used to validate the model within the specified domain. The expression u t u i , x u i , w u i describes the predicted value of δ k at time t u i based on the inputs x u i (voltage angle), w u i (wind power generation), and the observed values u i . The second term of the loss function incorporates the contribution from the governing physical laws, with the function f defined by the appropriate differential equations.

3. Implementation on 9 Bus System

This section outlines the implementation of physics-informed learning for predicting transient voltage angles using the IEEE 9-bus system under gust conditions. The process includes generating training data, simulating wind power across three renewable penetration scenarios, calculating the corresponding transient voltage angles, and describing the training procedure of the physics-informed learning model.

3.1. Wind Power Generation

Wind speed data, generated based on a normal distribution with a mean of 12 m/s and standard deviation of 4 m/s, was used to simulate the power output of wind turbines. A gust amplification factor of 1.5 was applied between 20 and 30 s, and a four-point moving average was used to smooth the data. The parameters for the wind turbine include a cut-in speed of 4 m/s, a cut-out speed of 25 m/s, and a rated speed of 12 m/s. The summary of wind speed is shown in Table 1. The simulated wind speed did not exceed the cut-out wind speed which can damage the turbine.
To represent different renewable energy penetration levels—20%, 40%, and 60%—this study used a 60 s simulation window with a constant load of 315 MW, based on IEEE 9-bus data in MATPOWER. For example, under a 40% penetration scenario, wind power must supply 40% of 315 MW, which equals 126 MW. Assuming the rated wind capacity is 1.5 times the required demand, the turbine’s rated power was set at 1.5 × 126 MW = 189 MW. The maximum power generation was capped at 189 MW, indicating the rated limit. Using the same logic, the rated wind power for 20% and 60% penetration levels was calculated as 94.5 MW and 283.5 MW, respectively.

3.2. Power System Setup

The 9-bus system, shown in Figure 5, consists of three generators, three loads, nine buses, and nine branches. In this study, a wind farm was integrated at Bus 2, replacing the conventional generator at that location. As a result, the swing equation for Bus 2 was modified to account for wind power generation, as shown in Equation (8).
m 1 δ ¨ + d 1 δ ˙ + B 14 V 1 V 4 sin ( δ 1 δ 4 ) P 1 = 0
The accuracy of dynamic system analysis depends heavily on the fidelity of the physical model. The swing equation is not merely a theoretical tool—it plays a critical role in describing the transient behavior of the power system when subjected to variable power inputs, such as those from wind. By incorporating key physical factors like inertia, damping, and inter-bus power flow, this model ensures that predictions made using the PINN approach closely reflect real-world system behavior.
Integrating wind power into the 9-bus system introduces additional complexity, as the inherent variability of wind speeds directly impacts power generation and system stability. The swing equation, combined with power flow analysis, provides a robust framework for understanding these interactions and predicting system behavior under such variable conditions.
Wind power data were generated at 1 s intervals, as fluctuations within shorter intervals (e.g., 0.1 s) are assumed to have minimal effect on power output. However, to accurately capture the dynamic response of the system, a finer time resolution of 0.1 s was used to calculate the voltage angle at Bus 1, as illustrated in Figure 6 and Algorithm 2. The swing equations were solved using MATLAB’s ODE solver, while the system data were based on the MATPOWER 9-bus case. Figure 7 displays the resulting voltage angle variations at Bus 1 under a wind power scenario with 40% penetration.
Algorithm 2: Simulation of Power Grid Dynamics with Wind Power Input
Input:  P w t , the initial δ k ,   δ j , when t = 0
Output:  δ k ,   δ j , t ( 0, 60 )
1Initialize constants and load Bus-9 data;
2Set the time interval t = [0, 60] seconds
3Set constant parameters d k , B k j , V k , V j , m k
4for idx = 1 to 50 do
5 Load wind data file idx.mat
6 Normalize wind power
7 for i = 1 to length(t) do
8 Solve swing equations using ode45 for each bus
9 Get the δ k ,   δ j at next time point
10 Compute phase angles and power flows
11 Update initial conditions for the next iteration
12 Store δ k ,   δ j for each time step
13 end
14 Save simulation results
15end
Wind power generation is expressed per unit (p.u.), where, for example, with a 40% penetration level, 1 p.u. corresponds to 126 MW and 1.5 p.u. represents 189 MW. This per unit system facilitates easier and more standardized comparisons and computations across various power scenarios, enabling consistent analysis regardless of scale or specific generation conditions. The detailed parameters of the power system are shown in Table 2.

