Enhancing Soil Fertility Prediction Through Federated Learning on IoT-Generated Datasets with a Feature Selection Perspective †
Abstract
1. Introduction
2. Literature Review
3. Materials and Methods
3.1. Feature Section Techniques
3.2. Machine Learning Techniques
3.3. Sensors with Arduino Board
3.4. Research Questions
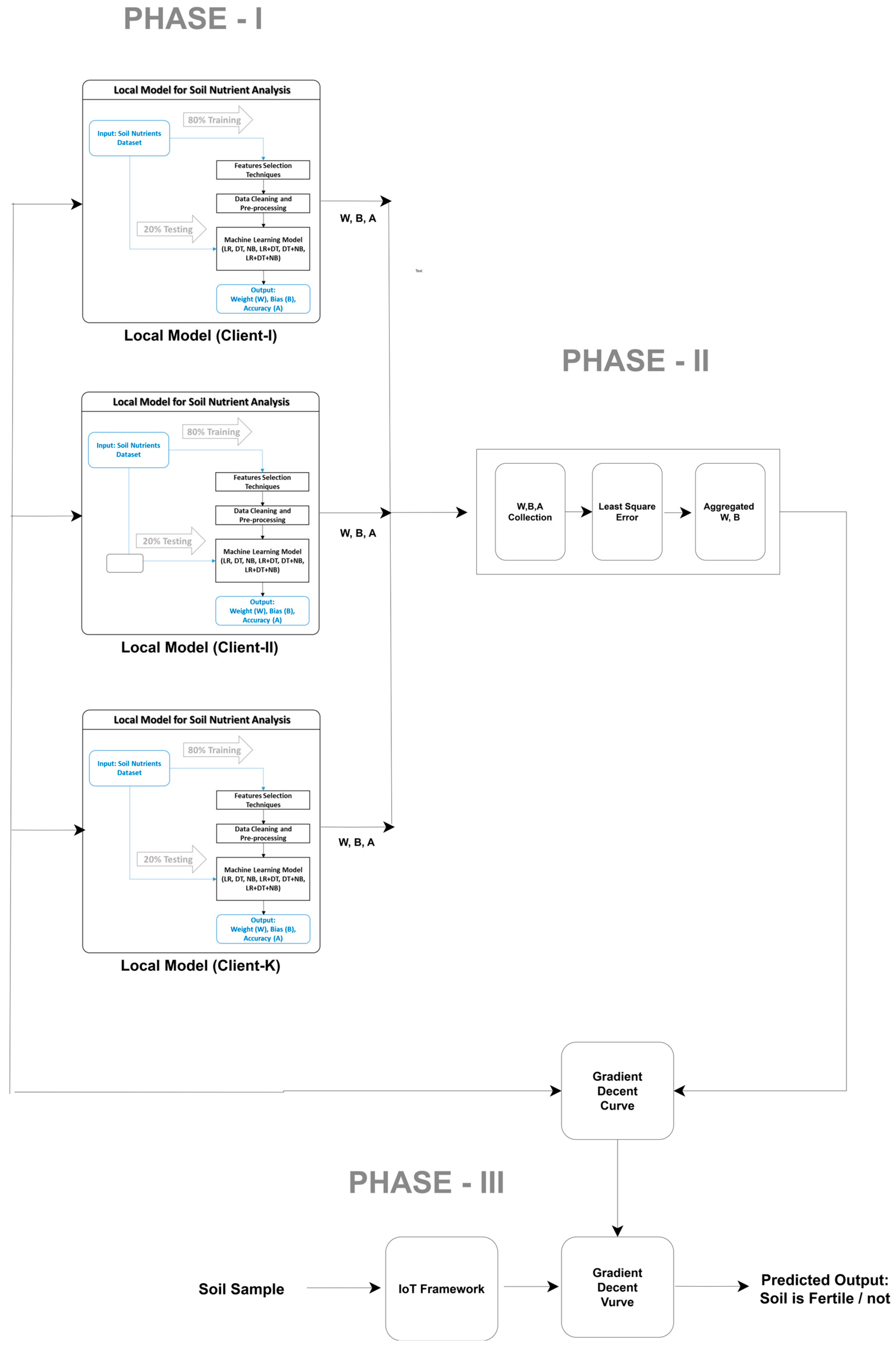
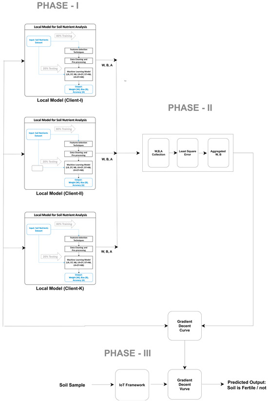
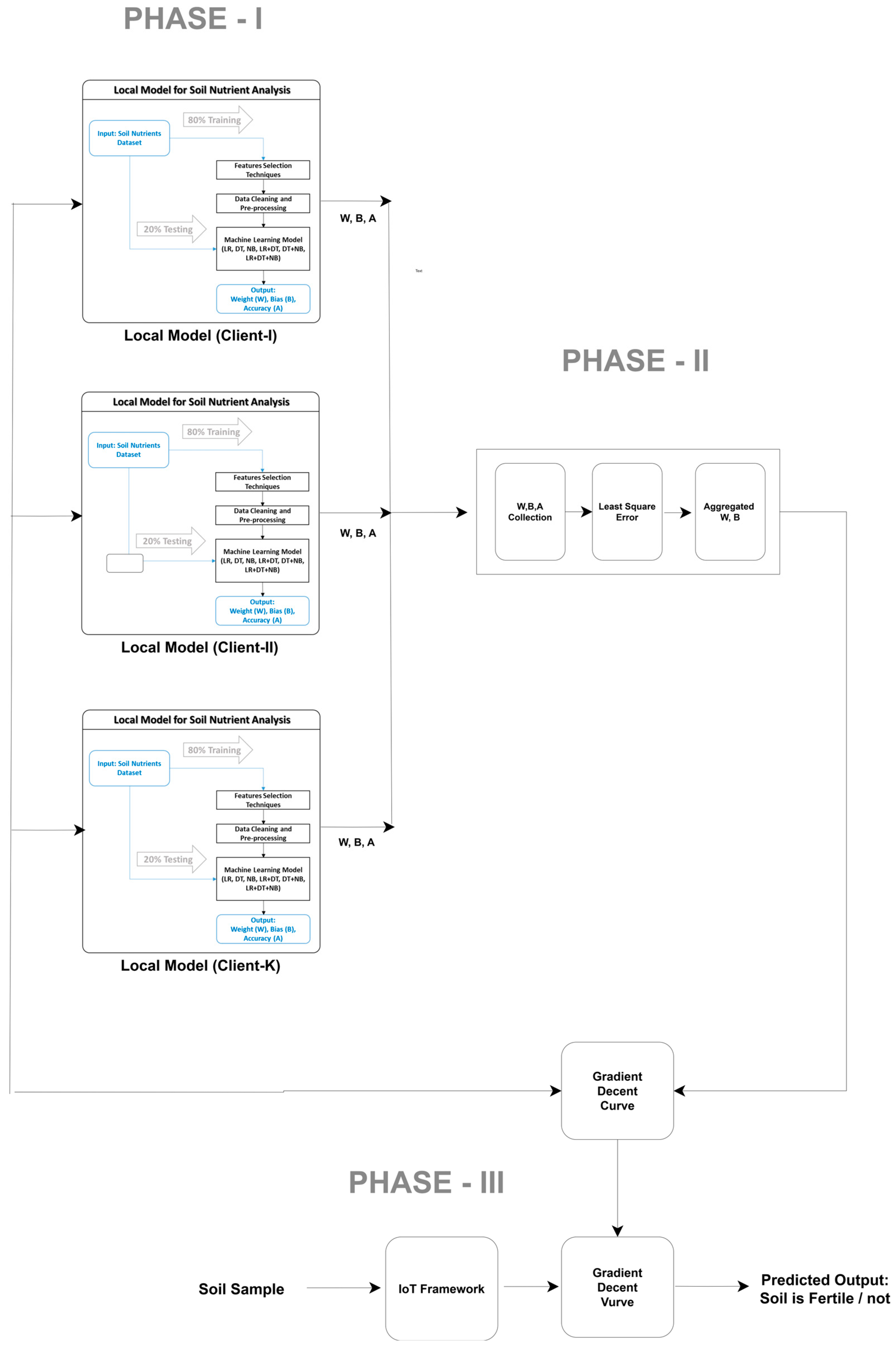
4. Proposed Model
4.1. Phase I
4.2. Phase II
4.3. Phase III
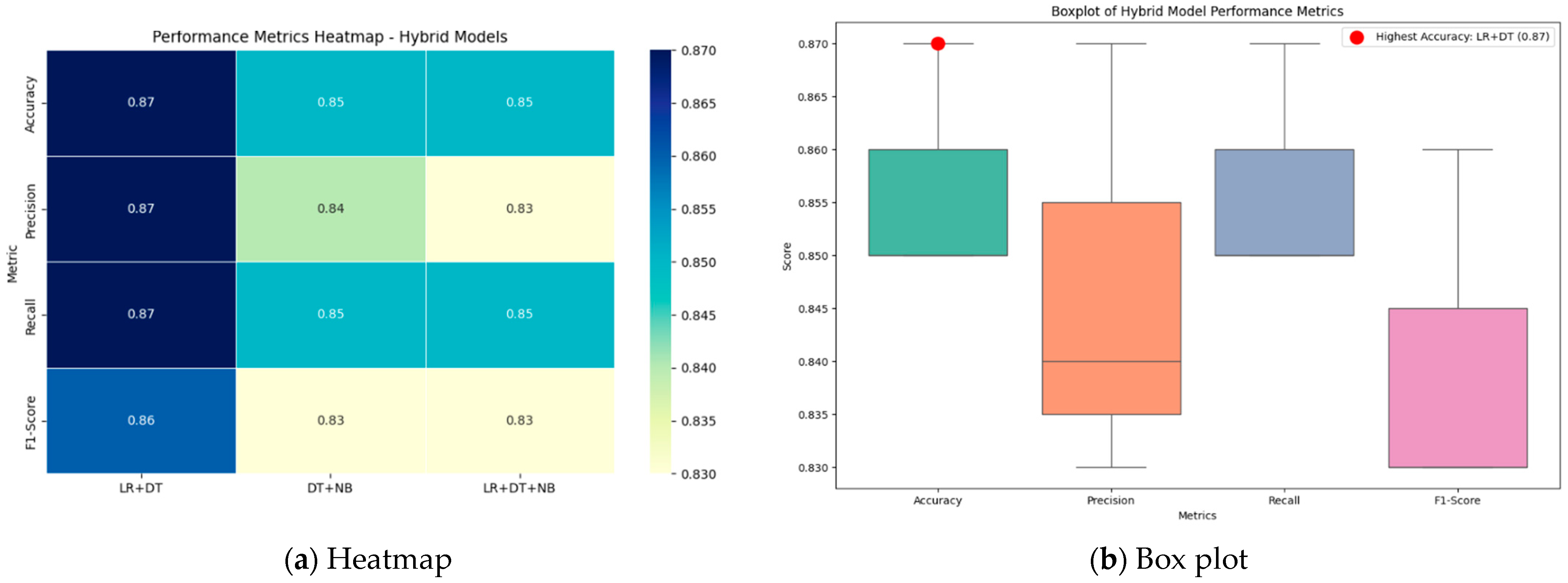
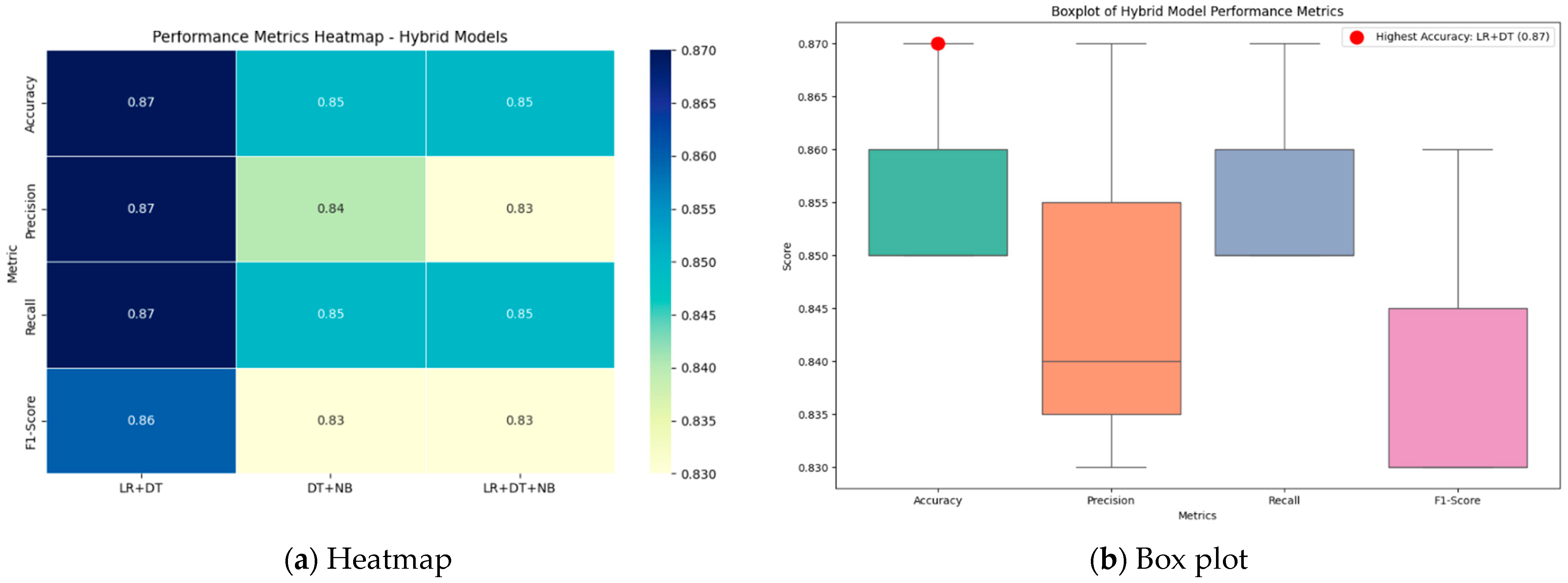
5. Results and Discussion
5.1. Research Question #1
5.2. Research Question #2
6. Conclusions and Future Work
Author Contributions
Funding
Institutional Review Board Statement
Informed Consent Statement
Data Availability Statement
Conflicts of Interest
References
- Chandra, H.; Pawar, P.M.; Elakkiya, R.; Tamizharasan, P.S.; Muthalagu, R.; Panthakkan, A. Explainable AI for Soil Fertility Prediction; IEEE Access: Piscataway, NJ, USA, 2023. [Google Scholar]
- Chen, G.; Cai, L.; Chen, H.; Cao, L.; Li, C. Analysis and Evaluation of Soil Fertility Status Based on Weighted K-Means Clustering Algorithm. In Computer and Computing Technologies in Agriculture VII; Springer: Berlin/Heidelberg, Germany, 2014; pp. 89–97. [Google Scholar]
