A Hybrid Genetic Algorithm for Multi-Objective Multi-Manned Assembly Line Worker Allocation and Balancing Problem †
Abstract
1. Introduction
2. Mathematical Model of MO-MALW-a-BP
2.1. Notation
| Task index, where is the number of tasks. | |
| Workstation index, where is the number of workstations. | |
| Worker index, where is the number of regular workers, is the auxiliary worker, and is the number of stations. | |
| Regular worker index. | |
| Time of task when performed by the worker. | |
| Time of task when performed by the auxiliary worker. | |
| Lower bound of . | |
| Set of predecessors of the task. | |
| Sum of workloads squared. | |
| Idle time. | |
| Start time of the task allocated to worker at workstation . | |
| End time of the task allocated to worker at workstation s. | |
| Set of tasks assigned to a regular worker during the performance of task by the auxiliary worker at workstation , taking into account the fact that both workers are working simultaneously at the same workstation. | |
| Set of tasks assigned to the worker. | |
2.2. Mathematical Model
3. Proposed h-GA and Computational Results
- 1.
- Representation scheme and creation of initial population:A genetic representation, based on random keys inspired by Bean [14], is used at this stage to construct a set of solutions representing the initial population . Each chromosome is made up of genes representing tasks, where each assigned value determines the order in which they are processed. This technique guarantees that the predecessors of the tasks are respected.
- 2.
- Fitness evaluation and selection:The proposed method is divided into two distinct stages to optimize task allocation and workload distribution in manned workstations.In the first stage, once has been generated, the algorithm allocates tasks by prioritizing the workstation with the largest number of available workers (). In this stage, an additional heuristic based on “shortest processing time ” is applied to select the regular worker with the minimum sum of processing times, who will then be assigned to . To ensure that the constraints of multi-manned workstations are respected, the algorithm determines the start and end times of each assigned task. When the workstation reaches its , the process opens the next workstation.To improve the quality of the generated assignments, a dynamic optimization phase has been integrated into the algorithm at the second stage. This phase is based on an innovative mechanism for reorganizing tasks between workstations, designed to maximize the efficiency of the algorithm while respecting the constraints imposed. The mechanism is based on the following steps:
