Sensitivity Analysis of Integrated Sensors Created Through Additive Manufacturing for Monitoring Components Subject to Dynamic Loads †
Abstract
1. Introduction
2. Materials and Methods
2.1. Sample
2.2. Experimental Setup
- Stabilize the temperature in both the chamber and the sample for 10 min;
- Apply the load for 30 s. In the case of sine tones, the excitation amplitude was incrementally increased every 30 s, with data acquisition at each level;
- Adjust the temperature to the next step and repeat the process (steps 1 and 2), with 5°C increments from 20 °C to −40 °C.
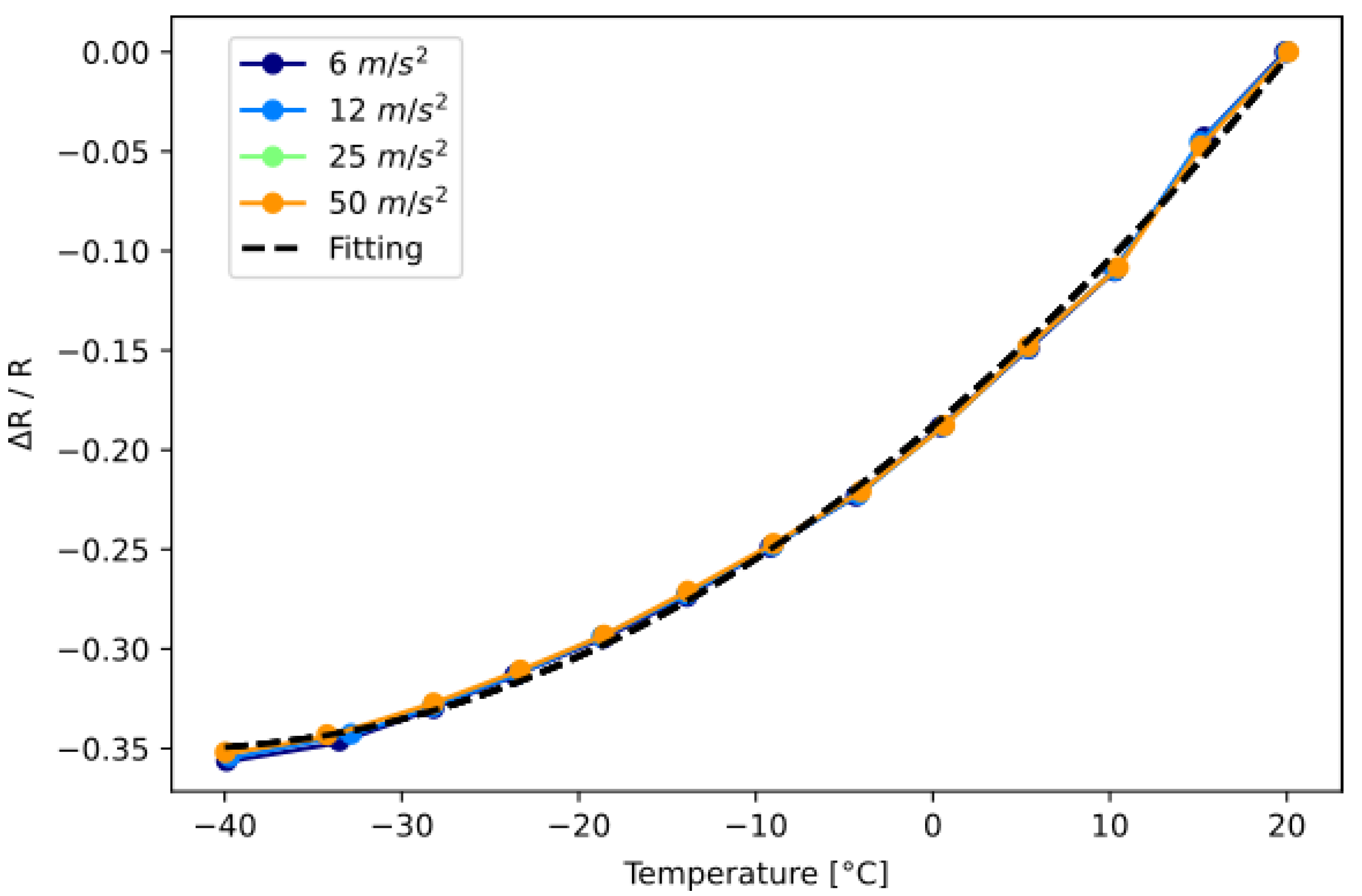
3. Static Characterization
4. Dynamic Characterization
5. Conclusions
- A parabolic trend between resistance variation and temperature increase under both static and dynamic conditions.
- A linear response of the piezoresistive sensor at each temperature range.
- The ability of the sensor to generate frequency response functions (FRFs) similar to an accelerometer.
- A 0% error between the resonance frequencies monitored by the accelerometer and the sensor within the considered temperature ranges.