- Kanade, P. Soil Analysis Using Machine Learning. Br. J. Multidiscip. Adv. Stud. 2023, 4, 1–11. [Google Scholar] [CrossRef]
- Madhumathi, R.; Arumuganathan, T.; Iyer, S.; Shruthi, R.; Shruthhi, K. Soil Nutrient Analysis Using Machine Learning Techniques. In Proceedings of the National E-Conference on Communication, Computation, Control and Automation (CCCA-2020), Coimbatore, India, 17 July 2020. [Google Scholar]
- Folorunso, O.; Ojo, O.; Busari, M.; Adebayo, M.; Joshua, A.; Folorunso, D.; Olabanjo, O. Exploring Machine Learning Models for Soil Nutrient Properties Prediction: A Systematic Review. Big Data Cogn. Comput. 2023, 7, 113. [Google Scholar] [CrossRef]
- Pant, J.; Pant, P.; Pant, R.P.; Bhatt, A.; Pant, D.; Juyal, A. Soil Quality Prediction for Determining Soil Fertility in Bhimtal Block of Uttarakhand (India) Using Machine Learning. Int. J. Anal. Appl. 2021, 19, 91–109. [Google Scholar]
- BlesslinSheeba, T.; Anand, L.D.V.; Manohar, G.; Selvan, S.; Wilfred, C.B.; Muthukumar, K.; Padmavathy, S.; Ramesh Kumar, P.; Asfaw, B.T. Machine Learning Algorithm for Soil Analysis and Classification of Micronutrients in IoT-enabled Automated Farms. J. Nanomater. 2022, 2022, 5343965. [Google Scholar] [CrossRef]