3.3. Neural Network Setup

To configure the neural network, it is essential to define the number of hidden layers, the number of neurons per layer, and the appropriate number of training points N u and collocation points N f . In this study, each layer was set to contain 15 neurons to balance computational cost with prediction accuracy, specifically aiming to minimize the L 2 error between predicted and true solutions. The value of N u was chosen to maintain a balance between minimizing the L 2 error and keeping the training dataset size manageable.
In total, 50 wind speed scenarios were generated. Each scenario spanned 60 s, with data collected every 0.1 s—resulting in 600 data points per scenario. Across all 50 scenarios, the full dataset consisted of 30,000 data points.
The neural network employs the rectified linear unit (ReLU) activation function, which is effective for modeling nonlinear dynamics. The PINN model was trained on a 13th Gen Intel® Core™ i7-1365U 1.80 GHz processor with 32 GB of RAM (Dell Inc., Round Rock, TX, USA). This setup was chosen to efficiently balance accuracy and computational performance. An overview of the physics-informed learning architecture is shown in Figure 8.

4. Results and Discussion

This section presents the results for the three scenarios, where LSTM, GRU, and PINNs models were employed to predict transient voltage angles, and their performance was compared across each scenario, as shown in Table 3. To enhance learning efficiency while maintaining physical consistency, PINNs were integrated with LSTM and GRU architectures. Mathematically, this is achieved by modifying the total loss function of the recurrent model to include both a data-driven term and a physics-based residual:
L t o t a l = L d a t a + L p h y s i c s
where L d a t a is the traditional supervised learning loss and L p h y s i c s enforces consistency with the swing equation governing power system dynamics
The LSTM and GRU models were chosen as benchmarks due to their proven effectiveness in capturing temporal dependencies in time-series data. Both architectures are widely used in power system forecasting and dynamic behavior prediction. LSTM handles long-term dependencies through its memory cell structure, while GRU offers a simplified version with comparable performance and reduced computational overheads. By integrating these recurrent models with physics-informed loss terms, we aimed to compare their generalization performance under different levels of wind power variability, while evaluating how well each model maintains physical plausibility in its predictions. The overall model performance comparison is shown in Table 3.

4.1. Scenario 1: 20 Percent Penetration

Figure 9 illustrates the voltage angle of Bus 1 in the IEEE 9-bus system, with renewable wind energy contributing 20 percent to power generation. It also shows the wind speed and corresponding wind power generation at Bus 2. During a gust event between 20 and 30 s, the wind speed rises sharply, causing significant fluctuations in power generation. These fluctuations lead to variations in the voltage angles across the power system, particularly at Bus 1.
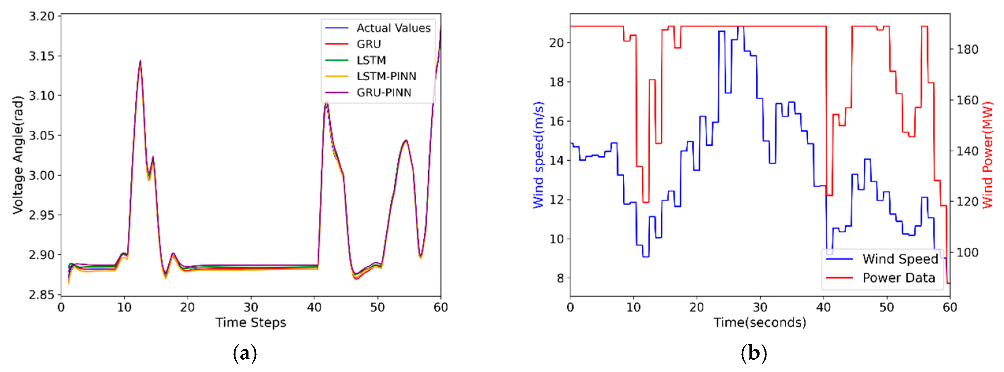
In Scenario 1, which represents the lowest wind power penetration level, the LSTM model achieved the best performance among all methods, with an MSE of 7.5 × 10 5 and an R-squared value of 0.981. This suggests that under low renewable influence, the system’s behavior is primarily governed by time-series patterns rather than complex physical dynamics. As a result, LSTM, with its strong capability to capture sequential dependencies, outperforms the physics-informed models. While the PINN-based models (LSTM-PINN and GRU-PINN) also achieved competitive results—with R-squared values of 0.980 and 0.978, respectively—they do not offer significant advantages in this scenario due to the limited role of wind-induced physical variability. GRU, though slightly behind LSTM, still performed reasonably well, further confirming that classic temporal models are well-suited to conditions where a time-series structure dominates and the impact of external physical constraints is minimal.

