Next Article in Journal
An Overview on Management of Psoriasis Using Calcipotriene and Its Amalgamation as Nano Based Drug Delivery System
Previous Article in Journal
Metal/Metal Carbide Catalyst of Growth of Single-Walled Carbon Nanotubes: New Examples of Filling Single-Walled Carbon Nanotubes
 
 
Font Type:
Arial Georgia Verdana
Font Size:
Aa Aa Aa
Line Spacing:
Column Width:
Background:
Proceeding Paper

PCL Nanomodified Coating for the Protection of Thermochromic Prints on Packaging †

Faculty of Graphic Arts, University of Zagreb, Getaldićeva 2, 10000 Zagreb, Croatia
*
Authors to whom correspondence should be addressed.
Presented at the 4th International Online Conference on Nanomaterials, 5–19 May 2023; Available online: https://iocn2023.sciforum.net.
Mater. Proc. 2023, 14(1), 51; https://doi.org/10.3390/IOCN2023-14497
Published: 5 May 2023
(This article belongs to the Proceedings of The 4th International Online Conference on Nanomaterials)

Abstract

:
In the graphic industry, thermochromic inks are used primarily in the development of “smart” packaging for different applications, such as indicators of the product’s current temperature or an out-of-boundary temperature reading. During storage and transportations of products, as well as during their use, the packaging may come into contact with various chemicals, which may bring into question the chemical stability and therefore the functionality of thermochromic sensor. The aim of this work was to determine the effect of a coating made of the polycaprolactone (PCL) polymer, and a PCL coating with the addition of zinc oxide or titanium dioxide, on the chemical stability and colorimetric properties of thermochromic print. For this purpose, full-tone prints of thermochromic ink were made on the printing substrate, appropriate coatings were applied to them, and the resulting samples were tested for chemical stability to water, soap, and ethanol according to ISO 2836:2021 standard. The results show that the coatings have no significant negative impact on the colorimetric values of the prints compared to uncoated prints, and the chemical stability of the thermochromic prints is significantly improved in the case of exposure to ethanol, especially a strong, 96% ethanol solution.

1. Introduction

Thermochromic inks exhibit chromism (color change) when the temperature changes. Thermochromic inks based on leuco dyes gradually transition from one color to another around the activation temperature (TA), which depends on the composition of the ink. In the graphic industry, they are commonly used in printing packaging for the pharmaceutical and food industries, giving them a role as indicators of the current temperature (reversible thermochromic inks with a return effect) or of exceeding the temperature tolerance of the product (irreversible thermochromic inks with a non-return effect). In addition, thermochromic inks are used for marketing purposes today because of their attractiveness and the way they communicate with consumers about products in different industries and for different purposes. In these industries, packaging can easily come into contact with other substances, especially water or chemicals. Their lesser use is due to the fact that they react poorly to UV radiation and various chemical agents [1,2,3]. Short exposure to UV light can cause permanent and irreversible color changes. To prevent the harmful effects of UV radiation and chemicals on the chemical stability of thermochromic inks, the use of UV protective coatings/varnishes is recommended [3,4,5]. Additionally, the application of nanoparticles in the coating can affect the colorimetric properties of the prints.
The aim of this work was to investigate the influence of neat PCL coating, and nanomodified PCL coating with the addition of ZnO and TiO2 mass fractions of 1%, 2% and 3% on the chemical stability of a reversible thermochromic print based on leuco dye with an activation temperature of 45 °C, which changes from green to yellow. The chemical stability test was performed with water, 12% and 96% ethanol, and 1% aqueous soap solution according to the ISO 2836:2021 standard [6].