- Transfer search: A systematic analysis is performed to identify tasks assigned to the largest workstation that could be transferred to the smallest workstation while respecting priority constraints.
- Comparative evaluation: Once the candidate transfers have been identified, a comparative evaluation is performed to determine if the new configuration offers significant improvements over the previous one. If the new reorganization reduces and , the previous configuration is replaced by the new one, which is then stored in memory.
Furthermore, the algorithm applies the “fixed weights approach” [15], ensuring that the normalization constraint is respected. Consequently, the fitness function is defined as follows:Thereafter, to produce a new population, an elite preservation technique [16] is applied to ensure that the best individuals are passed on to the next generation. - 3.
- Crossover and Mutation:
4. Conclusions
Author Contributions
Funding
Institutional Review Board Statement
Informed Consent Statement
Data Availability Statement
Conflicts of Interest
References
- Batista, L.D.S.; Magatão, L. Multi-manned Assembly Line Balancing Problem in a Diesel Engine Manufacturing Company: A Real-World Case Study. In Intelligent and Transformative Production in Pandemic Times; Huang, C.-Y., Dekkers, R., Chiu, S.F., Popescu, D., Quezada, L., Eds.; Springer: Cham, Switzerland, 2023; pp. 535–543. [Google Scholar]
- Zhang, Z.; Chica, M.; Tang, Q.; Li, Z.; Zhang, L. A multi-objective co-evolutionary algorithm for energy and cost-oriented mixed-model assembly line balancing with multi-skilled workers. Expert Syst. Appl. 2024, 236, 121221. [Google Scholar] [CrossRef]
- Zheng, X.; Ning, S.; Sun, H.; Zhong, J.; Tong, X. Solving multi-objective two-sided assembly line balancing problems by harmony search algorithm based on pareto entropy. IEEE Access 2021, 9, 121728–121742. [Google Scholar] [CrossRef]
- Moreira, M.C.O.; Pastor, R.; Costa, A.M.; Miralles, C. The multi-objective assembly line worker integration and balancing problem of type-2. Comput. Oper. Res. 2017, 82, 114–125. [Google Scholar] [CrossRef]
- Yilmaz, H.; Yilmaz, M. A mathematical model and tabu search algorithm for multi-manned assembly line balancing problems with assignment restrictions. Eng. Optim. 2020, 52, 856–874. [Google Scholar] [CrossRef]
- Hashemi-Petroodi, S.E.; Thevenin, S.; Kovalev, S.; Dolgui, A. Model-dependent task assignment in multi-manned mixed-model assembly lines with walking workers. Omega 2022, 113, 102688. [Google Scholar] [CrossRef]
- Hashemi-Petroodi, S.E.; Thevenin, S.; Kovalev, S.; Dolgui, A. Markov decision process for multi-manned mixed-model assembly lines with walking workers. Int. J. Prod. Econ. 2023, 255, 108661. [Google Scholar] [CrossRef]
