Abstract
Reducing atmospheric carbon dioxide is a critical global priority. This study investigates the influence of Cu-Ni nanoalloy loading on the CO2 electroreduction efficiency in the context of mesoporous carbon supports. Current methods struggle when it comes to catalyst efficiency, selectivity, and longevity. By synthesizing copper–nickel nanoparticles through chemical reduction and depositing them on porous carbon, this research aimed to optimize catalyst loading and understand the structure–activity relationships. Catalyst performance was evaluated using chronoamperometry and linear sweep voltammetry (LSV). The results showed that 12 wt% catalyst loading achieved optimal CO2 reduction, outperforming its 36 wt% counterpart by balancing the catalyst quantity. This study reveals that 12 wt% Cu-Ni loading provides a higher CO2 reduction current density and greater long-term stability than 36 wt% loading, owing to better nanoparticle dispersion and reduced aggregation. Unlike previous Cu-Ni/mesoporous carbon studies, this work uniquely compares different loadings to directly correlate the structure, electrochemical performance, and catalyst durability.
1. Introduction
Our research makes a unique contribution to the field by directly comparing the effect of metal loading on mesoporous carbon, a gap that has not been systematically addressed until now. The urgent need to address the growing global environmental crisis has led to an increased focus on developing sustainable energy technologies that can effectively mitigate carbon dioxide emissions. One promising approach is the electrochemical reduction of carbon dioxide, which can convert this greenhouse gas into valuable fuels and chemicals [1]. However, the low selectivity and energy efficiency of the traditional CO2 reduction processes have hindered their widespread adoption. Recent advances in nanotechnology have enabled the development of copper-based catalysts that are particularly effective in facilitating carbon–carbon bond formation and producing diverse hydrocarbon products. When combined with Ni, which exhibits excellent CO2 absorption properties and electronic effects, the resulting bimetallic systems can potentially overcome the limitations of single-metal catalysts [2]. For instance, previous studies have demonstrated that controlling the Cu-Cu interatomic distances in cuprous oxide (Cu2O) nanostructures and introducing nitrogen-rich auxiliary ligands in metalloporphyrin-based metal–organic frameworks (MOFs) can significantly enhance catalytic activity and selectivity [3]. The support material also plays a critical role in determining the catalytic behavior. Mesoporous carbon is ideal for dispersing metal nanoparticles due to its high surface area, controlled pore structure, and excellent electrical conductivity. The porous support improves mass transport and limits aggregation, potentially improving activity and stability [4]. However, optimizing the metal loading on these mesoporous carbon supports is challenging. Excessive loading can lead to particle aggregation and pore blockage, whereas insufficient loading can result in suboptimal catalytic activity. A critical factor in developing effective catalysts is optimizing the adsorption energy of CO2 and its reaction intermediates on the catalyst surface while simultaneously modulating the electronic structure of the catalytically active sites. These parameters significantly influence the reaction pathways and product selectivity. Despite extensive research, the complex relationship between metal–support interactions and catalytic performance remains poorly understood, particularly for bimetallic systems supported on mesoporous carbon. While previous studies have explored Cu-Ni catalysts with various supports or ratios, few have directly compared the effect of metal loading on mesoporous carbon [5,6,7,8,9]. This work uniquely bridges this gap through a structure–performance correlation study of 12% vs. 36% Cu-Ni loading. However, a few studies have systematically compared different Cu-Ni loadings on mesoporous carbon to understand how they affect its structure and electrochemical performance. Table 1 compares the structure–activity relationships for the CuNi nanoalloy-coated mesoporous carbon catalysts reported in different studies.
Table 1.
Structure–activity relationships of Cu-Ni nanoalloy-coated mesoporous carbon catalysts reported in the literature.
We synthesized Cu-Ni nanoalloy-coated mesoporous carbon catalysts with two metal loadings (12% and 36%). These loadings were chosen based on previous studies and our preliminary experiments, which suggested that these loadings could significantly affect the catalyst’s morphology, product selectivity, and long-term electrochemical stability. This study uniquely compares Cu-Ni loading levels directly, revealing how metal content affects these key properties. While previous studies explored different Cu-Ni compositions or supports, the role of metal loading on mesoporous carbon has not been systematically addressed until now.