2. Experimental Section

The prints used in this study were printed with a commercially available thermochromic offset ink based on leuco dyes, which changes from green to yellow at the activation temperature TA = 45 °C. The samples were printed using a multipurpose printing machine, Prüfbau MZ II, and air-dried. A quantity of 1.5 cm3 of printing ink was applied to the rollers, and the printing was performed with a force of 600 N. All samples were printed in full tone.
The coating was prepared from polycaprolactone with a molecular weight of Mn ~80,000, Aldrich® (St. Louis, MI, USA). Polycaprolactone was dissolved in 90 g of ethyl acetate (99%, Kemika). The solution was heated to 40 °C with magnetic stirring for 30 min, resulting in a 10% homogeneous solution. In the next step, the coatings were prepared by dispersing the nanoparticles using an IKA T25 digital TURRAX disperser at 15,000 rpm for 8 min. The amount of zinc oxide and titanium dioxide nanoparticles added was calculated relative to the mass of polycaprolactone, resulting in coatings with 1%, 2%, and 3% zinc oxide or titanium dioxide. The coating was then applied using a K202 Control Coater under controlled conditions according to ISO 187:1990 standard [7], with all coatings being applied to the paper side where printing was previously performed.
Chemical stability is the resistance of prints to chemicals with which they may come into contact in real-life applications. Considering the use of thermochromic inks in the printing of packaging for pharmaceutical and food products, this study examined the chemical stability of prints in water, 12% and 96% ethanol, and soap (1% aqueous soap solution). The testing was carried out in accordance with the procedure described in ISO 2836:2004 standard [6].
An Ocean Optics USB2000+ spectrometer was used for measuring spectral reflectance, with the addition of a 30-millimeter-wide integrating sphere and diffuse. The samples, both coated and uncoated, were heated and cooled using a thermostatically controlled water block and their reflectance spectra were measured during one heating–cooling cycle. The CIELAB values were calculated from the measured reflectance using Ocean Optics SpectraSuite software (version 2.0.8) with D50 illuminant and 2° standard observer, and used for the calculation of color differences according to the CIEDE2000 total color difference formula [8].