- El Machouti, S.; Hlyal, M.; Babay, A.; El Alami, J. Analysis of balancing solutions for simple assembly lines. J. Ind. Eng. Manag. 2024, 17, 828–852. [Google Scholar] [CrossRef]
- Kellegöz, T. Balancing Lexicographic Multi-Objective Assembly Lines with Multi-Manned Stations. Math. Probl. Eng. 2016, 2016, 9315024. [Google Scholar] [CrossRef][Green Version]
- Tkitek, Z.; Triki, H.; Moalla, H.F. Social sustainability in manufacturing system: Case of multi-manned assembly line. In Proceedings of the 2024 IEEE International Conference on Advanced Systems and Emergent Technologies (IC_ASET), Hammamet, Tunisia, 27–29 April 2024; pp. 1–6. [Google Scholar]
- El Machouti, S.; Hlyal, M.; Babay, A.; El Alami, J. Optimisation of Simple Assembly Line Balancing Problem Type E: A Systematic Literature Review. Manag. Syst. Prod. Eng. 2024, 32, 162–173. [Google Scholar] [CrossRef]
- Azizoğlu, M.; İmat, S. Workload smoothing in simple assembly line balancing. Comput. Oper. Res. 2018, 89, 51–57. [Google Scholar] [CrossRef]
- Belassiria, I.; Mazouzi, M.; ELfezazi, S.; Cherrafi, A.; ELMaskaoui, Z. An integrated model for assembly line re-balancing problem. Int. J. Prod. Res. 2018, 56, 5324–5344. [Google Scholar] [CrossRef]
- Bean, J.C. Genetic Algorithms and Random Keys for Sequencing and Optimization. ORSA J. Comput. 1994, 6, 154–160. [Google Scholar] [CrossRef]
- dos Santos Coelho, L. Multi-Objective Swarm Intelligent Systems: Theory & Experiences; Springer Science & Business Media: Berlin/Heidelberg, Germany, 2009. [Google Scholar]
- Zhang, H.; Yan, Q.; Liu, Y.; Jiang, Z. An integer-coded differential evolution algorithm for simple assembly line balancing problem of type 2. Assem. Autom. 2016, 36, 246–261. [Google Scholar] [CrossRef]
- Oliver, I.M.; Smith, D.J.; Holland, J.R. A study of permutation crossover operators on the traveling salesman problem. In Proceedings of the Second International Conference on Genetic Algorithms on Genetic Algorithms and Their Application, Cambridge, MA, USA, 28–31 July 1987; pp. 224–230. [Google Scholar]
- Leu, Y.-Y.; Matheson, L.A.; Rees, L.P. Assembly Line Balancing Using Genetic Algorithms with Heuristic-Generated Initial Populations and Multiple Evaluation Criteria. Decis. Sci. 1994, 25, 581–605. [Google Scholar] [CrossRef]
- El Machouti, S.; Hlyal, M.; El Alami, J. A Hybrid Reactive GRASP approach for the balancing of a mixed-model assembly line of type E with worker allocation. Sci. Afr. 2024, 26, e02378. [Google Scholar] [CrossRef]
- Nourmohammadi, A.; Fathi, M.; Ng, A.H.C. Balancing and scheduling assembly lines with human-robot collaboration tasks. Comput. Oper. Res. 2022, 140, 105674. [Google Scholar] [CrossRef]



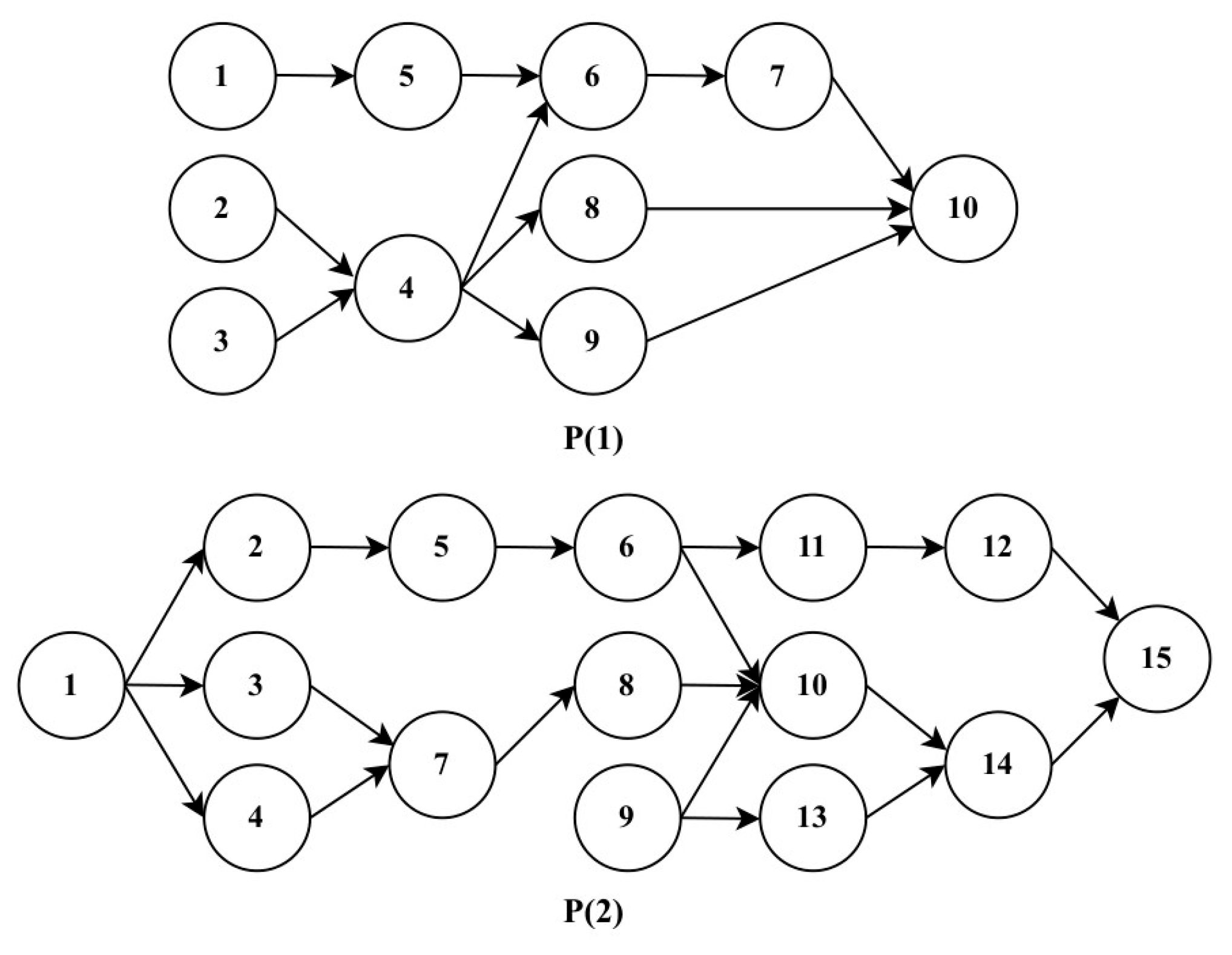
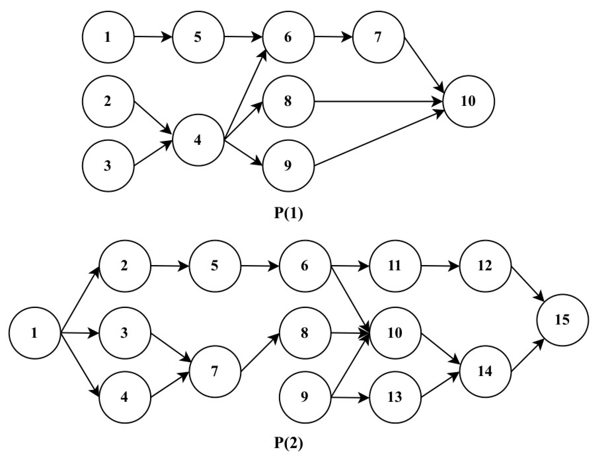