4.2. Scenario 2: 40 Percent Penetration

At 40% wind power penetration, the maximum wind generation was set to 189 MW. In this scenario, the advantage of incorporating physical knowledge into the learning process becomes more apparent, as shown in Figure 10. The LSTM-PINN model achieved the best performance and the highest R-squared value of 0.985, outperforming both traditional and hybrid models, as shown in Table 4. GRU-PINN also showed strong results, demonstrating that integrating physics-informed loss into recurrent architectures improves predictive accuracy as the complexity of wind dynamics increases. In contrast, the purely data-driven LSTM and GRU models showed a decline in performance. These findings suggest that as renewable penetration grows and system behavior becomes more nonlinear and uncertain, physics-informed models offer better generalization and robustness in predicting transient dynamics.

4.3. Scenario 3: 60 Percent Penetration

In Scenario 3, which represents the highest wind power penetration level tested, the benefits of integrating physical constraints into the learning process become even more pronounced, as shown in Figure 11. The LSTM-PINN model delivered the best overall performance, achieving an R-squared value of 0.991, as shown in Table 5. This indicates excellent agreement between the predicted and actual voltage angles, highlighting the model’s ability to generalize under high variability and strong dynamic interactions. The GRU-PINN model also performed well, with an R2 of 0.987, reinforcing the effectiveness of physics-informed recurrent architectures in capturing complex system behavior.
In contrast, the purely data-driven LSTM and GRU models showed a more significant drop in performance as the wind dynamics became more dominant. These results emphasize that in high-penetration renewable scenarios—where the system is more nonlinear and less predictable—PINNs provide a distinct advantage by embedding domain knowledge into the learning process, improving both accuracy and reliability.

4.4. Discussion and Limitation

The performance and efficiency of the PINN model are highly sensitive to the choice of hyperparameters, including the number of hidden layers, neurons per layer, learning rate, and the balance between data loss and physics-informed loss terms. In this study, each neural network layer contained 15 neurons—a design choice made to reduce computational load while preserving sufficient model expressiveness. A greater number of neurons or layers could potentially improve prediction accuracy by capturing more complex nonlinear relationships, but at the cost of increased training time and memory consumption. Similarly, the number of training points N u and collocation points N f directly influences the trade-off between training speed and solution fidelity: more points improve generalization but significantly increase computational demand. The use of the ReLU activation function supports convergence by effectively modeling nonlinearity, though its performance can vary based on the initialization scheme and optimizer settings. Overall, careful tuning of these hyperparameters is essential for achieving a balance between prediction accuracy and computational efficiency—especially in scenarios with limited hardware resources or when scaling to larger power system models.

5. Limitation and Future Direction

5.1. Limitations

While the proposed PINN framework demonstrates promising predictive capabilities for transient voltage angle estimation under wind-induced fluctuations, its current formulation is subject to several constraints that may affect its generalizability and practical deployment. To provide a comprehensive understanding of the method’s current scope and areas requiring further development, we outline key limitations below.
Data-level limitations in this study stem from the exclusive use of idealized, simulated datasets that do not capture the full range of real-world complexities.
  • External Disturbances: Real-world power systems are subject to various dynamic events such as load fluctuations, switching transients, and fault conditions. These external perturbations are not represented in the current simulations, which may limit the model’s robustness and reliability under realistic operating scenarios.
  • Sensor-related issues: Practical power systems often experience data quality challenges, including measurement noise, data dropouts due to network congestion, and timestamp misalignments caused by communication delays. These issues are not accounted for in the simulated environment, potentially leading to an overestimation of model performance.
Model-level limitations in this study concern both the computational demands and architectural design of the proposed approach:
  • High computational cost: The integration of PINNs with recurrent architectures such as LSTM and GRU enables the modeling of complex temporal dynamics but it comes at a high computational and memory cost. This is particularly evident when dealing with long time horizons or large-scale power systems, potentially limiting real-time deployment or its use in resource-constrained environments.
  • Loss weighting strategies: The effectiveness of PINNs heavily depends on how the different loss terms are weighted during training. An inappropriate balance can lead to underfitting of the physical constraints or overfitting to the data. Adaptive or dynamic loss weighting strategies could improve convergence and robustness.
  • Need for architectural efficiency: The current model does not incorporate optimizations for efficiency. Future research could explore alternatives such as lightweight transformer models, convolutional sequence networks, or model compression techniques to reduce computational load without sacrificing predictive performance.
System-level limitations in this study are primarily associated with the scope and scalability of the proposed framework:
  • Simplified system dynamics: The current dynamical model is based primarily on traditional synchronous machine behavior. It does not account for the complex, nonlinear, and fast-evolving dynamics introduced by modern components such as power electronic devices, inverter-based resources, and demand-side control mechanisms, which are increasingly integral to contemporary power systems.
  • Limited renewable energy representation: The study focuses exclusively on wind energy as the source of renewable uncertainty. This narrow scope excludes other important contributors such as solar photovoltaic (PV) systems, battery energy storage, and hybrid renewable configurations, all of which can significantly influence system dynamics and stability.
  • Scalability and real-time applicability: The proposed PINN framework has not been tested on large-scale power networks. As system size and complexity grow, the computational burden of physics-informed learning also increases. Without further optimization, the framework’s practicality for real-time or operational use in large, data-intensive grid environments may be limited.