3. Results and Discussions

Previous research has shown that the TC ink used is hydrophobic and contains vegetable oil as a component of the binder, which dries via oxidation polymerization [9], which is the predominant drying mechanism of the ink that occurs on the surface of the paper, while some of the ink’s binder also partially penetrates the paper. The chemical structure of the printing ink is important when interpreting stability reactions with various chemical reagents. Color hysteresis (Figure 1) describes the temperature dependence of prints for the L* component of color. The hysteresis shows that the current color of the system depends not only on its temperature but also on the previous temperature of the system. This phenomenon occurs because the deactivation and activation of the interaction of the complex dye color developer in the thermochromic capsule is not conditioned solely by the physical phenomenon of changing the aggregate state of the solvent, which occurs at a fixed activation temperature, but also by the consequent chemical phenomenon of changing the pH value, which requires significantly more energy of the system.
It is noticeable that the initial lightness values below the activation temperature can vary significantly, while the difference above the activation temperature is somewhat smaller. This phenomenon is also observed in the untreated test piece, which means that it is not solely conditioned by the influence of chemicals on the ink. The change in lightness occurs due to the matting of the sample caused by the application of a coating, i.e., although the coating itself is transparent when applied, its application causes a change in the scattering of light on the surface of the printing substrate, making the sample appear darker. The PCL coating itself exhibits this property, while the addition of ZnO enhances the effect. If the values at the activation temperature are examined, it is noticeable that the TA itself changes via the application of coating.
In Figure 1, the results are marked with solid signs during heating and with open signs during the cooling of the samples. The results of the untreated test pieces and the PCL coating are shown together in the graphs for the ZnO and TiO2 coatings to demonstrate the properties of the uncoated and the “neat” coating in relation to the added nanoparticles in both cases. The results show a visible similarity between the effect of ZnO and TiO2 for all tested chemicals, and particularly good results for the 96% ethanol solution.
The colorimetric difference essentially defines the difference between colors as their mutual distance in the three-dimensional CIE L*a*b* color system based on the Euclidean difference formula. The criteria for color difference from the perspective of the standard observer are as follows [10,11]:
ΔE* < 0.2—the color difference is not visible;
ΔE* < 0.5—the instrument’s precision, negligible difference;
ΔE* = (0.2–1)—the difference is noticeable, very small difference;
ΔE* = (1–3)—the color difference is visible, small difference;
ΔE* = (3–6)—the color difference is clearly visible, significant difference;
ΔE* = (6–12)—the color difference is very visible, obvious deviation.
Over the decades, due to the perceptual inequality of the different parts of the spectrum in the CIE L*a*b* color system, the formula for calculating the color difference has been modified to obtain a value that more closely matches the actual perception of the standard observer. The formula most commonly used today to calculate the color difference is CIEDE2000, according to which the colorimetric difference is expressed by the term ΔE00 [7]. The standard tolerance for the colorimetric difference for printers in Croatia is usually ΔE* < (2–3), while the ideal target result is ΔE* < 1 [12].