- Yadav, J.; Chopra, S.; Vijayalakshmi, M. Soil Analysis and Crop Fertility Prediction Using Machine Learning. Int. Res. J. Comput. Sci. 2021, 8, 32–40. [Google Scholar] [CrossRef]
- Rajamanickam, J. Predictive Model Construction for Prediction of Soil Fertility Using Decision Tree Machine Learning Algorithm. INFOCOMP J. Comput. Sci. 2021, 20, 49–55. [Google Scholar]
- Suchithra, M.S.; Pai, M.L. Improving the Prediction Accuracy of Soil Nutrient Classification by Optimizing Extreme Learning Machine Parameters. Inf. Process. Agric. 2020, 7, 72–82. [Google Scholar] [CrossRef]







| Variance Threshold | Chi-Square | RFE Ranking | PCA Loadings | RF Importance | Mutual Information | Lasso Coefficients | RFECV Support | Boruta Support | |
|---|---|---|---|---|---|---|---|---|---|
| N | 5982.230 | 11,447.547 | 9 | 0.107 | 0.550 | 0.494 | 0.005 | TRUE | TRUE |
| P | 482.034 | 1347.885 | 7 | 0.108 | 0.127 | 0.144 | 0.006 | TRUE | TRUE |
| K | 15,413.778 | 101.166 | 11 | 0.107 | 0.029 | 0.012 | 0.000 | TRUE | FALSE |
| pH | 0.216 | 0.223 | 2 | 0.143 | 0.048 | 0.077 | 0.000 | TRUE | TRUE |
| EC | 0.020 | 0.025 | 3 | 0.004 | 0.026 | 0.026 | 0.000 | TRUE | FALSE |