5.2. Future Direction

To enhance the realism, generalizability, and practical utility of the proposed approach, several avenues for future research have been identified:
We suggest establishing a robust baseline that integrates multi-source power-related data. This integrated baseline would enable more comprehensive studies on simulating power system behavior under extreme weather conditions. However, creating such a dataset poses challenges: data from weather and power domains are often stored separately, lacking temporal and spatial alignment, and real-world power system data are difficult to obtain due to security and confidentiality concerns. Developing a unified and accessible benchmark dataset that captures both environmental and system-level dynamics would greatly benefit future research in this area.
For example, such a dataset could include the following: (1) Weather-related data: solar irradiance, wind speed and direction, ambient temperature, humidity, and atmospheric pressure. (2) Power system operational data: voltage magnitudes and angles, frequency, active and reactive power flows, generation setpoints, and breaker/switch status logs. (3) Load and external disturbances: real-time load profiles, sudden load variations, fault events (e.g., short circuits, line trips), switching transients, and scheduled or unscheduled outages.
We suggest building a robust and adaptable validation scheme to effectively evaluate and compare simulation results against real-world power system behavior. Such a framework is essential given the rapid development and deployment of new types of devices—such as inverter-based resources, smart controllers, and distributed energy storage systems—which introduce complex, nonlinear dynamics [29]. This validation scheme should be capable of accommodating diverse system configurations, evolving grid architectures, and varying data availability, ensuring that simulation tools remain accurate, reliable, and applicable under modern grid conditions [30].
For example, the validation scheme could compare the results from simulation tools—such as PSS®E or DIgSILENT PowerFactory—with actual measurements collected from the power grid during real events, like sudden load increases, voltage drops, or the activation of inverter-based solar systems. By checking how closely the simulation matches real-world data from devices like Phasor Measurement Units (PMUs), we can evaluate how accurately it reflects the behavior of the modern power system. This helps identify any gaps in the models and ensures that simulation tools remain reliable as power systems become more complex.
We suggest expanding the applicability of PINNs beyond traditional prediction tasks. In this study, PINNs are applied to predict transient voltage angles under wind speed uncertainty. Recent research has demonstrated the effectiveness of physics-based learning for anomaly detection, particularly in identifying cyber anomalies [31]. Building on this foundation, the proposed framework can be extended to support physics-informed anomaly detection by leveraging discrepancies between predicted physical behavior and actual system measurements.
For instance, if observed voltage angles or power flows deviate significantly from the values predicted by the physics-based model—despite adherence to established physical laws—such inconsistencies may signal potential anomalies, including sensor malfunctions, cyberattacks, or abnormal operational states. This direction offers promising potential for developing interpretable and robust anomaly detection methods, particularly in data-scarce or noisy environments where purely data-driven models may struggle to generalize reliably.

6. Conclusions

In this study, we investigated the use of physics-informed neural networks (PINNs) to predict transient voltage angles in power systems with high wind power integration. Wind generation under gusty conditions was simulated and incorporated into the swing equation across three penetration levels: 20%, 40%, and 60%. The resulting data was used to train the PINNs model, which was benchmarked against the LSTM and GRU models. The results show that PINNs outperform traditional models in predicting grid dynamics under wind uncertainty, demonstrating strong generalization across 50 unseen wind scenarios.
This study demonstrates a practical contribution to the field of power system operation and planning, particularly in supporting accurate, physics-consistent forecasting of dynamic variables like voltage angles in systems with high renewable penetration. Such predictive capabilities are critical for enhancing real-time situational awareness, improving stability assessments, and informing control decisions under uncertain conditions.
Although this study demonstrates the effectiveness of PINNs in predicting transient voltage angles, it also acknowledges several limitations at the data, model, and system levels. To address these challenges and enhance applicability, we proposed three key suggestions, one of which is the development of a robust baseline that integrates multi-source power-related data, such as weather conditions and system operational data. By achieving this integration, the proposed methodology can be broadly extended to other types of power systems and scenarios. For instance, the PINNs framework can be adapted to systems involving solar PV, battery energy storage, or hybrid renewable configurations by adjusting the underlying physical equations.

Author Contributions

Conceptualization, R.Y. and L.V.; methodology, R.Y.; software, R.Y.; validation, R.Y. and L.V.; formal analysis, R.Y.; investigation, R.Y.; resources, R.Y.; data curation, R.Y.; writing—original draft preparation, R.Y.; writing—review and editing, L.V.; visualization, R.Y.; supervision, L.V.; project administration, L.V. All authors have read and agreed to the published version of the manuscript.