2. Materials and Methods
Cu-Ni nanoalloy-decorated mesoporous carbon (CuNi/MC) catalysts were synthesized using commercial mesoporous carbon as a support, with Cu: Ni ratios of 1:1, 1:3, and 3:1.As shown in Figure 1, the synthesis involved dissolving nickel chloride (NiCl2) and copper chloride (CuCl2) in N, N-dimethylformamide (DMF) with all chemicals obtained from Sigma-Aldrich (St. Louis, MO, USA), followed by the addition of mesoporous carbon and continuous stirring for 24 h. The mixture was then transferred to a Teflon-lined autoclave and heated at 180 °C for 8 h in the presence of oleic acid and oleylamine as stabilizing agents. The final catalyst was purified by centrifugation, dried, and subjected to thermal treatment at 700 °C under an argon atmosphere to enhance its structural stability. The synthesized Cu-Ni nanoalloy-coated mesoporous carbon catalysts were characterized using scanning electron microscopy (SEM, Nova NanoSEM 450, FEI Company, Hillsboro, OR, USA) to analyze their morphology and particle distribution. SEM images revealed differences in structure based on metal loading, with 12% loading showing a more uniform dispersion and an open structure, while 36% loading showed a denser coating with larger aggregates. The electrochemical CO2 reduction performance was evaluated using linear sweep voltammetry (LSV) and chronoamperometry (CA) with a Gamry Reference 600 potentiostat/galvanostat/ZRA (Gamry Instruments, Warminster, PA, USA). The LSV measurements revealed an onset potential for CO2 reduction at approximately −1.2 V. The current densities recorded in CO2 saturated electrolyte were significantly higher than those under Ar, confirming that the catalyst selectively facilitates CO2 electroreduction. Chronoamperometry tests conducted over eight hours demonstrated stable catalytic activity with minimal degradation, particularly for 12% loading, maintaining consistently higher current densities throughout the test period.
Figure 1.
Schematic of the experimental workflow for synthesizing and characterizing Cu-Ni nanoalloy-coated mesoporous carbon (MC) catalysts for CO2 electrochemical reduction.
3. Results and Discussion
This section discusses the results of our analysis of mesoporous carbon catalysts enhanced with CuNi nanoalloy coatings. We explored these materials’ structural characteristics and electrochemical efficacy, providing essential insights into their catalytic properties and potential for optimizing the CO2 electroreduction processes.
3.1. Morphology and Structure Analysis
Figure 2 shows SEM images of the catalysts at different loadings. (a) shows an SEM image of the catalyst with 12% Cu-Ni loading, showing a porous structure with evenly dispersed alloy particles. (b) presents an SEM image of a sample with 36% Cu-Ni loading, where a denser distribution of alloy particles and larger aggregates are observable. (c) likely represents pure Cu-Ni nanoalloy particles without a carbon support, highlighting more distinct and separate particles. The key difference between the 12% and 36% loadings was their impact on catalyst morphology. The 12% loading in (a) resulted in a more open structure with smaller, uniformly distributed nanoparticles. In contrast, the 36% loading in (b) resulted in a denser coating with larger particle clusters and a more compact structure. This suggests that increasing the metal loading leads to a more crowded surface, which may influence the catalyst performance and accessibility of the active sites. Overall, these images confirm the successful synthesis of Cu-Ni nanoalloy particles, their uniform deposition on the mesoporous carbon support, and the preservation of the porous structure, an essential feature for catalytic applications.
Figure 2.
SEM images of Cu-Ni nanoalloy-coated mesoporous carbon catalysts at different loadings: (a) 12%, (b) 36%, and (c) pure Cu-Ni nanoalloy.
3.2. Phase and Composition Analysis
XRD analysis highlighted distinct structural variations between the Cu and Ni nanoalloy catalysts with 36% and 12% metal loading on mesoporous carbon as shown in Figure 3. The 36% loading exhibited sharp and well-defined diffraction peaks, particularly at approximately 45° (2θ), corresponding to the crystalline planes of the CuNi nanoalloys (JCPDS 04-0836), indicating a highly ordered structure with enhanced crystallinity. In contrast, the 12% loading presented broader peaks between 25° and 35° (2θ), mainly attributed to the mesoporous carbon’s (002) plane, suggesting a more amorphous structure. These findings demonstrate that increasing metal loading promotes the formation of well-ordered CuNi nanoalloys, while lower loading results in a more carbon-dominant and disordered phase, influencing the catalyst’s structural properties and potential electrochemical performance.