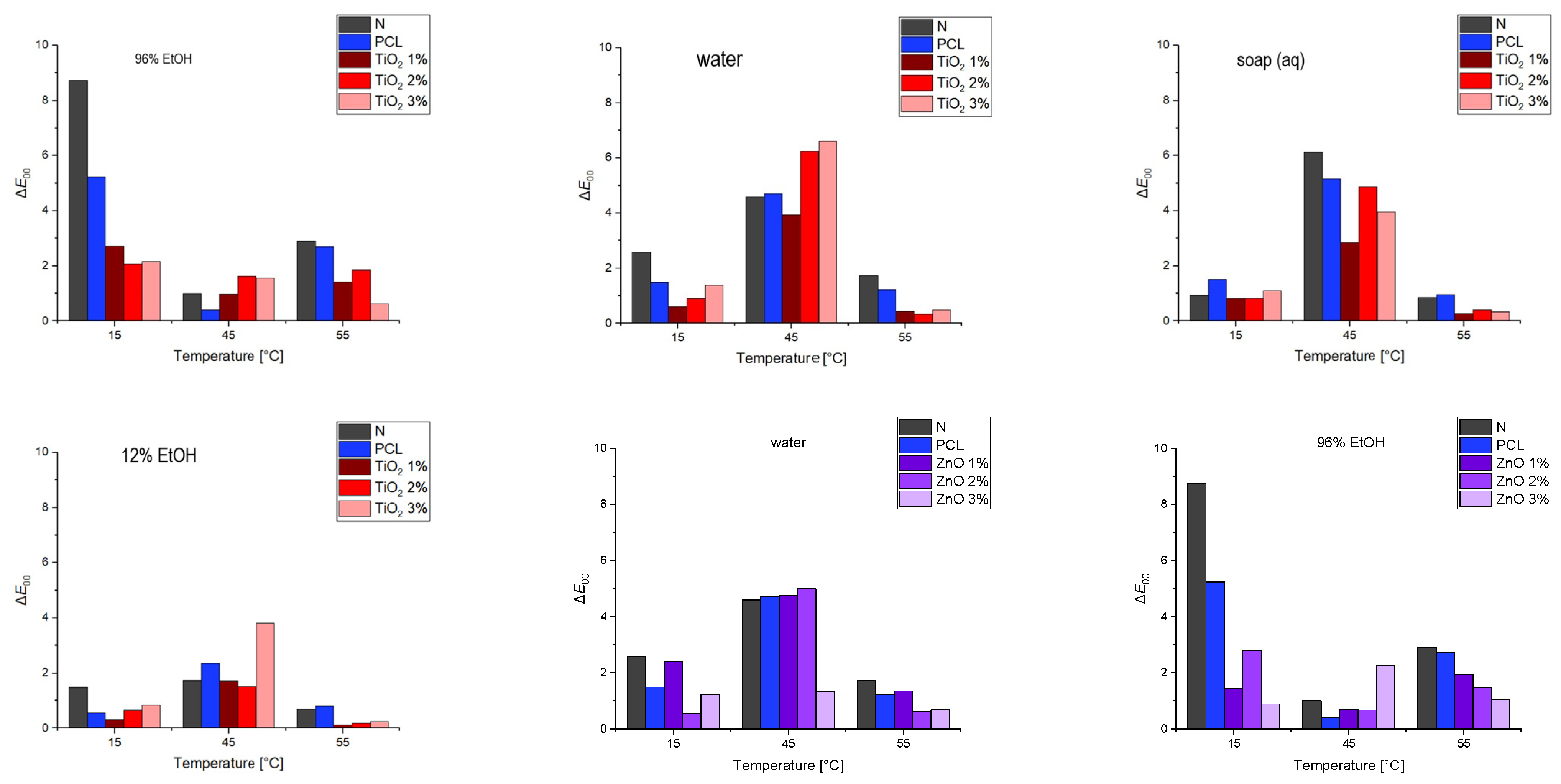
Figure 2 shows a comparison of colorimetric differences according to the CIEDE2000 formula between test pieces that were not treated with a specific chemical (“untreated test peace” test pieces) and test pieces that were treated. The results show that water, 1% soap solution, and 12% ethanol solution have the highest colorimetric differences at the activation temperature (TA = 45 °C). This change occurs due to the previously described change in the activation temperature as a result of the coating application. On the other hand, measurements at 15 °C and 55 °C show that the overall range of color change has not significantly changed, indicating that there has been no significant damage to the thermochromic color capsules. In the case of the influence of a 96% ethanol solution, it is seen that the greatest color difference occurs at temperatures below TA. At lower temperatures, the print is green-colored, indicating that the active blue thermochromic microcapsules dispersed in yellow conventional (process) offset ink are affected. This suggests that ethanol has a negative effect on the blue microcapsules, likely leading to their damage or destruction during the reaction of the print and 96% ethanol solution. In the case of a 12% ethanol solution, the degradation of the print is not as pronounced as in the case of 96% ethanol solution, which is due to the significantly lower ethanol concentration.
A similar behavior was also described in a study where the same thermochromic ink was printed on metal plates [13], where it was shown that the microcapsules of the tested thermochromic ink contain polar functional groups that interact through hydrogen bonding. They dissolve in ethanol due to the stronger interactions of the polar and hydrogen bonds of ethanol. Since it is a polymer, dispersion interactions are also important. The yellow pigment of the thermochromic ink primarily acts through dispersion interactions, and, to a lesser extent, through polar interactions.
A previous study on the impact of PCL coating with the addition of zinc oxide on the properties of prints applied on cardboard [14] stated that adding zinc oxide to the coating can increase the glossiness of the print, and this effect is noticeable on coated paper, but not on uncoated paper. In this study, uncoated paper was used as the printing substrate, and the results do not show a uniform change in tone between samples with and without the coating, which corresponds to the results of the previous study.
It is important to mention and explain some of the “inconsistencies” in some of the obtained results: colorimetric measurement is an imperfect process carried out on randomly selected points of the samples that are estimated to have an “average” appearance considering the appearance of the rest of the sample. Color uniformity, especially thermochromic, may not be perfect over the entire surface of the printing substrate, due in part to the imperfections of the paper surface and its structure; the distribution of fillers and sizing agents near the surface that may positively or negatively affect the adhesion of the ink to the paper; its retention on the surface or its penetration into the paper; and the agglomeration of thermochromic pigments (microcapsules), especially the agglomeration of coating nanoparticles. Color differences in the millimeter range or even smaller are clearly visible on the samples themselves; thus, it is reasonable to assume that most of the smaller “hills and valleys” observed in the colorimetric difference results are due to microscopic reactions of the paper, ink, and coating that cannot be completely isolated from the results.