Funding

This research received no external funding.

Data Availability Statement

The data used in this study were generated through simulation based on the standard IEEE 9-bus system. All simulation parameters and configurations are fully described within the article. No external datasets were used or generated.

Conflicts of Interest

The authors declare no conflicts of interest.

References

  1. Schäfer, B.; Witthaut, D.; Timme, M.; Latora, V. Dynamically induced cascading failures in power grids. Nat. Commun. 2018, 9, 1975. [Google Scholar] [CrossRef] [PubMed]
  2. Wu, Q.-H.; Lin, Y.; Hong, C.; Su, Y.; Wen, T.; Liu, Y. Transient Stability Analysis of Large-scale Power Systems: A Survey. CSEE J. Power Energy Syst. 2023, 9, 1284–1300. [Google Scholar] [CrossRef]
  3. Khadka, N.; Adhikary, B.; Sharma, S. Transient Stability in Renewable Energy Penetrated Power Systems: A Review. In Proceedings of the International Conference on Role of Energy for Sustainable Social Development in ‘New Normal’ Era (RESSD-2020), Kathmandu, Nepal, 28–29 December 2020. [Google Scholar]
  4. Niu, S.; Zhang, Z.; Ke, X.; Zhang, G.; Huo, C.; Qin, B. Impact of renewable energy penetration rate on power system transient voltage stability. Energy Rep. 2022, 8, 487–492. [Google Scholar] [CrossRef]
  5. Hamilton, R.I.; Papadopoulos, P.N.; Bell, K. An investigation into spatial and temporal aspects of transient stability in power systems with increasing renewable generation. Int. J. Electr. Power Energy Syst. 2020, 115, 105486. [Google Scholar] [CrossRef]
  6. Pei, J.; Yao, J.; Liu, R.; Zeng, D.; Sun, P.; Zhang, H.; Liu, Y. Characteristic Analysis and Risk Assessment for Voltage–Frequency Coupled Transient Instability of Large-Scale Grid-Connected Renewable Energy Plants During LVRT. IEEE Trans. Ind. Electron. 2020, 67, 5515–5530. [Google Scholar] [CrossRef]
  7. Li, Z.; Yan, J.; Liu, Y.; Liu, W.; Li, L.; Qu, H. Power system transient voltage vulnerability assessment based on knowledge visualization of CNN. Int. J. Electr. Power Energy Syst. 2024, 155, 109576. [Google Scholar] [CrossRef]
  8. Jia, K.; Li, Y.; Fang, Y.; Zheng, L.; Bi, T.; Yang, Q. Transient current similarity based protection for wind farm transmission lines. Appl. Energy 2018, 225, 42–51. [Google Scholar] [CrossRef]
  9. He, X.; Geng, H.; Li, R.; Pal, B.C. Transient Stability Analysis and Enhancement of Renewable Energy Conversion System During LVRT. IEEE Trans. Sustain. Energy 2020, 11, 1612–1623. [Google Scholar] [CrossRef]
  10. Wang, G.; Huang, Y.; Wang, C.; Shahidehpour, M.; Hao, Q. Voltage-Adaptive Strategy for Transient Stability Enhancement of Power Systems With 100% Renewable Energy. IEEE Trans. Autom. Sci. Eng. 2024, 22, 1364–1376. [Google Scholar] [CrossRef]
  11. Cui, H.; Wang, Q.; Ye, Y.; Tang, Y.; Lin, Z. A combinational transfer learning framework for online transient stability prediction. Sustain. Energy Grids Netw. 2022, 30, 100674. [Google Scholar] [CrossRef]
  12. Zhou, Y.; Guo, Q.; Sun, H.; Yu, Z.; Wu, J.; Hao, L. A novel data-driven approach for transient stability prediction of power systems considering the operational variability. Int. J. Electr. Power Energy Syst. 2019, 107, 379–394. [Google Scholar] [CrossRef]
  13. Zhu, L.; Hill, D.J.; Lu, C. Hierarchical Deep Learning Machine for Power System Online Transient Stability Prediction. IEEE Trans. Power Syst. 2020, 35, 2399–2411. [Google Scholar] [CrossRef]
  14. Shi, F.; Wu, J.; Bu, Y.; Li, F.; Zhao, P. Online assessment of transient power angle & voltage in power system: Realizing fast prediction and fast update in any scenarios. Int. J. Electr. Power Energy Syst. 2024, 156, 109724. [Google Scholar] [CrossRef]
  15. Azman, S.K.; Isbeih, Y.J.; Moursi, M.S.E.; Elbassioni, K. A Unified Online Deep Learning Prediction Model for Small Signal and Transient Stability. IEEE Trans. Power Syst. 2020, 35, 4585–4598. [Google Scholar] [CrossRef]
  16. Zhang, S.; Yu, J.J.Q. Bayesian Deep Learning for Dynamic Power System State Prediction Considering Renewable Energy Uncertainty. J. Mod. Power Syst. Clean Energy 2022, 10, 913–922. [Google Scholar] [CrossRef]
  17. Zhao, T.; Yue, M.; Wang, J. Structure-Informed Graph Learning of Networked Dependencies for Online Prediction of Power System Transient Dynamics. IEEE Trans. Power Syst. 2022, 37, 4885–4895. [Google Scholar] [CrossRef]
