Li Extraction from a-Spodumene Concentrate via Carbonizing Calcination †
Abstract
:1. Introduction
2. Materials and Methods
Experimental Procedure
3. Results and Discussion
3.1. Characterization of Spodumene Concentrate
3.2. Calcination Results
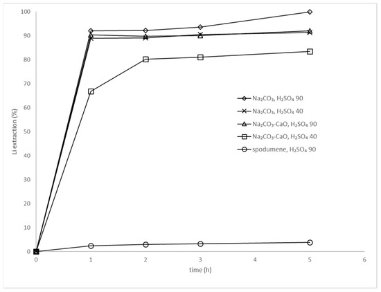
3.3. Leaching Results
4. Conclusions
Author Contributions
Funding
Institutional Review Board Statement
Informed Consent Statement
Data Availability Statement
Conflicts of Interest
References
- Kogel, J.E.; Trivedi, N.C.; Barker, J.M.; Krukowski, S.T. Industrial Minerals & Rocks: Commodities, Markets, and Uses, 7th ed.; Society for Mining, Metallurgy, and Exploration: Littleton, CO, USA, 2006. [Google Scholar]
- Global Lithium Batteries Market Size 2017–2025. Available online: https://www.statista.com/statistics/235316/global-lithium-battery-market/ (accessed on 2 October 2023).
- Gourcerol, B.; Gloaguen, E.; Melleton, J.; Tuduri, J. Xavier Galiegue Re-assessing the European lithium resource potential—A review of hard-rock resources and metallogeny. Ore Geol. Rev. 2019, 109, 494–519. [Google Scholar] [CrossRef]
- Meng, F.; McNeice, J.; Zadeh, S.S.; Ghahreman, A. Review of Lithium Production and Recovery from Minerals, Brines, and Lithium-Ion Batteries. Miner. Process. Extr. Metall. Rev. 2021, 42, 123–141. [Google Scholar] [CrossRef]
- Kelly, J.C.; Wang, M.; Dai, Q.; Winjobi, O. Energy, greenhouse gas, and water life cycle analysis of lithium carbonate and lithium hydroxide monohydrate from brine and ore resources and their use in lithium ion battery cathodes and lithium ion batteries. Resour. Conserv. Recycl. 2021, 174, 105762. [Google Scholar] [CrossRef]
- Salakjani, N.K.; Singh, P.; Nikoloski, A.N. Production of Lithium—A Literature Review Part 1: Pretreatment of Spodumene. Miner. Process. Extr. Metall. Rev. 2019, 41, 335–348. [Google Scholar] [CrossRef]
- Li, H.; Eksteen, J.; Kuang, G. Recovery of lithium from mineral resources: State-of-the-art and perspectives—A review. Hydrometallurgy 2019, 189, 105129. [Google Scholar] [CrossRef]
- Salakjani, N.K.; Nikoloski, A.N.; Singh, P. Mineralogical transformations of spodumene concentrate from Greenbushes, Western Australia. Part 2: Microwave heating. Miner. Eng. 2017, 100, 191–199. [Google Scholar] [CrossRef]
- Lajoie-Leroux, F.; Dessemond, C.; Soucy, G.; Laroche, N.; Magnan, J.F. Impact of the impurities on lithium extraction from β-spodumene in the sulfuric acid process. Miner. Eng. 2018, 129, 1–8. [Google Scholar] [CrossRef]
- Fosu, A.Y.; Kanari, N.; Vaughan, J.; Chagnes, A. Literature Review and Thermodynamic Modelling of Roasting Processes for Lithium Extraction from Spodumene. Metals 2020, 10, 1312. [Google Scholar] [CrossRef]
- Barbosa, L.I.; Valente, G.; Orosco, R.P.; González, J.A. Lithium extraction from b-spodumene through chlorination with chlorine gas. Miner. Eng. 2014, 56, 29–34. [Google Scholar] [CrossRef]
- Barbosa, L.I.; González, J.A.; del Carmen Ruiz, M. Extraction of lithium from b-spodumene using chlorination roasting with calcium chloride. Thermochim. Acta 2015, 605, 63–67. [Google Scholar] [CrossRef]
- Yan, Q.; Li, X.; Yin, Z.; Wang, Z.; Guo, H.; Peng, W.; Hu, Q. A novel process for extracting lithium from lepidolite. Hydrometallurgy 2012, 121–124, 54–59. [Google Scholar] [CrossRef]
- Chen, Y.; Tian, Q.; Chen, B.; Shi, X.; Liao, T. Preparation of lithium carbonate from spodumene by a sodium carbonate autoclave process. Hydrometallurgy 2011, 109, 43–46. [Google Scholar] [CrossRef]
- Rosales, G.D.; del Carmen Ruiz, M.; Rodriguez, M.H. Novel process for the extraction of lithium from β-spodumene by leaching with HF. Hydrometallurgy 2014, 147–148, 1–6. [Google Scholar] [CrossRef]