| OC | 0.710 | 1.420 | 10 | 0.151 | 0.024 | 0.000 | 0.000 | TRUE | FALSE |
| S | 19.551 | 10.896 | 4 | 0.166 | 0.026 | 0.000 | 0.001 | TRUE | FALSE |
| Zn | 3.584 | 14.134 | 5 | 0.167 | 0.029 | 0.005 | 0.000 | TRUE | FALSE |
| Fe | 9.661 | 7.822 | 6 | 0.177 | 0.038 | 0.028 | 0.003 | TRUE | TRUE |
| Cu | 0.217 | 3.891 | 1 | 0.113 | 0.039 | 0.049 | 0.000 | TRUE | TRUE |
| Mn | 18.459 | 5.506 | 8 | 0.179 | 0.034 | 0.000 | 0.000 | TRUE | TRUE |
| B | 0.325 | 1.350 | 12 | 0.120 | 0.030 | 0.032 | 0.073 | FALSE | FALSE |
| Techniques | Logistic Regression | Decision Tree | Naive Bayes | LR + DT | DT + NB | LR + DT + NB |
|---|---|---|---|---|---|---|
| Metrics | ||||||
| Accuracy | 0.83 | 0.82 | 0.49 | 0.87 | 0.85 | 0.85 |
| Precision | 0.78 | 0.81 | 0.59 | 0.87 | 0.84 | 0.83 |
| Recall | 0.83 | 0.82 | 0.49 | 0.87 | 0.85 | 0.85 |
| F1-Score | 0.81 | 0.81 | 0.41 | 0.86 | 0.83 | 0.83 |
Disclaimer/Publisher’s Note: The statements, opinions and data contained in all publications are solely those of the individual author(s) and contributor(s) and not of MDPI and/or the editor(s). MDPI and/or the editor(s) disclaim responsibility for any injury to people or property resulting from any ideas, methods, instructions or products referred to in the content. |