Author Contributions
Funding
Institutional Review Board Statement
Informed Consent Statement
Data Availability Statement
Acknowledgments
Conflicts of Interest
References
- Calignano, F.; Manfredi, D.; Ambrosio, E.P.; Biamino, S.; Lombardi, M.; Atzeni, E.; Salmi, A.; Minetola, P.; Iuliano, L.; Fino, P. Overview on Additive Manufacturing Technologies. Proc. IEEE 2019, 105, 593–612. [Google Scholar] [CrossRef]
- Najmon, J.C.; Raeisi, S.; Tovar, A. Review of additive manufacturing technologies and applications in the aerospace industry. Addit. Manuf. Aerosp. Ind. 2017, 7–31. [Google Scholar] [CrossRef]
- Xu, Y.; Wu, X.; Guo, X.; Kong, B.; Zhang, M.; Qian, X.; Mi, S.; Sun, W. The Boom in 3D-Printed Sensor Technology. Sensors 2017, 17, 1166. [Google Scholar] [CrossRef] [PubMed]
- Jiang, Y.; Islam, M.N.; He, R.; Huang, X.; Cao, P.F.; Advincula, R.C.; Choi, W. Recent advances in 3D printed sensors: Materials, design, and manufacturing. Adv. Mater. Technol. 2023, 8, 2200492. [Google Scholar] [CrossRef]
- Słoma, M. 3D printed electronics with nanomaterials. Nanoscale 2023, 15, 5623–5648. [Google Scholar] [CrossRef] [PubMed]
- Lehmhus, D.; Aumund-Kopp, C.; Petzoldt, F.; Godlinski, D.; Haberkorn, A.; Zöllmer, V.; Busse, M. Customized smartness: A survey on links between additive manufacturing and sensor integration. Procedia Technol. 2016, 26, 284–301. [Google Scholar] [CrossRef]
- Hassan, M.S.; Zaman, S.; Dantzler, J.Z.R.; Leyva, D.H.; Mahmud, M.S.; Ramirez, J.M.; Gomez, S.G.; Lin, Y. 3D Printed Integrated Sensors: From Fabrication to Applications—A Review. Nanomaterials 2023, 13, 3148. [Google Scholar] [CrossRef] [PubMed]
- Sbriglia, L.R.; Baker, A.M.; Thompson, J.M.; Morgan, R.V.; Wachtor, A.J.; Bernardin, J.D. Embedding sensors in FDM plastic parts during additive manufacturing. In Topics in Modal Analysis & Testing, Volume 10: Proceedings of the 34th IMAC, A Conference and Exposition on Structural Dynamics; Springer International Publishing: Orlando, FL, USA, 2016; pp. 205–214. [Google Scholar]
- Gackowski, B.M.; Goh, G.D.; Sharma, M.; Idapalapati, S. Additive manufacturing of nylon composites with embedded multi-material piezoresistive strain sensors for structural health monitoring. Compos. Part B Eng. 2023, 261, 110796. [Google Scholar] [CrossRef]
- Maurizi, M.; Slavič, J.; Cianetti, F.; Jerman, M.; Valentinčič, J.; Lebar, A.; Boltežar, M. Dynamic measurements using FDM 3D-printed embedded strain sensors. Sensors 2019, 19, 2661. [Google Scholar] [CrossRef] [PubMed]
- Staffa, A.; Palmieri, M.; Morettini, G.; Cianetti, F.; Braccesi, C. Integration of Piezoresistive Sensors into AM Structural Components: Evaluation of Sensor Properties and Its Impact on Component Mechanical Performance. In IOP Conference Series: Materials Science and Engineering; IOP Publishing: Genova, IT, USA, 2024. [Google Scholar]
- Arh, M.; Slavič, J. Single-process 3D-printed triaxial accelerometer. Adv. Mater. Technol. 2022, 7, 2101321. [Google Scholar] [CrossRef]
- Košir, T.; Zupan, M.; Slavič, J. Self-aware active metamaterial cell 3D-printed in a single process. Int. J. Mech. Sci. 2024, 282, 109591. [Google Scholar] [CrossRef]
- Sapra, S.; Chakraborthy, A.; Nuthalapati, S.; Nag, A.; Inglis, D.W.; Mukhopadhyay, S.C.; Altinsoy, M.E. Printed, wearable e-skin force sensor array. Measurement 2023, 206, 112348. [Google Scholar] [CrossRef]
- Osman, A.; Lu, J. 3D printing of polymer composites to fabricate wearable sensors: A comprehensive review. Mater. Sci. Eng. R Rep. 2023, 154, 100734. [Google Scholar] [CrossRef]
- Ju, M.; Dou, Z.; Li, J.W.; Qiu, X.; Shen, B.; Zhang, D.; Wang, K. Piezoelectric materials and sensors for structural health monitoring: Fundamental aspects, current status, and future perspectives. Sensors 2023, 23, 543. [Google Scholar] [CrossRef]
- Dijkshoorn, A.; Werkman, P.; Welleweerd, M.; Wolterink, G.; Eijking, B.; Delamare, J.; Krijnen, G.J. Embedded sensing: Integrating sensors in 3-D printed structures. J. Sens. Sens. Syst. 2018, 7, 169–181. [Google Scholar] [CrossRef]
- Jelva, H.K.S.; Subramaniam, M.P.; Mohammed, K.K.T.; Sreeram, P.; Parvathi, S.; Sari, P.S.; Raghavan, P. Fabrication and challenges of 3D printed sensors for biomedical applications-Comprehensive review. Results Eng. 2024, 101867. [Google Scholar]
- Palmieri, M.; Slavič, J.; Cianetti, F. Single-process 3D-printed structures with vibration durability self-awareness. Addit. Manuf. 2021, 47, 102303. [Google Scholar] [CrossRef]
- Technology CubeSats. Available online: https://www.esa.int/Enabling_Support/Space_Engineering_Technology/Technology_CubeSats (accessed on 13 June 2024).