- Rosales, G.D.; Ruiz, M.C.; Rodriguez, M.H. Study of the Extraction Kinetics of Lithium by Leaching β-Spodumene with Hydrofluoric Acid. Minerals 2016, 6, 98. [Google Scholar] [CrossRef]
- Fosu, A.Y.; Kanari, N.; Bartier, D.; Vaughan, J.; Chagnes, A. Novel extraction route of lithium from α-spodumene by dry chlorination. RSC Adv. 2022, 12, 21468–21481. [Google Scholar] [CrossRef] [PubMed]
- Song, Y.; Zhao, T.; He, L.; Zhao, Z.; Liu, X. A promising approach for directly extracting lithium from α-spodumene by alkaline digestion and precipitation as phosphate. Hydrometallurgy 2019, 189, 105141. [Google Scholar] [CrossRef]
- Xing, P.; Wang, C.; Zeng, L.; Ma, B.; Wang, L.; Chen, Y.; Yang, C. Lithium extraction and hydroxysodalite zeolite synthesis by hydrothermal conversion of α-spodumene. ACS Sustain. Chem. Eng. 2019, 7, 9498–9505. [Google Scholar] [CrossRef]
- Abdullah, A.A.; Oskierski, H.C.; Altarawneh, M.; Senanayake, G.; Lumpkin, G.; Dlugogorski, B.Z. Phase transformation mechanism of spodumene during its calcination. Miner. Eng. 2019, 140, 105883. [Google Scholar] [CrossRef]
- Salakjani, N.K.; Singh, P.; Nikoloski, A.N. Mineralogical transformations of spodumene concentrate from Greenbushes, Western Australia. Part 1: Conventional heating. Miner. Eng. 2016, 98, 71–79. [Google Scholar] [CrossRef]
- Peltosaari, O.; Tanskanen, P.; Heikkinen, E.-P.; Fabritius, T. α→γ→β -phase transformation of spodumene with hybrid microwave and conventional furnaces. Miner. Eng. 2015, 82, 54–60. [Google Scholar] [CrossRef]




| Oxide | Li2O | MgO | Al2O3 | SiO2 | CaO | TiO2 | MnO | Fe2O3 | SnO2 | Na2O | K2O | LOI | SUM |
|---|---|---|---|---|---|---|---|---|---|---|---|---|---|
| % | 6.50 | 0.53 | 30.35 | 56.82 | 1.94 | 0.14 | 0.09 | 0.86 | 0.07 | 0.87 | 0.52 | 1.32 | 100 |
| Mean diameters | D (v, 0.1) | D (v, 0.5) | D (v, 0.9) |
| Particle size (μm) | 38.16 | 115.63 | 249.22 |
Disclaimer/Publisher’s Note: The statements, opinions and data contained in all publications are solely those of the individual author(s) and contributor(s) and not of MDPI and/or the editor(s). MDPI and/or the editor(s) disclaim responsibility for any injury to people or property resulting from any ideas, methods, instructions or products referred to in the content. |
© 2023 by the authors. Licensee MDPI, Basel, Switzerland. This article is an open access article distributed under the terms and conditions of the Creative Commons Attribution (CC BY) license (https://creativecommons.org/licenses/by/4.0/).
Share and Cite
Maliachova, K.; Doukas, N.; Tsakiri, D.; Samouhos, M.; Sakellariou, L.; Douni, I.; Taxiarchou, M.; Paspaliaris, I. Li Extraction from a-Spodumene Concentrate via Carbonizing Calcination. Mater. Proc. 2023, 15, 62. https://doi.org/10.3390/materproc2023015062
Maliachova K, Doukas N, Tsakiri D, Samouhos M, Sakellariou L, Douni I, Taxiarchou M, Paspaliaris I. Li Extraction from a-Spodumene Concentrate via Carbonizing Calcination. Materials Proceedings. 2023; 15(1):62. https://doi.org/10.3390/materproc2023015062
Chicago/Turabian StyleMaliachova, Katerina, Nikolaos Doukas, Danai Tsakiri, Michail Samouhos, Lefkothea Sakellariou, Iliana Douni, Maria Taxiarchou, and Ioannis Paspaliaris. 2023. "Li Extraction from a-Spodumene Concentrate via Carbonizing Calcination" Materials Proceedings 15, no. 1: 62. https://doi.org/10.3390/materproc2023015062
APA StyleMaliachova, K., Doukas, N., Tsakiri, D., Samouhos, M., Sakellariou, L., Douni, I., Taxiarchou, M., & Paspaliaris, I. (2023). Li Extraction from a-Spodumene Concentrate via Carbonizing Calcination. Materials Proceedings, 15(1), 62. https://doi.org/10.3390/materproc2023015062