© 2024 by the authors. Licensee MDPI, Basel, Switzerland. This article is an open access article distributed under the terms and conditions of the Creative Commons Attribution (CC BY) license (https://creativecommons.org/licenses/by/4.0/).
Share and Cite
Senapaty, M.K.; Ray, A.; Padhy, N. Enhancing Soil Fertility Prediction Through Federated Learning on IoT-Generated Datasets with a Feature Selection Perspective. Eng. Proc. 2024, 82, 39. https://doi.org/10.3390/ecsa-11-20474
Senapaty MK, Ray A, Padhy N. Enhancing Soil Fertility Prediction Through Federated Learning on IoT-Generated Datasets with a Feature Selection Perspective. Engineering Proceedings. 2024; 82(1):39. https://doi.org/10.3390/ecsa-11-20474
Chicago/Turabian StyleSenapaty, Murali Krishna, Abhishek Ray, and Neelamadhab Padhy. 2024. "Enhancing Soil Fertility Prediction Through Federated Learning on IoT-Generated Datasets with a Feature Selection Perspective" Engineering Proceedings 82, no. 1: 39. https://doi.org/10.3390/ecsa-11-20474
APA StyleSenapaty, M. K., Ray, A., & Padhy, N. (2024). Enhancing Soil Fertility Prediction Through Federated Learning on IoT-Generated Datasets with a Feature Selection Perspective. Engineering Proceedings, 82(1), 39. https://doi.org/10.3390/ecsa-11-20474