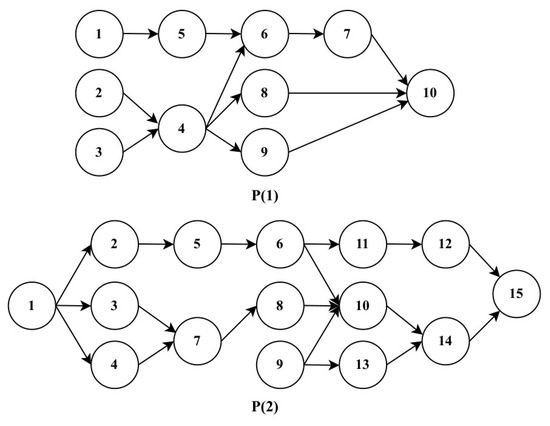
| Problem 1 P(1) | Problem 2 P(2) | |||||||
|---|---|---|---|---|---|---|---|---|
| 1 | 1 | 2 | 1 | 10 | 13 | 10 | ||
| 2 | 3 | 2 | 1 | 14 | 15 | 12 | ||
| 3 | 2 | 1 | 2 | 9 | 11 | 13 | ||
| 4 | 3 | 2 | 1 | 7 | 11 | 11 | ||
| 5 | 3 | 3 | 2 | 15 | 17 | 15 | ||
| 6 | 5 | 5 | 1 | 12 | 13 | 10 | ||
| 7 | 2 | 2 | 1 | 10 | 10 | 15 | ||
| 8 | 2 | 1 | 2 | 15 | 15 | 15 | ||
| 9 | 3 | 2 | 1 | 10 | 9 | 10 | ||
| 10 | 3 | 3 | 1 | 10 | 14 | 9 | ||
| 11 | - | 16 | 18 | 14 | ||||
| 12 | 11 | 16 | 13 | |||||
| 13 | 13 | 13 | 12 | |||||
| 14 | 10 | 12 | 7 | |||||
| 15 | 9 | 11 | 11 | |||||
| Parameters | Values | |
|---|---|---|
| P(1) | P(2) | |
| Population size | 10 | 20 |
| Number of generations | 100 | 200 |
| Elite | 50% | 50% |
| Crossover rate | 0.3 | 0.3 |
| Mutation rate | 0.2 | 0.25 |
| The best solution | The h-GA | The GA | |||||||||
| P(1) | |||||||||||
| 1 | 5 | 66 | 0 | 8 | 98 | 8 | |||||
| 2 | |||||||||||
| The best solution | The h-GA | The GA | |||||||||
| P(2) | |||||||||||
| 1 | 61 | 10146 | 9 | 69 | 11041 | 32 | |||||
| 2 | |||||||||||
Disclaimer/Publisher’s Note: The statements, opinions and data contained in all publications are solely those of the individual author(s) and contributor(s) and not of MDPI and/or the editor(s). MDPI and/or the editor(s) disclaim responsibility for any injury to people or property resulting from any ideas, methods, instructions or products referred to in the content. |
© 2025 by the authors. Licensee MDPI, Basel, Switzerland. This article is an open access article distributed under the terms and conditions of the Creative Commons Attribution (CC BY) license (https://creativecommons.org/licenses/by/4.0/).
Share and Cite
El Machouti, S.; Hlyal, M.; El Alami, J. A Hybrid Genetic Algorithm for Multi-Objective Multi-Manned Assembly Line Worker Allocation and Balancing Problem. Eng. Proc. 2025, 97, 41. https://doi.org/10.3390/engproc2025097041
El Machouti S, Hlyal M, El Alami J. A Hybrid Genetic Algorithm for Multi-Objective Multi-Manned Assembly Line Worker Allocation and Balancing Problem. Engineering Proceedings. 2025; 97(1):41. https://doi.org/10.3390/engproc2025097041
Chicago/Turabian StyleEl Machouti, Sana, Mustapha Hlyal, and Jamila El Alami. 2025. "A Hybrid Genetic Algorithm for Multi-Objective Multi-Manned Assembly Line Worker Allocation and Balancing Problem" Engineering Proceedings 97, no. 1: 41. https://doi.org/10.3390/engproc2025097041
APA StyleEl Machouti, S., Hlyal, M., & El Alami, J. (2025). A Hybrid Genetic Algorithm for Multi-Objective Multi-Manned Assembly Line Worker Allocation and Balancing Problem. Engineering Proceedings, 97(1), 41. https://doi.org/10.3390/engproc2025097041