  18. Hijazi, M.; Dehghanian, P.; Wang, S. Transfer Learning for Transient Stability Predictions in Modern Power Systems Under Enduring Topological Changes. IEEE Trans. Autom. Sci. Eng. 2024, 21, 3274–3288. [Google Scholar] [CrossRef]
  19. Huang, B.; Wang, J. Applications of Physics-Informed Neural Networks in Power Systems—A Review. IEEE Trans. Power Syst. 2023, 38, 572–588. [Google Scholar] [CrossRef]
  20. Misyris, G.S.; Venzke, A.; Chatzivasileiadis, S. Physics-Informed Neural Networks for Power Systems. In Proceedings of the 2020 IEEE Power & Energy Society General Meeting (PESGM), Montreal, QC, Canada, 2–6 August 2020; IEEE: Piscataway, NJ, USA, 2020; pp. 1–5. [Google Scholar] [CrossRef]
  21. Raissi, M.; Perdikaris, P.; Karniadakis, G.E. Physics-informed neural networks: A deep learning framework for solving forward and inverse problems involving nonlinear partial differential equations. J. Comput. Phys. 2019, 378, 686–707. [Google Scholar] [CrossRef]
  22. De Cominges Guerra, I.; Li, W.; Wang, R. A Comprehensive Analysis of PINNs for Power System Transient Stability. Electronics 2024, 13, 391. [Google Scholar] [CrossRef]
  23. Ngo, Q.-H.; Nguyen, B.L.H.; Vu, T.V.; Zhang, J.; Ngo, T. Physics-informed graphical neural network for power system state estimation. Appl. Energy 2024, 358, 122602. [Google Scholar] [CrossRef]
  24. Cao, D.; Zhao, J.; Hu, J.; Pei, Y.; Huang, Q.; Chen, Z.; Hu, W. Physics-Informed Graphical Representation-Enabled Deep Reinforcement Learning for Robust Distribution System Voltage Control. IEEE Trans. Smart Grid 2024, 15, 233–246. [Google Scholar] [CrossRef]
  25. Stiasny, J.; Chevalier, S.; Chatzivasileiadis, S. Learning without Data: Physics-Informed Neural Networks for Fast Time-Domain Simulation. In Proceedings of the 2021 IEEE International Conference on Communications, Control, and Computing Technologies for Smart Grids (SmartGridComm), Aachen, Germany, 25–28 October 2021; IEEE: Piscataway, NJ, USA, 2021; pp. 438–443. [Google Scholar] [CrossRef]
  26. Sarić, A.A.; Transtrum, M.K.; Sarić, A.T.; Stanković, A.M. Integration of Physics- and Data-Driven Power System Models in Transient Analysis After Major Disturbances. IEEE Syst. J. 2023, 17, 479–490. [Google Scholar] [CrossRef]
  27. Sheridan, P. Current gust forecasting techniques, developments and challenges. Adv. Sci. Res. 2018, 15, 159–172. [Google Scholar] [CrossRef]
  28. Gonçalves, A.C.R.; Costoya, X.; Nieto, R.; Liberato, M.L.R. Extreme weather events on energy systems: A comprehensive review on impacts, mitigation, and adaptation measures. Sustain. Energy Res. 2024, 11, 4. [Google Scholar] [CrossRef]
  29. Gavriluta, C.; Lauss, G.; Strasser, T.I.; Montoya, J.; Brandl, R.; Kotsampopoulos, P. Asynchronous Integration of Real-Time Simulators for HIL-based Validation of Smart Grids. In Proceedings of the IECON 2019—45th Annual Conference of the IEEE Industrial Electronics Society, Lisbon, Portugal, 14–17 October 2019; IEEE: Piscataway, NJ, USA, 2019; pp. 6425–6431. [Google Scholar] [CrossRef]
  30. Ma, A.; Ghamizi, S.; Cao, J.; Rodriguez, P. SafePowerGraph-HIL: Real-Time HIL Validation of Heterogeneous GNNs for Bridging Sim-to-Real Gap in Power Grids. arXiv 2025, arXiv:2501.12427. [Google Scholar] [CrossRef]
  31. Zideh, M.J.; Solanki, S.K. Multivariate Physics-Informed Convolutional Autoencoder for Anomaly Detection in Power Distribution Systems with High Penetration of DERs. arXiv 2024, arXiv:2406.02927. [Google Scholar] [CrossRef]
Figure 1. Overview of the proposed PINN-based framework for forecasting voltage angles under gusty wind conditions across different renewable penetration rates. The model integrates wind and voltage angle data using the swing equation (green dashed box) to improve prediction accuracy and support operator decision making under extreme weather scenarios. Arrows indicate the data flow and model inference path from inputs to outputs.
Figure 1. Overview of the proposed PINN-based framework for forecasting voltage angles under gusty wind conditions across different renewable penetration rates. The model integrates wind and voltage angle data using the swing equation (green dashed box) to improve prediction accuracy and support operator decision making under extreme weather scenarios. Arrows indicate the data flow and model inference path from inputs to outputs.