- Morettini, G.; Zucca, G.; Braccesi, C.; Cianetti, F.; Dionigi, M. Cubesat spatial expedition: An overview from design to experimental verification. In IOP Conference Series: Materials Science and Engineering; IOP Publishing: Genova, IT, USA, 2021. [Google Scholar]
- Xiao, L.; Shi, W.; Li, X.; Shen, C.; Wang, Y.; Mu, R.; Wang, K. A novel design of a deployable CubeSat for material exposure missions in low earth orbit. CEAS Space J. 2023, 15, 641–653. [Google Scholar] [CrossRef]
- Corpino, S.; Caldera, M.; Nichele, F.; Masoero, M.; Viola, N. Thermal design and analysis of a nanosatellite in low earth orbit. Acta Astronaut. 2015, 115, 247–261. [Google Scholar] [CrossRef]
- Da Silva Cardozo, R.; Donati, D.C.X.; Possamai, T.S.; Oba, R. Thermal analysis of the impact of six month in a 1U CubeSat in LEO. COB-2023-0444. In Proceedings of the 27th International Congress of Mechanical Engeneering, Florianópolis, Brazil, 4–8 December 2023. [Google Scholar]
- Falcon User’s Guide. Available online: https://www.spacex.com/media/falcon-users-guide-2021-09.pdf (accessed on 19 June 2024).
- SSMS Vega-C User’s Manual. Available online: https://ariane.group/app/uploads/sites/4/2024/10/SSMS-Vega-C-UsersManual-Issue-1-Rev0-Sept2020.pdf (accessed on 19 June 2024).
- Protopasta. Available online: https://proto-pasta.com/products/conductive-pla?srsltid=AfmBOoqNEThJQSkb06joQ5tCZWMK-ltDu1TxK8uID_2evEo8b3TBOZ7G (accessed on 24 May 2023).








Disclaimer/Publisher’s Note: The statements, opinions and data contained in all publications are solely those of the individual author(s) and contributor(s) and not of MDPI and/or the editor(s). MDPI and/or the editor(s) disclaim responsibility for any injury to people or property resulting from any ideas, methods, instructions or products referred to in the content. |
© 2025 by the authors. Licensee MDPI, Basel, Switzerland. This article is an open access article distributed under the terms and conditions of the Creative Commons Attribution (CC BY) license (https://creativecommons.org/licenses/by/4.0/).
Share and Cite
Staffa, A.; Palmieri, M.; Morettini, G.; Cianetti, F. Sensitivity Analysis of Integrated Sensors Created Through Additive Manufacturing for Monitoring Components Subject to Dynamic Loads. Eng. Proc. 2025, 85, 26. https://doi.org/10.3390/engproc2025085026
Staffa A, Palmieri M, Morettini G, Cianetti F. Sensitivity Analysis of Integrated Sensors Created Through Additive Manufacturing for Monitoring Components Subject to Dynamic Loads. Engineering Proceedings. 2025; 85(1):26. https://doi.org/10.3390/engproc2025085026
Chicago/Turabian StyleStaffa, Agnese, Massimiliano Palmieri, Giulia Morettini, and Filippo Cianetti. 2025. "Sensitivity Analysis of Integrated Sensors Created Through Additive Manufacturing for Monitoring Components Subject to Dynamic Loads" Engineering Proceedings 85, no. 1: 26. https://doi.org/10.3390/engproc2025085026
APA StyleStaffa, A., Palmieri, M., Morettini, G., & Cianetti, F. (2025). Sensitivity Analysis of Integrated Sensors Created Through Additive Manufacturing for Monitoring Components Subject to Dynamic Loads. Engineering Proceedings, 85(1), 26. https://doi.org/10.3390/engproc2025085026