4. Conclusions

Packaging is the fastest-growing area of graphic technology. Smart packaging would provide users with useful information about the product, and its application would facilitate the provision of relevant information on the product’s usability. Thermochromic inks are a smart material popular in packaging printing, which can indicate the current temperature of the product or whether its temperature tolerance has been exceeded. The disadvantage of thermochromic inks is their poor resistance to UV radiation and exposure to chemicals; therefore, it is desirable to minimize these properties. Given the new trends in environmental sustainability, it would be environmentally friendly and desirable from a marketing perspective to find a way to improve the properties of thermochromic inks in use for smart packaging, particularly in a way that does not harm the environment but contributes to its preservation. The aim of this study was to determine the effectiveness and effect of the coating of the biodegradable polymer polycaprolactone, and PCL coating with the addition of zinc oxide or titanium dioxide, on the chemical stability of the offset thermochromic ink based on leuco dyes. The results show that the coatings do not have a pronounced negative impact on the colorimetric values of prints compared to uncoated prints, and the chemical stability of thermochromic ink is improved, particularly when exposed to ethanol, especially a strong 96% ethanol solution.

Author Contributions

Conceptualization, M.V. and R.K.; methodology, M.V., I.K. and R.K.; software, I.K.; validation, M.V., I.K. and R.K.; formal analysis, M.V., I.K. and R.K.; investigation, I.K. and T.C.; resources, M.V. and R.K.; data curation, M.V. and R.K.; writing—original draft preparation, M.V., I.K., R.K. and S.J.H.; writing—review and editing, K.I.I., T.C. and S.J.H.; visualization, M.V. and R.K; supervision, M.V. and R.K.; project administration, K.I.I., T.C. and S.J.H. All authors have read and agreed to the published version of the manuscript.

Funding

This research received no external funding.

Institutional Review Board Statement

Not applicable.

Informed Consent Statement

Not applicable.

Data Availability Statement

Not applicable.

Conflicts of Interest

The authors declare no conflict of interest.