Electricity 06 00034 g001
Figure 2. Swing equation representation between Bus k and Bus j.
Figure 2. Swing equation representation between Bus k and Bus j.
Electricity 06 00034 g002
Figure 3. Process of gust simulation and wind power integration into the IEEE 9-bus system. Wind speed scenarios were generated using randomized gust factors and wind turbine parameters, then converted to wind power, and incorporated into the grid model to produce simulated wind speed and power profiles.
Figure 3. Process of gust simulation and wind power integration into the IEEE 9-bus system. Wind speed scenarios were generated using randomized gust factors and wind turbine parameters, then converted to wind power, and incorporated into the grid model to produce simulated wind speed and power profiles.
Electricity 06 00034 g003
Figure 4. The structure of physics-informed learning. The left dashed box represents the neural network that takes input variables and predicts the target variable. The right dashed box shows the swing equation, used as the physics-based constraint. Arrows indicate the flow of information from input to prediction, and through the loss function where the discrepancy between model outputs and physical laws is minimized.
Figure 4. The structure of physics-informed learning. The left dashed box represents the neural network that takes input variables and predicts the target variable. The right dashed box shows the swing equation, used as the physics-based constraint. Arrows indicate the flow of information from input to prediction, and through the loss function where the discrepancy between model outputs and physical laws is minimized.
Electricity 06 00034 g004
Figure 5. IEEE 9-bus system consisting of buses labeled Bus 1 to Bus 9, three generators (G1, G3, and a wind turbine connected at Bus 2), and loads connected at Bus 5, Bus 7, and Bus 9.
Figure 5. IEEE 9-bus system consisting of buses labeled Bus 1 to Bus 9, three generators (G1, G3, and a wind turbine connected at Bus 2), and loads connected at Bus 5, Bus 7, and Bus 9.
Electricity 06 00034 g005
Figure 6. Flowchart illustrating the procedure for calculating dynamic voltage angles using wind power input.
Figure 6. Flowchart illustrating the procedure for calculating dynamic voltage angles using wind power input.
Electricity 06 00034 g006
Figure 7. Time-series plots of wind power generation (bottom) and the corresponding voltage angle response at Bus 1 (top). The results illustrate how fluctuations in wind power over 60 s influence the dynamic behavior of voltage angles in the system.
Figure 7. Time-series plots of wind power generation (bottom) and the corresponding voltage angle response at Bus 1 (top). The results illustrate how fluctuations in wind power over 60 s influence the dynamic behavior of voltage angles in the system.
Electricity 06 00034 g007
Figure 8. Overall flowchart illustrating the process of physics-informed learning for voltage angle prediction. The framework combines gust-induced wind power simulations and power system modeling with the PINN workflow, including initialization, data processing, training, and validation.
Figure 8. Overall flowchart illustrating the process of physics-informed learning for voltage angle prediction. The framework combines gust-induced wind power simulations and power system modeling with the PINN workflow, including initialization, data processing, training, and validation.
Electricity 06 00034 g008
Figure 9. (a) Comparison of predicted voltage angles using GRU, LSTM, GRU-PINN, and LSTM-PINN against actual values under Scenario 1. (b) The corresponding wind speed and wind power profile used as input for the voltage angle prediction.
Figure 9. (a) Comparison of predicted voltage angles using GRU, LSTM, GRU-PINN, and LSTM-PINN against actual values under Scenario 1. (b) The corresponding wind speed and wind power profile used as input for the voltage angle prediction.
Electricity 06 00034 g009
Figure 10. (a) Voltage angle predictions using GRU, LSTM, GRU-PINN, and PINN-PINN models compared to actual values under Scenario 2. (b) Corresponding wind speed and wind power profiles used as inputs, reflecting more dynamic wind behavior and higher renewable penetration.