Figure 3.
XRD patterns of mesoporous carbon with 36% and 12% Cu-Ni nanoalloy loading.
3.3. Thermal Stability
TGA analysis of the CuNi nanoalloy-coated mesoporous carbon catalysts with 12% and 36% loadings revealed distinct thermal behaviors (Figure 4). The catalyst with 36% loading exhibited an initial weight loss up to 200 °C due to moisture removal, a significant weight loss between 200 °C and 500 °C attributed to the decomposition of organic surfactants, and a stable weight above 500 °C, indicating residual carbon and alloy stability. The catalyst with 12% loading showed a similar pattern, but with more significant weight loss after 500 °C, suggesting higher carbon content degradation. Both catalysts demonstrated sufficient thermal stability for CO2 electroreduction applications.
Figure 4.
TGA curves of CuNi nanoalloy-coated mesoporous carbon catalysts (12% and 36% loadings), indicating moisture loss (≤200 °C), surfactant decomposition (200–500 °C), and thermal stability (>500 °C).
3.4. Electrochemical CO2 Reduction Results
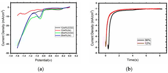
The electrochemical activity of the Cu-Ni nanoalloy catalysts was evaluated using linear sweep voltammetry (LSV) and chronoamperometry (Figure 5). LSV measurements (Figure 5a) conducted in CO2 and Ar environments revealed distinct differences, with CO2 reduction initiating around −1.2 V and reaching significantly higher current densities (up to −40 mA/cm2) than Ar, confirming the catalyst’s selectivity for CO2 reduction. Chronoamperometry (Figure 5b) tests conducted over eight hours demonstrated stable performance for both 12% and 36% loading, with minimal degradation. The improved performance at 12% Cu-Ni loading may be attributed to more efficient charge transfer and a higher electrochemically active surface area. The more uniform dispersion of nanoparticles increases the number of accessible active sites and reduces electron pathway resistance. Additionally, the lower loading helps preserve the mesoporous structure, minimizing pore blockage and enhancing CO2 diffusion throughout the catalyst. These structural advantages likely contribute to enhanced adsorption of key intermediates and more favorable reaction kinetics. Similar effects have been reported in other Cu-Ni/porous carbon systems. In contrast, 36% loading likely caused particle agglomeration, limiting active site accessibility. Similar trends have been observed for other Cu-Ni systems supported on porous carbon materials [1,5].
Figure 5.
(a) LSV for 12% and 36% CO2 and Ar. (b) Chronoamperometry for both loadings.
The distribution of CO2 reduction products was characterized using gas chromatography (GC) and 1H NMR spectroscopy. GC analysis identified carbon monoxide (CO) as the main gaseous product at −1.2 V vs. RHE, with minimal H2 evolution, indicating selective CO2 reduction during the HER. The liquid-phase products were analyzed by 1H NMR spectroscopy, which revealed methanol as the major liquid product, evidenced by a characteristic singlet at δ = 1.34 ppm at −1.2 V vs. RHE. The simultaneous formation of CO (2e− reduction) and methanol (8e− reduction) suggests that the CuNi/MC catalyst effectively facilitates both complex and straightforward electron transfer processes, likely due to the synergistic effect between the Cu and Ni atoms, optimizing the binding energies of the reaction intermediates. The catalyst demonstrated remarkable stability over 8 h chronoamperometry testing at −1.2 V vs. RHE. Finally, compared to previous Cu-Ni-based systems reported in the literature, the 12% loading in this study demonstrated comparable or higher current densities with improved stability over long-term testing, likely due to more uniform dispersion and minimized aggregation. While earlier studies have focused on different support morphologies or alloy ratios, our results emphasize the importance of loading optimization for performance enhancement.
4. Conclusions
This study investigated Cu-Ni nanoalloy-coated mesoporous carbon catalysts for CO2 electroreduction, comparing 12% and 36% loadings. While the 12% loading exhibited a uniform particle distribution, the 36% loading formed larger aggregates with higher crystallinity. Electrochemical tests showed stable performance, with CO2 reduction onset at −1.2 V and dominant CO and methanol production, highlighting the selective CO2 reduction. These findings offer valuable insights for optimizing the catalyst design for sustainable CO2 conversion and energy applications.