References

  1. Vukoje, M.; Kulčar, R.; Itrić Ivanda, K.; Bota, J.; Cigula, T. Improvement in Thermochromic Offset Print UV Stability by Applying PCL Nanocomposite Coatings. Polymers 2022, 14, 1484. [Google Scholar] [CrossRef] [PubMed]
  2. Jamnicki Hanzer, S.; Kulčar, R.; Vukoje, M.; Marošević Dolovski, A. Assessment of Thermochromic Packaging Prints ’ Resistance to UV Radiation and Various Chemical Agents. Polymers 2023, 15, 1208. [Google Scholar] [CrossRef] [PubMed]
  3. Friškovec, M.; Kulčar, R.; Klanjšek Gunde, M. Light fastness and high-temperature stability of thermochromic printing inks. Color. Technol. 2013, 129, 214–222. [Google Scholar] [CrossRef]
  4. Friškovec, M.; Kulčar, R.; Hauptman, N.; Klanjšek Gunde, M. Ultraviolet protection of thermochromic printings. In Proceedings of the 5th International Symposium on Novelities in Graphics, Ljubljana, Slovenia, 27–29 May 2010. [Google Scholar]
  5. Friškovec, M.; Kulčar, R.; Klanjšek Gunde, M. Advances in Printing and Media Technology. In Proceedings of the 37th International Research Conference of Iarigai, Montreal, QC, Canada, 12–15 September 2010; pp. 1–7. [Google Scholar]
  6. ISO 2836; Graphic Technology-Prints and Printing Inks-Assessment of Resistance of Prints to Various Agents. International Organization for Standardization: Geneva, Switzerland, 2021.
  7. ISO 187; Paper, board and pulps—Standard atmosphere for conditioning and testing and procedure for monitoring the atmosphere and conditioning of samples. International Organization for Standardization: Geneva, Switzerland, 1990.
  8. CIE Central Bureau. Colorimetry, 3rd ed.; International Commission on Illumination: Vienna, Austria, 2004. [Google Scholar]
  9. Vukoje, M.; Rožić, M.; Miljanić, S.; Pasanec Preprotić, S. Biodegradation of thermochromic offset prints. Nord. Pulp. Pap. Res. J. 2017, 32, 289–298. [Google Scholar] [CrossRef]
  10. Yang, Y.; Ming, J.; Yu, N. Color Image Quality Assessment Based on CIEDE2000. Adv. Multimed. 2012, 2012, 11. [Google Scholar] [CrossRef]
  11. Kumar, M. Interdisciplinarnost Barve 2.Del.; Jeler, S., Kumar, M., Eds.; Društvo koloristov Slovenije: Maribor, Slovenia, 2003; pp. 89–100. [Google Scholar]
  12. Schilling, M. Shift Happens… So Measure. Available online: https://inkjetinsight.com/knowledge-base/color-shift-happens-so-measure/ (accessed on 3 February 2023).
  13. Rožić, M.; Vukoje, M.; Kapović, D.; Marošević, L. Solvents interactions with thermochromic print. J. Graph. Eng. Des. 2017, 8, 19–25. [Google Scholar] [CrossRef]
  14. Cigula, T.; Hudika, T.; Katana, M.; Golik Krizmanić, M.; Tomašegović, T. The influence of PCL-ZnO coating composition on coated offset cardboard prints. In Proceedings of the 10th International Symposium GRID, Novi Sad, Srbija, 12–14 November 2020; pp. 101–108. [Google Scholar]
Figure 1. Color hysteresis of uncoated and coated TC prints before and after exposure to different chemical agents (solid signs—heating; open signs—cooling).
Figure 1. Color hysteresis of uncoated and coated TC prints before and after exposure to different chemical agents (solid signs—heating; open signs—cooling).
Materproc 14 00051 g001
Figure 2. Total color difference (TCD) between two states (measured at 15, 45 and 55 °C) for uncoated and coated TC print before and after exposure to different chemical agents.
Figure 2. Total color difference (TCD) between two states (measured at 15, 45 and 55 °C) for uncoated and coated TC print before and after exposure to different chemical agents.
Materproc 14 00051 g002aMaterproc 14 00051 g002b
Disclaimer/Publisher’s Note: The statements, opinions and data contained in all publications are solely those of the individual author(s) and contributor(s) and not of MDPI and/or the editor(s). MDPI and/or the editor(s) disclaim responsibility for any injury to people or property resulting from any ideas, methods, instructions or products referred to in the content.

Share and Cite

MDPI and ACS Style

Vukoje, M.; Krajnović, I.; Kulčar, R.; Cigula, T.; Ivanda, K.I.; Hanzer, S.J. PCL Nanomodified Coating for the Protection of Thermochromic Prints on Packaging. Mater. Proc. 2023, 14, 51. https://doi.org/10.3390/IOCN2023-14497

AMA Style

Vukoje M, Krajnović I, Kulčar R, Cigula T, Ivanda KI, Hanzer SJ. PCL Nanomodified Coating for the Protection of Thermochromic Prints on Packaging. Materials Proceedings. 2023; 14(1):51. https://doi.org/10.3390/IOCN2023-14497

Chicago/Turabian Style

Vukoje, Marina, Ivana Krajnović, Rahela Kulčar, Tomislav Cigula, Katarina Itrić Ivanda, and Sonja Jamnicki Hanzer. 2023. "PCL Nanomodified Coating for the Protection of Thermochromic Prints on Packaging" Materials Proceedings 14, no. 1: 51. https://doi.org/10.3390/IOCN2023-14497

APA Style

Vukoje, M., Krajnović, I., Kulčar, R., Cigula, T., Ivanda, K. I., & Hanzer, S. J. (2023). PCL Nanomodified Coating for the Protection of Thermochromic Prints on Packaging. Materials Proceedings, 14(1), 51. https://doi.org/10.3390/IOCN2023-14497

Article Metrics

Back to TopTop