Figure 10. (a) Voltage angle predictions using GRU, LSTM, GRU-PINN, and PINN-PINN models compared to actual values under Scenario 2. (b) Corresponding wind speed and wind power profiles used as inputs, reflecting more dynamic wind behavior and higher renewable penetration.
Electricity 06 00034 g010
Figure 11. (a) Voltage angle prediction results of different models under Scenario 3, showing that LSTM-PINN and GRU-PINN closely follow actual values under highly variable wind conditions. (b) Corresponding wind speed and wind power profile used as input, representing the highest renewable penetration level in the study.
Figure 11. (a) Voltage angle prediction results of different models under Scenario 3, showing that LSTM-PINN and GRU-PINN closely follow actual values under highly variable wind conditions. (b) Corresponding wind speed and wind power profile used as input, representing the highest renewable penetration level in the study.
Electricity 06 00034 g011
Table 1. Parameters used in the wind power simulation, including renewable penetration levels, turbine characteristics, load demand, and gust event configuration.
Table 1. Parameters used in the wind power simulation, including renewable penetration levels, turbine characteristics, load demand, and gust event configuration.
ParameterValueUnit
Penetration20%, 40%, 60%/
Rated power94.5, 189, 283.5MW
Load demand315MW
Cut-in speed4m/s
Cut-out speed25m/s
Rated speed12m/s
Gust amplification factor1.5/
t[0, 60]seconds
Table 2. Parameters used in the power system simulation, including generator dynamics, admittance, voltage levels, time settings, and initial conditions for rotor angles and speeds.
Table 2. Parameters used in the power system simulation, including generator dynamics, admittance, voltage levels, time settings, and initial conditions for rotor angles and speeds.
ParameterValueUnit
m k 0.4seconds
d k 1p.u./s
B k j 1.63Siemens
V k 1p.u.
V f 1p.u.
t [0, 60]seconds
t 0.1seconds
δ k   ( t = 0 ) 2.8rad
δ k ˙   ( t = 0 ) 0rad/s
δ j   ( t = 0 ) −10.16rad
Table 3. Performance comparison of standard LSTM, standard GRU, GRU-PINN, and LSTM-PINN in Scenario 1.
Table 3. Performance comparison of standard LSTM, standard GRU, GRU-PINN, and LSTM-PINN in Scenario 1.
MethodMSER-Squared
GRU9.5 × 10−50.972
LSTM7.5 × 10−50.981
GRU-PINN8.5 × 10−50.978
LSTM-PINN8.2 × 10−50.980
Table 4. Performance comparison of standard LSTM, standard GRU, GRU-PINN, and LSTM-PINN in Scenario 2.
Table 4. Performance comparison of standard LSTM, standard GRU, GRU-PINN, and LSTM-PINN in Scenario 2.
MethodMSER-Squared
GRU1.2 × 10−40.960
LSTM8.8 × 10−50.975
GRU-PINN5.8 × 10−50.983
LSTM-PINN5.4 × 10−50.987
Table 5. Performance comparison of standard LSTM, standard GRU, GRU-PINN, and LSTM-PINN in Scenario 3.
Table 5. Performance comparison of standard LSTM, standard GRU, GRU-PINN, and LSTM-PINN in Scenario 3.
MethodMSER-Squared
GRU1.4 × 10−40.955
LSTM1.3 × 10−40.968
GRU-PINN5.9 × 10−50.987
LSTM-PINN4.1 × 10−50.991
Disclaimer/Publisher’s Note: The statements, opinions and data contained in all publications are solely those of the individual author(s) and contributor(s) and not of MDPI and/or the editor(s). MDPI and/or the editor(s) disclaim responsibility for any injury to people or property resulting from any ideas, methods, instructions or products referred to in the content.

Share and Cite

MDPI and ACS Style

Yin, R.; Varga, L. Physics-Informed Learning for Predicting Transient Voltage Angles in Renewable Power Systems Under Gusty Conditions. Electricity 2025, 6, 34. https://doi.org/10.3390/electricity6020034

AMA Style

Yin R, Varga L. Physics-Informed Learning for Predicting Transient Voltage Angles in Renewable Power Systems Under Gusty Conditions. Electricity. 2025; 6(2):34. https://doi.org/10.3390/electricity6020034

Chicago/Turabian Style

Yin, Ruoqing, and Liz Varga. 2025. "Physics-Informed Learning for Predicting Transient Voltage Angles in Renewable Power Systems Under Gusty Conditions" Electricity 6, no. 2: 34. https://doi.org/10.3390/electricity6020034

APA Style

Yin, R., & Varga, L. (2025). Physics-Informed Learning for Predicting Transient Voltage Angles in Renewable Power Systems Under Gusty Conditions. Electricity, 6(2), 34. https://doi.org/10.3390/electricity6020034

Article Metrics

Back to TopTop