Author Contributions
Conceptualization and methodology, M.B.A.; validation, M.B.A. and A.B.R.; formal analysis: M.B.A.; investigation, M.B.A.; resources, M.B.A.; data curation, M.B.A.; writing of the original draft, M.B.A.; writing, reviewing and editing, M.B.A., A.B.R., and N.A.-Q.; visualization: M.B.A.; supervision, N.A.-Q.; project administration, N.A.-Q.; funding acquisition, N.A.-Q. All authors have read and agreed to the published version of the manuscript.
Funding
This study did not receive any funding.
Institutional Review Board Statement
Not applicable.
Informed Consent Statement
Not applicable.
Data Availability Statement
The original data and findings of this study are available within the article; for any additional questions, please contact the corresponding author.
Acknowledgments
The authors would like to thank the Center of Advanced Materials (CAM) and Central Laboratories Unit (CLU) for their assistance in sample characterization.
Conflicts of Interest
The authors declare no conflicts of interest.
References
- Tirumala, R.T.A.; Ramakrishnan, S.B.; Andiappan, M. Distinguishing Dynamic Phase Catalysis in Cu based nanostructures under Reverse Water Gas Shift Reaction. arXiv 2022. [Google Scholar] [CrossRef]
- Jiang, Y.; Huang, T.; Dong, L.; Qin, Z.; Ji, H. Ni/bentonite catalysts prepared by solution combustion method for CO2 methanation. Chin. J. Chem. Eng. 2018, 26, 2361–2367. [Google Scholar] [CrossRef]
- Wei, X.; Li, Z.; Jang, H.; Kim, M.G.; Qin, Q.; Liu, X. Lattice strain and interfacial engineering of a Bi-based electrocatalyst for highly selective CO2 electroreduction to formate. Sci. China Mater. 2023, 66, 1398–1406. [Google Scholar] [CrossRef]
- Han, W.; Liu, B.; Chen, Y.; Jia, Z.; Wei, X.; Song, W. Coordinatively unsaturated aluminum anchored Ru cluster for catalytic hydrogenation of benzene. J. Catal. 2021, 400, 255–264. [Google Scholar] [CrossRef]
- Tan, D.; Zhang, J.; Cheng, X.; Tan, X.; Shi, J.; Zhang, B.; Han, B.; Zheng, L.; Zhang, J. CuxNiy alloy nanoparticles embedded in a nitrogen–carbon network for efficient conversion of carbon dioxide. Chem. Sci. 2019, 10, 4491–4496. [Google Scholar] [CrossRef] [PubMed]
- Bagger, A.; Ju, W.; Varela, A.S.; Strasser, P.; Rossmeisl, J. Electrochemical CO2 Reduction: Classifying Cu Facets. ACS Catal. 2019, 9, 7894–7899. [Google Scholar] [CrossRef]
- Meng, X.; Pan, G.; Liu, H.; Qian, Y.; Wang, X.; Wang, C.; Hu, L.; Wang, H.; Chen, Q. Ultrasmall Cu Nanocrystals Dispersed in Nitrogen-Doped Carbon as Highly Efficient Catalysts for CO2 Electroreduction. ACS Appl. Mater. Interfaces 2022, 14, 17240–17248. [Google Scholar] [CrossRef] [PubMed]
- Pérez-Rodríguez, S.; Pastor, E.; Lázaro, M.J. Ordered Mesoporous Carbon as a Support of Pd Catalysts for CO2 Electrochemical Reduction. Catalysts 2020, 10, 912. [Google Scholar] [CrossRef]
- He, C.; Wang, S.; Jiang, X.; Hu, Q.; Yang, H.; He, C. Bimetallic Cobalt–Copper Nanoparticle-Decorated Hollow Carbon Nanofibers for Efficient CO2 Electroreduction. Front. Chem. 2022, 10, 904241. [Google Scholar] [CrossRef] [PubMed]
Disclaimer/Publisher’s Note: The statements, opinions and data contained in all publications are solely those of the individual author(s) and contributor(s) and not of MDPI and/or the editor(s). MDPI and/or the editor(s) disclaim responsibility for any injury to people or property resulting from any ideas, methods, instructions or products referred to in the content. |
© 2025 by the authors. Licensee MDPI, Basel, Switzerland. This article is an open access article distributed under the terms and conditions of the Creative Commons Attribution (CC BY) license (https://creativecommons.org/licenses/by/4.0/).




